当前位置:首页>文档>专题15.29分式的运算与化简100题(分层练习)(基础练)-(人教版)_初中数学_八年级数学上册(人教版)_专题突破练习-V4_2024版

专题15.29分式的运算与化简100题(分层练习)(基础练)-(人教版)_初中数学_八年级数学上册(人教版)_专题突破练习-V4_2024版

  • 2026-05-01 06:21:40 2026-03-22 10:52:38

文档预览

专题15.29分式的运算与化简100题(分层练习)(基础练)-(人教版)_初中数学_八年级数学上册(人教版)_专题突破练习-V4_2024版
专题15.29分式的运算与化简100题(分层练习)(基础练)-(人教版)_初中数学_八年级数学上册(人教版)_专题突破练习-V4_2024版
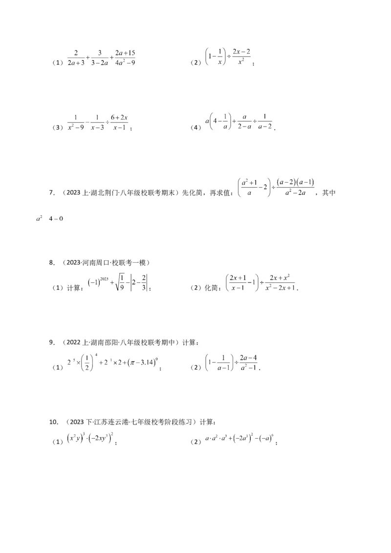
专题15.29分式的运算与化简100题(分层练习)(基础练)-(人教版)_初中数学_八年级数学上册(人教版)_专题突破练习-V4_2024版
专题15.29分式的运算与化简100题(分层练习)(基础练)-(人教版)_初中数学_八年级数学上册(人教版)_专题突破练习-V4_2024版
专题15.29分式的运算与化简100题(分层练习)(基础练)-(人教版)_初中数学_八年级数学上册(人教版)_专题突破练习-V4_2024版
专题15.29分式的运算与化简100题(分层练习)(基础练)-(人教版)_初中数学_八年级数学上册(人教版)_专题突破练习-V4_2024版
专题15.29分式的运算与化简100题(分层练习)(基础练)-(人教版)_初中数学_八年级数学上册(人教版)_专题突破练习-V4_2024版
专题15.29分式的运算与化简100题(分层练习)(基础练)-(人教版)_初中数学_八年级数学上册(人教版)_专题突破练习-V4_2024版
专题15.29分式的运算与化简100题(分层练习)(基础练)-(人教版)_初中数学_八年级数学上册(人教版)_专题突破练习-V4_2024版
专题15.29分式的运算与化简100题(分层练习)(基础练)-(人教版)_初中数学_八年级数学上册(人教版)_专题突破练习-V4_2024版
专题15.29分式的运算与化简100题(分层练习)(基础练)-(人教版)_初中数学_八年级数学上册(人教版)_专题突破练习-V4_2024版
专题15.29分式的运算与化简100题(分层练习)(基础练)-(人教版)_初中数学_八年级数学上册(人教版)_专题突破练习-V4_2024版
专题15.29分式的运算与化简100题(分层练习)(基础练)-(人教版)_初中数学_八年级数学上册(人教版)_专题突破练习-V4_2024版
专题15.29分式的运算与化简100题(分层练习)(基础练)-(人教版)_初中数学_八年级数学上册(人教版)_专题突破练习-V4_2024版
专题15.29分式的运算与化简100题(分层练习)(基础练)-(人教版)_初中数学_八年级数学上册(人教版)_专题突破练习-V4_2024版
专题15.29分式的运算与化简100题(分层练习)(基础练)-(人教版)_初中数学_八年级数学上册(人教版)_专题突破练习-V4_2024版
专题15.29分式的运算与化简100题(分层练习)(基础练)-(人教版)_初中数学_八年级数学上册(人教版)_专题突破练习-V4_2024版
专题15.29分式的运算与化简100题(分层练习)(基础练)-(人教版)_初中数学_八年级数学上册(人教版)_专题突破练习-V4_2024版
专题15.29分式的运算与化简100题(分层练习)(基础练)-(人教版)_初中数学_八年级数学上册(人教版)_专题突破练习-V4_2024版
专题15.29分式的运算与化简100题(分层练习)(基础练)-(人教版)_初中数学_八年级数学上册(人教版)_专题突破练习-V4_2024版
专题15.29分式的运算与化简100题(分层练习)(基础练)-(人教版)_初中数学_八年级数学上册(人教版)_专题突破练习-V4_2024版
专题15.29分式的运算与化简100题(分层练习)(基础练)-(人教版)_初中数学_八年级数学上册(人教版)_专题突破练习-V4_2024版
专题15.29分式的运算与化简100题(分层练习)(基础练)-(人教版)_初中数学_八年级数学上册(人教版)_专题突破练习-V4_2024版
专题15.29分式的运算与化简100题(分层练习)(基础练)-(人教版)_初中数学_八年级数学上册(人教版)_专题突破练习-V4_2024版
专题15.29分式的运算与化简100题(分层练习)(基础练)-(人教版)_初中数学_八年级数学上册(人教版)_专题突破练习-V4_2024版
专题15.29分式的运算与化简100题(分层练习)(基础练)-(人教版)_初中数学_八年级数学上册(人教版)_专题突破练习-V4_2024版
专题15.29分式的运算与化简100题(分层练习)(基础练)-(人教版)_初中数学_八年级数学上册(人教版)_专题突破练习-V4_2024版
专题15.29分式的运算与化简100题(分层练习)(基础练)-(人教版)_初中数学_八年级数学上册(人教版)_专题突破练习-V4_2024版
专题15.29分式的运算与化简100题(分层练习)(基础练)-(人教版)_初中数学_八年级数学上册(人教版)_专题突破练习-V4_2024版
专题15.29分式的运算与化简100题(分层练习)(基础练)-(人教版)_初中数学_八年级数学上册(人教版)_专题突破练习-V4_2024版
专题15.29分式的运算与化简100题(分层练习)(基础练)-(人教版)_初中数学_八年级数学上册(人教版)_专题突破练习-V4_2024版
专题15.29分式的运算与化简100题(分层练习)(基础练)-(人教版)_初中数学_八年级数学上册(人教版)_专题突破练习-V4_2024版
专题15.29分式的运算与化简100题(分层练习)(基础练)-(人教版)_初中数学_八年级数学上册(人教版)_专题突破练习-V4_2024版
专题15.29分式的运算与化简100题(分层练习)(基础练)-(人教版)_初中数学_八年级数学上册(人教版)_专题突破练习-V4_2024版
专题15.29分式的运算与化简100题(分层练习)(基础练)-(人教版)_初中数学_八年级数学上册(人教版)_专题突破练习-V4_2024版
专题15.29分式的运算与化简100题(分层练习)(基础练)-(人教版)_初中数学_八年级数学上册(人教版)_专题突破练习-V4_2024版
专题15.29分式的运算与化简100题(分层练习)(基础练)-(人教版)_初中数学_八年级数学上册(人教版)_专题突破练习-V4_2024版
专题15.29分式的运算与化简100题(分层练习)(基础练)-(人教版)_初中数学_八年级数学上册(人教版)_专题突破练习-V4_2024版
专题15.29分式的运算与化简100题(分层练习)(基础练)-(人教版)_初中数学_八年级数学上册(人教版)_专题突破练习-V4_2024版
