当前位置:首页>文档>专题18空间向量在立体几何中的应用(角和距离)分层训练(解析版)_2.2025数学总复习_2023年新高考资料_二轮复习_考点2023年高考数学二轮复习讲义+训练(新高考专用)

专题18空间向量在立体几何中的应用(角和距离)分层训练(解析版)_2.2025数学总复习_2023年新高考资料_二轮复习_考点2023年高考数学二轮复习讲义+训练(新高考专用)

  • 2026-04-16 22:58:56 2026-03-16 12:43:29

文档预览

专题18空间向量在立体几何中的应用(角和距离)分层训练(解析版)_2.2025数学总复习_2023年新高考资料_二轮复习_考点2023年高考数学二轮复习讲义+训练(新高考专用)
专题18空间向量在立体几何中的应用(角和距离)分层训练(解析版)_2.2025数学总复习_2023年新高考资料_二轮复习_考点2023年高考数学二轮复习讲义+训练(新高考专用)
专题18空间向量在立体几何中的应用(角和距离)分层训练(解析版)_2.2025数学总复习_2023年新高考资料_二轮复习_考点2023年高考数学二轮复习讲义+训练(新高考专用)
专题18空间向量在立体几何中的应用(角和距离)分层训练(解析版)_2.2025数学总复习_2023年新高考资料_二轮复习_考点2023年高考数学二轮复习讲义+训练(新高考专用)
专题18空间向量在立体几何中的应用(角和距离)分层训练(解析版)_2.2025数学总复习_2023年新高考资料_二轮复习_考点2023年高考数学二轮复习讲义+训练(新高考专用)
专题18空间向量在立体几何中的应用(角和距离)分层训练(解析版)_2.2025数学总复习_2023年新高考资料_二轮复习_考点2023年高考数学二轮复习讲义+训练(新高考专用)
专题18空间向量在立体几何中的应用(角和距离)分层训练(解析版)_2.2025数学总复习_2023年新高考资料_二轮复习_考点2023年高考数学二轮复习讲义+训练(新高考专用)
专题18空间向量在立体几何中的应用(角和距离)分层训练(解析版)_2.2025数学总复习_2023年新高考资料_二轮复习_考点2023年高考数学二轮复习讲义+训练(新高考专用)
专题18空间向量在立体几何中的应用(角和距离)分层训练(解析版)_2.2025数学总复习_2023年新高考资料_二轮复习_考点2023年高考数学二轮复习讲义+训练(新高考专用)
专题18空间向量在立体几何中的应用(角和距离)分层训练(解析版)_2.2025数学总复习_2023年新高考资料_二轮复习_考点2023年高考数学二轮复习讲义+训练(新高考专用)
专题18空间向量在立体几何中的应用(角和距离)分层训练(解析版)_2.2025数学总复习_2023年新高考资料_二轮复习_考点2023年高考数学二轮复习讲义+训练(新高考专用)
专题18空间向量在立体几何中的应用(角和距离)分层训练(解析版)_2.2025数学总复习_2023年新高考资料_二轮复习_考点2023年高考数学二轮复习讲义+训练(新高考专用)
专题18空间向量在立体几何中的应用(角和距离)分层训练(解析版)_2.2025数学总复习_2023年新高考资料_二轮复习_考点2023年高考数学二轮复习讲义+训练(新高考专用)
专题18空间向量在立体几何中的应用(角和距离)分层训练(解析版)_2.2025数学总复习_2023年新高考资料_二轮复习_考点2023年高考数学二轮复习讲义+训练(新高考专用)
专题18空间向量在立体几何中的应用(角和距离)分层训练(解析版)_2.2025数学总复习_2023年新高考资料_二轮复习_考点2023年高考数学二轮复习讲义+训练(新高考专用)
专题18空间向量在立体几何中的应用(角和距离)分层训练(解析版)_2.2025数学总复习_2023年新高考资料_二轮复习_考点2023年高考数学二轮复习讲义+训练(新高考专用)
专题18空间向量在立体几何中的应用(角和距离)分层训练(解析版)_2.2025数学总复习_2023年新高考资料_二轮复习_考点2023年高考数学二轮复习讲义+训练(新高考专用)
专题18空间向量在立体几何中的应用(角和距离)分层训练(解析版)_2.2025数学总复习_2023年新高考资料_二轮复习_考点2023年高考数学二轮复习讲义+训练(新高考专用)
专题18空间向量在立体几何中的应用(角和距离)分层训练(解析版)_2.2025数学总复习_2023年新高考资料_二轮复习_考点2023年高考数学二轮复习讲义+训练(新高考专用)
专题18空间向量在立体几何中的应用(角和距离)分层训练(解析版)_2.2025数学总复习_2023年新高考资料_二轮复习_考点2023年高考数学二轮复习讲义+训练(新高考专用)
专题18空间向量在立体几何中的应用(角和距离)分层训练(解析版)_2.2025数学总复习_2023年新高考资料_二轮复习_考点2023年高考数学二轮复习讲义+训练(新高考专用)
专题18空间向量在立体几何中的应用(角和距离)分层训练(解析版)_2.2025数学总复习_2023年新高考资料_二轮复习_考点2023年高考数学二轮复习讲义+训练(新高考专用)
专题18空间向量在立体几何中的应用(角和距离)分层训练(解析版)_2.2025数学总复习_2023年新高考资料_二轮复习_考点2023年高考数学二轮复习讲义+训练(新高考专用)
专题18空间向量在立体几何中的应用(角和距离)分层训练(解析版)_2.2025数学总复习_2023年新高考资料_二轮复习_考点2023年高考数学二轮复习讲义+训练(新高考专用)
专题18空间向量在立体几何中的应用(角和距离)分层训练(解析版)_2.2025数学总复习_2023年新高考资料_二轮复习_考点2023年高考数学二轮复习讲义+训练(新高考专用)
专题18空间向量在立体几何中的应用(角和距离)分层训练(解析版)_2.2025数学总复习_2023年新高考资料_二轮复习_考点2023年高考数学二轮复习讲义+训练(新高考专用)
专题18空间向量在立体几何中的应用(角和距离)分层训练(解析版)_2.2025数学总复习_2023年新高考资料_二轮复习_考点2023年高考数学二轮复习讲义+训练(新高考专用)
专题18空间向量在立体几何中的应用(角和距离)分层训练(解析版)_2.2025数学总复习_2023年新高考资料_二轮复习_考点2023年高考数学二轮复习讲义+训练(新高考专用)
专题18空间向量在立体几何中的应用(角和距离)分层训练(解析版)_2.2025数学总复习_2023年新高考资料_二轮复习_考点2023年高考数学二轮复习讲义+训练(新高考专用)
专题18空间向量在立体几何中的应用(角和距离)分层训练(解析版)_2.2025数学总复习_2023年新高考资料_二轮复习_考点2023年高考数学二轮复习讲义+训练(新高考专用)
专题18空间向量在立体几何中的应用(角和距离)分层训练(解析版)_2.2025数学总复习_2023年新高考资料_二轮复习_考点2023年高考数学二轮复习讲义+训练(新高考专用)
专题18空间向量在立体几何中的应用(角和距离)分层训练(解析版)_2.2025数学总复习_2023年新高考资料_二轮复习_考点2023年高考数学二轮复习讲义+训练(新高考专用)
