当前位置:首页>文档>微专题对数函数的定义域、值域学案——2023届高考数学一轮《考点·题型·技巧》精讲与精练_2.2025数学总复习_赠品通用版(老高考)复习资料_一轮复习

微专题对数函数的定义域、值域学案——2023届高考数学一轮《考点·题型·技巧》精讲与精练_2.2025数学总复习_赠品通用版(老高考)复习资料_一轮复习

  • 2026-04-03 14:09:43 2026-03-20 03:27:21

文档预览

微专题对数函数的定义域、值域学案——2023届高考数学一轮《考点·题型·技巧》精讲与精练_2.2025数学总复习_赠品通用版(老高考)复习资料_一轮复习
微专题对数函数的定义域、值域学案——2023届高考数学一轮《考点·题型·技巧》精讲与精练_2.2025数学总复习_赠品通用版(老高考)复习资料_一轮复习
微专题对数函数的定义域、值域学案——2023届高考数学一轮《考点·题型·技巧》精讲与精练_2.2025数学总复习_赠品通用版(老高考)复习资料_一轮复习
微专题对数函数的定义域、值域学案——2023届高考数学一轮《考点·题型·技巧》精讲与精练_2.2025数学总复习_赠品通用版(老高考)复习资料_一轮复习
微专题对数函数的定义域、值域学案——2023届高考数学一轮《考点·题型·技巧》精讲与精练_2.2025数学总复习_赠品通用版(老高考)复习资料_一轮复习
微专题对数函数的定义域、值域学案——2023届高考数学一轮《考点·题型·技巧》精讲与精练_2.2025数学总复习_赠品通用版(老高考)复习资料_一轮复习
微专题对数函数的定义域、值域学案——2023届高考数学一轮《考点·题型·技巧》精讲与精练_2.2025数学总复习_赠品通用版(老高考)复习资料_一轮复习
微专题对数函数的定义域、值域学案——2023届高考数学一轮《考点·题型·技巧》精讲与精练_2.2025数学总复习_赠品通用版(老高考)复习资料_一轮复习
微专题对数函数的定义域、值域学案——2023届高考数学一轮《考点·题型·技巧》精讲与精练_2.2025数学总复习_赠品通用版(老高考)复习资料_一轮复习
微专题对数函数的定义域、值域学案——2023届高考数学一轮《考点·题型·技巧》精讲与精练_2.2025数学总复习_赠品通用版(老高考)复习资料_一轮复习
微专题对数函数的定义域、值域学案——2023届高考数学一轮《考点·题型·技巧》精讲与精练_2.2025数学总复习_赠品通用版(老高考)复习资料_一轮复习
微专题对数函数的定义域、值域学案——2023届高考数学一轮《考点·题型·技巧》精讲与精练_2.2025数学总复习_赠品通用版(老高考)复习资料_一轮复习
微专题对数函数的定义域、值域学案——2023届高考数学一轮《考点·题型·技巧》精讲与精练_2.2025数学总复习_赠品通用版(老高考)复习资料_一轮复习
微专题对数函数的定义域、值域学案——2023届高考数学一轮《考点·题型·技巧》精讲与精练_2.2025数学总复习_赠品通用版(老高考)复习资料_一轮复习
微专题对数函数的定义域、值域学案——2023届高考数学一轮《考点·题型·技巧》精讲与精练_2.2025数学总复习_赠品通用版(老高考)复习资料_一轮复习
微专题对数函数的定义域、值域学案——2023届高考数学一轮《考点·题型·技巧》精讲与精练_2.2025数学总复习_赠品通用版(老高考)复习资料_一轮复习
微专题对数函数的定义域、值域学案——2023届高考数学一轮《考点·题型·技巧》精讲与精练_2.2025数学总复习_赠品通用版(老高考)复习资料_一轮复习
微专题对数函数的定义域、值域学案——2023届高考数学一轮《考点·题型·技巧》精讲与精练_2.2025数学总复习_赠品通用版(老高考)复习资料_一轮复习
微专题对数函数的定义域、值域学案——2023届高考数学一轮《考点·题型·技巧》精讲与精练_2.2025数学总复习_赠品通用版(老高考)复习资料_一轮复习