专题15.29分式的运算与化简100题(分层练习)(基础练)-(人教版)_初中数学_八年级数学上册(人教版)_专题突破练习-V4_2024版
专题15.29分式的运算与化简100题(分层练习)(基础练)-(人教版)_初中数学_八年级数学上册(人教版)_专题突破练习-V4_2024版
专题15.29分式的运算与化简100题(分层练习)(基础练)-(人教版)_初中数学_八年级数学上册(人教版)_专题突破练习-V4_2024版
专题15.29分式的运算与化简100题(分层练习)(基础练)-(人教版)_初中数学_八年级数学上册(人教版)_专题突破练习-V4_2024版
专题15.29分式的运算与化简100题(分层练习)(基础练)-(人教版)_初中数学_八年级数学上册(人教版)_专题突破练习-V4_2024版
专题15.29分式的运算与化简100题(分层练习)(基础练)-(人教版)_初中数学_八年级数学上册(人教版)_专题突破练习-V4_2024版
专题15.29分式的运算与化简100题(分层练习)(基础练)-(人教版)_初中数学_八年级数学上册(人教版)_专题突破练习-V4_2024版
专题15.29分式的运算与化简100题(分层练习)(基础练)-(人教版)_初中数学_八年级数学上册(人教版)_专题突破练习-V4_2024版
专题15.29分式的运算与化简100题(分层练习)(基础练)-(人教版)_初中数学_八年级数学上册(人教版)_专题突破练习-V4_2024版
专题15.29分式的运算与化简100题(分层练习)(基础练)-(人教版)_初中数学_八年级数学上册(人教版)_专题突破练习-V4_2024版
专题15.29分式的运算与化简100题(分层练习)(基础练)-(人教版)_初中数学_八年级数学上册(人教版)_专题突破练习-V4_2024版
专题15.29分式的运算与化简100题(分层练习)(基础练)-(人教版)_初中数学_八年级数学上册(人教版)_专题突破练习-V4_2024版
专题15.29分式的运算与化简100题(分层练习)(基础练)-(人教版)_初中数学_八年级数学上册(人教版)_专题突破练习-V4_2024版
专题15.29分式的运算与化简100题(分层练习)(基础练)-(人教版)_初中数学_八年级数学上册(人教版)_专题突破练习-V4_2024版
专题15.29分式的运算与化简100题(分层练习)(基础练)-(人教版)_初中数学_八年级数学上册(人教版)_专题突破练习-V4_2024版
专题15.29分式的运算与化简100题(分层练习)(基础练)-(人教版)_初中数学_八年级数学上册(人教版)_专题突破练习-V4_2024版
专题15.29分式的运算与化简100题(分层练习)(基础练)-(人教版)_初中数学_八年级数学上册(人教版)_专题突破练习-V4_2024版
专题15.29分式的运算与化简100题(分层练习)(基础练)-(人教版)_初中数学_八年级数学上册(人教版)_专题突破练习-V4_2024版
专题15.29分式的运算与化简100题(分层练习)(基础练)-(人教版)_初中数学_八年级数学上册(人教版)_专题突破练习-V4_2024版
专题15.29分式的运算与化简100题(分层练习)(基础练)-(人教版)_初中数学_八年级数学上册(人教版)_专题突破练习-V4_2024版
专题15.29分式的运算与化简100题(分层练习)(基础练)-(人教版)_初中数学_八年级数学上册(人教版)_专题突破练习-V4_2024版
专题15.29分式的运算与化简100题(分层练习)(基础练)-(人教版)_初中数学_八年级数学上册(人教版)_专题突破练习-V4_2024版
专题15.29分式的运算与化简100题(分层练习)(基础练)-(人教版)_初中数学_八年级数学上册(人教版)_专题突破练习-V4_2024版
专题15.29分式的运算与化简100题(分层练习)(基础练)-(人教版)_初中数学_八年级数学上册(人教版)_专题突破练习-V4_2024版
专题15.29分式的运算与化简100题(分层练习)(基础练)-(人教版)_初中数学_八年级数学上册(人教版)_专题突破练习-V4_2024版
专题15.29分式的运算与化简100题(分层练习)(基础练)-(人教版)_初中数学_八年级数学上册(人教版)_专题突破练习-V4_2024版
专题15.29分式的运算与化简100题(分层练习)(基础练)-(人教版)_初中数学_八年级数学上册(人教版)_专题突破练习-V4_2024版
专题15.29分式的运算与化简100题(分层练习)(基础练)-(人教版)_初中数学_八年级数学上册(人教版)_专题突破练习-V4_2024版
专题15.29分式的运算与化简100题(分层练习)(基础练)-(人教版)_初中数学_八年级数学上册(人教版)_专题突破练习-V4_2024版
专题15.29分式的运算与化简100题(分层练习)(基础练)-(人教版)_初中数学_八年级数学上册(人教版)_专题突破练习-V4_2024版
专题15.29分式的运算与化简100题(分层练习)(基础练)-(人教版)_初中数学_八年级数学上册(人教版)_专题突破练习-V4_2024版
专题15.29分式的运算与化简100题(分层练习)(基础练)-(人教版)_初中数学_八年级数学上册(人教版)_专题突破练习-V4_2024版
专题15.29分式的运算与化简100题(分层练习)(基础练)-(人教版)_初中数学_八年级数学上册(人教版)_专题突破练习-V4_2024版
专题15.29分式的运算与化简100题(分层练习)(基础练)-(人教版)_初中数学_八年级数学上册(人教版)_专题突破练习-V4_2024版
专题15.29分式的运算与化简100题(分层练习)(基础练)-(人教版)_初中数学_八年级数学上册(人教版)_专题突破练习-V4_2024版
专题15.29分式的运算与化简100题(分层练习)(基础练)-(人教版)_初中数学_八年级数学上册(人教版)_专题突破练习-V4_2024版
专题15.29分式的运算与化简100题(分层练习)(基础练)-(人教版)_初中数学_八年级数学上册(人教版)_专题突破练习-V4_2024版
专题15.29分式的运算与化简100题(分层练习)(基础练)-(人教版)_初中数学_八年级数学上册(人教版)_专题突破练习-V4_2024版
专题15.29分式的运算与化简100题(分层练习)(基础练)-(人教版)_初中数学_八年级数学上册(人教版)_专题突破练习-V4_2024版
专题15.29分式的运算与化简100题(分层练习)(基础练)-(人教版)_初中数学_八年级数学上册(人教版)_专题突破练习-V4_2024版
专题15.29分式的运算与化简100题(分层练习)(基础练)-(人教版)_初中数学_八年级数学上册(人教版)_专题突破练习-V4_2024版
专题15.29分式的运算与化简100题(分层练习)(基础练)-(人教版)_初中数学_八年级数学上册(人教版)_专题突破练习-V4_2024版
专题15.29分式的运算与化简100题(分层练习)(基础练)-(人教版)_初中数学_八年级数学上册(人教版)_专题突破练习-V4_2024版

文档信息

