当前位置:首页>文档>专题16抛物线的焦点弦、中点弦、弦长问题(解析版)_2.2025数学总复习_2024年新高考资料_3.2024专项复习_2024年新高考数学之圆锥曲线专项重难点突破练(新高考专用)

专题16抛物线的焦点弦、中点弦、弦长问题(解析版)_2.2025数学总复习_2024年新高考资料_3.2024专项复习_2024年新高考数学之圆锥曲线专项重难点突破练(新高考专用)

  • 2026-04-15 19:43:48 2026-03-16 08:23:50

文档预览

专题16抛物线的焦点弦、中点弦、弦长问题(解析版)_2.2025数学总复习_2024年新高考资料_3.2024专项复习_2024年新高考数学之圆锥曲线专项重难点突破练(新高考专用)
专题16抛物线的焦点弦、中点弦、弦长问题(解析版)_2.2025数学总复习_2024年新高考资料_3.2024专项复习_2024年新高考数学之圆锥曲线专项重难点突破练(新高考专用)
专题16抛物线的焦点弦、中点弦、弦长问题(解析版)_2.2025数学总复习_2024年新高考资料_3.2024专项复习_2024年新高考数学之圆锥曲线专项重难点突破练(新高考专用)
专题16抛物线的焦点弦、中点弦、弦长问题(解析版)_2.2025数学总复习_2024年新高考资料_3.2024专项复习_2024年新高考数学之圆锥曲线专项重难点突破练(新高考专用)
专题16抛物线的焦点弦、中点弦、弦长问题(解析版)_2.2025数学总复习_2024年新高考资料_3.2024专项复习_2024年新高考数学之圆锥曲线专项重难点突破练(新高考专用)
专题16抛物线的焦点弦、中点弦、弦长问题(解析版)_2.2025数学总复习_2024年新高考资料_3.2024专项复习_2024年新高考数学之圆锥曲线专项重难点突破练(新高考专用)
专题16抛物线的焦点弦、中点弦、弦长问题(解析版)_2.2025数学总复习_2024年新高考资料_3.2024专项复习_2024年新高考数学之圆锥曲线专项重难点突破练(新高考专用)
专题16抛物线的焦点弦、中点弦、弦长问题(解析版)_2.2025数学总复习_2024年新高考资料_3.2024专项复习_2024年新高考数学之圆锥曲线专项重难点突破练(新高考专用)
专题16抛物线的焦点弦、中点弦、弦长问题(解析版)_2.2025数学总复习_2024年新高考资料_3.2024专项复习_2024年新高考数学之圆锥曲线专项重难点突破练(新高考专用)
专题16抛物线的焦点弦、中点弦、弦长问题(解析版)_2.2025数学总复习_2024年新高考资料_3.2024专项复习_2024年新高考数学之圆锥曲线专项重难点突破练(新高考专用)
专题16抛物线的焦点弦、中点弦、弦长问题(解析版)_2.2025数学总复习_2024年新高考资料_3.2024专项复习_2024年新高考数学之圆锥曲线专项重难点突破练(新高考专用)
专题16抛物线的焦点弦、中点弦、弦长问题(解析版)_2.2025数学总复习_2024年新高考资料_3.2024专项复习_2024年新高考数学之圆锥曲线专项重难点突破练(新高考专用)
专题16抛物线的焦点弦、中点弦、弦长问题(解析版)_2.2025数学总复习_2024年新高考资料_3.2024专项复习_2024年新高考数学之圆锥曲线专项重难点突破练(新高考专用)
专题16抛物线的焦点弦、中点弦、弦长问题(解析版)_2.2025数学总复习_2024年新高考资料_3.2024专项复习_2024年新高考数学之圆锥曲线专项重难点突破练(新高考专用)