微专题对数函数的定义域、值域学案——2023届高考数学一轮《考点·题型·技巧》精讲与精练_2.2025数学总复习_赠品通用版(老高考)复习资料_一轮复习
微专题对数函数的定义域、值域学案——2023届高考数学一轮《考点·题型·技巧》精讲与精练_2.2025数学总复习_赠品通用版(老高考)复习资料_一轮复习
微专题对数函数的定义域、值域学案——2023届高考数学一轮《考点·题型·技巧》精讲与精练_2.2025数学总复习_赠品通用版(老高考)复习资料_一轮复习
微专题对数函数的定义域、值域学案——2023届高考数学一轮《考点·题型·技巧》精讲与精练_2.2025数学总复习_赠品通用版(老高考)复习资料_一轮复习
微专题对数函数的定义域、值域学案——2023届高考数学一轮《考点·题型·技巧》精讲与精练_2.2025数学总复习_赠品通用版(老高考)复习资料_一轮复习
微专题对数函数的定义域、值域学案——2023届高考数学一轮《考点·题型·技巧》精讲与精练_2.2025数学总复习_赠品通用版(老高考)复习资料_一轮复习
微专题对数函数的定义域、值域学案——2023届高考数学一轮《考点·题型·技巧》精讲与精练_2.2025数学总复习_赠品通用版(老高考)复习资料_一轮复习
微专题对数函数的定义域、值域学案——2023届高考数学一轮《考点·题型·技巧》精讲与精练_2.2025数学总复习_赠品通用版(老高考)复习资料_一轮复习
微专题对数函数的定义域、值域学案——2023届高考数学一轮《考点·题型·技巧》精讲与精练_2.2025数学总复习_赠品通用版(老高考)复习资料_一轮复习
微专题对数函数的定义域、值域学案——2023届高考数学一轮《考点·题型·技巧》精讲与精练_2.2025数学总复习_赠品通用版(老高考)复习资料_一轮复习
微专题对数函数的定义域、值域学案——2023届高考数学一轮《考点·题型·技巧》精讲与精练_2.2025数学总复习_赠品通用版(老高考)复习资料_一轮复习

文档信息

文档格式
docx
文档大小
1.608 MB
文档页数
30 页
上传时间
2026-03-20 03:27:21

文档内容

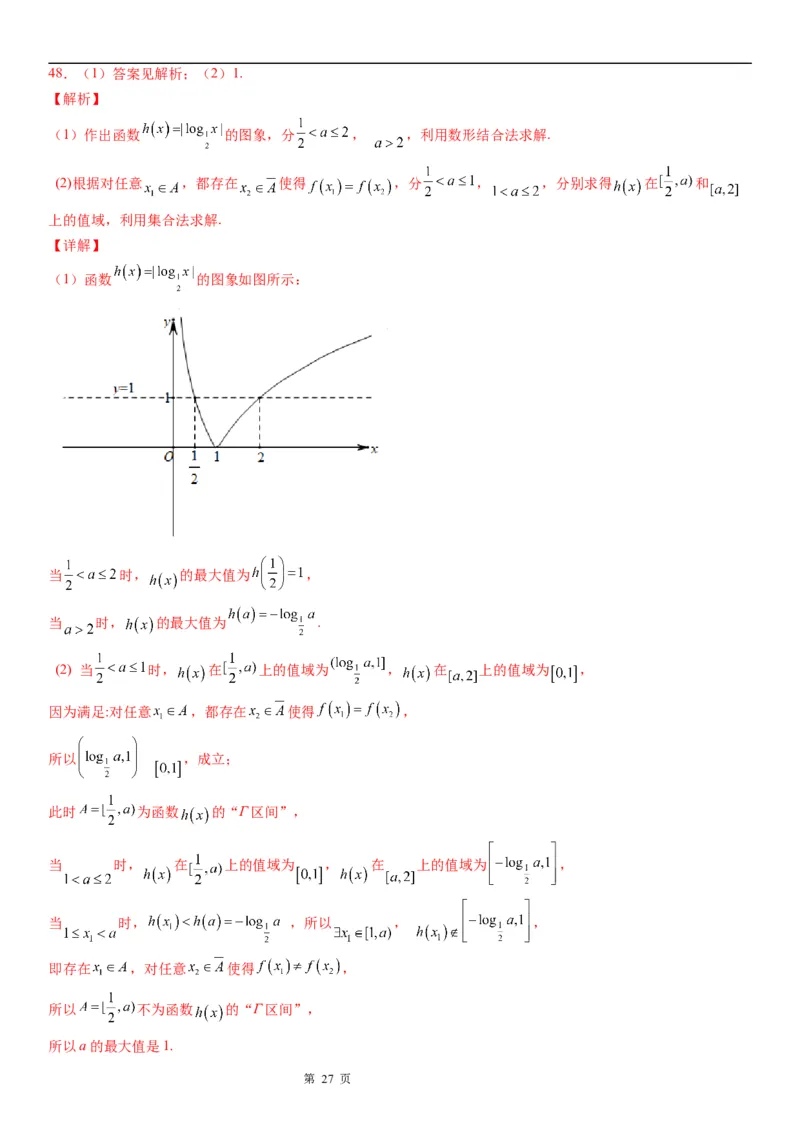
微专题:对数函数的定义域、值域 【考点梳理】 1. 对数函数 (1)对数函数的概念:一般地,函数y=log x(a>0,且a≠1)叫做对数函数,其中x是自变量,定义域是(0,+ a ∞). (2)对数函数的图象和性质 0<a<1 a>1 图象 定义域 (0 ,+∞ ) 值域 R 过定点 (1 , 0) ,即 x = 1 时,y=0 性质 减函数 增函数 底数互为倒数的两个对数函数的图象关于x轴对称. (3)指数函数与对数函数的关系:一般地,指数函数y=ax(a>0,且a≠1)与对数函数y=log x(a>0,且a≠1)互 a 为反函数,它们的定义域与值域正好互换,且图象关于直线 y = x 对称. 2. 对数函数相关结论 (1)对数函数f(x)=log x(a>0,且a≠1)以y轴为渐近线;g(x)=log x+b恒过定点(1,b),仍以y轴为渐近线. a a (2)作对数函数y=log x(a>0,且a≠1)的图象应抓住三个点,(1,0),(a,1). a (3)对数函数在第一象限内从左到右底数逐渐增大. 【题型归纳】 题型一:求对数函数的定义域 1.已知集合 ,集合 ( 为自然对数的底数),则 ( ) A. B. C. D. 2.记函数 的定义域为集合A,若“ ”是关于x的不等式 成立”的充分 不必要条件,则实数m的取值范围是( ) A. B. C. D. 第 1 页 学学科科网网((北北京京))股股份份有有限限公公司司3.若函数 的定义域为 ,则 ( ) A. 3 B.3 C.1 D. 1 题型二:求对数函数的值域 4.