文档格式
docx
文档大小
3.482 MB
文档页数
82 页
上传时间
2026-03-22 10:52:38

文档内容

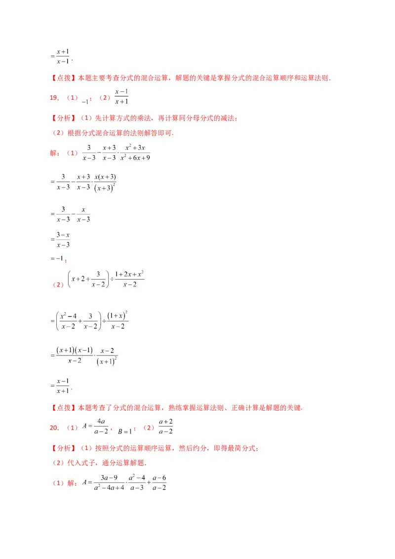
专题15.29 分式的运算与化简100 题(分层练习)(基础练) 1.(2023·河南郑州·郑州市第八中学校考二模) (1)计算; ; (2)化简 . 2.(2023下·浙江·七年级专题练习)计算: (1) (2) . 3.(2023下·吉林长春·八年级长春外国语学校校考期末)先化简,再求值: ,其中 . 4.(2023下·江苏盐城·八年级校考期中)计算: (1) ; (2) . 5.(2023下·山东济南·八年级统考期末)计算: (1) ; (2)先化简,再求值 ,其中 . 6.(2023上·八年级课时练习)计算:(1) (2) ; (3) ; (4) . 7.(2023上·湖北荆门·八年级校联考期末)先化简,再求值: ,其中 8.(2023·河南周口·校联考一模) (1)计算: ; (2)化简: . 9.(2022上·湖南邵阳·八年级校联考期中)计算: (1) ; (2) . 10.(2023下·江苏连云港·七年级校考阶段练习)计算: (1) ; (2) ;(3) ; (4) 11.(2023下·安徽宣城·七年级校联考期中)计算: (1) . (2) . 12.(2023上·全国·八年级课堂例题)计算: (1) ; (2) . 13.(2023上·全国·八年级课堂例题)计算: (1) ; (2) . 14.(2023上·山东济南·九年级校考阶段练习)计算 (1) (2) 15.(2023上·全国·八年级专题练习)化简: (1) ; (2) .16.(2023上·山东聊城·八年级统考期中)计算: (1) (2) 17.(2023上·湖南永州·八年级校考阶段练习)计算 (1) (2) 18.(2023下·海南海口·八年级校考阶段练习)计算. (1) ; (2) . 19.(2023上·贵州铜仁·八年级校考阶段练习)计算: (1) (2) 20.(2023上·贵州铜仁·八年级校考阶段练习)已知代数式 (1)化简A,B (2)若代数式 ,求M的值 21.(2023上·贵州铜仁·八年级校考阶段练习)王老师在黑板上写了一道题目,计算:.爱民同学做得最快,立刻拿给王老师看(如图),王老师看完摇了摇头,让爱 民同学回去认真检查.请你仔细阅读爱民同学的计算过程,帮助爱民同学改正错误. 解: ① ② ③ ④ (1)上述计算过程中,哪一步开始出现错误?______;(用序号表示) (2)从①到②是否正确?______;(填“是”或“否”)若不正确,错误的原因是______; (3)请你写出此题完整正确的解答过程.并求出当 时的值. 22.(2023上·山东济南·九年级校考阶段练习)先化简,再求值: ,其中 . 23.(2023下·吉林长春·八年级校考期中)计算: (1) . (2) .(3) . (4) . 24.(2023上·福建福州·八年级福州三牧中学校考期中)先化简,再求值: ,其中 . 25.(2022上·云南红河·八年级统考期末)计算: (1) (2) 26.(2022上·云南红河·八年级统考期末)先化简,再求值: ,并在不等 式 中选择一个你喜欢的整数代入求值. 27.(2023上·河北邢台·八年级邢台三中校联考阶段练习)老师布置了今天的作业:用两种方法计算 . 下面是嘉淇同学作业中的部分运算过程: 解:原式 第一步第二步 第三步 第四步 …… (1)以上化简步骤中,第_________步开始出现错误; (2)用第二种方法化简分式. 28.(2023上·湖南怀化·八年级校考期中)先化简,再求值. 已知 ,求 的值. 29.(2023上·河北石家庄·八年级校联考阶段练习)下面是小白同学进行分式化简的过程,请认真阅 读并完成相应的任务. 解: 第一步 第二步 第三步 第四步 第五步任务: (1)填空: ①上面的化简步骤中,第______ 步是进行分式的通分,通分的依据是______ . ②第______ 步开始出现错误,这一步错误的原因是______ . (2)请写出正确的化简过程. (3)当 时,求该分式的值. 30.(2023上·湖南永州·八年级统考阶段练习)计算 (1) (2) 31.(2023上·湖南娄底·八年级统考阶段练习)计算: (1) ; (2) . 32.(2021上·湖北武汉·八年级武汉外国语学校(武汉实验外国语学校)校考期末) (1)计算: ; (2)先化简,再求值: ,其中 . 33.(2023上·湖南永州·八年级校考阶段练习)计算:(1) (2) 34.(2022上·天津东丽·八年级统考期末)先化简,再求值 ,其中 , . 35.(2022上·云南红河·八年级统考期末)化简求值: ,其中 ,且a为 整数. 36.(2022上·黑龙江哈尔滨·八年级统考期末)化简求值:先化简,再求值: ,其中 . 37.(2022下·黑龙江绥化·八年级校考开学考试)化简: (1) ; (2) . 38.(2023上·内蒙古通辽·八年级校考期中)计算: (1) (2)39.(2022下·江苏连云港·八年级海州实验中学校考期中)计算: (1) ; (2) . 40.(2023上·四川泸州·九年级统考阶段练习)先化简再求值: ,其中a是方程 的根. 41.(2023上·河南南阳·九年级校考阶段练习)计算: (1) (2) 42.(2023上·重庆·八年级西南大学附中校考期中)计算: (1) (2) 43.(2023上·湖南岳阳·八年级校考期中)先化简 再从0,1,2中选择一 个适当的数作为 的值代入求值. 44.(2023上·河北秦皇岛·八年级统考期中)计算 (1) (2)45.(2023上·广西贵港·八年级统考期中)先化简,再求值: (1) ,其中 ; (2) ,其中 . 46.(2023上·山东菏泽·八年级统考期中)计算: (1) (2) 47.(2023上·河北邢台·八年级校考期中)嘉淇在计算 时,给出如下计算过程: 原式 第一步 第二步 第三步 第四步 . 第五步 已知嘉淇的解法是错误的. (1)她开始出现错误的步骤是第_____________步. (2)请给出正确的解答过程. 48.(2023上·广东梅州·九年级校联考阶段练习)先化简再求值: ,其中 满足. 49.(2023上·湖南永州·八年级校联考期中)化简: (1) . (2) 50.(2023上·北京房山·八年级统考期中)计算: (1) (2) 51.(2023上·湖南邵阳·八年级统考期中)计算: (1) (2) 52.(2023上·上海杨浦·八年级统考期中)先化简,再求值:已知 ,求 的值. 53.(2023上·湖南怀化·八年级统考期中)计算: (1) (2) 54.(2023上·北京石景山·八年级校考期中)计算:(1) ; (2) . 55.(2023上·河北石家庄·八年级校考期中) (1)先化简,再求值: ,其中 (2)先化简,再求值: ,其中 56.(2023上·山东威海·八年级统考期中)已知a满足不等式组 的解,选择一个你喜欢的 a值,先化简,再求下面式子的值: . 57.