当前位置:首页>文档>专题22.5销售利润问题——二次函数的应用(压轴题专项讲练)(人教版)(学生版)_初中数学_九年级数学上册(人教版)_压轴题专项-V5_2025版

专题22.5销售利润问题——二次函数的应用(压轴题专项讲练)(人教版)(学生版)_初中数学_九年级数学上册(人教版)_压轴题专项-V5_2025版

  • 2026-04-01 06:42:53 2026-03-24 17:30:59

文档预览

专题22.5销售利润问题——二次函数的应用(压轴题专项讲练)(人教版)(学生版)_初中数学_九年级数学上册(人教版)_压轴题专项-V5_2025版
专题22.5销售利润问题——二次函数的应用(压轴题专项讲练)(人教版)(学生版)_初中数学_九年级数学上册(人教版)_压轴题专项-V5_2025版
专题22.5销售利润问题——二次函数的应用(压轴题专项讲练)(人教版)(学生版)_初中数学_九年级数学上册(人教版)_压轴题专项-V5_2025版
专题22.5销售利润问题——二次函数的应用(压轴题专项讲练)(人教版)(学生版)_初中数学_九年级数学上册(人教版)_压轴题专项-V5_2025版
专题22.5销售利润问题——二次函数的应用(压轴题专项讲练)(人教版)(学生版)_初中数学_九年级数学上册(人教版)_压轴题专项-V5_2025版
专题22.5销售利润问题——二次函数的应用(压轴题专项讲练)(人教版)(学生版)_初中数学_九年级数学上册(人教版)_压轴题专项-V5_2025版
专题22.5销售利润问题——二次函数的应用(压轴题专项讲练)(人教版)(学生版)_初中数学_九年级数学上册(人教版)_压轴题专项-V5_2025版
专题22.5销售利润问题——二次函数的应用(压轴题专项讲练)(人教版)(学生版)_初中数学_九年级数学上册(人教版)_压轴题专项-V5_2025版
专题22.5销售利润问题——二次函数的应用(压轴题专项讲练)(人教版)(学生版)_初中数学_九年级数学上册(人教版)_压轴题专项-V5_2025版
专题22.5销售利润问题——二次函数的应用(压轴题专项讲练)(人教版)(学生版)_初中数学_九年级数学上册(人教版)_压轴题专项-V5_2025版
专题22.5销售利润问题——二次函数的应用(压轴题专项讲练)(人教版)(学生版)_初中数学_九年级数学上册(人教版)_压轴题专项-V5_2025版
专题22.5销售利润问题——二次函数的应用(压轴题专项讲练)(人教版)(学生版)_初中数学_九年级数学上册(人教版)_压轴题专项-V5_2025版
专题22.5销售利润问题——二次函数的应用(压轴题专项讲练)(人教版)(学生版)_初中数学_九年级数学上册(人教版)_压轴题专项-V5_2025版
专题22.5销售利润问题——二次函数的应用(压轴题专项讲练)(人教版)(学生版)_初中数学_九年级数学上册(人教版)_压轴题专项-V5_2025版
专题22.5销售利润问题——二次函数的应用(压轴题专项讲练)(人教版)(学生版)_初中数学_九年级数学上册(人教版)_压轴题专项-V5_2025版
专题22.5销售利润问题——二次函数的应用(压轴题专项讲练)(人教版)(学生版)_初中数学_九年级数学上册(人教版)_压轴题专项-V5_2025版