下列函数中值域为 的是( ) A. B. C. D. 5.“ ,使得 成立”是“ 恒成立”的( ) A.充分不必要条件 B.必要不充分条件 C.充要条件 D.既不充分也不必要条件 6.已知函数 ,则 的值域为( ) A. B. C. D. 题型三:根据对数函数的值域求参数值或范围 7.已知函数 的值域为R,则a的取值范围是( ) A. B. C. D. 8.若函数 的值域为 ,则 的取值范围是( ) A. B. C. D. 9.已知 的值域为R,且 在 上是增函数,则实数a的取值范围是( ) A. B. 或 C. 或 D. 第 2 页 学学科科网网((北北京京))股股份份有有限限公公司司【双基达标】 10.下列函数中,值域为 的是( ) A. B. C. D. 11.已知集合 , 则 ( ) A. B. C. D. 12.已知函数 ,则函数 的零点个数为( ) A.3 B.4 C.5 D.6 13.若集合 , ,则 ( ) A. B. C. D. 14.已知函数 在 上的值域为 ,则 的取值范围是( ) A. B. C. D. 15.设 是奇函数,若函数 图象与函数 图象关于直线 对称,则 的值域为 ( ) A. B. C. D. 16.函数 的定义域为 ( ) A. B. C. D. 17.函数y= 的定义域是( ) 第 3 页 学学科科网网((北北京京))股股份份有有限限公公司司A. B. C. D. . 18.若函数 的定义域为 ,则 ( ) A.1 B.-1 C.2 D.无法确定 19.设集合 ,则( ) A. B. C. D. 20.已知函数 的值域为 ,则实数 的取值范围是( ) A. B. C. D. 21.若函数 的图象经过点(4,2),则函数g(x)=loga 的图象是( ) A. B. C. D. 22.已知函数 ,则使不等式 成立的x的取值范围是( ) A. B. C. D. 23.已知函数 的值域为 ,则实数a的取值范围是( ) A. B. 第 4 页 学学科科网网((北北京京))股股份份有有限限公公司司C. D. 24.已知集合 , ,则 为( ) A. B. C. D. 25.已知函数 的值域为R,则实数a的取值范围是( ) A. B. C. D. 【高分突破】 一、单选题 26.已知集合 , ,则 ( ) A. B. C. D. 27.函数 的定义域为( ) A. B. C. D. 28.已知集合 , ,则 ( ) A. B. C. D. 29.已知函数 ,给出下述论述,其中正确的是( ) A.当 时, 的定义域为 B. 一定有最小值 C.当 时, 的定义域为 D.若 在区间 上单调递增,则实数 的取值范围是 第 5 页 学学科科网网((北北京京))股股份份有有限限公公司司30.已知集合 , ,则 ( ) A. B. C. D. 31.已知函数 ,则 的定义域为( ) A. B. C. D. 32.下列函数中最小值为4的是( ) A. B. C. D. 33.已知集合 , ,则 ( ) A. B. C. D. 34.不等式 成立的一个充分不必要条件是( ) A. B. C. D. 二、多选题 35.已知函数 , ,若存在 ,使得 ,则 的取值可以是( ) A.-4 B.-2 C.2 D.3 36.已知函数 ,则下列说法正确的是( ) A. B.函数 的图象与x轴有两个交点 C.函数 的最小值为 D.函数 的最大值为4 第 6 页 学学科科网网((北北京京))股股份份有有限限公公司司E.函数 的图象关于直线 对称 37.关于函数 ,则下列说法正确的是( ) A.其图象关于y轴对称 B.当 时, 是增函数;当 时, 是减函数 C. 的最小值是 D. 无最大值,也无最小值 38.设函数 =ln(x2-x+1),则下列命题中正确的是( ) A.函数的定义域为R B.