当前位置:首页>文档>第16讲椭圆(教师版)_2.2025数学总复习_2023年新高考资料_二轮复习_备战2023年高考数学二轮复习对点题型(新高考专用)_第16讲椭圆

第16讲椭圆(教师版)_2.2025数学总复习_2023年新高考资料_二轮复习_备战2023年高考数学二轮复习对点题型(新高考专用)_第16讲椭圆

  • 2026-05-03 12:10:33 2026-03-25 06:23:24

文档预览

第16讲椭圆(教师版)_2.2025数学总复习_2023年新高考资料_二轮复习_备战2023年高考数学二轮复习对点题型(新高考专用)_第16讲椭圆
第16讲椭圆(教师版)_2.2025数学总复习_2023年新高考资料_二轮复习_备战2023年高考数学二轮复习对点题型(新高考专用)_第16讲椭圆
第16讲椭圆(教师版)_2.2025数学总复习_2023年新高考资料_二轮复习_备战2023年高考数学二轮复习对点题型(新高考专用)_第16讲椭圆
第16讲椭圆(教师版)_2.2025数学总复习_2023年新高考资料_二轮复习_备战2023年高考数学二轮复习对点题型(新高考专用)_第16讲椭圆
第16讲椭圆(教师版)_2.2025数学总复习_2023年新高考资料_二轮复习_备战2023年高考数学二轮复习对点题型(新高考专用)_第16讲椭圆
第16讲椭圆(教师版)_2.2025数学总复习_2023年新高考资料_二轮复习_备战2023年高考数学二轮复习对点题型(新高考专用)_第16讲椭圆
第16讲椭圆(教师版)_2.2025数学总复习_2023年新高考资料_二轮复习_备战2023年高考数学二轮复习对点题型(新高考专用)_第16讲椭圆
第16讲椭圆(教师版)_2.2025数学总复习_2023年新高考资料_二轮复习_备战2023年高考数学二轮复习对点题型(新高考专用)_第16讲椭圆
第16讲椭圆(教师版)_2.2025数学总复习_2023年新高考资料_二轮复习_备战2023年高考数学二轮复习对点题型(新高考专用)_第16讲椭圆
第16讲椭圆(教师版)_2.2025数学总复习_2023年新高考资料_二轮复习_备战2023年高考数学二轮复习对点题型(新高考专用)_第16讲椭圆
第16讲椭圆(教师版)_2.2025数学总复习_2023年新高考资料_二轮复习_备战2023年高考数学二轮复习对点题型(新高考专用)_第16讲椭圆
第16讲椭圆(教师版)_2.2025数学总复习_2023年新高考资料_二轮复习_备战2023年高考数学二轮复习对点题型(新高考专用)_第16讲椭圆
第16讲椭圆(教师版)_2.2025数学总复习_2023年新高考资料_二轮复习_备战2023年高考数学二轮复习对点题型(新高考专用)_第16讲椭圆
第16讲椭圆(教师版)_2.2025数学总复习_2023年新高考资料_二轮复习_备战2023年高考数学二轮复习对点题型(新高考专用)_第16讲椭圆
第16讲椭圆(教师版)_2.2025数学总复习_2023年新高考资料_二轮复习_备战2023年高考数学二轮复习对点题型(新高考专用)_第16讲椭圆
第16讲椭圆(教师版)_2.2025数学总复习_2023年新高考资料_二轮复习_备战2023年高考数学二轮复习对点题型(新高考专用)_第16讲椭圆
第16讲椭圆(教师版)_2.2025数学总复习_2023年新高考资料_二轮复习_备战2023年高考数学二轮复习对点题型(新高考专用)_第16讲椭圆
第16讲椭圆(教师版)_2.2025数学总复习_2023年新高考资料_二轮复习_备战2023年高考数学二轮复习对点题型(新高考专用)_第16讲椭圆
第16讲椭圆(教师版)_2.2025数学总复习_2023年新高考资料_二轮复习_备战2023年高考数学二轮复习对点题型(新高考专用)_第16讲椭圆
第16讲椭圆(教师版)_2.2025数学总复习_2023年新高考资料_二轮复习_备战2023年高考数学二轮复习对点题型(新高考专用)_第16讲椭圆
第16讲椭圆(教师版)_2.2025数学总复习_2023年新高考资料_二轮复习_备战2023年高考数学二轮复习对点题型(新高考专用)_第16讲椭圆
第16讲椭圆(教师版)_2.2025数学总复习_2023年新高考资料_二轮复习_备战2023年高考数学二轮复习对点题型(新高考专用)_第16讲椭圆
第16讲椭圆(教师版)_2.2025数学总复习_2023年新高考资料_二轮复习_备战2023年高考数学二轮复习对点题型(新高考专用)_第16讲椭圆
第16讲椭圆(教师版)_2.2025数学总复习_2023年新高考资料_二轮复习_备战2023年高考数学二轮复习对点题型(新高考专用)_第16讲椭圆