(2023上·北京房山·八年级统考期中)阅读下列解题过程,回答问题 计算: 解:原式 .上述解题过程是否正确?如果不正确,请写出正确的解题过程. 58.(2023上·湖南长沙·九年级统考阶段练习)计算题 (1) (2) 59.(2023上·湖南永州·八年级统考期中)计算: (1) (2) 60.(2023上·山东聊城·八年级统考期中)先化简,再求值: ,请从 , , 0,2中选择你喜欢的一个数作为x的值代入,求出相应的分式的值. 61.(2023上·江西宜春·八年级江西省丰城中学校考期中)先化简,再求值: , 请你从 的整数解中选取一个合适的数代入求值. 62.(2023上·湖南郴州·八年级校联考期中)计算: (1) ; (2) . 63.(2023上·河北石家庄·八年级石家庄市第四十一中学校考期中)先化简,再求值:,其中 . 64.(2023上·北京通州·八年级统考期中)先化简,再求值: ,其中 . 65.(2023上·广西北海·八年级统考期中)先化简,再求值: ,其中 . 66.(2023下·湖南常德·八年级校联考期中)计算: 67.(2023上·湖南邵阳·八年级校考期中)计算: (1) ; (2) . 68.(2023上·湖南娄底·八年级统考期中)计算 (1) ; (2) . 69.(2023上·山东济宁·八年级统考期中)计算下列各题: (1) ; (2) .70.(2023上·全国·八年级专题练习)分式计算: (1) ; (2) . 71.(2023上·重庆大渡口·九年级重庆市第三十七中学校校考期中) (1) ; (2) . 72.(2023上·山东淄博·八年级统考期中)计算 (1) ; (2) ; (3) 73.(2023上·山东淄博·八年级统考期中)以下是某同学化简分式 的部分运算过 程: 解:原式 ……第一 步……第二步 ……第三步 …… (1)上面的运算过程中第 步开始出现了错误; (2)请你写出完整的解答过程. 74.(2023上·湖南株洲·八年级校联考期中)计算: 75.(2023上·山东淄博·八年级统考期中)计算: (1) (2) 76.(2023上·山东淄博·八年级统考期中)计算 (1) (2) 77.(2023上·广西北海·八年级统考期中)计算: (1) ; (2) . 78.(2023上·河南新乡·九年级统考期中) (1)计算: .(2)化简:79.(2023上·江西新余·八年级新余四中校联考阶段练习)计算: (1) ; (2) . 80.(2023上·山东聊城·八年级统考期中)计算: (1) (2) (3) (4) 81.(2021上·湖南张家界·八年级统考期中)计算: (1) . (2) . 82.(2023上·江苏徐州·八年级统考期中)计算: (1) ; (2) 83.(2023上·山东聊城·八年级统考期中)(1)化简 ; (2)先化简,再求值: ,其中 ; (3)先化简,再求值: ,再从 , ,0,2中选择一个合适的数a 代入求值. 84.(2023上·江苏无锡·八年级校考期中)计算: (1) ; (2) . 85.(2023上·重庆北碚·九年级西南大学附中校考期中)计算: (1) ; (2) . 86.(2023上·重庆·九年级校联考期中)计算: (1) ; (2) .87.(2022上·福建莆田·八年级校考期末)先化简,再求值: 其中 . 88.(2023上·内蒙古·八年级内蒙古师大附中校考期中)先化简,再求值: (1) ,其中 , . (2) ,其中 满足 . 89.(2023上·江西新余·八年级新余四中校考期中)计算: (1) (2) 90.(2023上·湖南怀化·八年级校考期中)计算: (1) (2) 91.(2023上·上海宝山·七年级校考阶段练习)计算: 92.(2023上·湖南岳阳·八年级校联考阶段练习)先化简,再求值: ,其中 为4的平方根. 93.(2023上·吉林·八年级吉林省第二实验学校校考阶段练习)计算: (1) ; (2) . 94.(2023上·江苏苏州·九年级苏州市立达中学校校考阶段练习)先化简再求值 ,其中 是方程 的根. 95.(2023下·湖南长沙·八年级校联考期末)已知: ,求代数式 的值. 96.(2022上·北京昌平·八年级校考期末) (1) ; (2) 97.(2023上·浙江金华·九年级校联考期中)已知 ,求 的值. 98.(2023上·重庆沙坪坝·九年级重庆南开中学校考阶段练习)(1) (2) 99.(2023上·陕西西安·九年级校考阶段练习)已知 ,求代数式 的值. 100.(2023上·山东潍坊·八年级统考期中) (1) ; (2) ; (3) 参考答案: 1.(1) ;(2) 【分析】(1)先计算负整数指数幂、零指数幂、绝对值,再进行加减法即可; (2)先计算括号内的加法和减法,再计算除法即可. 解:(1) (2)【点拨】此题考查了实数的混合运算、分式的加减乘除混合运算,熟练掌握运算法则和顺序是解题的 关键. 2.(1) ;(2) 【分析】(1)根据同分母分式的减法进行计算即可求解; (2)根据分式与整式的加减进行计算即可求解. 解:(1) ; (2) . 【点拨】本题考查了分式的加减运算,熟练掌握分式的加减运算法则是解题的关键. 3. 【分析】先把括号里分式通分计算,后变除法为乘法,因式分解后进行约分即可,将 的值代入. 解:原式 , , ,当 时, 原式 . 【点拨】本题考查了分式的化简求值,按照运算顺序,通分,因式分解,约分是解题的关键. 4.(1)1;(2) 【分析】(1)根据同分母分式的加减法运算法则进行运算即可. (2)利用分式的除法法则进行运算即可,注意要先因式分解. 解:(1) ; (2) 【点拨】本题考查了分式的混合运算,解题的关键是正确使用分式的运算法则,如同分母分式相减, 分母不变,分子相减,除以一个分式等于乘以这个分式的倒数. 5.(1)3;(2) , 【分析】(1)根据同分母分式的减法法则计算即可; (2)根据分式的加减乘除混合运算进行化简,再代入计算即可. (1)解: ; (2)解:, 当 时,原式 . 【点拨】本题考查分式的加减乘除混合运算,分式的化简求值,正确计算是解题的关键. 6.(1)0;(2) ;(3) ;(4) 【分析】(1)通分化成同分母分式进行加法运算即可; (2)先计算括号内的减法,再计算除法即可; (3)先计算除法,再计算减法即可; (4)按照先乘除后加减进行运算即可. (1)解:原式 ; (2)解:原式 ; (3)解:原式 ;(4)解:原式 . 【点拨】此题考查了分式的混合运算,熟练掌握运算法则和顺序是解题的关键. 7. , 【分析】根据分式的混合运算法则把原式化简,根据分式有意义的条件确定a的值,代入计算即可. 解: , ∵ , ∴ , ∵ , ∴ , ∴ , 当 时,原式 . 【点拨】本题考查的是分式的化简求值,掌握分式的混合运算法则、分式有意义的条件是解题的关键. 8.(1) ;(2) 【分析】(1)利用实数的混合运算法则即可求解; (2)利用分式的混和运算法则即可求解. 解:(1)原式 . (2)原式. 【点拨】本题考查实数和分式的混和运算法则.抓住“通分、约分”是分式运算的关键. 9.