函数是增函数 C.函数的值域为R D.函数的图象关于直线x= 对称 三、填空题 39.函数 的定义域是___________. 40.不等式 的解集是________. 41.已知函数 与 ,若对任意的 ,都存在 ,使得 , 则实数a的取值范围是______. 42.已知函数 的值域是R,则实数 的最大值是___________; 43.函数 的单调递增区间为______. 44.已知函数 ,则使不等式 成立的 的取值范围是_______________ 四、解答题 45.若函数 、 都在区间I上有定义,对任意 都有 成立,则称 、 为区间I 上的“均分函数”. (1)判断 、 是否为区间 上的“均分函数”,并说明理由; 第 7 页 学学科科网网((北北京京))股股份份有有限限公公司司(2)若 、 为区间 上的“均分函数”,求m的取值范围; (3)若 、 为区间 上的“均分函数”,求k的取值范围. 46.已知函数 ( 且 )的图象过点 (1)求 的值. (2)若 . (i)求 的定义域并判断其奇偶性; (ii)求 的单调递增区间. 47.已知函数 . (1)当 时,求 ; (2)求解关于 的不等式 ; (3)若 恒成立,求实数 的取值范围. 48.已知函数 . (1)求 在 上的最大值; (2)设函数 的定义域为I,若存在区间 ,满足:对任意 ,都存在 (其中 表示A在I上的补集) 使得 ,则称区间A为 的“Γ区间”.已知 ,若 为函数 的 “Γ区间”,求a的最大值. 49.已知函数 在[1,2]时有最大值1和最小值0,设 . (1)求实数 , 的值; (2)若不等式 在[4,8]上有解,求实数 的取值范围 第 8 页 学学科科网网((北北京京))股股份份有有限限公公司司参考答案 1.C 【解析】 【分析】 求出集合 由交集的运算可得答案. 【详解】 集合 , , . 故选:C. 2.B 【解析】 【分析】 求出函数 的定义域得集合 ,解不等式 得 的范围,根据充分不必要条件的 定义可得答案. 【详解】 函数 有意义的条件为 ,解得 , 所以 ,不等式 ,即 , 因为 ,所以 ,记不等式 的解集为集合 , 所以 ,所以 ,得 . 故选:B. 3.A 【解析】 【分析】 根据题意可知 为方程 的一个根,从而可求出 的值 【详解】 由 ,得 , 由题意可知上式的解集为 , 所以 为方程 的一个根, 所以 ,得 , 故选:A 4.C 【解析】 【分析】 第 9 页根据指数对数和幂函数的值域判断即可 【详解】 值域为 , 值域为R, 值域为 , 值域为R,故只有 满足. 故选:C 5.C 【解析】 【分析】 结合函数的最值(值域)以及充分、必要条件的知识来确定正确答案. 【详解】 的最小值为2,故 , “ 恒成立”, 即“ 恒成立”, 所以 ,故 . 故是充要条件. 故选:C 6.D 【解析】 【分析】 首先求出 的范围,然后可得答案. 【详解】 因为 ,所以 ,所以 , 故选:D 7.D 【解析】 【分析】 首先求出 时函数的值域,设 时, 的值域为 ,依题意可得 ,即可得到不等式组,解得即 可; 【详解】 解:由题意可得当 时 ,所以 的值域为 , 设 时, 的值域为 ,则由 的值域为R可得 , ∴ ,解得 ,即 . 故选:D 8.C 【解析】 【分析】 求出当 和 时的取值范围,结合值域关系建立不等式进行求解即可 第 10 页【详解】 当 时, 当 时, 要使 的值域为 则 , 故选:C 9.B 【解析】 【分析】 根据函数的值域为R可得 或 ,利用复合函数的单调性和二次函数的性质可得a的取值范围. 【详解】 因为函数 的值域为R, 所以 取得一切正数, 即方程 有实数解, 得 ,解得 或 ; 又函数 在 上是增函数, 所以函数 在 上是减函数,且 在 上恒成立, 则 ,解得 , 综上,实数a的取值范围为 或 . 