专题18空间向量在立体几何中的应用(角和距离)分层训练(解析版)_2.2025数学总复习_2023年新高考资料_二轮复习_考点2023年高考数学二轮复习讲义+训练(新高考专用)
专题18空间向量在立体几何中的应用(角和距离)分层训练(解析版)_2.2025数学总复习_2023年新高考资料_二轮复习_考点2023年高考数学二轮复习讲义+训练(新高考专用)
专题18空间向量在立体几何中的应用(角和距离)分层训练(解析版)_2.2025数学总复习_2023年新高考资料_二轮复习_考点2023年高考数学二轮复习讲义+训练(新高考专用)
专题18空间向量在立体几何中的应用(角和距离)分层训练(解析版)_2.2025数学总复习_2023年新高考资料_二轮复习_考点2023年高考数学二轮复习讲义+训练(新高考专用)
专题18空间向量在立体几何中的应用(角和距离)分层训练(解析版)_2.2025数学总复习_2023年新高考资料_二轮复习_考点2023年高考数学二轮复习讲义+训练(新高考专用)
专题18空间向量在立体几何中的应用(角和距离)分层训练(解析版)_2.2025数学总复习_2023年新高考资料_二轮复习_考点2023年高考数学二轮复习讲义+训练(新高考专用)
专题18空间向量在立体几何中的应用(角和距离)分层训练(解析版)_2.2025数学总复习_2023年新高考资料_二轮复习_考点2023年高考数学二轮复习讲义+训练(新高考专用)
专题18空间向量在立体几何中的应用(角和距离)分层训练(解析版)_2.2025数学总复习_2023年新高考资料_二轮复习_考点2023年高考数学二轮复习讲义+训练(新高考专用)
专题18空间向量在立体几何中的应用(角和距离)分层训练(解析版)_2.2025数学总复习_2023年新高考资料_二轮复习_考点2023年高考数学二轮复习讲义+训练(新高考专用)
专题18空间向量在立体几何中的应用(角和距离)分层训练(解析版)_2.2025数学总复习_2023年新高考资料_二轮复习_考点2023年高考数学二轮复习讲义+训练(新高考专用)
专题18空间向量在立体几何中的应用(角和距离)分层训练(解析版)_2.2025数学总复习_2023年新高考资料_二轮复习_考点2023年高考数学二轮复习讲义+训练(新高考专用)
专题18空间向量在立体几何中的应用(角和距离)分层训练(解析版)_2.2025数学总复习_2023年新高考资料_二轮复习_考点2023年高考数学二轮复习讲义+训练(新高考专用)
专题18空间向量在立体几何中的应用(角和距离)分层训练(解析版)_2.2025数学总复习_2023年新高考资料_二轮复习_考点2023年高考数学二轮复习讲义+训练(新高考专用)
专题18空间向量在立体几何中的应用(角和距离)分层训练(解析版)_2.2025数学总复习_2023年新高考资料_二轮复习_考点2023年高考数学二轮复习讲义+训练(新高考专用)
专题18空间向量在立体几何中的应用(角和距离)分层训练(解析版)_2.2025数学总复习_2023年新高考资料_二轮复习_考点2023年高考数学二轮复习讲义+训练(新高考专用)
专题18空间向量在立体几何中的应用(角和距离)分层训练(解析版)_2.2025数学总复习_2023年新高考资料_二轮复习_考点2023年高考数学二轮复习讲义+训练(新高考专用)
专题18空间向量在立体几何中的应用(角和距离)分层训练(解析版)_2.2025数学总复习_2023年新高考资料_二轮复习_考点2023年高考数学二轮复习讲义+训练(新高考专用)
专题18空间向量在立体几何中的应用(角和距离)分层训练(解析版)_2.2025数学总复习_2023年新高考资料_二轮复习_考点2023年高考数学二轮复习讲义+训练(新高考专用)
专题18空间向量在立体几何中的应用(角和距离)分层训练(解析版)_2.2025数学总复习_2023年新高考资料_二轮复习_考点2023年高考数学二轮复习讲义+训练(新高考专用)
专题18空间向量在立体几何中的应用(角和距离)分层训练(解析版)_2.2025数学总复习_2023年新高考资料_二轮复习_考点2023年高考数学二轮复习讲义+训练(新高考专用)
专题18空间向量在立体几何中的应用(角和距离)分层训练(解析版)_2.2025数学总复习_2023年新高考资料_二轮复习_考点2023年高考数学二轮复习讲义+训练(新高考专用)
专题18空间向量在立体几何中的应用(角和距离)分层训练(解析版)_2.2025数学总复习_2023年新高考资料_二轮复习_考点2023年高考数学二轮复习讲义+训练(新高考专用)
专题18空间向量在立体几何中的应用(角和距离)分层训练(解析版)_2.2025数学总复习_2023年新高考资料_二轮复习_考点2023年高考数学二轮复习讲义+训练(新高考专用)
专题18空间向量在立体几何中的应用(角和距离)分层训练(解析版)_2.2025数学总复习_2023年新高考资料_二轮复习_考点2023年高考数学二轮复习讲义+训练(新高考专用)
专题18空间向量在立体几何中的应用(角和距离)分层训练(解析版)_2.2025数学总复习_2023年新高考资料_二轮复习_考点2023年高考数学二轮复习讲义+训练(新高考专用)
专题18空间向量在立体几何中的应用(角和距离)分层训练(解析版)_2.2025数学总复习_2023年新高考资料_二轮复习_考点2023年高考数学二轮复习讲义+训练(新高考专用)
专题18空间向量在立体几何中的应用(角和距离)分层训练(解析版)_2.2025数学总复习_2023年新高考资料_二轮复习_考点2023年高考数学二轮复习讲义+训练(新高考专用)
专题18空间向量在立体几何中的应用(角和距离)分层训练(解析版)_2.2025数学总复习_2023年新高考资料_二轮复习_考点2023年高考数学二轮复习讲义+训练(新高考专用)
专题18空间向量在立体几何中的应用(角和距离)分层训练(解析版)_2.2025数学总复习_2023年新高考资料_二轮复习_考点2023年高考数学二轮复习讲义+训练(新高考专用)
专题18空间向量在立体几何中的应用(角和距离)分层训练(解析版)_2.2025数学总复习_2023年新高考资料_二轮复习_考点2023年高考数学二轮复习讲义+训练(新高考专用)
专题18空间向量在立体几何中的应用(角和距离)分层训练(解析版)_2.2025数学总复习_2023年新高考资料_二轮复习_考点2023年高考数学二轮复习讲义+训练(新高考专用)
专题18空间向量在立体几何中的应用(角和距离)分层训练(解析版)_2.2025数学总复习_2023年新高考资料_二轮复习_考点2023年高考数学二轮复习讲义+训练(新高考专用)
专题18空间向量在立体几何中的应用(角和距离)分层训练(解析版)_2.2025数学总复习_2023年新高考资料_二轮复习_考点2023年高考数学二轮复习讲义+训练(新高考专用)
专题18空间向量在立体几何中的应用(角和距离)分层训练(解析版)_2.2025数学总复习_2023年新高考资料_二轮复习_考点2023年高考数学二轮复习讲义+训练(新高考专用)
专题18空间向量在立体几何中的应用(角和距离)分层训练(解析版)_2.2025数学总复习_2023年新高考资料_二轮复习_考点2023年高考数学二轮复习讲义+训练(新高考专用)
专题18空间向量在立体几何中的应用(角和距离)分层训练(解析版)_2.2025数学总复习_2023年新高考资料_二轮复习_考点2023年高考数学二轮复习讲义+训练(新高考专用)
