当前位置:首页>文档>专题26圆锥曲线中的弦长问题(解析版)_2.2025数学总复习_2024年新高考资料_3.2024专项复习_2024年新高考数学之圆锥曲线专项重难点突破练(新高考专用)

专题26圆锥曲线中的弦长问题(解析版)_2.2025数学总复习_2024年新高考资料_3.2024专项复习_2024年新高考数学之圆锥曲线专项重难点突破练(新高考专用)

  • 2026-04-20 07:19:41 2026-03-17 07:25:12

文档预览

专题26圆锥曲线中的弦长问题(解析版)_2.2025数学总复习_2024年新高考资料_3.2024专项复习_2024年新高考数学之圆锥曲线专项重难点突破练(新高考专用)
专题26圆锥曲线中的弦长问题(解析版)_2.2025数学总复习_2024年新高考资料_3.2024专项复习_2024年新高考数学之圆锥曲线专项重难点突破练(新高考专用)
专题26圆锥曲线中的弦长问题(解析版)_2.2025数学总复习_2024年新高考资料_3.2024专项复习_2024年新高考数学之圆锥曲线专项重难点突破练(新高考专用)
专题26圆锥曲线中的弦长问题(解析版)_2.2025数学总复习_2024年新高考资料_3.2024专项复习_2024年新高考数学之圆锥曲线专项重难点突破练(新高考专用)
专题26圆锥曲线中的弦长问题(解析版)_2.2025数学总复习_2024年新高考资料_3.2024专项复习_2024年新高考数学之圆锥曲线专项重难点突破练(新高考专用)
专题26圆锥曲线中的弦长问题(解析版)_2.2025数学总复习_2024年新高考资料_3.2024专项复习_2024年新高考数学之圆锥曲线专项重难点突破练(新高考专用)
专题26圆锥曲线中的弦长问题(解析版)_2.2025数学总复习_2024年新高考资料_3.2024专项复习_2024年新高考数学之圆锥曲线专项重难点突破练(新高考专用)
专题26圆锥曲线中的弦长问题(解析版)_2.2025数学总复习_2024年新高考资料_3.2024专项复习_2024年新高考数学之圆锥曲线专项重难点突破练(新高考专用)
专题26圆锥曲线中的弦长问题(解析版)_2.2025数学总复习_2024年新高考资料_3.2024专项复习_2024年新高考数学之圆锥曲线专项重难点突破练(新高考专用)
专题26圆锥曲线中的弦长问题(解析版)_2.2025数学总复习_2024年新高考资料_3.2024专项复习_2024年新高考数学之圆锥曲线专项重难点突破练(新高考专用)
专题26圆锥曲线中的弦长问题(解析版)_2.2025数学总复习_2024年新高考资料_3.2024专项复习_2024年新高考数学之圆锥曲线专项重难点突破练(新高考专用)
专题26圆锥曲线中的弦长问题(解析版)_2.2025数学总复习_2024年新高考资料_3.2024专项复习_2024年新高考数学之圆锥曲线专项重难点突破练(新高考专用)