专题16抛物线的焦点弦、中点弦、弦长问题(解析版)_2.2025数学总复习_2024年新高考资料_3.2024专项复习_2024年新高考数学之圆锥曲线专项重难点突破练(新高考专用)
专题16抛物线的焦点弦、中点弦、弦长问题(解析版)_2.2025数学总复习_2024年新高考资料_3.2024专项复习_2024年新高考数学之圆锥曲线专项重难点突破练(新高考专用)
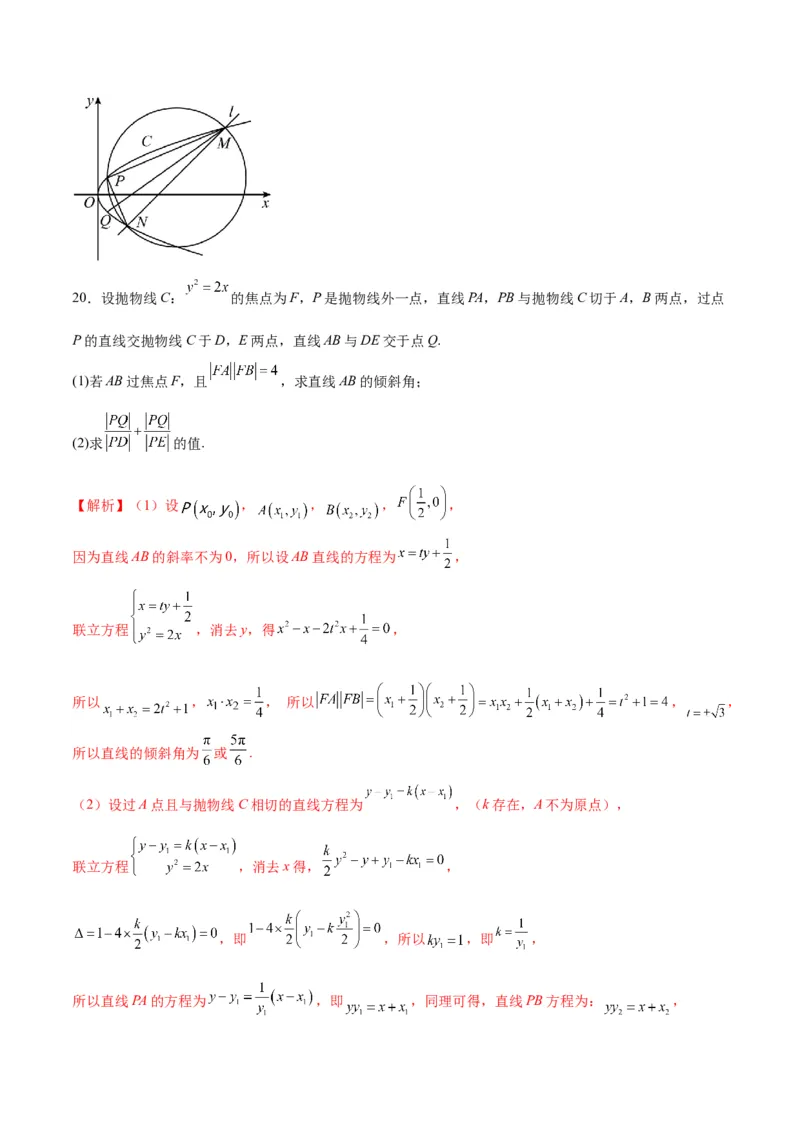
专题16抛物线的焦点弦、中点弦、弦长问题(解析版)_2.2025数学总复习_2024年新高考资料_3.2024专项复习_2024年新高考数学之圆锥曲线专项重难点突破练(新高考专用)
专题16抛物线的焦点弦、中点弦、弦长问题(解析版)_2.2025数学总复习_2024年新高考资料_3.2024专项复习_2024年新高考数学之圆锥曲线专项重难点突破练(新高考专用)
专题16抛物线的焦点弦、中点弦、弦长问题(解析版)_2.2025数学总复习_2024年新高考资料_3.2024专项复习_2024年新高考数学之圆锥曲线专项重难点突破练(新高考专用)
专题16抛物线的焦点弦、中点弦、弦长问题(解析版)_2.2025数学总复习_2024年新高考资料_3.2024专项复习_2024年新高考数学之圆锥曲线专项重难点突破练(新高考专用)

文档信息

文档格式
docx
文档大小
1.349 MB
文档页数
20 页
上传时间
2026-03-16 08:23:50

文档内容

专题16 抛物线的焦点弦、中点弦、弦长问题 限时:120分钟 满分:150分 一、单选题:本大题共8小题,每个小题5分,共40分.在每小题给出的选项中,只有一项是符合题目要 求的. 1.已知抛物线 的焦点为 ,则过点 且斜率为 的直线 截抛物线 所得弦长为( ) A. B. C. D. 【解析】由 可得 ,准线方程为 ,直线 , 联立 ,消去 并整理得 , , 设直线 与抛物线的两个交点为 , ,则 , 所以直线 截抛物线 所得弦长为 .故选:B 2.设 为抛物线 的焦点,过点 的直线 交 于 两点,若 ,则 ( ) A.8 B.12 C.16 D.24 【解析】由抛物线 可知 , 由抛物线的定义可得 ,即 , 又 在抛物线 上, , .故选:D. 3.过抛物线 的焦点 的直线 交 于 两点,若直线 过点 ,且 ,则 抛物线 的准线方程是( ) A. B. C. D.【解析】因为直线 过点 ,所以直线 的方程为 . 由 得, . 设 ,则 . 因为 ,整理得 ,解得 , 所以抛物线 的准线方程是 .故选:D. 4.过点 作抛物线 的弦AB,恰被点Q平分,则弦AB所在直线的方程为 ( ) A. B. C. D. 【解析】设 , ,由题意可知 , 则 ,两式相减,得 , 因为 是弦AB的中点,所以 , , 所以 ,即 ,直线AB的斜率为2,所以弦AB所在直线的方程为 ,即 ,故选:C. 5.已知直线 与抛物线 : 交于 , 两点,过 , 分别作 的切线交于点 , 若 的面积为 ,则 ( ) A.1 B. C. D.2 【解析】由 得, . 因为 , , ,故 . 由 ,则 ,抛物线 经过点 的切线方程是 , 将 代入上式整理得 ,同理得到抛物线 经过点 的切线方程是 . 解方程组 得 ,所以 . 所以 到直线 的距离 , 的面积 , 所以 ,故选:A 6.已知抛物线 : 的焦点为F,过F且斜率大于零的直线l与 及抛物线 : 的所有公 共点从右到左分别为点A,B,C,则 ( ) A.4 B.6 C.8 D.10 【解析】由题意可得 ,设直线 的方程为 , 由题意可得直线 与抛物线 必有2个交点,与抛物线 相切,联立方程组 ,可得 , 所以 ,解得 ,故直线 的方程为 , 与抛物线 方程联立 ,得 , 设 , ,则 ,所以 .