当前位置:首页>文档>第一部分第七章课时40 地质灾害_9.2025地理总复习_2025年新高考资料_一轮复习_2025高考大一轮复习讲义+练习(完结)_2025高考大一轮复习地理(湘教版)

第一部分第七章课时40 地质灾害_9.2025地理总复习_2025年新高考资料_一轮复习_2025高考大一轮复习讲义+练习(完结)_2025高考大一轮复习地理(湘教版)

  • 2026-04-12 20:30:48 2026-03-17 01:52:26

文档预览

第一部分第七章课时40 地质灾害_9.2025地理总复习_2025年新高考资料_一轮复习_2025高考大一轮复习讲义+练习(完结)_2025高考大一轮复习地理(湘教版)
第一部分第七章课时40 地质灾害_9.2025地理总复习_2025年新高考资料_一轮复习_2025高考大一轮复习讲义+练习(完结)_2025高考大一轮复习地理(湘教版)
第一部分第七章课时40 地质灾害_9.2025地理总复习_2025年新高考资料_一轮复习_2025高考大一轮复习讲义+练习(完结)_2025高考大一轮复习地理(湘教版)
第一部分第七章课时40 地质灾害_9.2025地理总复习_2025年新高考资料_一轮复习_2025高考大一轮复习讲义+练习(完结)_2025高考大一轮复习地理(湘教版)
第一部分第七章课时40 地质灾害_9.2025地理总复习_2025年新高考资料_一轮复习_2025高考大一轮复习讲义+练习(完结)_2025高考大一轮复习地理(湘教版)
第一部分第七章课时40 地质灾害_9.2025地理总复习_2025年新高考资料_一轮复习_2025高考大一轮复习讲义+练习(完结)_2025高考大一轮复习地理(湘教版)
第一部分第七章课时40 地质灾害_9.2025地理总复习_2025年新高考资料_一轮复习_2025高考大一轮复习讲义+练习(完结)_2025高考大一轮复习地理(湘教版)
第一部分第七章课时40 地质灾害_9.2025地理总复习_2025年新高考资料_一轮复习_2025高考大一轮复习讲义+练习(完结)_2025高考大一轮复习地理(湘教版)
第一部分第七章课时40 地质灾害_9.2025地理总复习_2025年新高考资料_一轮复习_2025高考大一轮复习讲义+练习(完结)_2025高考大一轮复习地理(湘教版)
第一部分第七章课时40 地质灾害_9.2025地理总复习_2025年新高考资料_一轮复习_2025高考大一轮复习讲义+练习(完结)_2025高考大一轮复习地理(湘教版)
第一部分第七章课时40 地质灾害_9.2025地理总复习_2025年新高考资料_一轮复习_2025高考大一轮复习讲义+练习(完结)_2025高考大一轮复习地理(湘教版)
第一部分第七章课时40 地质灾害_9.2025地理总复习_2025年新高考资料_一轮复习_2025高考大一轮复习讲义+练习(完结)_2025高考大一轮复习地理(湘教版)
第一部分第七章课时40 地质灾害_9.2025地理总复习_2025年新高考资料_一轮复习_2025高考大一轮复习讲义+练习(完结)_2025高考大一轮复习地理(湘教版)
第一部分第七章课时40 地质灾害_9.2025地理总复习_2025年新高考资料_一轮复习_2025高考大一轮复习讲义+练习(完结)_2025高考大一轮复习地理(湘教版)
第一部分第七章课时40 地质灾害_9.2025地理总复习_2025年新高考资料_一轮复习_2025高考大一轮复习讲义+练习(完结)_2025高考大一轮复习地理(湘教版)