专题18空间向量在立体几何中的应用(角和距离)分层训练(解析版)_2.2025数学总复习_2023年新高考资料_二轮复习_考点2023年高考数学二轮复习讲义+训练(新高考专用)
专题18空间向量在立体几何中的应用(角和距离)分层训练(解析版)_2.2025数学总复习_2023年新高考资料_二轮复习_考点2023年高考数学二轮复习讲义+训练(新高考专用)
专题18空间向量在立体几何中的应用(角和距离)分层训练(解析版)_2.2025数学总复习_2023年新高考资料_二轮复习_考点2023年高考数学二轮复习讲义+训练(新高考专用)
专题18空间向量在立体几何中的应用(角和距离)分层训练(解析版)_2.2025数学总复习_2023年新高考资料_二轮复习_考点2023年高考数学二轮复习讲义+训练(新高考专用)
专题18空间向量在立体几何中的应用(角和距离)分层训练(解析版)_2.2025数学总复习_2023年新高考资料_二轮复习_考点2023年高考数学二轮复习讲义+训练(新高考专用)

文档信息

文档格式
docx
文档大小
5.877 MB
文档页数
73 页
上传时间
2026-03-16 12:43:29

文档内容

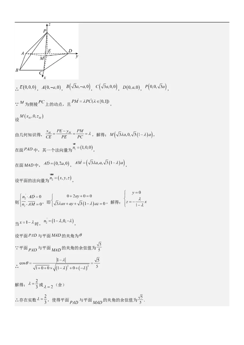
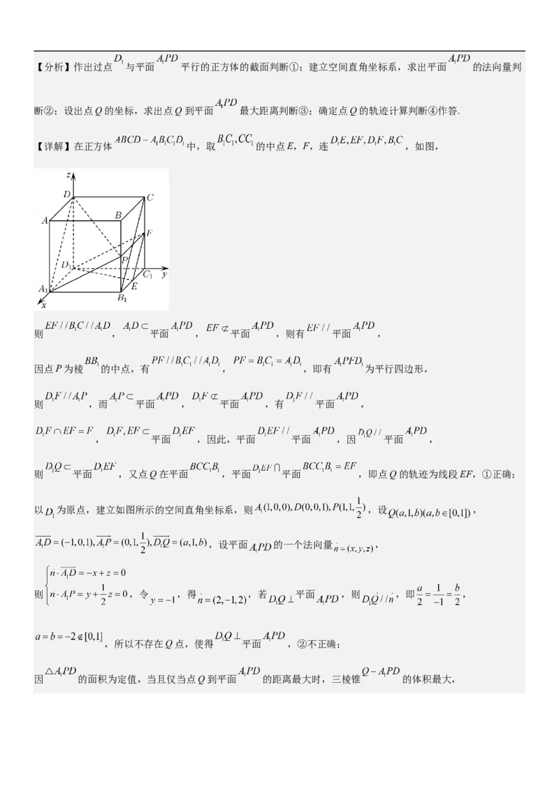
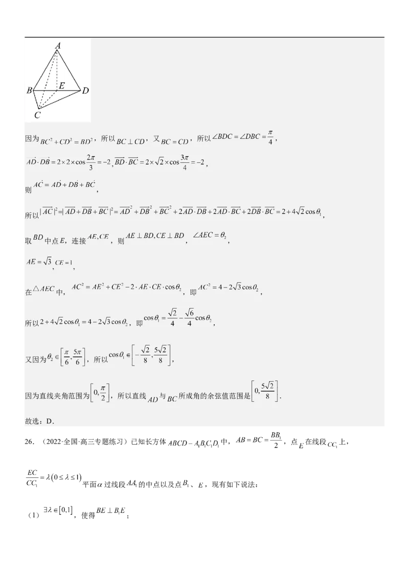
专题18 空间向量在立体几何中的应用(角和距离) 【练基础】 一、 单选题 1.(2022·全国·统考高考真题)在正方体 中,E,F分别为 的中点,则( ) A.平面 平面 B.平面 平面 C.平面 平面 D.平面 平面 【答案】A 【分析】证明 平面 ,即可判断A;如图,以点 为原点,建立空间直角坐标系,设 ,分别求出 平面 , , 的法向量,根据法向量的位置关系,即可判断BCD. 【详解】解:在正方体 中, 且 平面 , 又 平面 ,所以 , 因为 分别为 的中点, 所以 ,所以 , 又 , 所以 平面 , 又 平面 , 所以平面 平面 ,故A正确; 选项BCD解法一: 如图,以点 为原点,建立空间直角坐标系,设 , 则 ,, 则 , , 设平面 的法向量为 , 则有 ,可取 , 同理可得平面 的法向量为 , 平面 的法向量为 , 平面 的法向量为 , 则 , 所以平面 与平面 不垂直,故B错误; 因为 与 不平行, 所以平面 与平面 不平行,故C错误; 因为 与 不平行, 所以平面 与平面 不平行,故D错误, 故选:A.选项BCD解法二: 解:对于选项B,如图所示,设 , ,则 为平面 与平面 的交线, 在 内,作 于点 ,在 内,作 ,交 于点 ,连结 , 则 或其补角为平面 与平面 所成二面角的平面角, 由勾股定理可知: , , 底面正方形 中, 为中点,则 , 由勾股定理可得 , 从而有: , 据此可得 ,即 , 据此可得平面 平面 不成立,选项B错误; 对于选项C,取 的中点 ,则 ,由于 与平面 相交,故平面 平面 不成立,选项C错误; 对于选项D,取 的中点 ,很明显四边形 为平行四边形,则 , 由于 与平面 相交,故平面 平面 不成立,选项D错误; 故选:A. 2.(2023·全国·高三专题练习)下图为正三棱柱 的一个展开图,若A, , ,D, , 六点在同 一个圆周上,则在原正三棱柱中,直线AE和直线BF所成角的余弦值是( ) A. B. C. D. 【答案】A【分析】根据六点共圆,设原正三棱柱的底面边长为2a,高为2b,圆的半径为r,数形结合,列出方程,可得 ,分别求得 和 的值,代入向量求夹角公式,即可得答案. 【详解】六点共圆的示意图如图所示. 设原正三棱柱的底面边长为2a,高为2b,圆的半径为r. 则有方程组 ,解得 . 从而在原正三棱柱中,高为底面边长的 倍. 设直线AE和直线BF所成角为 ,则 . 由勾股定理, ; 所以 . 故选:A 【点睛】本题属于中档偏难题,涉及的知识点较多,主要考查几何体的展开图、异面直线所成的角等.题干以 “六点共圆”为条件,是创新的体现,需要熟练掌握.3.(2022秋·湖北黄冈·高三校考期中)平行六面体 中, ,则 与底面 所成的线面角的正弦值是( ) A. B. C. D. 【答案】A 【分析】连接 , 相交于点 ,依题意可得 平面 ,从而得到平面 平面 ,则 是 与底面 所成角,利用锐角三角函数求出 ,建立如图所示空间直角坐标系,求出 点的坐标,即可得到 点的坐标,利用空间向量法求出线面角的正弦值. 【详解】解:如图所示,连接 , 相交于点 ,连接 . 平行六面体 中 ,且 , 不妨令 , , 都是等边三角形. 是等边三角形. , , , 平面 平面 , 平面 , 平面 平面 , 是 与底面 所成角. 因为 , ,所以 .如图建立空间直角坐标系,则 , , , , 其中 的坐标计算如下,过 作 交 于点 , 因为 , ,所以 , 所以 , , 因为 所以 ,所以 , 显然平面 的法向量为 , 设 与底面 所成的角为 ,则故选:A 4.(2023·全国·高三专题练习)在矩形ABCD中,O为BD中点且 ,将平面ABD沿对角线BD翻折至二 面角 为90°,则直线AO与CD所成角余弦值为( ) A. B. C. D. 【答案】C 【分析】建立空间直角坐标系,利用向量法求得直线AO与CD所成角余弦值. 【详解】在平面 中过 作 ,垂足为 ; 在平面 中过 作 ,垂足为 . 由于平面 平面 ,且交线为 , 所以 平面 , 平面 , 设 , , 同理可得 , 以 为原点,建立如图所示空间直角坐标系,则 , , 设 与 所成角为 , 则 . 故选:C 5.(2023·全国·高三专题练习)如图,已知正方体 的棱长为1,则线段 上的动点P到直线 的距离的最小值为( ) A.1 B. C. D. 【答案】D 【分析】利用坐标法,设 ,可得动点P到直线 的距离为 ,然后利用二次 函数的性质即得.【详解】如图建立空间直角坐标系,则 , 设 ,则 , ∴动点P到直线 的距离为 ,当 时取等号, 即线段 上的动点P到直线 的距离的最小值为 . 故选:D. 6.(2023·全国·高三专题练习)正方体 棱长为 ,动点 在线段 上(含端点),以下结论不 正确的为( ) A.三棱锥 的体积为定值 B.过 , , 三点若可作正方体的截面,则截面图形为三角形或平面四边形 C.当点 和 重合时,三棱锥 的外接球体积为D.直线 与面 所成角的正弦值的范围为 【答案】D 【分析】根据锥体体积公式、正方体的截面、三棱锥的外接球、线面角等知识对选项进行分析,从而确定正确答 案. 【详解】A选项,根据正方体的性质可知 平面 , 平面 , 所以 平面 , 所以 到平面 的距离为定值,设 到平面 的距离为 , 则 为定值,A选项正确. B选项,当 与 重合时,截面图形为平面四边形 ; 当 与 重合时, 平面四边形 ; 当 与 、 不重合时,截面图形为三角形或四边形,所以B选项正确.C选项,当点 和 重合时,三棱锥 的外接球,也即正方体 的外接球, 外接球的直径为 ,半径为 ,体积为 ,C选项正确. D选项,建立如下图所示空间直角坐标系,则 设 , , 设平面 的法向量为 ,则 ,故可设 , 设直线 与面 所成角为 , 则 , 对于函数 ,开口向上,对称轴 , 所以最大值为 ,最小值为 , 所以 , ,D选项错误. 