故选:B 10.C 【解析】 由题意利用基本初等函数的值域,得出结论. 【详解】 解: 函数 的值域为 , ,故排除 ; 函数 的值域为 ,故排除 ; 函数 的值域为 ,故 满足条件; 函数 的值域为 , ,故排除 , 故选: . 11.C 【解析】 【分析】 第 11 页根据对数型函数的定义域,结合解一元二次不等式的方法、集合并集的定义进行求解即可. 【详解】 因为 , ,所以 . 故选:C 12.B 【解析】 【分析】 由 的性质求出对应区间的值域及单调性,令 并将问题转化为 与 交点横坐标 对应 值的个 数,结合数形结合法求零点个数即可. 【详解】 令 , 当 时, 且递增,此时 , 当 时, 且递减,此时 , 当 时, 且递增,此时 , 当 时, 且递增,此时 , 所以, 的零点等价于 与 交点横坐标 对应的 值,如下图示: 由图知: 与 有两个交点,横坐标 、 : 当 ,即 时,在 、 、 上各有一个解;当 ,即 时,在 有一个解. 综上, 的零点共有4个. 故选:B 13.D 【解析】 【分析】 求出集合 、 ,利用补集和交集的定义可求得结果. 【详解】 第 12 页因为 ,则 或 ,因此, . 故选:D. 14.C 【解析】 画出函数 的图象,根据函数 在 上的值域为 ,得到m的范围,进而得到3m的 范围,再利用函数的单调性求解. 【详解】 函数 的图象,如图所示: 因为函数 在 上的值域为 , 由图象可得 , 而 在 上单调递增,故 的取值范围是 . 故选;C 15.A 【解析】 【分析】 先求出 的定义域,然后利用奇函数的性质求出 的值,从而得到 的定义域,然后利用反函数的定义,即 可求出 的值域. 【详解】 因为 , 所以 可得 或 , 所以 的定义域为 或 , 第 13 页因为 是奇函数,定义域关于原点对称,所以 ,解得 , 所以 的定义域为 , 因为函数 图象与函数 图象关于直线 对称, 所以 与 互为反函数, 故 的值域即为 的定义域 . 故选: . 16.D 【解析】 【分析】 对数函数的定义域为真数大于0,解不等式即可. 【详解】 解:函数 的定义域为: ,即 或 , 所以定义域为: . 故选:D. 17.A 【解析】 【分析】 根据偶次方根的被开方数为非负数,对数的真数大于零列不等式,由此求得函数的定义域. 【详解】 依题意 , 所以 的定义域为 . 故选:A 18.B 【解析】 【分析】 先根据定义域确定 的解为 ,再确定 ,且 ,即解得结果. 【详解】 函数 的定义域为 ,则 的解集为 , 即 ,且 的根 ,故 . 故选:B. 19.D 【解析】 【分析】 第 14 页先用列举法写出集合 和集合 ,再判定他们之间的关系即可得出答案. 【详解】 根据题意, 时, 所以选项D正确. 故选:D. 20.D 【解析】 令 ,由题意可知,函数 的值域包含 ,分 和 两种情况讨 论,结合已知条件可得出关于实数 的不等式组,由此可解得实数 的取值范围. 【详解】 令 ,由于函数 的值域为 , 所以,函数 的值域包含 . ①当 时,函数 的值域为 ,合乎题意; ②当 时,若函数 的值域包含 , 则 ,解得 或 . 综上所述,实数 的取值范围是 . 故选:D. 【点睛】 关键点点睛:本题解题的关键在于分析出内层函数 的值域包含 ,进而对参数进行分类 讨论,结合二次函数的基本性质求解. 21.D 【解析】 【分析】 根据函数 的图象经过点(4,2)可求出 的值,把 的值代入函数 的解析式,从而根据函数 的定 义域及单调性排除选项. 【详解】 由题意可知f(4)=2,即a3=2,所以a= . 所以 , 因为函数 的定义域为 ,且函数 在定义域内单调递减,所以排除选项A,B,C. 第 15 页故选:D. 22.C 【解析】 【分析】 分析给定函数 的性质,利用函数的奇偶性、单调性解不等式作答. 