故选:C. 7.已知斜率为 的直线过抛物线C: 的焦点F且与抛物线C相交于A,B两点,过A,B分 别作该抛物线准线的垂线,垂足分别为 , ,若 与 的面积之比为3,则k的值为( ) A. B. C. D. 【解析】因为抛物线 的焦点 的坐标为 ,所以直线 的方程为 , 联立 ,得 , 方程 的判别式 , 设点 、 ,由韦达定理可得 , , 由已知和抛物线定义知 ,所以 ,得 ,即 ,故 ,解得 .故选:A. 8.已知抛物线 的焦点 与 的一个焦点重合,过焦点 的直线与 交于 , 两不同点,抛物线 在 , 两点处的切线相交于点 ,且 的横坐标为4,则弦长 ( ) A.16 B.26 C.14 D.24 【解析】由题意可得, ,则 ,抛物线方程为 ,准线方程 . 由题意,直线AB的斜率存在,设直线AB的方程为 , 设 ,其中 ,由 ,得 . 在点A处的切线方程为 ,化简得 ,① 同理可得在点B处的切线为 ,② 联立①②得 ,由M的横坐标为4,得 , 将AB的方程代入抛物线方程,可得 , ,得 , , 则 .故选:A. 二、多选题:本大题共4小题,每个小题5分,共20分.在每小题给出的选项中,只有一项或者多项是符合题目要求的. 9.已知 是抛物线 内一动点,直线 过点 且与抛物线 相交于 两点,则下列说法正确 的是( ) A. 时, 的最小值为 B. 的取值范围是 C.当点 是弦 的中点时,直线 的斜率为 D.当点 是弦 的中点时, 轴上存在一定点 ,都有 【解析】抛物线 的焦点 ,准线方程为 , 对于A,当 时,点 与 重合,设直线 的方程为 , , 由 消去x并整理得 ,则 , ,当且仅当 时取等号, 所以当 时, 的最小值为 ,A正确; 对于B,显然点 在直线 上,由选项A知,当 时,可得 , 由点 在抛物线 内,知 ,所以 的取值范围是 ,B正确; 对于C,当点 是弦 的中点时,设 , ,若 ,直线 的斜率不存在, 若 ,则直线 的斜率 ,C错误;对于D,由选项C知,当 时,线段 的中垂线斜率为 ,方程为 , 即 ,此直线过定点 ,当 时,线段 的中垂线为 ,过点 , 所以线段 的中垂线恒过定点 ,即当点 是弦 的中点时, 轴上存在一定点 ,都有 ,D正确. 故选:ABD 10.已知A,B是抛物线 : 上两动点, 为抛物线 的焦点,则( ) A.直线AB过焦点F时, 最小值为4 B.直线AB过焦点F且倾斜角为 时, C.若AB中点M的横坐标为2,则 最大值为5 D. 【解析】对于A项,过点 分别作准线 的垂线,垂足分别为 , 过点 分别作 轴的垂线,垂足分别为 ,准线与 轴的交点为 , 设直线 的倾斜角为 ,画图为: 根据抛物线的定义: ,从图可知 , , ,在 中, , 所以 ,同理 ,则 ,故当 时 , 故 最小值为 ,此时 垂直于 轴,所以A不正确; 对于B项,由A可知, ,故B正确; 对于C项, , 当且仅当直线 过焦点 时等号成立,所以 最大值为5,故C正确; 当直线 过焦点 时, , 当直线 不过焦点 时, 不是定值,举例当 时,此时 , , 即 , , ,故D错误; 故选:BC. 11.过抛物线 上一点 作两条相互垂直的直线,与 的另外两个交点分别为 ,则 ( ) A. 的准线方程是 B.过 的焦点的最短弦长为2 C.直线 过定点 D.