故选:D 7.(2022·河南省直辖县级单位·统考二模)如图,已知AB是圆柱底面圆的一条直径,OP是圆柱的一条母线,C 为底面圆上一点,且 , ,则直线PC与平面PAB所成角的正弦值为( )A. B. C. D. 【答案】A 【分析】根据圆柱的特征,以 为原点建立空间直角坐标系,根据题意可得 , , ,利用 向量法即可求出答案. 【详解】解:因为AB是圆柱底面圆的一条直径, 所以 , 又OP是圆柱的一条母线, 如图,以 为原点建立空间直角坐标系, 因为 ,所以 , , 又因 ,所以 , 所以 ,即 , 设 ,则 , 则 , 则 , 设平面PAB的法向量为 , 则有 ,可取 ,则 , 所以直线PC与平面PAB所成角的正弦值为 . 故选:A. 8.(2023·全国·高三专题练习)在中国古代数学著作《九章算术》中记载了一种称为“曲池”的几何体,该几何 体的上、下底面平行,且均为扇环形(扇环是指圆环被扇形截得的部分).现有一个如图所示的曲池,它的高为2, , , , 均与曲池的底面垂直,底面扇环对应的两个圆的半径分别为1和2,对应的圆心角为90°, 则图中异面直线 与 所成角的余弦值为( ) A. B. C. D. 【答案】A 【分析】建立空间直角坐标系,以向量法去求解异面直线 与 所成角的余弦值.【详解】 设上底面圆心为 ,下底面圆心为 ,连接 以 为原点,分别以 所在直线为x轴、y轴、z轴建立空间直角坐标系 则 则 又异面直线所成角的范围为 故异面直线 与 所成角的余弦值为 故选:A 二、多选题 9.(2023·云南·统考模拟预测)如图,在正方体 中,E、F、G分别为 的中点,则 ( )A. B. 与 所成角为 C. D. 平面 【答案】ABD 【分析】利用坐标法,根据向量运算结合条件逐项分析即得. 【详解】以点D为坐标原点, 所在直线分别为x、y、z轴建立如图所示的空间直角坐标系, 设正方体 的棱长为2,则 . 对于A选项, ,所以 ,故A选项正确; 对于B选项, , , 所以,向量 与向量 的夹角是 , 与 所成角为 ,故B选项正确; 对于C选项, ,则 ,故C选项错误; 对于D选项,设平面 的法向量为 , 由 ,可得 ,取 ,可得 ,又 , ∵ ,∴ ,∵ 平面 ,∴ 平面 ,故D选项正确. 故选:ABD. 10.(2023·全国·模拟预测)已知四棱锥 的顶点都在一个表面积为 的球面上, 平面ABCD,底 面ABCD是正方形, ,则( ) A. B. C.直线PC与直线AB所成角的大小为 D.直线PC与平面PAB所成角的大小为 【答案】BC 【分析】解法一、 设四棱锥的外接球球心为O,连接AC与BD交于点E,取PA的中点F,可得四边形OEAF为矩形,利用勾股定理 求出 可得 可判断A;由线面垂直的性质定理和判定定理可判断B;利用勾股定理求出∠PCD可判断C;在 中求出 可判断D; 解法二、 将四棱锥 补成长方体,设四棱锥的外接球球心为O,根据长方体的外接球即四棱锥的外接球,长方体的 外接球的球心为长方体的中心,长方体的体对角线为外接球的直径可判断A;由线面垂直的性质定理和判定定理 可判断B;在 中求出 可判断C; 在 中求出 可判断D; 解法三、 以A为坐标原点,AB,AD,AP所在直线分别为x,y,z轴建立空间直角坐标系,求出 、 的坐标计算出 可判断B;求出 可判断C;求出平面PAB的一个法向量,设直线PC与平面PAB所成角的大 小为 ,由线面角的向量求法求出 的值可判断D. 【详解】解法一、 对于A选项:设四棱锥的外接球球心为O,因为球O的表面积为 ,所以球O的半径为2,连接AC,与BD交 于点E,取PA的中点F,连接OE,OF,则 平面ABCD,四边形OEAF为矩形,连接OA,在 中, ,所以 ,故A错误; 对于B选项:因为 平面ABCD,所以 ,因为 , ,PA, 平面PAC,所以平面PAC,又 平面PAC, 所以 ,故B正确; 对于C选项:因为 ,所以∠PCD是直线PC与直线AB所成角, 因为 平面ABCD,所以 ,又 , , PA, 平面PAD,所以 平面PAD, 所以 ,在 中, , ,所以 ,故C正确; 对于D选项:易得 平面ABP,所以∠CPB是直线PC与平面PAB所成角, 在 中, , ,所以 ,故D错误. 故选:BC. 解法二、 由题意知,可将四棱锥 补成长方体.设四棱锥的外接球球心为O, 因为球O的表面积为 ,所以球O的半径为2,则长方体的体对角线的长为4(点拨:长方体的外接球即四棱锥 的外接球,长方体的外接球的球心为长方体的中心,长方体的体对角线为外接球的直径), 对于A选项:设 ,则 ,即 , 所以 ,即 ,故A错误; 对于B选项:因为 平面ABCD, 平面ABCD,所以 ,连接AC,易知 ,因为 ,PA, 平面PAC,所以 平面PAC,又 平面PAC,所以 ,故B正确; 对于C选项:易知 ,所以∠PCD是直线PC与直线AB所成的角,在 中,易知 , , 所以 ,故C正确; 对于D选项:易知 平面PAB,所以∠CPB是直线PC与平面PAB所成的角, 在 中,易知 , ,所以 ,故D错误. 故选:BC. 解法三、 对于选项B,C,D,可以以A为坐标原点,AB,AD,AP所在直线分别为x,y,z轴建立如图所示的空间直角坐 标系,则 , , , , ,故 , ,, .则 ,故 ,B正确; ,所以直 线PC与直线AB所成角的大小为 ,C正确;易知 为平面PAB的一个法向量,设直线PC与平面 PAB所成角的大小为 ,则 ,所以直线PC与平面PAB所成角的大小为 ,D错误. 故选:BC. 11.(2023·山东威海·统考一模)在棱长为1的正方体 中,点P满足 , , ,则( ) A.当 时, 的最小值为 B.当 时,有且仅有一点P满足 C.当 时,有且仅有一点P满足到直线 的距离与到平面ABCD的距离相等 D.当 时,直线AP与 所成角的大小为定值 【答案】ACD 【分析】对于选项A,先判断P点的轨迹,再将问题平面化即可求解;对于选项BCD,建立空间直角坐标系,利 用向量方法即可求解. 【详解】如图所示,以A为原点建立空间直角坐标系,则 , , , , , , , , 则 , , , 则 ,∴ . 选项A:当 时, 为线段 上的点, A B C D 将平面 1 1 1 1和平面 沿 展开为同一个平面如图, 连接 ,则 的最小值即为 ,故A正确; 选项B:当 时, , , , 则 ,即 ,即满足条件的P点有无数个,故B错误; 选项C:当 时, , 则 , , , , 则 在 上的投影为 , 则点P到直线 的距离 ; 平面ABCD的一个法向量为 , ,则点P到平面ABCD的距离为 ; 当点P到直线 的距离与到平面ABCD的距离相等时, ,∵ ,∴方程有一个解 , 则 ,即仅存在一个点P满足条件,故C正确; D选项:当 时, , , ∵ ,故直线AP与 所成角的大小为 ,为定值,故D正确. 故选:ACD. 【点睛】本题利用空间向量解决空间里面距离和夹角的计算,关键是熟练掌握点到直线距离、点到平面距离、直 线夹角的向量求法. 12.(2023·广东梅州·统考一模)如图,在直三棱柱 中, , , , 为 棱 的中点; 为棱 上的动点(含端点),过点A、 、 作三棱柱的截面 ,且 交 于 ,则( ) A.线段 的最小值为 B.棱 上的不存在点 ,使得 平面 C.