文档信息

文档格式
docx
文档大小
3.137 MB
文档页数
15 页
上传时间
2026-03-17 01:52:26

文档内容

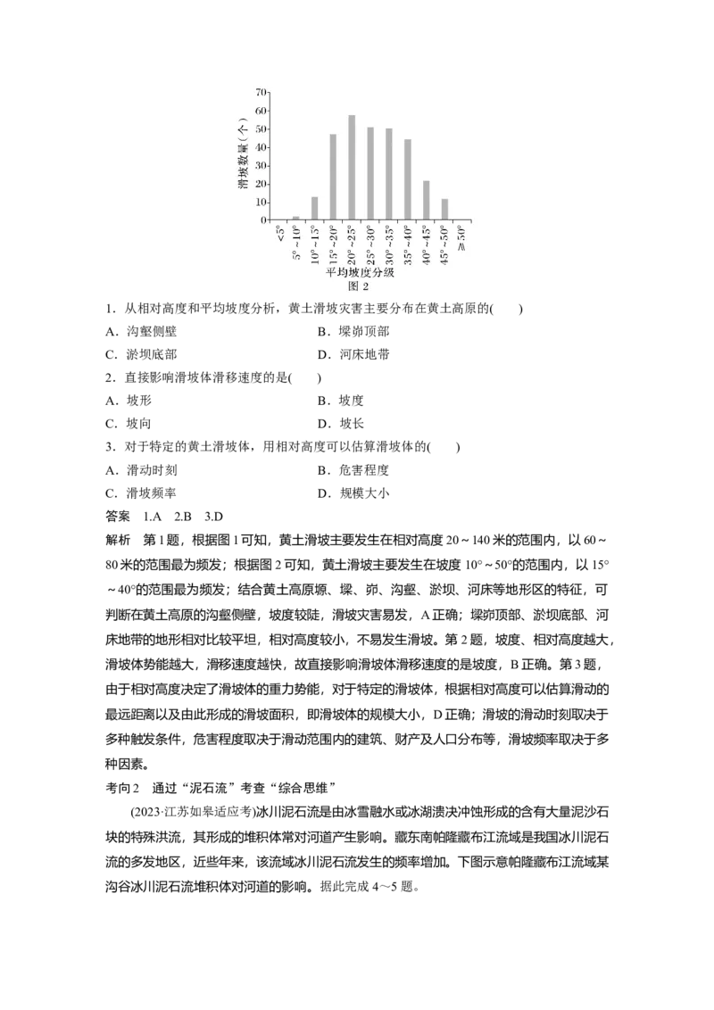
课时 40 地质灾害 1.地震 (1)概念:地壳快速释放能量过程中造成的地面震动,是一种危害和影响巨大的自然灾害。 (2)地震构造 ①图中C为震源、B为震中、BC为震源深度、AB为震中距。 ②D位于等震线上,等震线是指烈度相同的点连成的封闭的曲线。 ③震级与烈度:震级表示地震的大小,地震释放出来的能量越大,震级越高。烈度表示地震 对地表和建筑物等破坏强弱的程度。 概念辨析 震级和烈度 (1)震级反映地震本身能量的大小,只与地震释放的能量多少有关。由于一次地震释放多少 能量是一定的,因此一次地震只有一个震级。 (2)烈度则反映了地面实际受到的影响和破坏程度,它不仅与地震本身的大小(震级)有关,也 与震源深度、震中距及地震波通过区域的介质条件、地面建筑等多种因素有关,是根据地面 受震动的各种现象综合评价的。所以在震中距相同的地方,地震烈度有时相差很大。 (3)分布与危害2.滑坡和泥石流 名称 滑坡 泥石流 图示 山地沟谷中含有大量固体碎屑物和 大量山体物质在重力的作用下,沿 概念 水的混合体,在重力作用下,沿着 滑动面整体滑动的现象 沟床向下流动的特殊流体 ①岩体比较破碎;②地势起伏较 ①地形陡峻;②具有丰富的松散物 自然 大;③植被覆盖度较差;④降水等 质;③短时间内有大量水流;④地 影响 因素 的润滑作用;⑤地震、河流侵蚀等 震等破坏坡体稳定性 因素 对坡体稳定性的破坏 人为 人类活动(如破坏植被、不合理的开 因素 挖与堆积等)的触发作用 掩埋农田和村庄,阻断道路,淤塞 给工农业生产、交通运输、城市建 危害 河道,导致人员伤亡和财产损失 设和人民生命财产等带来很大危害 流水侵蚀强烈的山地丘陵区、工程建设频繁地区。我国滑坡和泥石流分布 多发地区 广泛,以西南地区最为多发 思考 如何理解地质灾害的关联性? 答案 各种地质灾害具有各自形成、发展、致灾的规律,同时各灾害之间又有一定的关联性。 地壳活动强烈,导致山体断裂发育、岩石破碎,若逢降雨集中,极易发生滑坡、泥石流等地 质灾害。地壳活动强烈,也可能导致地震频发,引发地裂、火灾、海啸等次生灾害。 1.滑坡的发生机制 2.泥石流的形成条件 (1)地形地貌有利于泥石流的贮集、运动和停淤。①沟谷形态:泥石流形成的空间场地分为形成、流通、堆积等三个区域。 形成空间 地形特征 对泥石流形成的作用 山高坡陡,三面环山、一面出口,比 植被覆盖较差,有利于水和固体 上游形成区 较开阔 碎屑物质聚集 地形多为狭窄陡深的峡谷,沟床纵坡 中游流通区 使泥石流能够迅猛直泄 降大 下游堆积区 平坦开阔的山前平原或较宽阔的河谷 使固体碎屑物质有堆积场地 ②沟床纵坡降:沟床纵坡降是影响泥石流形成、运动特征的主要因素。一般来说,沟床纵坡 降越大,越有利于泥石流的发生。 ③沟坡坡度:坡面是泥石流固体碎屑物质的主要源地,坡度大小影响泥石流固体碎屑物质的 补给方式、规模大小。 ④斜坡坡向:与阴坡比较,我国山脉的阳坡也多是迎风坡,降水量较多,冰雪消融快,岩石 风化程度高,更容易发生泥石流。如秦岭和喜马拉雅山的南坡产生的泥石流比北坡要多。 (2)固体碎屑物来源丰富:风化碎屑物、断层破碎物、坡体堆积物、崩塌物、冰碛物等。 (3)水源充足 来源 作用 降雨 降雨集中,多暴雨和特大暴雨,是促使泥石流暴发的主要动力条件 是现代冰川和季节性积雪地区泥石流形成的主要水源。当夏季冰川融水 冰雪融水 过多,涌入湖泊,造成湖泊溃决溢水而形成泥石流 水库(堰塞湖) 水库或堰塞湖溃决时,水量集中,坝体或堰塞体松散物集中,更易形成 溃决溢水 泥石流 3.滑坡和泥石流的防灾减灾措施 防御 开展宣传教育,提高公众防灾、减灾意识;建立灾情监测网络及预警系统; 措施 恢复植被,加固山体等 具体 滑坡:设置滑坡体外截水沟;修建阻滑支撑工程。 措施 泥石流:修筑排导槽,疏导泥石流物质到特定位置 (2021·山东地理)阅读图文资料,完成下列要求。(16分) 海巴洛沟流域位于青藏高原东南缘,横断山脉中段(下图),面积53.4 km2。主沟发源于 哈巴雪山西侧,汇入金沙江一级支流冲江河,长度12.8 km。流域自上而下分为高山寒带峰脊区和宽谷区、温带窄谷区、亚热带低谷区。该流域降水量随海拔升高而显著增加,其中 海拔4 200 m以上的峰脊区年降水量超过1 100 mm。 2019 年 7 月 28 日,峰脊区 6 小时降雨 量达 60.4 mm ,激发了特大规模降雨—冰川融水混合型泥石流。 (1)指出海巴洛沟流域形成泥石流的四类固体物质来源。(4分) (2)分析海巴洛沟流域主沟道AB段、BC段和CD段地形对泥石流形成的作用。(6分) (3)分析海巴洛沟流域泥石流对当地构成严重威胁的自然原因。(6分) [关键信息点拨] 位于青藏高原东南缘,地处板块交界处,地壳运动活跃,地震多发,坡体结构不稳定,流 域内多松散的固体碎屑物;该地为季风气候,降水集中在夏季且多暴雨。横断山区地形崎 岖,山高谷深。 源头附近有雪山,意味着存在冰川活动。 流域自上而下相对高度较大,谷地宽窄不同。 2019年7月28日,该区域降雨总量大,降雨强度大,且气温较高,冰川融水较多。结合图中图例可看出,流域内断层、崩滑体较多,岩石破碎,固体碎屑物较多;有沟谷, 等高线疏密变化大,有明显的陡坡存在;图中不同河段具有不同特征,AB段是河源,等高 线密集,坡度陡,水流速度快,BC段河谷长度大,沿途陆续汇入了很多支流,等高线稀 疏,是地形比较平缓的宽阔河谷,可以储存大量的松散固体物质,CD段河道顺直,等高线 比BC段密集,坡度有所增大,河道变窄,泥石流流速加快。 [地理原理再现] 泥石流形成条件 简述泥石流的形成条件。 答案 地势陡峻、具有丰富的松散物质以及短时间内有大量水流。 答案 (1) 冰碛物 ( 冰川搬运堆积物 ) ;崩滑体堆积物;风化碎屑物;断层破碎物。 (2) AB 段:地形陡峻,易发生崩塌,且径流汇流速度快,为泥石流形成提供物质来源和水动 力条件; BC 段:地形较和缓开阔,为大量松散固体物质积累提供场所; CD 段:沟道狭窄 顺直,坡度大,加快泥石流的通过时间。 (3)丰富的松散固体物源和水源条件,导致泥石流易发;泥石流运动速度快,规模大,冲击 力强;峰脊区降水量大,并叠加积雪融水,使得泥石流多发育在高海拔地区,下游不易察觉 , 隐蔽性强。 考向1 通过“滑坡”考查“区域认知” (2024·广东东莞模拟)黄土高原是滑坡灾害频发地区,某科研团队在黄土高原通过调查分 析,探究了地形因子对黄土滑坡分布的影响,得到如下数据,期望能对黄土滑坡灾害进行预 测和评估。下面图1为滑坡相对高度分级统计,图2为滑坡平均坡度分级统计。据此完成1 ~3题。1.