(1) ;(2) 【分析】(1)根据负整数指数幂,零指数幂的运算法则计算即可; (2)根据分式的加减乘除混合运算法则计算即可. (1)解: ; (2)解: . 【点拨】本题考查负整数指数幂,零指数幂,分式的加减乘除混合运算,正确计算是解题的关键. 10.(1) ;(2) ;(3) ;(4) 【分析】(1)利用积的乘方及同底数幂的乘法运算法则即可求解. (2)利用积的乘方及同底数幂的乘法运算法则即可求解. (3)利用负整数指数幂及零次幂即可求解. (4)利用积的乘方和同底数幂的乘、除法运算法则即可求解.(1)解:原式 . (2)原式 . (3)原式 . (4)原式 . 【点拨】本题考查了整式的混合运算及有理数的混合运算,熟练掌握其运算法则是解题的关键. 11.(1) ;(2) 【分析】(1)根据有理数的混合运算法则即可求解 ; (2)先计算幂的乘方、单项式乘多项式,即可求解. (1)解:原式 ; (2)解:原式 . 【点拨】本题考查了有理数及整式的混合运算.掌握相关运算法则是解题关键. 12.(1) ;(2) 【分析】(1)通分计算加减法,再约分计算乘除法即可求解; (2)通分计算加减法,再约分计算乘除法即可求解. (1)解:原式; (2)解:原式 【点拨】本题考查分式的混合运算.异分母分式的加减运算关键是通分,分式的乘除运算关键是将分 子分母因式分解后进行约分. 13.(1) ;(2) . 【分析】分式相乘的法则是:用分子的积作为积的分子,分母的积作为积的分母,并将乘积化为既约 分式或整式,作分式乘法时,也可先约分后计算. (1)解:原式 (2)解:原式 【点拨】本题考查分式的乘除运算.分式的除法运算实质上是乘法运算.掌握分式的乘法运算法则是 解题关键.14.(1)2;(2) 【分析】(1)化简算术平方根、绝对值及零指数幂,然后运用实数的加减法则计算; (2)化简立方根、绝对值及负指数幂和零指数幂,然后运用实数的加减法则计算. (1)解: ; (2)解: . 【点拨】本题考查算术平方根,立方根,绝对值的化简,零指数幂,实数运算法则;掌握运算法则是 解题的关键. 15.(1) ;(2)2 【分析】本题考查的是分式的化简求值,熟知分式混合运算的法则是解答此题的关键. (1)先通分,再把分子相加减即可; (2)先算括号里的,再与括号外的分式相加即可. (1)解:原式 ; (2)原式. 16.(1) ;(2) . 【分析】本题考查的是分式的混合运算,在解答此类题目时要注意通分及约分的灵活应用. (1)根据分式的加减法法则进行计算即可; (2)先算括号里面的,再算乘除,最后算加减即可. (1)解: (2)解: 17.(1) ;(2) 【分析】本题考查了分式的乘除混合运算,正确计算是解题的关键,(1)利用除法法则变形,约分即可得到结果; (2)利用除法法则变形,约分即可得到结果. (1)解: ; (2)解: . 18.(1) ;(2) 【分析】(1)先计算乘方、将除法转化为乘法,再计算乘法即可; (2)先通分,计算加法,再将分子和分母因式分解,最后约分计算. (1)解: ; (2). 【点拨】本题主要考查分式的混合运算,解题的关键是掌握分式的混合运算顺序和运算法则. 19.(1) ;(2) 【分析】(1)先计算方式的乘法,再计算同分母分式的减法; (2)根据分式混合运算的法则解答即可. 解:(1) ; (2) . 【点拨】本题考查了分式的混合运算,熟练掌握运算法则、正确计算是解题的关键. 20.(1) , ;(2) 【分析】(1)按照分式的运算顺序运算,然后约分,即得最简分式; (2)代入式子,通分运算解题. (1)解:, ; (2) . 【点拨】本题主要考查分式的混合运算,通分、因式分解和约分是解答的关键. 21.(1)①;(2)否;错用去括号法则;(3) ,过程见分析 【分析】(1)根据运算顺序,先算除法可知,第①步开始出现错误; (2)去括号时,出现错误; (3)按照分式的运算法则和运算顺序,进行计算,根据负整数指数幂和零指数幂的法则,求出x的值, 将x,y的值代入化简后的式子中,进行计算求值即可. (1)解:根据分式的运算顺序,应该先算除法,爱民同学第①步先算的减法, ∴从第①步开始出现错误; 故答案为:①; (2)在去括号时,括号前面是“ ”号,括号里面的每一项都要变号,爱民同学括号里的第二项没有 变号,出现错误, ∴从①到②不正确,错用去括号法则; 故答案为:否,错用去括号法则;(3)原式 ; , 原式 . 【点拨】本题考查分式的化简求值.熟练掌握分式的运算法则和运算顺序,零指数幂,负整数指数幂 的法则,是解题的关键. 22. , 【分析】先根据分式的混合运算将式子化简,再将x的值代入计算即可. 解: , 把 代入, . 【点拨】本题考查分式的化简求值,解题关键是掌握分式的混合运算法则. 23.(1) ;(2) ;(3) ;(4)【分析】(1)先计算各项,再从左往右依次进行计算即可得; (2)运用平方差公式即可得; (3)先通分,再计算即可得; (4)先计算括号里的,再计算乘法,即可得. (1)解:原式= = ; (2)解:原式= = = ; (3)解:原式= = = = = ; (4)解:原式= = = = = . 【点拨】本题考查了实数的混合运算,分式化简,解题的关键是掌握混合运算的运算法则和运算顺序, 完全平方公式,平方差公式. 24. ,【分析】原式括号中两项通分并利用同分母分式的减法法则计算,同时利用除法法则变形,约分得到 最简结果,把a的值代入计算即可求出值. 解: , 当 时, 原式 . 【点拨】本题主要考查了分式的化简求值,解题的关键是掌握分式混合运算顺序和运算法则. 25.(1) ;(2) 【分析】(1)根据负整数指数幂,零指数幂运算法则进行计算即可; (2)根据幂的乘方,同底数幂乘除法运算法则进行计算即可. (1)解:原式 ; (2)解:原式 . 【点拨】本题主要考查了幂的混合运算,实数混合运算,解题的关键是熟练掌握负整数指数幂,零指 数幂运算法则,幂的乘方,同底数幂乘除法运算法则. 26. , 时,原式【分析】原式括号中两项通分并利用同分母分式的减法法则计算,同时利用除法法则变形,约分得到 最简结果,把合适的x值代入计算即可求出值. 解: , ∵ , , ∴x取1, 当 时,原式 . 【点拨】本题主要考查了分式的化简求值,解题的关键是掌握分式混合运算顺序和运算法则. 27.(1)二;(2) 【分析】(1)根据同分母分式加减进行计算即可求解; (2)根据分式的运算法则进行计算即可求解. (1)解:二 (2)解:原式= . 【点拨】本题考查了分式的混合运算,熟练掌握分式的运算法则是解题的关键. 28. , 【分析】本题主要考查的是分式的化简求值,掌握分式的性质,乘法公式的运用,代入求值是解题的 关键.先运用分式的性质,乘法公式将进行分式的化简,再整体代入求值即可. 解:, ∵ ,则 , ∴原式 . 29.(1)①二,分式的基本性质;②三,括号前是“一”号,去掉括号后,括号里的第二项没有变 号;(2) ;(3) 【分析】(1)①根据变形的结果可得答案;由通分的依据是分式的基本性质可得答案;②第三步开 始出现错误,去括号出现错误; (2)根据分式的混合运算法则进行化简即可; (3)把 代入代简结果求值即可. 