文档信息

文档格式
docx
文档大小
1.986 MB
文档页数
16 页
上传时间
2026-03-24 17:30:59

文档内容

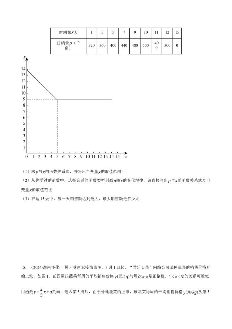
专题 22.5 销售利润问题——二次函数的应用 ◆ 典例分析 【典例1】某工厂接到一批产品生产任务,按要求在20天内完成,已知这批产品的出厂价为每件8元.为 按时完成任务,该工厂招收了新工人,设新工人小强第x天生产的产品数量为y件,y与x满足关系式为: y= { 20x(0≤x≤5) ). 10x+100(55, 故:10x+100=200,解得:x=10 答:小强第10天生产的产品数量为200件. (2)由图象得,①当0≤x≤10时,a=5.2. ②当100, ∵w随x的增大而增大, 当x=5时,w有最大值为:56×5=280(元); 当50, ∵w随x的增大而增大, 故当x=10时,w有最大值为28×10+280=560(元). 当100)给希望工程,当每天销售最大利润 为6000元时,求m的值. 6.(2024·山东青岛·模拟预测)年初,草莓进入采摘旺季,某公司经营销售草莓的业务,以3万元/吨的价 格向农户收购后,分拣成甲、乙两类,甲类草莓包装后直接销售,乙类草莓深加工后再销售.甲类草莓的 包装成本为1万元/吨,当甲类草莓的销售量x<8吨时,它的平均销售价格y=−x+14,当甲类草莓的销售 量x≥8吨时,它的平均销售价格为6万元/吨.乙类草莓深加工总费用s(单位:万元)与加工数量t(单 位:吨)之间的函数关系为s=12+3t,平均销售价格为9万元/吨. (1)某次该公司收购了20吨的草莓,其中甲类草莓有x吨,经营这批草莓所获得的总利润为w万元; ①求w与x之间的函数关系式; ②若该公司获得了30万元的总利润,求用于销售甲类的草莓有多少吨? (2)在某次收购中,该公司准备投入100万元资金,请你设计一种经营方案,使该公司获得最大的总利 润,并求出最大的总利润.7.(2024·湖北黄石·二模)为助推乡村经济发展,解决茶农卖茶难问题,某地政府在新茶上市30天内,帮 助“幸福村”茶农合作社集中销售茶叶,设第x天(x为整数)的售价为y(元/斤),日销售额为w (元).据销售记录知: ①第1天销量为42斤,以后每天比前一天多卖2斤; ②前10天的价格一直为500元/斤,后20天价格每天比前一天跌10元, (1)当11≤x≤30时,写出y与x的关系式; (2)当x为何值时日销售额w最大,最大为多少? (3)若日销售额不低于31680元时可以获得较大利润,当天合作社将向希望小学捐款m元,用于捐资助 学,若“幸福村”茶农合作社计划帮助希望小学购买10800元的图书,求m的最小整数值.8.(2023·安徽宿州·模拟预测)甲、乙两汽车出租公司均有50辆汽车对外出租,下面是两公司经理的一段 对话: 甲公司经理:如果我公司每辆汽车月租费3000元,那么50辆汽车可以全部租出,如果每辆汽车的月租 费每增加50元,那么将少租出1辆汽车,另外,公司为每辆租出的汽车支付月维护费200元. 乙公司经理:我公司每辆汽车月租费3500元,无论是否租出汽车,公司均需一次性支付月维护费共计 1850元. 说明:①汽车数量为整数;②月利润=月租车费−月维护费; 在两公司租出的汽车数量相等且都为x(单位:辆,00)给慈善机构,如果捐款后甲公司剩余的月利 润仍高于乙公司月利润,且仅当两公司租出的汽车均为16辆时,甲公司剩余的月利润与乙公司月利润之差 最大,求a的取值范围.9.(23-24九年级上·湖北黄冈·期中)某超市拟端午节前50天销售某品牌食品,该食品进价为18元/千克 ,设第x天的销售价格y 元/千克,销售量为m千克.销售价格y(元/千克)当31≤x≤50时,y与x满 足一次函数关系: 销售价格y( 40 37 33 元/千克) 第x天 1≤x≤30 36 44 第x天销售量m 5x+50 (1)求31≤x≤50时,y与x的函数关系式; (2)求x为多少时,当天销售利润最大? (3)若超市希望31天至35天日销售利润W随x的增大而增大,则在当天的销售价格上涨a 元/千克,求 整数a的最小值. 10.(23-24九年级上·安徽合肥·期末)蓝莓被世界卫生组织列为十大健康食品之一,被人们视为“超级水果”,每年6~7月份是大棚蓝莓成熟的季节.某大棚蓝莓种植户计划在开始销售的40天内将种植的蓝莓 陆续向市场供应.已知第x天的销售单价y(元/ kg)与第x(天)的函数关系如图,每天销售量为 (400−4x)kg. (1)直接写出y与x的函数解析式; (2)求第x天的种植户销售额w(元)与x的函数关系式; (3)第几天种植户的销售额w的最大,最大值是多少元? 11.