【详解】 函数 定义域为 , 显然有 ,即函数 是偶函数, 当 时, ,令 , , , , 因 ,则 ,即 , ,有 , 在 上单调递增, 又 在 上单调递增,因此, 在 上单调递增, 于是得 ,解得 或 , 所以不等式 成立的x的取值范围是 . 故选:C 23.B 【解析】 令 ,要使已知函数的值域为 , 需 值域包含 ,对系数 分类讨论,结合二次函数图像,即可求解. 【详解】 解:∵函数 的值域为 , 令 , 当 时, ,不合题意; 当 时, ,此时 ,满足题意; 当 时,要使函数 的值域为 , 则函数 的值域 包含 , ,解得 , 综上,实数 的取值范围是 . 故选:B 【点睛】 第 16 页关键点点睛:要使函数 的值域为 ,需要作为真数的函数值域必须包含 ,对 系数 分类讨论,结合二次函数图像,即可求解. 24.D 【解析】 化简集合N,根据并集运算即可. 【详解】 由 ,解得 , , 故选:D 【点睛】 本题主要考查了二次不等式,集合的并集,属于容易题. 25.C 【解析】 【分析】 由题得 ,即求. 【详解】 ∵ ,又函数 的值域为R, 则 ,解得 . 故选:C. 26.C 【解析】 【分析】 利用指数函数的性质可化简集合 ,根据对数函数性质得集合 ,然后计算交集. 【详解】 由已知 , , ∴ . 故选:C. 27.A 【解析】 【分析】 根据真数大于0列不等式后再解不等式即可. 【详解】 第 17 页由题意得 ,即 ,解得 . 故选:A. 28.B 【解析】 【分析】 化简集合A,B,根据集合的交集运算可得结果. 【详解】 ∵集合 , , ∴ . 故选:B. 29.A 【解析】 【分析】 对于AC:直接求出定义域,即可判断; 对于B:取特殊情况,a=0时,值域为R,否定结论; 对于D:取特殊情况,a=-4时否定结论. 【详解】 对A,当 时,解 有 ,故A正确; 对B,当 时, ,此时 , , 此时 值域为 ,故B错误; 对C,由A, 的定义域为 ,故C错误; 对D,若 在区间 上单调递增,此时 在 上单调递增,所以对称轴 ,解 得 ,但当 时, 在 处无定义,故D错误. 故选:A. 30.B 【解析】 【分析】 由题知 , ,进而根据补集运算与交集运算求解即可. 【详解】 解:因为 , , 所以 , 所以 故选:B 第 18 页31.A 【解析】 根据对数的定义,结合复合函数的定义域性质进行求解即可. 【详解】 由 可知: 或 , 因此有: 或 ,显然 不成立,故 ,解得 或 . 故选:A 32.C 【解析】 【分析】 根据二次函数的性质可判断 选项不符合题意,再根据基本不等式“一正二定三相等”,即可得出 不符合题 意, 符合题意. 【详解】 对于A, ,当且仅当 时取等号,所以其最小值为 ,A不符合题意; 对于B,因为 , ,当且仅当 时取等号,等号取不到,所以其最小值 不为 ,B不符合题意; 对于C,因为函数定义域为 ,而 , ,当且仅当 ,即 时取等号, 所以其最小值为 ,C符合题意; 对于D, ,函数定义域为 ,而 且 ,如当 , ,D不符合题意. 故选:C. 【点睛】 本题解题关键是理解基本不等式的使用条件,明确“一正二定三相等”的意义,再结合有关函数的性质即可解出. 33.C 【解析】 【分析】 求出集合 、 ,利用交集的定义可求得结果. 【详解】 对于函数 , ,则 ,故 , ,因此, . 故选:C. 34.D 【解析】 【分析】 先利用对数函数单调性解不等式,再判断出充分不必要条件. 【详解】 第 19 页由 ,由于 ,而 ,故不等式 成立的一个充分不必要条件是 ,A选项是充要条件,B选项是既不充分也不必要条件,C选项是必要不充 分条件. 故选:D. 35.AB 【解析】 【分析】 根据条件求出两个函数的值域,结合若存在 ,使得 ,等价为两个集合有公共元素,然后 根据集合的关系进行求解即可. 