专题26圆锥曲线中的弦长问题(解析版)_2.2025数学总复习_2024年新高考资料_3.2024专项复习_2024年新高考数学之圆锥曲线专项重难点突破练(新高考专用)
专题26圆锥曲线中的弦长问题(解析版)_2.2025数学总复习_2024年新高考资料_3.2024专项复习_2024年新高考数学之圆锥曲线专项重难点突破练(新高考专用)
专题26圆锥曲线中的弦长问题(解析版)_2.2025数学总复习_2024年新高考资料_3.2024专项复习_2024年新高考数学之圆锥曲线专项重难点突破练(新高考专用)
专题26圆锥曲线中的弦长问题(解析版)_2.2025数学总复习_2024年新高考资料_3.2024专项复习_2024年新高考数学之圆锥曲线专项重难点突破练(新高考专用)
专题26圆锥曲线中的弦长问题(解析版)_2.2025数学总复习_2024年新高考资料_3.2024专项复习_2024年新高考数学之圆锥曲线专项重难点突破练(新高考专用)
专题26圆锥曲线中的弦长问题(解析版)_2.2025数学总复习_2024年新高考资料_3.2024专项复习_2024年新高考数学之圆锥曲线专项重难点突破练(新高考专用)
专题26圆锥曲线中的弦长问题(解析版)_2.2025数学总复习_2024年新高考资料_3.2024专项复习_2024年新高考数学之圆锥曲线专项重难点突破练(新高考专用)
专题26圆锥曲线中的弦长问题(解析版)_2.2025数学总复习_2024年新高考资料_3.2024专项复习_2024年新高考数学之圆锥曲线专项重难点突破练(新高考专用)

文档信息

文档格式
docx
文档大小
1.169 MB
文档页数
20 页
上传时间
2026-03-17 07:25:12

文档内容

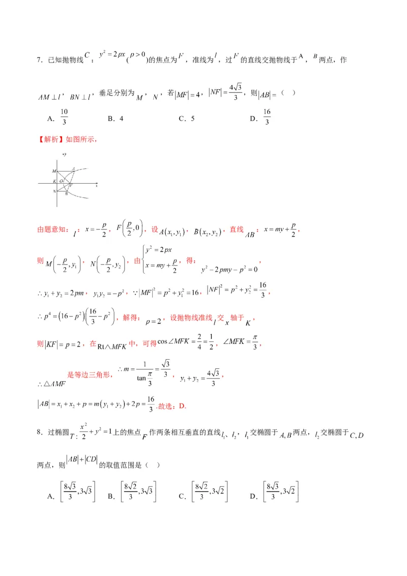
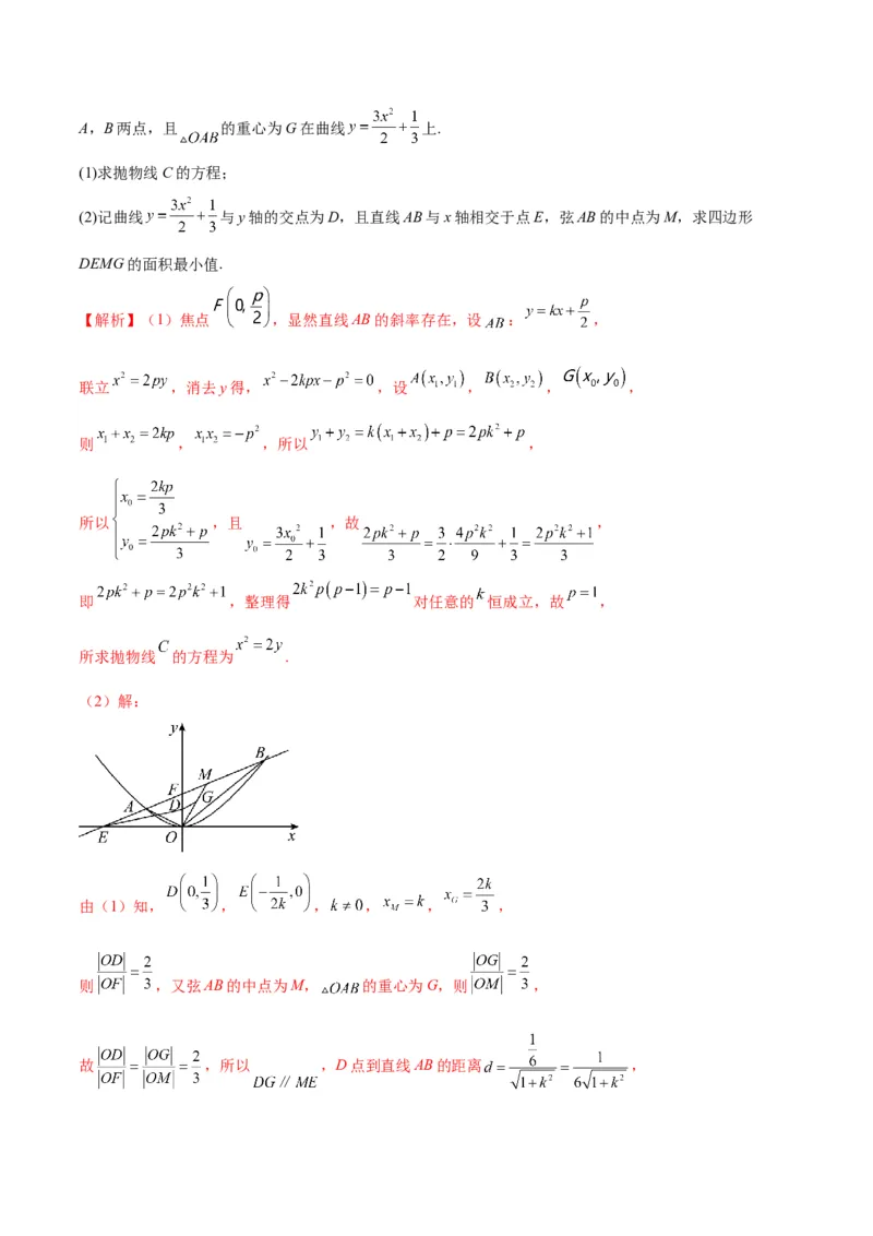
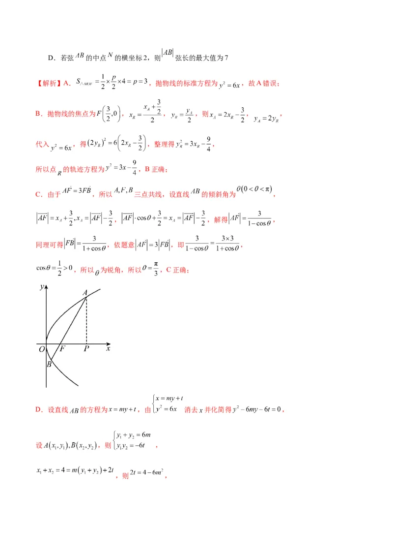
专题26 圆锥曲线中的弦长问题 考试时间:120分钟 满分:150分 一、单选题:本大题共8小题,每个小题5分,共40分.在每小题给出的选项中,只有一项是符合题目要 求的. 1.已知抛物线 的焦点为 ,若直线 与 交于 , 两点,且 ,则 ( ) A.4 B.5 C.6 D.7 【解析】令 ,则 ,故 ,所以 , 所以 ,故准线为 ,则 .故选:B 2.过抛物线 的焦点F作倾斜角为 的弦AB,则 的值为( ) A. B. C. D. 【解析】根据抛物线 方程得:焦点坐标 , 直线 的斜率为 ,由直线方程的点斜式方程,设 , 将直线方程代入到抛物线方程中,得: , 整理得: ,设 , , , , 由一元二次方程根与系数的关系得: , , 所以弦长 .