(23-24九年级上·河北保定·期末)某商场经销一种儿童玩具,该种玩具的进价是每个15元,经过一段 时间的销售发现,该种玩具每天的销售量y(个)与每个的售价x(元)之间的函数关系如图所示.(1)求y关于x的函数关系式,并求出当某天的销售量为78个时,该玩具的销售利润; (2)每天的销售量不低于18个的情况下,若要每天获得的销售利润最大,求该玩具每个的售价是多少? 最大利润是多少? (3)根据物价部门规定,这种玩具的售价每个不能高于45元.该商场决定每销售一个这种玩具就捐款n 元(1≤n≤7),捐款后发现,该商场每天销售这种玩具所获利润随售价的增大而增大,求n的取值范 围. 12.(23-24九年级上·湖北武汉·阶段练习)某商品的进价为每件40元,当售价为每件50元,每月可卖出 200件,如果售价每上涨1元,则每月少卖10件(每件售价不能高于65元);如果售价每下降1元,则每月多卖12件(每件售价不低于48元).设每件商品的售价为x元(x为正整数),每月的销售量为y件. (1)①当售价上涨时,y与x的函数关系为______,自变量x的取值范围是______; ②当售价下降时,y与x的函数关系为______,自变量x的取值范围是______; (2)每件商品的售价x定为多少元时,每月可获得最大利润?最大的月利润是多少元? (3)商家发现:在售价上涨的情况下,每件商品还有a(a>0)元的其他费用需要扣除,当售价每件不低于 60元时,每月的利润随x的增大而减小,请直接写出a的取值范围______. 13.(2023·山东临沂·二模)某农作物的生长率P与温度t(℃)有如下关系:如图1,当10≤t≤25时可近 1 1 1 似用函数P= t− 刻画,当25≤t≤37时可近似用函数P=− (t−ℎ) 2+0.4刻画. 50 5 160(1)求h的值. (2)按照经验,该作物提前上市的天数m(天)与生长率P满足函数关系: 生长率P 0.2 0.3 0.4 0.5 提前上市的天数m(天) 0 5 10 15 ①请运用记学的知识,求m关于P的函数表达式; ②请用含t的代数式表示m; (3)天气寒冷,大棚加温可改变农作物生长速度.在(2)的条件下,原计划大恒温20°C时,每天的成 本为200元,该作物30天后上市时,根据市场调查:每提前一天上市售出(一次售完),销售额可增加 600元.因此给大棚继续加温,加温后每天成本w(元)与大棚温度t(℃)之间的关系如图2,提前上市增 加的利润和节省的成本为M,问当20≤t≤25时,提前上市多少天时M最大?并求此时M最大值(农作物 上市售出后大棚暂停使用). 14.(22-23九年级下·湖北黄冈·期中)周老师家的红心猕猴桃深受广大顾客的喜爱,猕猴桃成熟上市后, 她记录了15天的销售数量和销售单价,其中销售单价y(元/千克)与时间第x天(x为整数)的数量关系 如图所示,日销量p(千克)与时间第x天(x为整数)的部分对应值如表所示:时间第x天 1 3 5 7 9 10 11 12 15 日销量p(千 40 320 360 400 440 480 500 300 0 克) 0 (1)求y与x的函数关系式,并写出自变量x的取值范围; (2)从你学过的函数中,选择合适的函数类型刻画p随x的变化规律,请直接写出p与x的函数关系式及自 变量x的取值范围; (3)在这15天中,哪一天销售额达到最大,最大销售额是多少元. 15.(2024·湖南怀化·一模)受新冠疫情影响,3月1日起,“君乐买菜”网络公司某种蔬菜的销售价格开 始上涨.如图1,前四周该蔬菜每周的平均销售价格y(元/kg)与周次x(x是正整数,1≤x<5)的关系可近似 2 用函数y= x+a刻画;进入第5周后,由于外地蔬菜的上市,该蔬菜每周的平均销售价格y(元/kg)从第5 51 周的6元/kg下降至第6周的5.6元/kg,y与周次x(5≤x≤7)的关系可近似用函数y=− x2+bx+5刻画. 10 (1)求a,b的值. (2)若前五周该蔬菜的销售量m(kg)与每周的平均销售价格y(元/kg)之间的关系可近似地用如图2所示 的函数图象刻画,第6周的销售量与第5周相同: ①求m与y的函数表达式; ②在前六周中,哪一周的销售额w(元)最大?最大销售额是多少? (3)若该蔬菜第7周的销售量是100kg,由于受降雨的影响,此种蔬菜第8周的可销售量将比第7周减少 n%(n>0).为此,公司又紧急从外地调运了5kg此种蔬菜,刚好满足本地市民的需要,且使此种蔬菜第8 周的销售价格比第7周仅上涨0.8n%.若在这一举措下,此种蔬菜在第8周的总销售额与第7周刚好持平, 请通过计算估算出n的整数值. 16.(2023·湖北咸宁·模拟预测)“樱花红陌上,邂逅在咸安”,为迎接我区首届樱花文化旅游节,某工 厂接到一批纪念品生产订单,要求在15天内完成,约定这批纪念品的出厂价为每件20元,设第x天( 0