若直线 过点 ,则 的面积为24 【解析】将 代入 中得 ,即 ,则抛物线 为 , 所以 的准线方程是 ,故A正确;抛物线 的焦点为 ,可设过 的焦点的直线为 , 联立 ,可得 ,设交点为 , 则 , , 所以 ,即过C的焦点的最短弦长为4,故B不正确; 设 , ,直线 为 ,联立 ,可得: , 所以 , ,又 , 所以 , 因为 , ,即 ,所以 , 化简整理得 ,即 ,得 , 所以直线 为 ,所以直线 过定点 ,故C正确; 若直线 过点 ,则 ,即 , , 所以 , ,直线 为 ,即 , 所以 , 点 到直线 的距离为 , 所以 ,故D不正确. 故选:AC. 12.已知 是抛物线 的焦点, , 是抛物线 上的两点, 为坐标原点,则( )A.抛物线 的准线方程为 B.若 ,则 的面积为 C.若直线 过焦点 ,且 ,则 到直线 的距离为 D.若 ,则 【解析】对于A中,抛物线 可得其准线方程为 ,所以A错误; 对于B中,设 ,因为 ,可得 ,解得 ,可得 , 所以 ,所以B正确; 对于C中,抛物线 ,可得其焦点坐标为 , 当直线 的斜率不存在时,可得 ,不符合题意; 当直线 的斜率存在时,设直线 的方程为 , 联立方程组 ,整理得 ,设 ,可得 , 根据抛物线的定义,可得 ,解得 , 所以直线 的方程为 , 不妨取 ,所以 到直线 的距离为 ,所以C错误; 对于D中,设直线 的方程为 (不妨设 ) 由 ,可得 ,则 , 因为 ,此时直线 的方程为 ,可得 , 所以 ,当且仅当 时,即 时,等号成立,所以D正确. 故选:BD. 三、填空题:本大题共4小题,每小题5分,共20分.把答案填在答题卡中的横线上. 13.抛物线 截直线 所得弦长等于 . 【解析】设直线与抛物线的交点为 、 , 由抛物线的方程可得焦点 ,可得直线 过焦点 , 联立 ,消去 ,得 ,可得 ,则 , 由抛物线的性质可得 . 14.若抛物线 的弦被点 平分,则此弦所在直线的斜率为 . 【解析】设过点 的弦的端点为 、 , 若直线 轴,则线段 的中点在 轴上,不合乎题意. 所以,直线 的斜率存在,则 ,两式作差可得 , 因此,直线 的斜率为 .故答案为: . 15.已知斜率为 的直线过抛物线 的焦点 ,与抛物线 交于 两点( 在 的左 侧),又 为坐标原点,点 (异于 )也为抛物线 上一点,且 ,则实数 的 值为 . 【解析】由于直线斜率为 且过焦点 ,则其方程为 , 将直线方程与抛物线方程联立,消去 可得 ①设 ∴ ∴ ,∵ ∴ 即 , ∴①式变为 , 解得 ∴ , ∴ , 设 则有 , 解得 或 16.已知抛物线 的焦点为 ,准线与 轴的交点为 ,过点 的直线与抛物线交于点 , , , 且 ,则 . 【解析】由题意知 ,则可设直线 的方程为 , 由 ,可得 ①, 所以 , , 所以 . 因为 , , ,所以在 中,由余弦定理得 , 因此 ,得 ,代入①式得 ,得 因此 四、解答题:本大题共6小题,共70分.解答应写出必要的文字说明、证明过程或演算步骤. 17.已知抛物线 的焦点为 ,斜率为 的直线 与 交于 两点,与 轴交点为P. (1)若 ,求 的方程; (2)若 ,求 . 【解析】(1)由题意,直线 的方程设为 , 联立直线与抛物线方程 ,可得 , ,可得 , 设 , , , , , , 因为 ,所以 ,可得 ,可得 , 所以直线 的方程为: .即 . (2)直线 的方程设为 , 令 ,可得 ,所以 ,所以 , , , , 因为 ,所以: , , ,所以, , , , , 化简可得 , , ,可得 , , ,. 18.已知直线 与抛物线 相交于 、 两点. (1)若直线 过点 ,且倾斜角为 ,求 的值; (2)若直线 过点 ,且弦 恰被 平分,求 所在直线的方程. 