故选:B. 3.直线 被椭圆 截得最长的弦为( ) A. B. C. D. 【解析】联立直线 和椭圆 ,可得 ,解得 或 ,则弦长 , 令 ,则 , 当 ,即 , 取得最大值 ,故选:B 4.已知椭圆 的左、右顶点分别为 ,点 为 上一点,且 不在坐标轴上,直线 与直 线 交于点 ,直线 与直线 将于点 .设直线 的斜率为 ,则满足 的 的所有 值的和为( ) A. B. C. D. 【解析】设 , , 则 , , 则 ,因为 ,所以 , 直线 的方程为 ,则 的横坐标为 , 直线 的方程为 ,则 的横坐标为 , 所以 ,整理得 或 , 解得 或 或 . 所以 的所有值的和为 ,故选:A 5.已知椭圆 的左、右顶点分别为 ,点 为 上一点,且 不在坐标轴上,直线 与直线交于点 ,直线 与直线 将于点 .设直线 的斜率为 ,则满足 的 的所有值的 和为( ) A. B. C. D. 【解析】设 , , 则 , , 则 ,因为 ,所以 , 直线 的方程为 ,则 的横坐标为 , 直线 的方程为 ,则 的横坐标为 , 所以 ,整理得 或 , 解得 或 或 . 所以 的所有值的和为 ,故选:A 6.已知圆 ,若直线m过 且与圆交于 两点,则弦长 的最小值是 ( ) A. B.4 C. D. 【解析】由圆 的圆心坐标 ,半径 , 因为直线m过 ,所以圆心到直线的最大距离就是圆心到 点的距离 可得 , 由圆的弦长公式,可得 ,此时弦长 的最小, 即弦长 的最小值为 ,故选:D.7.已知抛物线 : ( )的焦点为 ,准线为 ,过 的直线交抛物线于 , 两点,作 , ,垂足分别为 , ,若 , ,则 ( ) A. B.4 C.5 D. 【解析】如图所示, 由题意知: : , ,设 , ,直线 : , 则 , ,由 ,得: , , , , , ,解得: ,设抛物线准线 交 轴于 , 则 ,在 中,可得 , , 是等边三角形, , , .故选:D. 8.过椭圆 上的焦点 作两条相互垂直的直线 , 交椭圆于 两点, 交椭圆于 两点,则 的取值范围是( ) A. B. C. D.【解析】当直线 有一条斜率不存在时,不妨设直线 斜率不存在,则直线 斜率为0, 此时 , ,所以 , 当直线 的斜率都存在且不为0时,不妨设直线 的斜率为k,则直线 的斜率为 , 不妨设直线 都过椭圆的右焦点 ,所以直线 ,直线 , 联立 与椭圆T ,可得 , , , 所以 , 同理 ,所以 , 令 ,因为 ,所以 , 所以 = , 令 ,因为 ,所以 , 所以 ,所以 ,所以 , 综上 的取值范围是 .故选:C 二、多选题:本大题共4小题,每个小题5分,共20分.在每小题给出的选项中,只有一项或者多项是符 合题目要求的.9.已知椭圆 : 内一点 ,直线 与椭圆 交于 , 两点,且点 是线段 的中点, 则( ) A.