棱 上的存在点 ,使得 D.当 为棱 的中点时, 【答案】ABD 【分析】如图,以 为 轴建立空间直角坐标系 ,用空间向量法研究空间位置关系,求线段 长,从而判断各选项.【详解】如图,以 为 轴建立空间直角坐标系 , 则 , , , , , , 由于 与底面 垂直,因此当 与 重合时, 在平面 内, ,此时 最小为 ,A正确; , , 若 , 与 不垂直,因此 不可能与平面 垂直,B正确; 设 ,则 , , 若 ,则 ,即 ,此方程无实数解,因此棱 上的 不存在点 ,使得 ,C错; 是 中点时, , ,D正确. 故选:ABD. 三、填空题 13.(2023·广东江门·统考一模)已知直线l过点 ,且直线l的一个方向向量为 ,则坐标原点 O到直线l的距离d为___________. 【答案】 【分析】根据空间中点到直线距离公式计算即可. 【详解】由题知,直线 过点 ,且直线 的方向向量为 ,点 ,所以 , 所以点 到 的距离为 故答案为: . 14.(2023·上海·统考模拟预测)正方体 的边长为1,点 分别为 边的中点, 是侧 面 上动点,若直线 与面 的交点位于 内(包括边界),则所有满足要求的点 构成的图形 面积为__________. 【答案】 ## 【分析】设 ,利用空间向量求交点 的坐标,再根据交点 位于 内(包括边界),则 ,求出 满足的关系式,作出相应区域,即可得结果. 【详解】如图,以 为坐标原点建立空间直角坐标系,则 ,设 ,可得 , 设平面 的法向量为 ,则有 , 令 ,则 ,即 , 设直线 与面 的交点为 , 则 , ∵点 在直线 上,可设 , 则 ,即 , 故 ,则 , 又∵点 在面 上,则 ,解得 , 故 , 则 , 设 , 则 ,解得 , 若点 位于 内(包括边界),则 ,整理得 ,如图,在 面中,即 , 作出相应的区域,可得 , 故点 构成的图形面积为 . 故答案为: . 【点睛】关键点点睛: (1)根据三点共线:若 在直线 上,可设 ,用 表示点 的坐标; (2)根据共面向量:点 位于 内(包括边界),则 . 15.(2022·湖南永州·统考一模)在四棱锥 中,平面 平面 ,四边形 为等腰梯形, 为等边三角形, ,则四棱锥 的外接球球心 到平面 的 距离是___________. 【答案】 【分析】根据题意分析可得外接球球心 必在 上,结合球的相关性质求 ,再建系,利用空间向量求点到面 的距离. 【详解】取 的中点 ,连接 ∵ 为等边三角形,则 平面 平面 ,平面 平面 ∴ 平面取 的中点 ,由于四边形 为等腰梯形,且 , 则可以得到 ,即 为等腰梯形 的外接圆的圆心 过 作 的平行线 ,则外接球球心 必在 上 ,设 ,在梯形 中, ,则 ∵ ,即 ,解出 , 建系如图,则 设平面 的法向量 ,则 令 ,则 ,则 ∵ ,则 到平面 的距离 故答案为: .【点睛】对于具有外接球的锥体:其外接球的球心位于过底面多边形的外心且与底面垂直的垂线上.再结合球的截 面性质列方程求其半径. 16.(2023春·北京·高三北京市陈经纶中学校考开学考试)如图,在棱长为2的正方体ABCD﹣ABC D 中,点E 1 1 1 1 为棱CD的中点,点F为底面ABCD内一点,给出下列三个论断: ①AF⊥BE; 1 ②AF=3; 1 ③S ADF=2S ABF. △ △ 以其中的一个论断作为条件,另一个论断作为结论,写出一个正确的命题:__. 【答案】若 ,则 ;(若 ,则 ).写出其中一个即可. 【分析】建立空间直角坐标系,利用向量法能求出结果. 【详解】解:如图,建立空间直角坐标系D﹣xyz, 则 ,0, , ,2, , ,1, , , , , 设 , , , , ,则 , , , , , ,, 以其中的一个论断作为条件,另一个论断作为结论,能写出两个正确的命题: 若 ,则 ;若 ,则 . 故答案为:若 ,则 ;(若 ,则 ).写出其中一个即可.. 四、解答题 17.(2023·全国·高三专题练习)如图,在四棱锥P-ABCD中, ,且 ,底面ABCD是边长为2的 菱形, . (1)证明:平面PAC⊥平面ABCD; (2)若 ,求平面PAB与平面PBC夹角的余弦值. 【答案】(1)证明见解析 (2) . 【分析】(1)连接 ,证明BD⊥平面APC,再由 平面ABCD,得出平面APC⊥平面ABCD. (2)作辅助线,利用线面垂直的判定证明PH⊥平面ABCD,以O为坐标原点,建立坐标系,利用向量法求解即 可. 【详解】(1)连接DB交AC于点O,连接PO. 因为ABCD是菱形,所以BD⊥AC,且O为BD的中点. 因为PB=PD,所以PO⊥BD. 又因为AC, 平面APC,且 ,所以BD⊥平面APC. 又 平面ABCD,所以平面APC⊥平面ABCD. (2)取AB中点M,连接DM交AC于点H,连接PH. 因为 ,所以△ABD是等边三角形,所以DM⊥AB.又因为PD⊥AB, , 平面PDM, 所以AB⊥平面PDM.所以AB⊥PH. 由(1)知BD⊥PH,且 ,所以PH⊥平面ABCD. 由ABCD是边长为2的菱形,在△ABC中, , . 由AP⊥PC,在△APC中, ,所以 . 以O为坐标原点, 、 分别为x轴、y轴建立如图所示空间直角坐标系, 则 , , , , , 所以 , , . 设平面PAB的法向量为 , 所以 , 令 得 . 设平面PBC的法向量为 ,所以 , 令 得 . 设平面PAB与平面PBC的夹角为 . 所以, 所以,平面PAB与平面PBC夹角的余弦值为 . 18.(2023·山东泰安·统考一模)在如图所示的几何体中,底面ABCD是边长为6的正方形, , , , ,点P,Q分别在棱GD,BC上,且 , , . (1)证明: 平面ABCD; (2)设H为线段GC上一点,且三棱锥 的体积为18,求平面ACH与平面ADH夹角的余弦值. 【答案】(1)证明见解析 (2)【分析】(1)由线面垂直的判定定理证明即可; (2)由三棱锥的体积公式结合题意可知H为GC的中点,由(1)知, 平面ABCD,以A原点,AB,AD, AE所在直线分别为x轴,y轴,z轴,建立如图所示的空间直角坐标系,分别求出平面ACH与平面ADH的法向量, 由二面角的向量公式代入即可得出答案. 【详解】(1)取线段AD中点R,RD的中点K,连接GR,PK,QK ∵ , ∴E,A,D,G四点共面,且 , ∴ARGE为平行四边形,∴ 又∵ , ∴ ,∴ ∵ , ,∴ ,∴ 又∵ ,PQ, 平面PQK, , ∴ 平面PQK,又∵ 平面PQK ∴ ,∴ 又∵ ,AB, 平面ABCD, ∴ 平面ABCD (2)设H到平面ABCD的距离为h,则三棱锥 的体积为 ,∴ 又∵G到平面ABCD的距离为6,∴H为GC的中点 由(1)知, 平面ABCD,以A原点,AB,AD,AE所在直线分别为x轴,y轴,z轴,建立如图所示的空间 直角坐标系,则 , , , ,∴ , , 设平面ACH的一个法向量为 ,则 ∴ ,取 ,解得 ∴ 设平面ADH的一个法向量为 ,则 ∴ ,取 ,解得 ∴ ∴ , ∴平面ACH与平面ADH夹角的余弦值为 . 【提能力】 一、单选题 19.(2023·全国·高三专题练习)如图,在三棱锥 中, 平面ABC, 是边长为2的正三角形, ,E,F分别为MA,MC的中点,则异面直线BE与AF所成角的余弦值为( )A. B. C. D. 