【解析】(1)因直线 的倾斜角为 ,所以直线 的斜率 , 又因直线 过点 ,所以直线 的方程为: ,即 , 联立 得 ,设 , ,所以 , , 所以 (2)因 、 在抛物线 上,所以 , , 两式相减得: ,得 ,故直线 的斜率为4, 所以直线 的方程为: ,即 19.已知直线 轴,垂足为x轴负半轴上的点E,点E关于原点O的对称点为F,且 ,直线 ,垂足为A,线段AF的垂直平分线与直线 交于点B,记点B的轨迹为曲线C. (1)求曲线C的方程; (2)已知点 ,不过点P的直线l与曲线C交于M,N两点,以线段MN为直径的圆恒过点P,点P关 于x轴的对称点为Q,若 的面积是 ,求直线 的斜率. 【解析】(1)由线段 的垂直平分线与直线 交于点 ,可得 ,即点 到点 的距离等于点 到直线 的距离,又因为 , 的方程为 ,所以 , 所以点 的轨迹 是以 为焦点,直线 为准线的抛物线, 所以点 的轨迹 的方程为 . (2)解:根据题意,直线的斜率不为 ,设直线 ,且 , 联立方程组 ,可得 ,则 , 所以 , 所以 , 又点 ,点 到直线 的距离为 , 所以 , 又以线段 为直径的圆恒过点 ,所以 , 所以 , 又 ,所以 , 所以 , 所以 ,所以 , 即 ,所以 , 所以 或 ,又直线 不经过点 ,所以 ,所以 ,此时满足 , 所以 , 解得 或 ,所以直线 的斜率为 或 .20.设抛物线C: 的焦点为F,P是抛物线外一点,直线PA,PB与抛物线C切于A,B两点,过点 P的直线交抛物线C于D,E两点,直线AB与DE交于点Q. (1)若AB过焦点F,且 ,求直线AB的倾斜角; (2)求 的值. 【解析】(1)设 , , , , 因为直线AB的斜率不为0,所以设AB直线的方程为 , 联立方程 ,消去y,得 , 所以 , , 所以 , , 所以直线的倾斜角为 或 . (2)设过A点且与抛物线C相切的直线方程为 ,(k存在,A不为原点), 联立方程 ,消去x得, , ,即 ,所以 ,即 , 所以直线PA的方程为 ,即 ,同理可得,直线PB方程为: ,因为点 在直线PA,PB上,所以 , , 所以直线AB的方程为: 设直线PD的方程为 , 联立方程 ,消去x,得 , 得 , ,联立方程 ,消去x,得 , 由于点P在抛物线的外部,点Q在抛物线的内部, 所以 . 21.已知 是抛物线 的焦点,过点 的直线交抛物线 于 两点,当 平行于 轴 时, . (1)求抛物线 的方程; (2)若 为坐标原点,过点 作 轴的垂线交直线 于点 ,过点 作直线 的垂线与抛物线 的另一 交点为 的中点为 ,证明: 三点共线. 【解析】(1)抛物线 的焦点为 , 当 平行于 轴时,设直线 的方程为 ,设点 、 ,,解得 ,所以,抛物线 的方程为 . (2)设直线 的方程为 ,设点 、 , 联立 可得 ,由韦达定理可得 , , 又因为直线 的方程为 , 将 代入直线 的方程可得 ,可得 ,即点 , 所以, ,因为 ,则 , 所以,直线 的方程为 , 联立 可得 ,则 , 故 ,则 , 由 的中点为 ,可得 ,故 、 、 三点共线. 22.已知抛物线 : 上一点 到焦点的距离为2. (1)求抛物线 的方程; (2)过点 的直线交抛物线 于 , 两点,点 ,连接 交抛物线 于另一点 ,连接 交抛物线 于另一点 ,且 与 的面积之比为 ,求直线 的方程. 【解析】(1)由题可知焦点的坐标为 ,所以由抛物线的定义可知 , 即 ,所以抛物线 的方程为 . (2)易知直线 的斜率存在且不为零,设直线 的方程为 , , ,由 ,得 , 则 ,即 或 , .因为 ,所以 , 所以直线 的方程为 ,由 ,得 , 设 ,则 ,得 ,设 ,同理可得 , 则 ,得 , , 故直线 的方程为 或 .