椭圆 的焦点坐标为 , B.椭圆 的长轴长为4 C.直线 的方程为 D. 【解析】由椭圆方程 ,所以 , ,所以 ,故 , 所以椭圆 的焦点坐标为 , ,故A错误; 因为 ,所以椭圆 的长轴长为 ,故B正确; 设点 , ,则 ,两式相减可得 , 整理得 ,因为点 是线段 的中点,且 , 所以 ,所以 ,所以直线 的方程为 ,即 ,故C正确; 由 ,得 , 所以 , ,所以 ,故D正确. 故选:BCD 10.已知 为坐标原点, , , 是抛物线 上两点, 为其焦点,则下列说法正确的有 ( ) A. 周长的最小值为B.若 ,则 最小值为 C.若直线 过点 ,则直线 , 的斜率之积恒为 D.若 外接圆与抛物线 的准线相切,则该圆面积为 【解析】因为抛物线 , , , 所以 ,准线 , 对于A,过 作 ,垂足为 ,则 , 所以 周长的最小值为 ,故A正确; 对于B,若 ,则弦 过 ,过 作 的垂线,垂足为 ,过 作 的垂线,垂足为 ,设 的 中点为 ,过 作 ,垂足为 , 则 ,即 最小值为4,故B不正确; 对于C,若直线 过点F,设直线 ,联立 ,消去 得 ,设 、 ,则 , , 所以 ,故C正确; 对于D,因为 为外接圆的弦,所以圆心的横坐标为 , 因为 外接圆与抛物线C的准线相切,所以圆的半径为 , 所以该圆面积为 ,故D正确. 故选:ACD. 11.已知抛物线 的焦点为 ,其准线 与 轴交于点 ,过 的直线与 在第一 象限内自下而上依次交于 两点,过 作 于 ,则( ) A. 的方程为 B.当 三点共线时, C. D.当 时, 【解析】由题意,在 中,准线 与 轴交于点 ∴ ,解得: ,∴抛物线的方程为 ,A项错误; 设 的方程为 , 联立 得 , 则 ,即 ,由题意可知, ,当 三点共线时, , 则 ,解得 ,则 , 代入 的方程可知, , 根据抛物线的定义可知 ,∴ ,B项正确; 由定义可知, , ∵ ,∴ ,C项正确; 当 时,则 , 解得 (负值舍去), ,则 , 由 ,则 , ∴ ,① 假设 ,则 ,则 ,显然不符合①,所以D项错误. 故选:BC. 12.已知抛物线 的焦点为 ,定点 和动点 , 都在抛物线 上,且 (其中 为坐标原点)的面积为3,则下列说法正确的是( ) A.抛物线的标准方程为 B.设点 是线段 的中点,则点 的轨迹方程为 C.若 (点 在第一象限),则直线 的倾斜角为D.若弦 的中点 的横坐标2,则 弦长的最大值为7 【解析】A. ,抛物线的标准方程为 ,故A错误; B.抛物线的焦点为 , , ,则 , , 代入 ,得 ,整理得 , 所以点 的轨迹方程为 ,B正确; C.由于 ,所以 三点共线,设直线 的倾斜角为 , , ,解得 , 同理可得 ,依题意 ,即 , ,所以 为锐角,所以 ,C正确; D.