【详解】 当 时, ,即 , 则 的值域为 , 当 时, , 则 的值域为 , 若存在 ,使得 , 则 , 若 , 则 或 , 解得 或 . 所以当 时, 的取值范围为 . 故选:AB 36.ABC 【解析】 【分析】 A,利用函数直接求解;B令 求解即可;C,转化为二次函数求解;D,转化为二次函数求解;E,取特殊 值验证即可. 【详解】 A正确, ; B正确,令 ,得 , 解得 或 ,即 的图象与x有两个交点; C正确,因为 ,所以当 , 第 20 页即 时, 取最小值 ; D错误, 没有最大值; E错误,取 ,则 . 故选:ABC. 【点睛】 本题主要考查对数型函数的图象和性质,还考查了转化求解问题的能力,属于中档题. 37.AC 【解析】 【分析】 根据函数的解析式,求其定义域,奇偶性,单调性即可. 【详解】 函数 定义域为 , 又满足 ,所以函数 是偶函数,图象关于y轴对称,A正确; 函数 ,当 时,令 ,原函数变为 , 在 上是减函数,在 上是增函数,所以 在 上是减函数,在 上是增函数, ,又是偶函数,所以函数 的 最小值是 ,故BD不正确,C正确 故选:AC. 38.AD 【解析】 【分析】 求得对数型复合函数的定义域、单调性、值域以及对称性,即可判断和选择. 【详解】 A正确,∵x2-x+1= >0恒成立,∴函数的定义域为R; B错误,函数y=ln(x2-x+1)在x> 时是增函数,在x< 时是减函数; C错误,由x2-x+1= 可得y=ln(x2-x+1)≥ ,∴函数的值域为 ; D正确, ,故函数的图象关于直线x= 对称. 故选: . 【点睛】 本题考查对数型复合函数性质的求解,属综合基础题. 39. 【解析】 【分析】 第 21 页由对数的真数大于零,同时二次根式在分母,则其被开方数大于零,从而可求出定义域 【详解】 由题意可得 解得 ,即 的定义域是 . 故答案为: 40. 【解析】 【分析】 由 ,结合 在 单调递减,即可求解集. 【详解】 解:由 在 单调递减,因为 , 所以 ,解得, ,即解集为 . 故答案为: 【点睛】 本题考查了对数不等式的求解,考查了对数函数的单调性,考查了对数函数的定义域.本题的易错点是忽略了真数 需要大于零. 41. 【解析】 由对数函数的性质可得 ,转化条件为 、 ,由二次函数的图象与性质即可得解. 【详解】 因为 ,所以 即 , 函数 的图象开口朝上,对称轴为 , ①当 ,函数 在 上单调递增,所以 , 即 , 所以 ,解得 ; ②当 时,函数 在 上单调递减,所以 , 即 , 所以 ,解得 ; 第 22 页③当 时, , , 所以 ,解得 ; ④当 时, , , 所以 ,解得 ; 综上,实数a的取值范围是 . 故答案为: . 【点睛】 解决本题的关键是将条件转化为 、 ,结合二次函数的图象与性质讨论即可得解. 42.8 【解析】 【分析】 根据条件可得 在 , 上的最小值小于或等于3,判断其单调性列出不等式得出 的范围. 【详解】 当 时, . 因为 的值域为 ,则当 时, . 当 时, , 故 在 , 上单调递增, ,即 , 解得 ,即 的最大值为8. 故答案为:8. 43. 【解析】 【分析】 根据复合函数的单调性及定义域解答即可. 【详解】 由题意, ,解得 或 , 所以 的定义域为 .由二次函数的图象与性质,知函数 在 上单调递增,所 以函数 的单调递增区间为 . 故答案为: 44. 【解析】 【分析】 第 23 页由奇偶性定义可判断出 为偶函数,结合复合函数单调性的判断可得到 在 上单调递增,由偶函数性 质知其在 上单调递减,利用函数单调性解不等式即可求得结果. 【详解】 由 ,解得: 或 ,故函数的定义域为 , 又 , 为 上的偶函数; 当 时, 单调递增, 设 , , 在 上单调递增, 在 上单调递增, 在 上单调递增,又 为偶函数, 在 上单调递减; 由 可知 ,解得 . 故答案为: . 