从相对高度和平均坡度分析,黄土滑坡灾害主要分布在黄土高原的( ) A.沟壑侧壁 B.墚峁顶部 C.淤坝底部 D.河床地带 2.直接影响滑坡体滑移速度的是( ) A.坡形 B.坡度 C.坡向 D.坡长 3.对于特定的黄土滑坡体,用相对高度可以估算滑坡体的( ) A.滑动时刻 B.危害程度 C.滑坡频率 D.规模大小 答案 1.A 2.B 3.D 解析 第1题,根据图1可知,黄土滑坡主要发生在相对高度20~140米的范围内,以60~ 80米的范围最为频发;根据图2可知,黄土滑坡主要发生在坡度10°~50°的范围内,以15° ~40°的范围最为频发;结合黄土高原塬、墚、峁、沟壑、淤坝、河床等地形区的特征,可 判断在黄土高原的沟壑侧壁,坡度较陡,滑坡灾害易发,A正确;墚峁顶部、淤坝底部、河 床地带的地形相对比较平坦,相对高度较小,不易发生滑坡。第2题,坡度、相对高度越大, 滑坡体势能越大,滑移速度越快,故直接影响滑坡体滑移速度的是坡度,B正确。第3题, 由于相对高度决定了滑坡体的重力势能,对于特定的滑坡体,根据相对高度可以估算滑动的 最远距离以及由此形成的滑坡面积,即滑坡体的规模大小,D正确;滑坡的滑动时刻取决于 多种触发条件,危害程度取决于滑动范围内的建筑、财产及人口分布等,滑坡频率取决于多 种因素。 考向2 通过“泥石流”考查“综合思维” (2023·江苏如皋适应考)冰川泥石流是由冰雪融水或冰湖溃决冲蚀形成的含有大量泥沙石 块的特殊洪流,其形成的堆积体常对河道产生影响。藏东南帕隆藏布江流域是我国冰川泥石 流的多发地区,近些年来,该流域冰川泥石流发生的频率增加。下图示意帕隆藏布江流域某 沟谷冰川泥石流堆积体对河道的影响。据此完成4~5题。4.影响该流域冰川泥石流发生的频率增加的主要因素是( ) A.人类活动 B.地壳运动 C.植被变化 D.气候变化 5.与河口三角洲相比,冰川泥石流堆积体中的沉积物( ) A.粒径较小 B.分选性好 C.棱角分明 D.多粉砂质 答案 4.D 5.C 解析 第4题,根据材料可知,冰川泥石流是由冰雪融水或冰湖溃决冲蚀形成的含有大量泥 沙石块的特殊洪流,受气候变化影响,近些年气温升高,冰雪融化,冰碛物出露,松散物质 增多,冰雪融水量增多,冰湖更易溃决,地表径流量增加,侵蚀和搬运能力增强,易发生冰 川泥石流,D正确;冰川泥石流主要受自然因素影响,人类活动对其影响较小,A错误;地 壳运动易形成地震、滑坡等,冰川泥石流受地壳运动影响较小,B错误;植被的变化对泥石 流的发生具有一定影响,但不是冰川泥石流发生的频率增加的主要因素,C错误。第5题, 风和流水的沉积作用具有分选性,颗粒大的先沉积,颗粒小的后沉积,沉积物分选性好;而 冰川作用形成的沉积物分选性差,因为冰碛物多是粗细不等、棱角分明的碎块,有的角砾表 面具有磨光面或冰擦痕,分选性和磨圆度较差,与河口三角洲相比,冰川泥石流堆积体中多 粒径较大的砾石,粉砂质沉积物较少,且沉积物棱角分明、大小混杂,磨圆度和分选性差。 故选C。地理实践 9 自救与互救 防灾减灾工作包括灾害监测、灾害防御、灾害救援与救助、灾后恢复等多个方面。对个人和 家庭而言,防灾减灾的主要任务是自救与互救。 自然灾害 自救与互救 ①灾前准备:在洪涝、台风多发地区,居民应及时关注天气预报及灾害 预警信息。 气象 ②灾中救助:洪涝来袭时,应尽量向地势高的地方逃生。 