设直线 的方程为 ,由 消去 并化简得 , 设 ,则 , ,则 ,, 所以当 时, , , 满足 .所以D正确. 故选:BCD 三、填空题:本大题共4小题,每小题5分,共20分.把答案填在答题卡中的横线上. 13.已知直线 与椭圆 交于 、 两点,则线段 的长为 . 【解析】设 ,联立 , , ,∴ . 14.已知抛物线C: ( )的焦点F与 的一个焦点重合,过焦点F的直线与C交 于A,B两不同点,抛物线C在A,B两点处的切线相交于点M,且M的横坐标为4,则弦长 . 【解析】因为抛物线C: ( )的焦点F与 的一个焦点重合, 所以 ,则 ,抛物线方程为 ,设 ,直线AB的方程为 , 则 ,由 ,得 , 则在点A处的切线方程为 ,即 , 同理在点B处的切线方程为: ,两切线方程联立解得: ,即 , 由 ,得 ,所以 ,解得 , 所以 ,所以 . 15.如果 分别是双曲线 的左、右焦点, 是双曲线左支上过点 的弦,且 ,则 的周长是 【解析】由题意知: ,故 .由双曲线的定义知 ①, ②, ①+②得: ,所以 , 所以 的周长是 . 16.已知斜率为 的直线 经过抛物线 的焦点且与此抛物线交于 , 两点, . 直线 与抛物线 交于 两点,且 两点在 轴的两侧.若 ,则 . 【解析】抛物线 的焦点为 ,设直线 的方程为 , 由 得 , 所以 ,则 , ,即 ,所以 或 , 由 ,得 ,设 ,由 两点在 轴的两侧,则 ,所以 , , , 所以 ,即 ,解得: 或 ,由上可知取 四、解答题:本大题共6小题,共70分.解答应写出必要的文字说明、证明过程或演算步骤. 17.已知椭圆 的标准方程为 . (1)求椭圆 被直线 截得的弦长; (2)若直线 与椭圆交于 , 两点,当 (O为坐标原点)时,求 的值. 【解析】(1)联立方程: ,整理可得: 根据韦达定理: , 根据弦长公式椭圆 被直线 截得的弦长为: (2)设 , , , 联立方程: ,整理可得: 因为存在两个交点,故 ,解得 根据韦达定理: , , , 因为 ,所以 , 即 ,解得 18.已知O是平面直角坐标系的原点,F是抛物线 : 的焦点,过点F的直线交抛物线于A,B两点,且 的重心为G在曲线 上. (1)求抛物线C的方程; (2)记曲线 与y轴的交点为D,且直线AB与x轴相交于点E,弦AB的中点为M,求四边形 DEMG的面积最小值. 【解析】(1)焦点 ,显然直线AB的斜率存在,设 : , 联立 ,消去y得, ,设 , , , 则 , ,所以 , 所以 ,且 ,故 , 即 ,整理得 对任意的 恒成立,故 , 所求抛物线 的方程为 . (2)解: 由(1)知, , , , , , 则 ,又弦AB的中点为M, 的重心为G,则 , 故 ,所以 ,D点到直线AB的距离 ,, , 所以四边形 的面积 , 当且仅当 ,即 时取等号, 此时四边形 的面积最小值为 . 19.