【答案】B 【分析】解法一设H为MF的中点,连接EH,BH,由E是MA的中点知 , ,进而得到 是异面直线BE与AF所成的角或其补角,根据已知条件计算出 的各边长,再利用余弦定理即可求出 的余弦值,从而可得异面直线BE与AF所成角的余弦值; 解法二建立空间直角坐标系,写出相关点及向量的坐标,利用向量的夹角公式即可得解. 【详解】解法一:设H为MF的中点,连接EH,BH,如图, ∵E是MA的中点, ∴ , . ∴ 是异面直线BE与AF所成的角或其补角. ∵ 平面ABC,∴ , , ∵ , , ∴ ,∴ . ∵F为MC的中点, ∴ , , 又 , ∴在 中, , , ∴ , ∴异面直线BE与AF所成角的余弦值为 , 解法二:以A为坐标原点,AC,AM所在直线分别为y,z轴建立空间直角坐标系如图所示, 易知 , , , , 所以 , , 则 , ∴异面直线BE与AF所成角的余弦值为 ,故选:B. 20.(2022·陕西咸阳·武功县普集高级中学校考一模)如图,在直二面角 中, 是直线 上两点,点 ∴ ,点 ,且 , , ,那么直线 与直线 所成角的余弦值为( ) A. B. C. D. 【答案】B 【分析】建立空间直角坐标系,求得相关点的坐标,求出向量 的坐标,利用向量的夹角公式求得答案. 【详解】如图,以B为坐标原点,以过点B作BC的垂线为x轴,以BC为y轴,BA为z轴,建立空间直角坐标系, 则 , 故 , 则 , 故直线 与直线 所成角的余弦值为 , 故选:B. 21.(2023·湖南衡阳·校考模拟预测)如图所示,正方体 中,点 为底面 的中心,点 在 侧面 的边界及其内部移动,若 ,则异面直线 与 所成角的余弦值的最大值为( )A. B. C. D. 【答案】C 【分析】建立空间直角坐标系,利用向量法得出异面直线 与 所成角的余弦值的最大值. 【详解】建立如下图所示的空间直角坐标系,设正方体的棱长为2 , , , 设 ,因为 , 所以 ,则 在侧面 内取一点 ,使得 ,则 易知三角形 为直角三角形,则 设 ,对称轴为 ,则 即 故选:C22.(2023·全国·高三专题练习)如图正方体 ,中,点 、 分别是 、 的中点, 为正 A B C D 方形 1 1 1 1 的中心,则( ) A.直线 与 是异面直线 B.直线 与 是相交直线 C.直线 与 互相垂直 D.直线 与 所成角的余弦值为 【答案】C 【分析】根据空间直线的位置关系判断直线 与 , 是否异面,用向量法求异面直线所成角.即可得到答案. A B C D 【详解】在正方体 中,点 分别是 的中点, 为正方形 1 1 1 1的中心,易知四边形 为平行四边形,所以 相交,故A不正确. 若直线 是相交直线,则直线 相交或平行,这与题意不符合,故B不正确.以 分别为 轴建立空间坐标系,设正方体的棱长为2,如图 则 , 则 , , , , ,故C正确. ,故D不正确. 故选:C 23.(2021·山西吕梁·统考一模)如图正三棱柱 的各棱长相等, 为 的中点,则异面直线 与 所成的角为( ) A. B. C. D. 【答案】D【分析】构建空间直角坐标系,求直线的方向向量,应用空间向量数量积的坐标表示可得 ,即知异面 直线的夹角. 【详解】以 为原点,构建如下图示的空间直角坐标系, 令正三棱柱 的棱长为2,则 , , , , 所以 , ,则 ,即异面直线 与 所成的角为 . 故选:D A B C D 24.(2022·浙江·高三专题练习)已知正方体 的棱长为2,点E,F在平面 1 1 1 1内,若 , ,则下列选项中错误的是( ) A.点E的轨迹是圆的一部分 B.点F的轨迹是一条线段 C. 的最小值为 D. 与平面 所成角的正弦值的最大值为 【答案】D 【分析】根据圆的定义、线面垂直的判定定理,结合圆的性质,空间向量夹角公式逐一判断即可.A B C D 【详解】对于A, ,即 ,所以 ,即点E在平面 1 1 1 1内,以 为圆心,1为半径的圆上,其轨迹为圆 的一部分,故A正确. 对于B,正方体 中, ,又 ,且 ,所以 平面 ,所以点F 在 上,即F的轨迹为线段 ,故B正确. A B C D 对于C,在平面 1 1 1 1内, 到直线 的距离 ,如图1,当点E,F落在 上时, , 故C正确. 对于D,建立如图2所示的空间直角坐标系 ,则 . A B C D 因为点E为在平面 1 1 1 1内,以 为圆心,1为半径的圆上,可设 ,所以 . 设平面 的法向量 ,则不妨令 ,则 . 设 与平面 所成角为 , 则 , 当且仅当 时, 有最大值 ,故D错误. 故选:D 【点睛】关键点睛:利用空间夹角公式进行求解是解题的关键. 25.(2023·全国·高三专题练习)如图,四边形 中, .现将 沿 折起,当二面角 处于 过程中,直线 与 所成角的余弦值取值范围是( ) A. B. C. D. 【答案】D 【分析】设向量 与 所成角为 ,二面角 的平面角大小为 ,由 平方后求得 ,取 中点E,连接 ,则 , 中应用余弦定理求得 ,两者结合和是 与 的关系, 从而求得结论. 【详解】设向量 与 所成角为 ,二面角 的平面角大小为 ,因为 ,所以 ,又 ,所以 , , , 则 , 所以 , 取 中点E,连接 ,则 , , , , 在 中, ,即 , 所以 ,即 , 又因为 ,所以 , 因为直线夹角范围为 ,所以直线 与 所成角的余弦值范围是 . 故选:D. 26.(2022·全国·高三专题练习)已知长方体 中, ,点 在线段 上, 平面 过线段 的中点以及点 、 ,现有如下说法: (1) ,使得 ;(2)若 ,则平面 截长方体 所得截面为平行四边形; (3)若 , ,则平面 截长方体 所得截面的面积为 以上说法正确的个数为( ) A. B. C. D. 【答案】D 【分析】以点 为坐标原点, 、 、 所在直线分别为 、 、 轴建立空间直角坐标系,由 得 出 求出 的值,可判断(1)的正误;确定截面与各棱的交点位置,结合平行四边形的判断方法可判断 (2)的正误;计算出截面面积可判断(3)的正误. 【详解】(1)以点 为坐标原点, 、 、 所在直线分别为 、 、 轴建立如下图所示的空间直角坐标 系, 设 ,则 、 、 , , , 若 ,则 ,解得 , (1)正确;对于(2),在棱 找点 ,由面面平行的性质可知 ,设点 , , , 因为 ,可设 ,则 ,则 ,则 , 当 时, ,此时点 在棱 上,且有 , 故四边形 为平行四边形,(2)正确; 对于(3),设截面交棱 于点 ,连接 、 ,因为平面 平面 ,平面 平面 ,平面 平面 ,所以, , 由图可知, ,则 ,故 , 所以,点 为 的中点,则 、 、 、 , 可求得 , , , , 取 的中点 ,连接 ,则 ,且 , , ,故 ,故 , 所以,截面面积为 ,(3)正确. 故选:D. 【点睛】方法点睛:确定截面形状,一般要结合线面平行、面面平行的性质以及空间向量法确定各交点的位置, 也可采用补形法等手段扩展截面,进而确定截面的形状.二、多选题 27.(2022·全国·模拟预测)已知正方体 中, , , 分别为棱AB,BC的中点,过点 E,F作正方体的截面,则下列说法正确的是( ) A.若截面过点 ,则截面周长为 B.若点 是线段 上的动点(不含端点),则 的最小值为 C.若截面是正六边形,则直线 与截面垂直 D.若截面是正六边形,S,T是截面上两个不同的动点,设直线 与直线ST所成角的最小值为 ,则 【答案】AC 【分析】根据正方体的几何性质,结合空间向量夹角公式、余弦定理逐一判断即可. 