【点睛】 方法点睛:本题考查利用函数单调性和奇偶性求解函数不等式的问题,解决此类问题中,奇偶性和单调性的作用 如下: (1)奇偶性:统一不等式两侧符号,同时根据奇偶函数的对称性确定对称区间的单调性; (2)单调性:将函数值的大小关系转化为自变量之间的大小关系. 45.(1)是均分函数,理由见解析; (2) ; (3) . 【解析】 【分析】 (1)由题设有 ,换元法及二次函数的性质求值域,结合“均分函数”定义判断即可. (2)由题设 在 恒成立,列不等式组求 范围,即可得 的范围. (3)由题设有 在 上恒成立,分别求不等式左侧最大值、右侧最小值,即可得k的取值范 围. (1) ,设 , 第 24 页∴ , ∴ 、 是 上的均分函数; (2) 由题意: 在 恒成立,即 . ∴ ,解得 ,则 ; (3) 由题意: ∴ ,即 . 又 在 上是严格增函数,则 . 由 ,当且仅当 时等号成立,但 , 故当 时, , ∴ . 46.(1) ;(2)(i)定义域为 , 是偶函数;(ii) . 【解析】 【分析】 (1)由 可求得实数 的值; (2)(i)根据对数的真数大于零可得出关于实数 的不等式,由此可解得函数 的定义域,然后利用函数奇 偶性的定义可证明函数 为偶函数; (ii)利用复合函数法可求得函数 的增区间. 【详解】 (1)由条件知 ,即 ,又 且 ,所以 ; (2) . (i)由 得 ,故 的定义域为 . 因为 ,故 是偶函数; 第 25 页(ii) , 因为函数 单调递增,函数 在 上单调递增, 故 的单调递增区间为 . 47.(1) ;(2)当 时, 的解集为 ,当 时; (3) . 【解析】 【分析】 (1)将 直接代入解析式计算即可. (2)将 整理为 ,解得 或 ,再对 讨论 即可解不等式. (3)将问题转化为 ,分别分 和 讨论,求 最小值,令其大于 ,即可求解. 【详解】 (1)当 时, (2)由 得: 或 当 时,解不等式可得: 或 当 时,解不等式可得: 或 综上所述:当 时, 的解集为 ;当 时, 的解集为 (3)由 得: 或 ①当 时, , 或 ,解得: ②当 时, , 或 ,解得: 综上所述: 的取值范围为 【点睛】 本题主要考查了复合函数的单调性、考查函数的最值和恒成立问题、考查分类讨论的思想,属于中档题. 第 26 页48.(1)答案见解析;(2)1. 【解析】 (1)作出函数 的图象,分 , ,利用数形结合法求解. (2)根据对任意 ,都存在 使得 ,分 , ,分别求得 在 和 上的值域,利用集合法求解. 【详解】 (1)函数 的图象如图所示: 当 时, 的最大值为 , 当 时, 的最大值为 . (2) 当 时, 在 上的值域为 , 在 上的值域为 , 因为满足:对任意 ,都存在 使得 , 所以  ,成立; 此时 为函数 的“Γ区间”, 当 时, 在 上的值域为 , 在 上的值域为 , 当 时, ,所以 , , 即存在 ,对任意 使得 , 所以 不为函数 的“Γ区间”, 所以a的最大值是1. 第 27 页【点睛】 方法点睛:双变量存在与恒成立问题: 若 , 成立,则 ; 若 , 成立,则 ; 若 , 成立,则 ; 若 , 成立,则 ; 若 , 成立,则 的值域是 的子集; 49.(1) ;(2) . 【解析】 【分析】 (1)讨论 时,易知函数为常数函数不合题意, 时,确定函数单调性,进而根据条件求出a,b; (2)由(1)求出 ,进而化简不等式为 ,然后分离变量即可解得. 【详解】 (1)函数 , 若 时, ,最大值等于最小值,不符合题意, 所以 , 的对称轴为 ,所以 在区间[1,2]上是增函数, 故 ,解得 . (2)由已知可得 ,则 , 所以不等式 转化为 在 上有解, 设 ,则 , 即 在 上有解, 即 有解, ∵ ,∴ , ∴当 时, 取得最大值,最大值为 . ∴ 即 ,∴ 的取值范围是 . 第 28 页第 29 页第 30 页