解:(1)①上面的化简步骤中,第二步是进行分式的通分,通分的依据是分式的基本性质. ②第三步开始出现错误,这一步错误的原因是括号前是“-”号,去掉括号后,括号里的第二项没有 变号, 故答案为:①二;分式的基本性质;②三;括号前是“-”号,去掉括号后,括号里的第二项没有变 号 (2). (3)当 时, 原式 . 【点拨】本题考查分式化简,解题的关键是掌握分式运算的顺序和相关法则. 30.(1) ;(2) 【分析】(1)先根据乘方,零次幂,负整数指数幂的运算法则进行化简,然后再进行加减法运算即 可; (2)先根据积的乘方运算法则进行化简,然后再根据整式混合运算法则进行计算即可. (1)解: (2)解: 【点拨】本题主要考查了实数的混合运算和整式的混合运算,熟练掌握乘方运算法则、零指数幂、负 整数指数幂的运算法则和幂的运算法则是解题的关键. 31.(1)1;(2) 【分析】(1)根据同分母分式的加法法则计算,然后约分即可; (2)先把分子分母因式分解,然后约分即可. (1)解: ; (2)解:. 【点拨】本题考查了分式的混合运算:分式的混合运算,要注意运算顺序,式与数有相同的混合运算 顺序;先乘方,再乘除,然后加减,有括号的先算括号里面的.最后结果分子、分母要进行约分,注意运 算的结果要化成最简分式或整式. 32.(1) ;(2) , 【分析】(1)根据幂的混合运算法则求解即可; (2)首先根据分式的混合运算法则求解,然后将 代入求解即可. 解:(1) ; (2) , 当 时,原式 . 【点拨】此题考查了幂的混合运算,分式的混合运算,解题的关键是熟练掌握以上运算法则. 33.(1) ;(2) 【分析】(1)根据零指数幂、负整数指数幂、绝对值的性质进行计算即可;(2)先算乘方,再把除法转化成乘法,然后约分即可. 解:(1) ; (2) 【点拨】此题考查了分式的乘除法,实数的运算,关键是掌握零指数幂、负整数指数幂以及绝对值的 性质. 34. , 【分析】将括号内分式通分,化分式除法为分式乘法,约分化简,最后代入求值. 解: , 当 , 时, 原式 . 【点拨】本题考查分式的化简求值,熟练掌握分式的混合运算法则是解题的关键. 35. ,3 【分析】先计算括号内的式子,然后计算出括号外的除法,再从 选取一个使得原分式有意义的整数a的值代入化简后的式子计算即可. 解: , ,且a为整数,且 , 可以取3, 当 时, 原式 . 【点拨】本题考查分式的化简求值,解答本题的关键是明确分式混合运算的运算法则和运算顺序. 36. , 【分析】根据分式的加减运算以及乘除法运算法则进行化简,然后将 的值代入原式即可求出答案. 解:原式 , 当 时, 原式 .【点拨】本题考查分式的混合运算,解题的关键是熟练运用分式的加减运算以及乘除运算法则. 37.(1) ;(2) 【分析】(1)先把分子因式分解,约分后再合并同类项即可; (2)原式括号中两项通分并利用同分母分式的减法法则计算,同时利用除法法则变形,约分得到最 简结果. (1)解: ; (2)解: . 【点拨】本题考查了分式的混合运算:分式的混合运算,要注意运算顺序,式与数有相同的混合运算 顺序;有括号的先算括号里面的.最后结果分子、分母要进行约分,注意运算的结果要化成最简分式或整 式. 38.(1) ;(2)1 【分析】本题主要考查了分式加减运算,实数混合运算; (1)先通分,然后再进行加减即可; (2)根据乘方运算法,绝对值意义,零指数幂和负指数幂运算法则进行计算即可; 解题的关键是熟练掌握运算法则,准确计算. (1)解:; (2)解: . 39.(1)2;(2) 【分析】(1)根据分式的加法法则相加,再约分即可; (2)先通分,再根据分式的加法法则相加,即可. (1)解: ; (2)解:. 【点拨】本题考查了分式的加法,熟知计算法则是解题的关键. 40. ,3 【分析】先将小括号内进行通分计算,括号外面的分子分母进行因式分解,然后将除法转化为乘法进 行约分计算,将a代入方程整理可得 即可求解. 解:原式 , ∵a是方程 的根, ∴ ,即 , ∴原式 . 【点拨】本题主要考查了分式的化简求值,方程解的定义,解题的关键在于能够熟练掌握相关知识进 行求解. 41.(1) ;(2) 【分析】(1)根据立方根、零指数幂、负整数指数进行计算即可求解; (2)根据立方根、零指数幂、负整数指数进行计算即可求解. (1)解: ; (2)解:. 【点拨】本题考查了实数的混合运算,熟练掌握立方根、零指数幂、负整数指数幂是解题的关键. 42.(1) ;(2) 【分析】(1)根据含乘方的分式的乘除混合运算法则求解即可; (2)根据分式的乘除混合运算法则求解即可. 解:(1) ; (2) ; 【点拨】此题考查了含乘方的分式的乘除混合运算,解题的关键是熟练掌握含乘方的分式的乘除混合 运算法则. 43. ,2 【分析】本题考查了分式的化简求值,先根据分式的混合运算法则进行化简,再带入 进行计算即 可,熟练掌握分式的混合运算法则是解此题的关键. 解:, , , , 当 时,原式 . 44.(1) ;(2) 【分析】(1)本题考查的是同分母的分式的减法运算;本题根据分母不变,把分子相减,再约分即 可;熟记运算法则是解本题的关键; (2)本题考查的是分式的乘除混合运算;本题把能够分解因式的分子或分母分解因式,把除法化为 乘法,再约分即可,熟记运算法则是解本题的关键; (1)解: ; (2) . 45.(1) , ;(2) ,8 【分析】本题主要考查分式的化简求值,解答的关键是对相应的运算法则的掌握.(1)利用分式的相应的法则对式子进行化简,再代入相应的值进行运算即可; (2)利用分式的相应的法则对式子进行化简,再代入相应的值进行运算即可. 解:(1) , 当 时, 原式 ; (2) = = , 当 时, 原式 . 46.(1) ;(2) 【分析】本题主要考查分式的混合运算和整式的运算; (1)将除法转化为乘法,继而约分即可; (2)先计算括号内分式的减法,再将除法转化为乘法,进而约分即可.(1)解: ; (2)解: . 47.(1)四;(2)见分析 【分析】(1)找出错误的步骤即可; (2)根据分式的运算法则,写出正确的解法即可. 解:(1)从解答中可以看出,她开始出现错误的步骤是第四步,应当是 , 故答案为:四; (2)原式 . 【点拨】此题考查了分式的混合运算,熟练掌握运算法则是解本题的关键.48. ;2 【分析】本题考查了分式的化简求值,先化简分式,再由已知得: ,掌握分式的混合运算法 则进行化简是解题的关键. 解:原式 , , , 则原式 . 49.(1) ;(2) 【分析】本题考查了分式的混合运算,掌握相关运算法则是解题的关键. (1)根据异分母分式运算法则进行计算即可; (2)根据分式混合运算法则进行计算即可. (1)解: ; (2)解:. 50.(1)1;(2) 【分析】本题考查了分式的混合运算. (1)利用同分母分式加减法法则进行计算,即可解答; (2)利用分式的除法法则进行计算,即可解答. (1)解: ; (2)解: . 51.(1)1;(2) 【分析】本题考查了负整数指数幂及零次幂、分式的除法运算,熟练掌握相关运算法则是解题的关键. (1)利用负整数指数幂及零次幂运算法则即可求解; (2)利用分式的除法运算法则即可求解; (1)解:原式 .