灾害 ③灾后自我保护:洪灾过后,应做到不吃洪水浸泡过的食物;要喝煮沸 后的水;入住前对房屋进行全面消毒,待电器干燥后再使用 ①震前准备:准备应急救援包;牢记地震撤离路线和附近应急避难场所 位置;经常参加地震演习活动;树立防震意识等。 地震 ②震中救助:如条件允许,应及时、有序地撤到安全地带。 ③震后自我保护:地震发生后往往还有余震,不可立即返回家中;要远 离危墙、广告牌、电线杆等危险区域;等余震过后再作打算 向滑坡两侧迅速逃离;若遇到高速滑坡或滑坡体下滑时,无法逃离,宜 滑坡 迅速抱住身边的大树等固定物体 泥石流 应迅速向沟谷两侧的山坡上方逃离 (2024·江苏南通模拟)一次自然灾害之后,有人这样描述:大雨之后,肆虐的水流冲入翻 腾汹涌的河流,轰轰隆隆地拍打着河堤,瞬间撕开一个口子,排山倒海一样冲向农田……据 此完成1~2题。 1.文中描述的自然灾害是( ) A.滑坡 B.泥石流 C.洪灾 D.地面沉降 2.该灾害发生时,合理的自救方式是( ) A.逃到高处 B.向沟谷两侧迅速躲避 C.立刻返回家中 D.躲在沟谷中的大树上 答案 1.C 2.A 解析 第1题,根据材料“大雨之后,肆虐的水流冲入翻腾汹涌的河流,轰轰隆隆地拍打着 河堤”,可知该自然灾害应该是洪灾,故选C。第2题,躲避洪灾合理的自救方式是逃到高 处,A正确;向沟谷两侧迅速躲避,是躲避泥石流的办法,B错误;立刻返回家中在灾害自救中是不可取的,C错误;躲在沟谷中的大树上可能失去后期的自救机会,D错误。 (2024·贵州六盘水联考)据中国地震台网正式测定,2023年5月2日23时27分在云南保 山市隆阳区发生5.2级地震,震源深度10千米,震中位于北纬25.35度,东经99.28度。图 1为“震中位置图”,图2为“附近居民接收到的地震预警信息图”。据此完成3~5题。 3.此次地震的震源位于( ) A.地壳 B.地幔 C.地核 D.软流层 4.中国地震预警网可以提前发布地震预警主要是因为( ) A.该地历史上经常发生地震 B.地震横波和纵波传播速度不同 C.已完全掌握地震发生规律 D.从事地震预警工作的人员众多 5.下列关于地震发生时采取的避险措施,正确的是( ) A.迅速离开房间,乘坐电梯撤离 B.躲在坚固家具下面,用物品保护好头部 C.进入地下室躲避,等待他人救援 D.下载地震预警软件,获取地震预警信息答案 3.A 4.B 5.B 解析 第3题,据材料可知,本次地震震源深度 10千米,地壳厚薄不一,大洋地壳薄,平 均厚度为5~10千米,大陆地壳厚,有高大山脉的地方地壳会更厚,最厚达 70千米,该地 位于大陆,故本次地震震源位于地壳,A对;上地幔与软流层位于莫霍面至地下2 900千米 的古登堡界面之间,B、D错误;地核位于古登堡面(地下2 900千米)以下,C错误。第4题, 地震波分为纵波和横波,纵波传播速度快,横波传播速度慢,所以当地震发生时,纵波先到 达地面,横波后到达地面,二者之间间隔一定的时间,为实现成功预警提供了基础,B正确; 与该区域历史上是否经常发生地震以及从事预警工作人员的多少关系不大,A、D错;目前 人类并未完全掌握地震发生规律,C错。第5题,发生地震时不能乘坐电梯撤离,A错;在 家时应当躲在坚固家具下面,用物品保护好头部,B对;应当跑向空旷地带,而非躲避在地 下室,C错;下载地震预警软件,获取地震预警信息属于地震前的准备事宜,D错。 下面两图分别为“泥石流示意图”及“发生泥石流时逃生示意图”。读图,完成6~7 题。 6.