【详解】A选项:如图1所示,设直线EF与直线DA,DC分别交于点K,L,连接 交 于点 ,连接 交 于点 ,因此有 , 为 的靠近点 的三等分点, 为 的靠近点 的 三等分点, .连接ME,NF,则过点 的截面即五边形 .易得 , , ,故截面 的周长为 .故A正确.B选项:连接 ,以 所在直线为轴,将 旋转到平面 上,连接 ,则线段 的长即 的最小值. 在 中, , ,则由余弦定理,得 , 所以B错误. C,D选项:若截面是正六边形,则截面如下图中六边形PQRFEG所示,其中各顶点是所在棱的中点.以 , , 所在直线分别为x,y,z轴建立空间直角坐标系,则 , , , , , , ,所以 , , , ,所以 , ,故 , ,又 ,所以 与截面垂 直.设直线 与截面所成角为 ,则 .因为 截面,所以易知直 线 与直线ST所成的最小角即直线 与截面所成的角,所以 ,故C正确,D错误.故选:AC 【点睛】关键点睛:利用空间向量夹角公式、正方体的几何性质是解题的关键. 28.(2022秋·吉林长春·高三长春市第二实验中学校考期末)如图,在平行四边形 中, , 分别为 的中点,沿 将 折起到 的位置( 不在平面 上),在折起过程中,下列说法不正确的是( ) A.若 是 的中点,则 平面 B.存在某位置,使 C.当二面角 为直二面角时,三棱锥 外接球的表面积为 D.直线 和平面 所成的角的最大值为 【答案】ABD 【分析】对于A,利用反证法,假设结论成立,再利用面面平行推出线面平行,得到矛盾,故A错;对于B,同 样采用反证法,假设结论成立,利用线线垂直推线面垂直,再结合空间向量,能得到矛盾,故B错误;对于C, 主要根据题目,判断得到该四面体各个面都是直角三角形,根据外接球性质,即可知道球心位置,从而求解;对 于D,利用线面角,可以判断出当平面 平面 时,直线 和平面 所成的角的最大,从而求出 该角的正切值,即可求解. 【详解】取 中点 ,连接 .若A正确, 平面 ,且 为三角形 中位线,则 , 面 ,则 面 , 因为 平面 所以平面 平面 , 因为面 平面 面 平面 所以 ,显然, 为三角形 中位线, ,矛盾,故假设不成立,A错误;以A为坐标原点,AD为y轴正半轴,在平面 中作与AD垂直方向为x轴正半轴,z轴垂直平面 ,建立 空间坐标系. 因为 , ,所以 , 所以 ,所以 ,所以 ,即 , 又因为 ,则 , 若B正确,则有 ,因为 平面 , 所以 平面 , 因为 平面 ,则 必定成立. 则根据题意,可得 、 、 、 . , , 则 ,即 不成立,故矛盾,所以B不成立; 当二面角 为直二面角时,即平面 平面 . 根据上面可知 ,所以 , 又 , 因为 , 平面 ,所以 平面 , 因为 平面 ,所以 , 故四面体 为所有面都是直角三角形的四面体,根据外接球性质可知,球心必为 中点 ,即 为外接球半径. , ,由勾股定理可知 ,则 ,外接球面积为 ,故C正确. 当平面 平面 时,直线 和平面 所成的角的最大,记此时角为 . 由上图可知,在 中, ,由余弦定理 可解得 . 此时 .此时 ,故D错. 故选:ABD 29.(2023·云南曲靖·曲靖一中校考模拟预测)如图,在棱长为 的正方体中,下列结论成立的是( )A.若点 是平面 的中心,则点 到直线 的距离为 B.二面角 的正切值为 C.直线 与平面 所成的角为 D.若 是平面 的中心,点 是平面 的中心,则 面 【答案】ABD 【分析】以 为坐标原点建立空间直角坐标系,利用点到直线距离、二面角、线面角的向量求法可判断ABC正误; 根据 可证得D正确. 【详解】以 为坐标原点, 正方向为 轴,可建立如图所示空间直角坐标系, 则 , , , , , , , , , , 对于A, , , , ,点 到直线 的距离 ,A正确; 对于B, , , 设平面 的法向量 , 则 ,令 ,解得: , , ; 轴 平面 , 平面 的一个法向量 , , , , 由图形可知:二面角 为锐二面角, 二面角 的正切值为 ,B正确; 对于C, 平面 , 平面 , , 又 , , 平面 , 平面 , 平面 的一个法向量为 ,又 , , 即直线 与平面 所成的角为 ,C错误; 对于D, 平面 的法向量 , , ,即 , 面 ,D正确. 故选:ABD. 30.(2023·全国·高三专题练习)在直三棱柱 中, , , 为 的中点, 点 是线段 上的点,则下列说法正确的是( )A. B.存在点 ,使得直线 与 所成的角是 C.当点 是线段 的中点时,三棱锥 外接球的表面积是 D.当点 是线段 的中点时,直线 与平面 所成角的正切值为 . 【答案】AD 【分析】建立空间直角坐标系,使用向量法可判断ABD;利用 的外心坐标设外接球球心坐标,根据 可得. 【详解】易知AB、BC、 两两垂直,如图建立空间直角坐标系 则 所以 , , , 记 因为 ,所以 ,A正确; 因为记直线 与 所成的角为 ,则 , 因为 ,所以 ,故B错误; 当点 是线段 的中点时,点P坐标为 易知 的外心坐标为 ,故设三棱锥 外接球的球心为 , 则 ,即 ,解得 , 所以三棱锥 外接球的半径 ,表面积 ,C错误; 当点 是线段 的中点时, , 易知 为平面 的一个法向量,记直线 与平面 所成角为 , 则 , 因为 ,所以 , 所以 ,D正确. 故选:AD三、填空题 31.(2022·全国·高三专题练习)已知三棱柱 的底面是边长为2的等边三角形,侧棱长为2,D为 的中点,若 ,则异面直线 与 所成角的余弦值为______. 【答案】 【分析】利用空间向量即可得解. 【详解】由题意, , , 所以 , , , 所以 故答案为: . 32.(2023·全国·高三专题练习)在棱长为1的正方体 中,点P是对角线 的动点(点P与 不重合),则下列结论正确的有___________.①存在点P,使得平面 平面 ; ②存在点P,使得 平面 ; A B C D ③ 分别是 在平面 1 1 1 1,平面 上的正投影图形的面积,对任意的点P都有 ; ④对任意的点P, 的面积都不等于 . 【答案】①②④ 【分析】当 为直线 与平面 的交点时,根据面面平行的判定定理即可判断①正确;当 为直线 与平 面 的交点时,根据线面垂直的判定定理即可判断②;计算出 的条件即可判断③;求出△ 的面积 的最小值即可判断④. 【详解】对于①,如图,因为 , 所以平面 平面 , 当直线 交平面 于点 时,有平面 平面 ,故①正确;对于②,如图,设正方体的棱长为2,则 , , 则 , 有 , ,所以 , , 又 平面 ,所以 平面 , 当直线 交平面 于点 时,有 平面 ,故②正确; 对于③,因为设 (其中 ), 则△ 在平面A B C D 的正投影面积为 , 1 1 1 1 又△ 在平面 上的正投影图形的面积与在平面 的正投影图形面积相等, 所以 , 若 ,则 ,解得 或 , 因为 ,所以 ,故存在点 ,使得 ;故③错误; 对于④,由于 固定不变,只要找 上的点到 的距离最短即可, 取 中点 ,连接 ,由②的分析可证得 平面 ,由 平面 得 ; 又 平面 , 平面 ,所以 , 所以 为直线 与 的公垂线,此时△ 的面积最小; 因为在正方体中,易知 , 又 ,所以 , 因此, ; 所以对任意点 ,△ 的面积都不等于 ,故④正确. 故答案为:①②④ 33.