(2)原式 . 52. 【分析】本题主要考查了分式的化简求值及二次根式的乘法,熟练掌握运算法则是解题关键. 解: . . . . . . . . . 53.(1)4 (2) 【分析】本题主要考查零次幂、负指数幂及分式的加法运算,熟练掌握各个运算是解题的关键; (1)根据零次幂及负指数幂可进行求解; (2)根据分式的加法运算可进行求解.(1)解:原式 ; (2)解:原式 . 54.(1) ;(2) 【分析】本题考查了分式的加减运算; (1)进行同分母分式加减运算即可; (2)先将异分母分式化为同分母分式,再进行同分母分式加减运算即可. (1)解: ; (2)解: . 55.(1) ;1;(2) ; 【分析】本题主要考查了分式化简求值; (1)先根据分式混合运算法则进行计算,再代入数值进行计算即可; (2)先根据分式混合运算法则进行计算,再代入数值进行计算即可; 解题的关键是熟练掌握分式混合运算法则进行计算. 解:(1); 把 代入得:原式 ; (2) ; 把 代入得:原式 . 56. , (答案不唯一) 【分析】本题考查分式的化简求值,不等式组的解法,先解不等式组,求得不等式组的解,后利用分 式混合运算化简分式,把使分式有意义的字母的值代入求值即可.特别要注意求值时学生容易忽视分式有 意义的条件. 解:, , 解不等式①得: , 解不等式 得: , 不等式组的解集为: , 要使 有意义, , 当 时, 原式 (答案不唯一). 57.上述解题过程不正确,正确的解答见分析 【分析】本题考查了分式的混合运算.先计算分式的除法,再算减法,逐一判断即可解答. 解:上述解题过程不正确,正确的解题过程如下:. 58.(1) ;(2) 【分析】本题考查了实数的混合运算,零指数幂,负整数指数幂,化简绝对值: (1)先化简零指数幂和绝对值,再运算加减法,即可作答; (2)先化简负整数指数幂、立方根、和绝对值,再运算加减法,即可作答; 正确掌握相关性质内容是解题的关键. (1)解: ; (2)解: . 59.(1)4;(2) 【分析】本题考查了含乘方的有理数的混合运算、零次幂、负整数指数幂、分式的乘除运算: (1)根据含乘方的有理数的混合运算、零次幂、负整数指数幂的运算法则即可求解; (2)根据分式的乘除的运算法则即可求解; 熟练掌握相关运算法则是解题的关键. (1)解:原式 .(2)原式 . 60. ,1 【分析】本题主要考查分式的化简求值,熟练掌握分式的运算是解题的关键;因此此题可先对分式进 行化简,然后再代值求解即可,注意分式的分母不为0. 解: , 因为 , , ,所以 , , , 所以 ,所以 . 61. ,当 时,式子的值为2 【分析】本题考查分式的化简求值,先将括号内式子通分,分式除法变形为分式乘法,再约分化简, 最后根据分式有意义的条件取一个合适的a,代入求值即可,掌握分式有意义的条件是解题的关键. 解:∵ , , ∴a不能取 和0, ∴ , ∴原式 . 62.(1) ;(2) 【分析】此题主要考查了分式的乘除,以及零次幂和负整数指数幂: (1)利用负整数指数幂、零次幂的性质进行计算,再算加法即可; (2)首先把分母分解因式,然后再利用分式的除法法则进行计算即可. (1)解:原式 ; (2)解:原式 . 63. , . 【分析】本题考查了分式的化简求值、根式和完全平方公式的非负性,先对分式进行化简,再利用根 式和完全平方公式的非负性求出 的值,将其代入所化简的式子中计算即可求解,解题的关键是掌握分 式的混合运算的法则. 解:原式 , , , ∵ , ∴ , , ∴ , ,∴原式 , . 64. ,2 【分析】本题主要考查了分式的化简求值.先计算括号内的,再计算除法,然后把 代入化简 后的结果,即可. 解: , 当 时,原式 . 65. ;2 【分析】本题考查了分式的化简求值,先根据分式混合运算法则进行化简,然后再代入求值即可,熟 练掌握分式的混合运算法则是解此题的关键. 解:.解: , 当 时,原式 . 66. 【分析】本题主要考查了分式的乘方计算,分式的乘除混合计算,熟知相关计算法则是解题的关键. 解:. 67.(1) ;(2) 【分析】本题主要考查了分式的混合运算. (1)本题需先根据零指数幂、负整数指数幂、正整数指数幂的运算法则分别进行计算,再把所得的 结果合并即可. (2)原式括号中两项通分并利用同分母分式的加法法则计算,同时利用除法法则变形,约分化简即 可. (1)解: ; (2)解: . 68.(1) ;(2) 【分析】本题考查了分式的乘法和除法运算,根据法则计算即可.(1)先算乘方,再约分化简即可; (2)把除法转化为乘法,再按乘法法则化简. 解:(1)原式 ; (2)原式 . 69.(1) ;(2) 【分析】本题主要考查了异分母分式加法计算,掌握异分母分式的通分方法是解题的关键. (1)先通分,可化成同分母分式,根据同分母分式的加减,可得答案; (2)先通分,化为同分母分式,根据同分母分式的加减,可得答案. (1)解: (2)解: 70.(1) ;(2) 【分析】本题考查了分式的混合运算,涉及完全平方公式以及平方差公式:(1)先化简通分括号内的式子,再算括号外的除法即可; (2)先化简通分括号内的式子,再算括号外的除法即可. 正确掌握相关性质内容是解题的关键. (1)解:原式 ; (2)解: . 71.(1) ;(2) 【分析】本题主要考查分式的混合运算,单项式乘多项式,多项式乘多项式. (1)先算单项式乘多项式,多项式乘多项式,再合并同类项即可; (2)先算括号里的运算,把能分解的因式进行分解,除法转为乘法,再约分即可. 解:(1)原式 ; (2)原式. 72.(1) ;(2) ;(3) 【分析】本题考查了分式的混合运算:分式的混合运算,要注意运算顺序,式与数有相同的混合运算 顺序;先乘方,再乘除,然后加减,有括号的先算括号里面的. (1)按照同分母的分式的加减解题,然后约分即可; (2)先把各式因式分解,然后运用分式的乘除运算即可; (3)先把括号内通分,然后运用分式的乘除运算即可. 解:(1)原式 ; (2)原式 . (3)原式 . 73.(1)一;(2)【分析】本题考查了分式的混合运算,熟练掌握分式的混合运算顺序和运算法则是解题的关键. (1)根据分式混合运算顺序即可判断; (2)根据分式混合运算顺序和运算法则进行计算即可. (1)解:由题意可得:上面的运算过程中第一步开始出现了错误, 故答案为:一. (2)解: . 74.6 【分析】本题考查了负整数指数幂,绝对值,有理数的加减混合运算,有理数的乘方,零指数幂,先 化简各式,然后再进行计算即可解答. 解:原式 75.(1)1;(2) 【分析】本题考查了分式的混合运算,熟练掌握运算法则是解答本题的关键. (1)先约分,再根据同分母分式的运算法则计算; (2)先算乘方,再把除法转化为乘法约分即可. 解:(1) (2). 76.(1) ;(2) 【分析】本题考查了分式的混合运算. (1)先利用平方差公式分解,再将异分母分式化为同分母分式进行运算,约分即可; (2)括号内将异分母分式化为同分母分式进行运算,再利用分式的运算法则和混合运算顺序进行计 算即可. (1)解: ; (2)解: . 