我国云南泥石流多发的主要原因有( ) ①山高坡陡,地表崎岖 ②地质构造复杂,岩层松软破碎 ③降水丰富,年平均降水量在1 000 mm以上,且暴雨日数多 ④开矿弃渣、修路切坡、砍伐森林、陡坡开荒和过度放牧 A.①②③ B.①②④ C.②③④ D.①②③④ 7.当泥石流发生时,在泥石流流经区和堆积区的游客,正确的逃生方法是( ) A.朝河流下游方向迅速跑到地势较低的地方 B.垂直于河谷方向跑,尽量逃往地势较高处 C.沿着山谷向山顶奔跑,寻找到地势最高点 D.站在原地大声呼救,等待救援人员的到来答案 6.D 7.B 解析 第6题,我国云南,山高坡陡,地表崎岖,地势起伏较大;地质构造复杂,岩层松软 破碎,易被冲刷挟带;云南位于季风气候区,降水丰富,年平均降水量在1 000 mm以上, 且暴雨日数多,加之云南地势起伏大,山高坡陡,水流速度快,流水侵蚀作用强,易发生泥 石流;开矿弃渣、修路切坡、砍伐森林、陡坡开荒和过度放牧,破坏地表植被,水土、石块 易被冲刷挟带,形成泥石流,①②③④正确,故选D。第7题,当泥石流发生时,应该选择 垂直于河谷方向跑,尽量逃往地势较高处,B正确,A、C错误;地质灾害发生速度快,原 地不动,更易造成生命财产损失,D错误。 课时精练 (2024·陕西渭南模拟)八字门滑坡(下图)是三峡库区重点监测滑坡之一,由于每年受强降 雨或持续性降雨影响,目前该滑坡仍处于位移变形状态。据此完成1~3题。 1.八字门滑坡体滑动方向是( ) A.由东北向西南 B.由西北向东南 C.由西南向东北 D.由东南向西北 2.目前八字门滑坡发生位移变形的主要海拔范围在( ) A.145 m以下 B.145~156 m C.156~175 m D.175 m以上 3.推测八字门滑坡累积位移变化特征大致为( )答案 1.B 2.D 3.C 解析 第1题,滑坡体运动的方向一般是由高处向低处,结合图中等高线和指向标可知,该 滑坡体的滑动方向是自西北向东南,故选B。第2题,据图分析可知,175 m以上的区域等 高线比较密集,坡度较陡,且在蓄水位线以上,在重力和径流作用下,滑坡体易发生位移变 形,故选D。第3题,根据材料可知,该滑坡受降水影响较大,由此可知,雨季时降水较为 集中,滑坡体移动范围应该较大;旱季时降水较少,滑坡体移动较为缓慢;C选项能够反映 该滑坡累积位移随季节的变化特征;A、B选项无法反映冬、夏季节降水变化对滑坡体的影 响,A、B错误;D选项与冬、夏季节该地区降水变化特征不符,D错误。故选C。 2022年3月16日,日本本州岛东岸近海发生7.4级地震(图1),震源深度10千米。地震 导致东京电力公司和东北电力公司旗下合计 6座热电厂受损停运,日本政府21日发布电力 供应紧张警报。东京地区22日出现降雪和降雨天气,当日东京的地标建筑东京塔只点亮下 半部(图2)。据此完成4~6题。 4.此次地震震源位于( ) A.大洋板块 B.生长边界 C.岩石圈 D.软流层 5.3月22日夜晚,东京塔只点亮下半部的原因有( ) ①居民取暖用电增加 ②地震影响发电量 ③夜晚方便行人照明 ④节能减排的要求 A.①② B.①③ C.②③ D.②④ 6.面临如此困境,东京电力公司可采取的措施最为直接有效的是( ) A.全力抢修受损热电厂 B.加大其他电厂发电量 C.呼吁辖区用户节约用电 D.辖区内分区拉闸限电答案 4.C 5.A 6.B 解析 第4题,根据材料信息可知,此次地震震源深度为 10千米,大陆地壳的平均厚度在 10千米以上,该地震震源位于大陆地壳中,地壳属于岩石圈,故选 C。