已知椭圆 的离心率为 ,右焦点为F,且E上一点P到F的最大距离3. (1)求椭圆E的方程; (2)若A,B为椭圆E上的两点,线段AB过点F,且其垂直平分线交x轴于H点, ,求 . 【解析】(1)椭圆 的离心率为 ,右焦点为F,且E上一点P到F的最大距离3, 所以 ,所以 ,所以椭圆E的方程 ; (2)A,B为椭圆E上的两点,线段AB过点F,且其垂直平分线交x轴于H点, 所以线段AB所在直线斜率一定存在,所以设该直线方程 代入 , 整理得: ,设 , , , ,整理得: , 当 时,线段 中点坐标 , 中垂线方程: , ;当 时,线段 中点坐标 , 中垂线方程: , , 综上所述: . 20.已知点 在圆 上运动,过点 作 轴的垂线段 为垂足, 为线段 的中点(当 点 经过圆与 轴的交点时,规定点 与点 重合). (1)求点 的轨迹方程; (2)经过点 作直线 ,与圆 相交于 两点,与点 的轨迹相交于 两点,若 , 求直线 的方程. 【解析】(1)点 ,点 ,则点 ,由点 是 的中点,得 , , 因为 在圆 上,所以 , 可得 ,即 ,所以点 的轨迹是椭圆。 (2)若直线 的斜率不存在,则 , 将 代入 中,解得 ,则 , 将 代入 中,解得 ,则 ,而 ,舍去; 若直线 的斜率存在,设为 ,则 ,由点到直线的距离公式得圆心 到直线 的距离 ,则 , 联立 得 , 设 , ,则 , , ,由 , 得 ,解之得 . 综上所述,直线 的方程为 或 . 21.已知椭圆 的左,右焦点分别为 , ,E的离心率为 ,斜率为k的直线l 过E的左焦点,且直线l与椭圆E相交于A,B两点. (1)若 , ,求椭圆E的标准方程; (2)若 , , ,求k的值. 【解析】(1)因为 ,所以 ,由 ,得 . 因为 , ,所以直线l的方程为 , 将直线方程代入椭圆方程 并整理得 . 设 , ,则 , , 所以 ,解得 ,所以椭圆E的标准方程为 . (2)由(1)知, , , , 易得直线l的方程为 ,椭圆E的方程为 , 将直线方程代入椭圆方程并整理得 . 由 , ,得 , , 又因为 , , 可得 , ,所以 . 设 , ,则 , , 因为 , 所以 , 整理得 ,又因为 ,所以 . 22.已知椭圆 : 过点 ,且离心率为 . (1)求椭圆 的方程; (2)过点 且互相垂直的直线 , 分别交椭圆 于 , 两点及 两点.求 的取值范围. 【解析】(1)椭圆 : 过点 ,且离心率为所以 ,解得 ,所以椭圆 的方程为 ; (2)当直线 的斜率不存在时,则直线 : ,代入椭圆方程得 , 所以 ;直线 : ,代入椭圆方程得 ,所以 , 所以 ; 当直线 的斜率不存在时,同理可得 ; 当直线 , 的斜率均存在,不妨设直线 的方程为 ,则直线 的方程为 , , 则 ,消去 得 , 恒成立,所以 , 所以 ; 同理可得,将 换成 可得所以 , 综上所述, 的取值范围是 .