(2023·全国·高三专题练习)如图所示, 是棱长为 的正方体, 、 分别是下底面的棱 、 的中点, 是上底面的棱 上的一点, ,过 、 、 的平面交上底面于 , 在 上, 则异面直线 与 所成角的余弦值为___________.【答案】 ## 【分析】以点 为坐标原点, 、 、 所在直线分别为 、 、 轴建立空间直角坐标系,分析可知 ,可求得点 的坐标,再利用空间向量法可求得结果. 【详解】以点 为坐标原点, 、 、 所在直线分别为 、 、 轴建立如下图所示的空间直角坐标系, 则 、 、 、 、 、 , A B C D 因为平面 平面 1 1 1 1,平面 平面 ,平面 平面 ,所以, , 设点 , , ,因为 ,所以, ,即点 , , , 所以, . 因此,异面直线 与 所成角的余弦值为 . 故答案为: . 34.(2022·河南鹤壁·鹤壁高中校考模拟预测)如图,在棱长为1的正方体 中,P为棱 的中点, Q为正方形 内一动点(含边界),则下列说法中正确的是______. ①若 平面 ,则动点Q的轨迹是一条线段 ②存在Q点,使得 平面 ③当且仅当Q点落在棱 上某点处时,三棱锥 的体积最大 ④若 ,那么Q点的轨迹长度为 【答案】①③④【分析】作出过点 与平面 平行的正方体的截面判断①;建立空间直角坐标系,求出平面 的法向量判 断②;设出点Q的坐标,求出点Q到平面 最大距离判断③;确定点Q的轨迹计算判断④作答. 【详解】在正方体 中,取 的中点E,F,连 ,如图, 则 , 平面 , 平面 ,则有 平面 , 因点P为棱 的中点,有 , ,即有 为平行四边形, 则 ,而 平面 , 平面 ,有 平面 , , 平面 ,因此,平面 平面 ,因 平面 , 则 平面 ,又点Q在平面 ,平面 平面 ,即点Q的轨迹为线段EF,①正确; 以 为原点,建立如图所示的空间直角坐标系,则 ,设 , ,设平面 的一个法向量 , 则 ,令 ,得 ,若 平面 ,则 ,即 , ,所以不存在Q点,使得 平面 ,②不正确; 因 的面积为定值,当且仅当点Q到平面 的距离最大时,三棱锥 的体积最大,,点Q到平面 的距离 ,而 ,则当 时, , 而 ,即 ,因此点 与点 重合时,三棱锥 的体积最大,③正确; 因 平面 , 平面 ,则 ,因此 , 显然点Q的轨迹是以 为圆心,半径为 ,所含圆心角为 的扇形弧,弧长为 ,④正确. 故答案为:①③④ 【点睛】方法点睛:作截面的常用三种方法:直接法,截面的定点在几何体的棱上;平行线法,截面与几何体的 两个平行平面相交,或者截面上有一条直线与几何体的某个面平行;延长交线得交点,截面上的点中至少有两个 点在几何体的同一平面上. 四、解答题 35.(2023·全国·高三专题练习)如图,在四棱锥 中, 平面 , , ,且 , , 是 的中点,点 在 上,且 . (1)证明: 平面 ; (2)求二面角 的正弦值. 【答案】(1)证明见解析; (2) 【分析】(1)在线段 上取点 ,使得 ,进而证明 即可证明结论; (2)如图,以 点为坐标原点,建立空间直角坐标系 ,利用坐标法求解即可;【详解】(1)证明:在线段 上取点 ,使得 , 所以,在 中, ,且 , 因为在四边形 中, , , 所以, , 所以,四边形 是平行四边形, 所以 , 因为 平面 , 平面 , 所以 平面 . (2)解:如图,以 点为坐标原点,建立空间直角坐标系 , 所以, , 因为 是 的中点,点 在 上,且 , 所以 , 所以, ,设平面 的一个法向量为 , 所以, ,即 ,令 得 , 由题,易知平面 的一个法向量为 , 所以 , 所以 , 所以,二面角 的正弦值为 .36.(2023·全国·高三专题练习)如图,在四棱锥 中,底面 是直角梯形, , , , ,侧面 是等腰三角形, . (1)求证: ; (2)若侧面 底面 ,侧棱 与底面 所成角的正切值为 , 为侧棱 上的动点,且 .是否存在实数 ,使得平面 与平面 的夹角的余弦值为 ?若存在,求出实数 若 不存在,请说明理由. 【答案】(1)证明见解析 (2)存在, . 【分析】(1)通过证明线面垂直,即可证明 ; (2)建立平面直角坐标系,得到各点的坐标,设出点 坐标,求出平面 与平面 的法向量,通过两平面 夹角的余弦值即可求得实数 的值. 【详解】(1)由题意, 在四棱锥 中,取 的中点为 ,连接 , ,在等腰 中, ,∴ , 在直角梯形 中, , , , , ∴ , , ,四边形 是矩形, ∴ , , , , ∴ , , , ∵ 面 , 面 , 面 , , ∴ 面 , ∵ 面 , ∴ . (2)由题意及(1)得, , , , , 在四棱锥 中,侧面 底面 ,面 底面 , ∴ , ∵侧棱 与底面 所成角的正切值为 , 设 , ∴由几何知识得, ,四边形 是平行四边形, ∴ , , 在直角 中, , , ∴ , 建立空间直角坐标系如下图所示,∴ , , , , , , ∵ 为侧棱 上的动点,且 , 设 由几何知识得, ,解得: , 在面 中,其一个法向量为 , 在面 中, , , 设平面的法向量为 , 则 ,即 ,解得: 当 时, , 设平面 与平面 的夹角为 ∵平面 与平面 的夹角的余弦值为 ∴ 解得: 或 (舍) ∴存在实数 ,使得平面 与平面 的夹角的余弦值为 .37.(2023·全国·高三专题练习)在三棱锥 中,D,E,P分别在棱AC,AB,BC上,且D为AC中点, , 于F. (1)证明:平面 平面 ; (2)当 , ,二面角 的余弦值为 时,求直线 与平面 所成角的正弦值. 【答案】(1)证明见解析 (2) 【分析】(1)先证明 平面 ,由此即可得到本题答案; (2)以点 为原点, 分别为 轴建立空间直角坐标系,求出向量 与平面 的法向量,然后 代入公式,即可得到本题答案. 【详解】(1)因为 , 所以 都是等腰三角形, 因为 于F,所以F为DE的中点, 则 , , 又因为 是平面 内两条相交直线, 所以 平面 , 又 平面 , 所以平面 平面 ;(2)因为 , ,所以 , , , 所以 , , 由(1)知 为二面角 的平面角 所以 , 以点 为原点, 分别为 轴建立空间直角坐标系,如图所示, 易得 , ,知 , 因为 , , 可得 , 所以 设平面 的法向量 , , 所以 ,令 ,则 , 所以 , 又 , 设直线 与平面 所成角为θ,, 所以直线 与平面 所成角的正弦值为 . 38.(2023·湖北武汉·统考模拟预测)如图,四棱台 的下底面和上底面分别是边 和 的正方形, 侧棱 上点 满足 . (1)证明:直线 平面 ; (2)若 平面 ,且 ,求直线 与平面 所成角的正弦值. 【答案】(1)证明见解析 (2) 【分析】(1)延长 和 交于点 ,连接 交 于点 ,连接 ,即可得到 ,从而得到 为中点,即可得到 且 ,从而得到 ,即可得解; (2)建立空间直角坐标系,利用空间向量法计算可得. 【详解】(1)证明:延长 和 交于点 ,连接 交 于点 ,连接 , 由 ,故 ,所以 ,所以 , 所以 ,所以 为 中点, 又 且 , 且 , 所以 且 , 故四边形 为平行四边形, 所以 ,又 平面 , 平面 , 所以 平面 . (2)解:以 为原点, , , 所在直线分别为 轴、 轴、 轴 建立如图所示的空间直角坐标系. 则 . 所以 . 设平面 的法向量 ,由 ,得 , 取 ,故所求角的正弦值为 , 所以直线 与平面 所成角的正弦值为 .