第5题,3月的日本 东京地区还比较冷湿,3月22日出现的雨雪天气导致进一步降温,居民取暖用电将会增加, ①正确;地震导致6座热电厂受损停运,供电会紧张,②正确;东京塔为该城市的地标建筑, 亮灯是城市亮化工程,美化城市,而非为行人照明,③错误;材料中没有反映因节能减排而 减少用电量,④错误。故选A。第6题,热电厂受损短时间内不易修好,A错误;呼吁辖区 用户节约用电不可能一时见效,C错误;拉闸限电没有从本质上解决问题,D错误;只有加 大其他电站的供电量,才能直接有效地缓解电力供应紧张的困境,故选B。 (2023·浙江杭州模拟)冻土具有流变性,具有冻胀与融沉两种风险。随着全球气候变暖, 不良冻土的热融滑塌风险也在逐渐攀升,主要特点是土体结构松散,降低导热系数,容易导 致热融滑塌型滑坡。下图是“我国青藏公路采用填埋碎石防治不良冻土热融滑塌试验示意 图”。据此完成7~9题。 7.碎石填埋可以有效防治不良冻土热融滑塌,主要是因为( ) A.减少到达含土冰层的太阳辐射 B.透水性强,增加含土冰层水量 C.起到固定土体结构的作用 D.减缓地温上升,保持冻结状态 8.推测防治不良冻土热融滑塌难度最大的季节和地段( ) A.夏季 洼地 B.夏季 坡地 C.冬季 洼地 D.冬季 坡地 9.为有效减少热融滑塌型滑坡发生,该治理工程方案还必须考虑( ) A.截水排水 B.种植植被 C.混凝土加固路基 D.削坡平整土地 答案 7.D 8.B 9.A 解析 第7题,碎石填埋可以有效防治不良冻土热融滑塌,主要是因为石头导热性能强,利 于释放土体内的热量,减缓地温上升,保持冻结状态,D正确;含土冰层位于地下,碎石不 会减少到达含土冰层的太阳辐射,A错误;与碎石透水性强,增加含土冰层水量无关,且含水量增多会使滑坡面更加不稳定,B错误;碎石填埋可以起到固定土体结构的作用,但不是 最主要的原因,C错误。第8题,冬季气温低,冻土不易融化,C、D错误;夏季气温高, 不良冻土消融,坡下冻土水分增加,在坡地上容易形成滑动面,B正确;洼地地势低、坡度 小,不易发生滑坡,A错误。第9题,水分过多易引起滑坡,该治理工程方案还必须考虑截 水排水,A正确;种植植被效果慢,B错误;混凝土加固路基会破坏地表环境,不利于生态 可持续发展,C错误;削坡平整土地对自然环境影响大,D错误。 10.(2024·宁夏吴忠统考)阅读图文资料,完成下列要求。(13分) 青龙沟(下图)位于安徽省南部山区,流域面积约1.84 km2,长度约2.86 km。流域内地形 总体较陡,两侧支沟发育,植被覆盖率超过60%。2019年8月10日,超强台风“利奇马” 登陆我国东部,带来短历时超强暴雨,造成青龙沟爆发大规模台风暴雨型泥石流,其危害程 度远超普通暴雨型泥石流。 (1)下图示意台风“利奇马”登陆时,青龙沟M点所在水平面上的等压线分布及空气质点的 瞬时受力平衡情况。在图中用“→”画出M点风向,并指出F、F 所表示力的名称。(3分) 2 3 (2)说明此次青龙沟台风暴雨型泥石流的形成过程。(6分) (3)推测台风暴雨型泥石流危害程度超过普通暴雨型泥石流的原因。(4分) 答案 (1)画图:要求箭头与F 方向相反。 1 F 表示水平气压梯度力,F 表示地转偏向力。 2 3 (2)“利奇马”带来的狂风通过树木松动表层物质,为泥石流提供物源;青龙沟地势陡峻;超强暴雨短时间内形成了含有丰富松散物质的洪流。 (3)台风带来的暴雨强度更大,诱发的泥石流前进速度更快,居民逃生时间较短;台风暴雨 型泥石流挟带的物质更多,破坏力更大。