77.(1) ;(2) 【分析】本题考查实数的混合运算,分式的混合运算: (1)利用负整数指数幂,零指数幂,幂的运算法则计算即可;(2)先将括号内式子通分化简,再利用平方差公式,约分化简即可. (1)解: (2)解: 78.(1) ;(2) 【分析】本题考查了实数的混合运算、零次幂、负整数指数幂、分式的化简: (1)根据实数的混合运算、零次幂、负整数指数幂的运算法则即可求解; (2)利用分式的的混合运算法则即可求解; 熟练掌握其运算法则是解题的关键. 解:(1)原式 . (2). 79.(1) ;(2) 【分析】本题主要考查了整式的运算,实数混合运算; (1)根据积的乘方运算法则,单项式乘除法进行计算即可; (2)根据积的乘方和零指数幂进行计算即可; 解题的关键是熟练掌握相关的运算法则,准确计算. (1)解: ; (2)解: . 80.(1) ;(2) ;(3) ;(4) 【分析】本题考查的是分式的乘除混合运算,掌握运算法则与运算顺序是解本题的关键; (1)直接约分即可; (2)先把能够分解因式的分子或分母分解因式,再约分即可; (3)先计算分式的乘方运算,再约分即可;(4)先把除法化为乘法,再约分即可. (1)解: , (2) ; (3) ; (4) ; 81.(1) ;(2)3 【分析】(1)根据分式的乘除运算法则计算即可; (2)根据零指数幂,绝对值,负指数幂的运算法则计算即可. (1)解:; (2)解: . 【点拨】本题考查了分式的乘除运算及实数的运算,熟练掌握相关运算法则是解题关键. 82.(1)1;(2)4 【分析】(1)首先计算乘方、开平方和开立方,然后从左向右依次计算,求出算式的值即可; (2)首先计算乘方、零指数幂、负整数指数幂和绝对值,然后从左向右依次计算,求出算式的值即 可. 此题主要考查了实数的运算,解答此题的关键是要熟练掌握实数的运算法则. (1)解: (2)解: 83.(1) ;(2) , ;(3) , 时,原式 【分析】本题考查了分式的化简求值; (1)先计算括号,同时将除法转化为乘法,即可求解; (2)先计算括号,同时将除法转化为乘法,然后化简,将字母的值代入,即可求解; (3)先计算括号,同时将除法转化为乘法,然后化简,将字母的值代入,即可求解. 解:(1); (2)解:原式 , 当 时,原式 . (3)解: , 当 时,原式没有意义, 则当 时,原式 84.(1)6;(2) . 【分析】本题考查了实数的运算,零指数幂,负整数指数幂, (1)先计算负整数指数幂、零次幂及求算术平方根,然后计算加减法即可; (2)先求算术平方根及立方根,化简绝对值,然后计算加减法即可; 准确熟练地进行计算是解题的关键. (1)解:; (2) . 85.(1) ;(2) 【分析】本题主要考查了分式的混合运算以及整式的乘法运算 (1)直接利用完全平方公式以及单项式乘多项式运算法则计算,进而合并同类项得出答案; (2)将括号里面通分运算,再利用分式的混合运算法则化简,进而得出答案. (1)解:原式 ; (2)解:原式 . 86.(1) ;(2) 【分析】本题主要考查了整式、分式的混合运算, (1)根据整式的混合运算法则计算即可; (2)根据分式的混合运算法则计算即可. 解:(1) ;(2) . 87. , 【分析】先根据分式的加减计算括号内的,同时将除法转化为乘法,再根据分式的性质化简,最后将 字母的值代入求解. 解: ∵ , ∴原式 . 【点拨】本题考查了分式化简求值,解题关键是熟练运用分式运算法则进行求解,注意:代入的数值 要使分式有意义. 88.(1)化简后为: ;求值后为: ;(2)化简后为: ;求值后为: , 【分析】本题考查了整式的混合运算,分式的化简求值,熟练掌握运算法则是解答本题的关键.(1)先算括号内的乘法,利用平方差公式,完全平方公式,去掉里面的括号,然后合并同类项,再 算除法,得到化简后的结果,最后代入求出答案. (2)先利用平方差公式,完全平方公式将分式整理,然后进行约分,整理成最简形式,最后代入求 出答案. (1)解: . 当 , 时, 原式 . (2) , 当 时, 原式 . 89.(1) ;(2) 【分析】本题主要考查了整式的运算,实数混合运算; (1)根据积的乘方运算法则,单项式乘除法进行计算即可; (2)根据积的乘方和零指数幂进行计算即可. (1)解:; (2)解: . 90.(1) ;(2) . 【分析】( )先算乘方,再进行加减运算即可得到结果; ( )先对分母因式分解,再通分,最后进行减法运算即可得到结果; 本题考查了有理数的运算,分式加减的运算,掌握有理数的运算法则和分式的基本性质是解题的关键. (1)解:原式 , ; (2)解:原式 , , , . 91.【分析】本题主要考查了分式的混合计算,先把除法变成乘法,然后约分,再通分计算异分母分式加 法即可. 解:原式 . 92. ,5或 【分析】本题考查了分式的化简求值,先把 化简,即先通分括号内,得 ,再化简得 ,即可作答.再把 的值求出来,再代入 ,即可作答. 解:∵ 为4的平方根. ∴ 故 或 93.(1) ;(2) 【分析】此题考查了实数的混合运算与分式的混合运算,掌握各计算法则及运算顺序是解题的关键. (1)先计算负指数幂及零指数幂,再依次计算; (2)先计算括号内的异分母分式加减法,再计算乘除法. (1)解: ; (2)解: .94. ; 【分析】本题考查分式的混合运算,先根据分式的混合运算法则化简,然后利用整体代入的思想解决 问题即可. 解: ∵ 是方程 的根 ∴ ∴原式= . 95. 【分析】按照分式混合运算顺序化简分式后,再把 整体代入即可. 解:原式 , 原式 . 【点拨】此题考查了分式的化简求值,熟练掌握分式运算法则和混合运算顺序是解题的关键. 96.(1) ;(2)【分析】(1)按照分式的乘法法则运算即可; (2)按照异分母分式的加减法法则运算即可. 解:(1)原式 ; (2)原式 . 【点拨】本题考查分式的化简,掌握分式的运算法则和公式是解题的关键. 97. 【分析】本题考查的是分式的化简求值,设 ,先约分再代入计算即可,熟练进行 分式的约分是解答此题的关键. 解:设 , ∴原式 . 即 .98.(1)1;(2) 【分析】本题考查了整式的乘除和乘法公式,分式的混合运算, (1)利用完全平方公式,单项式乘多项式,合并同类项,即可解答; (2)先将括号中式子通分,再算乘除,即可解答; 熟练掌握相关计算法则是解题的关键. 解:(1) , , ; (2) , , , , . 99. , 【分析】本题考查了分式的运算化简求值,先对分子和分母因式分解,将除式的分子、分母交换位置, 从而将除法转化为乘法,然后约分、化简,再通分化简,把已知 代入计算即可. 解:∵ , ∴原式 . 100.(1) ;(2) ;(3) 【分析】(1)先计算乘方,再计算乘法并化简; (2)先将分子与分母分解因式,再计算乘法并化简即可; (3)先计算括号内的,再计算除法,即可求解. 解:(1) ; (2) ; (3)【点拨】此题考查了分式的计算,正确掌握分式的计算法则及运算顺序是解题的关键.