第16讲椭圆(教师版)_2.2025数学总复习_2023年新高考资料_二轮复习_备战2023年高考数学二轮复习对点题型(新高考专用)_第16讲椭圆
第16讲椭圆(教师版)_2.2025数学总复习_2023年新高考资料_二轮复习_备战2023年高考数学二轮复习对点题型(新高考专用)_第16讲椭圆
第16讲椭圆(教师版)_2.2025数学总复习_2023年新高考资料_二轮复习_备战2023年高考数学二轮复习对点题型(新高考专用)_第16讲椭圆
第16讲椭圆(教师版)_2.2025数学总复习_2023年新高考资料_二轮复习_备战2023年高考数学二轮复习对点题型(新高考专用)_第16讲椭圆
第16讲椭圆(教师版)_2.2025数学总复习_2023年新高考资料_二轮复习_备战2023年高考数学二轮复习对点题型(新高考专用)_第16讲椭圆
第16讲椭圆(教师版)_2.2025数学总复习_2023年新高考资料_二轮复习_备战2023年高考数学二轮复习对点题型(新高考专用)_第16讲椭圆
第16讲椭圆(教师版)_2.2025数学总复习_2023年新高考资料_二轮复习_备战2023年高考数学二轮复习对点题型(新高考专用)_第16讲椭圆
第16讲椭圆(教师版)_2.2025数学总复习_2023年新高考资料_二轮复习_备战2023年高考数学二轮复习对点题型(新高考专用)_第16讲椭圆
第16讲椭圆(教师版)_2.2025数学总复习_2023年新高考资料_二轮复习_备战2023年高考数学二轮复习对点题型(新高考专用)_第16讲椭圆
第16讲椭圆(教师版)_2.2025数学总复习_2023年新高考资料_二轮复习_备战2023年高考数学二轮复习对点题型(新高考专用)_第16讲椭圆
第16讲椭圆(教师版)_2.2025数学总复习_2023年新高考资料_二轮复习_备战2023年高考数学二轮复习对点题型(新高考专用)_第16讲椭圆
第16讲椭圆(教师版)_2.2025数学总复习_2023年新高考资料_二轮复习_备战2023年高考数学二轮复习对点题型(新高考专用)_第16讲椭圆
第16讲椭圆(教师版)_2.2025数学总复习_2023年新高考资料_二轮复习_备战2023年高考数学二轮复习对点题型(新高考专用)_第16讲椭圆
第16讲椭圆(教师版)_2.2025数学总复习_2023年新高考资料_二轮复习_备战2023年高考数学二轮复习对点题型(新高考专用)_第16讲椭圆
第16讲椭圆(教师版)_2.2025数学总复习_2023年新高考资料_二轮复习_备战2023年高考数学二轮复习对点题型(新高考专用)_第16讲椭圆
第16讲椭圆(教师版)_2.2025数学总复习_2023年新高考资料_二轮复习_备战2023年高考数学二轮复习对点题型(新高考专用)_第16讲椭圆
第16讲椭圆(教师版)_2.2025数学总复习_2023年新高考资料_二轮复习_备战2023年高考数学二轮复习对点题型(新高考专用)_第16讲椭圆
第16讲椭圆(教师版)_2.2025数学总复习_2023年新高考资料_二轮复习_备战2023年高考数学二轮复习对点题型(新高考专用)_第16讲椭圆
第16讲椭圆(教师版)_2.2025数学总复习_2023年新高考资料_二轮复习_备战2023年高考数学二轮复习对点题型(新高考专用)_第16讲椭圆
第16讲椭圆(教师版)_2.2025数学总复习_2023年新高考资料_二轮复习_备战2023年高考数学二轮复习对点题型(新高考专用)_第16讲椭圆
第16讲椭圆(教师版)_2.2025数学总复习_2023年新高考资料_二轮复习_备战2023年高考数学二轮复习对点题型(新高考专用)_第16讲椭圆
第16讲椭圆(教师版)_2.2025数学总复习_2023年新高考资料_二轮复习_备战2023年高考数学二轮复习对点题型(新高考专用)_第16讲椭圆
第16讲椭圆(教师版)_2.2025数学总复习_2023年新高考资料_二轮复习_备战2023年高考数学二轮复习对点题型(新高考专用)_第16讲椭圆
第16讲椭圆(教师版)_2.2025数学总复习_2023年新高考资料_二轮复习_备战2023年高考数学二轮复习对点题型(新高考专用)_第16讲椭圆
第16讲椭圆(教师版)_2.2025数学总复习_2023年新高考资料_二轮复习_备战2023年高考数学二轮复习对点题型(新高考专用)_第16讲椭圆

文档信息

文档格式
docx
文档大小
3.870 MB
文档页数
49 页
上传时间
2026-03-25 06:23:24

文档内容

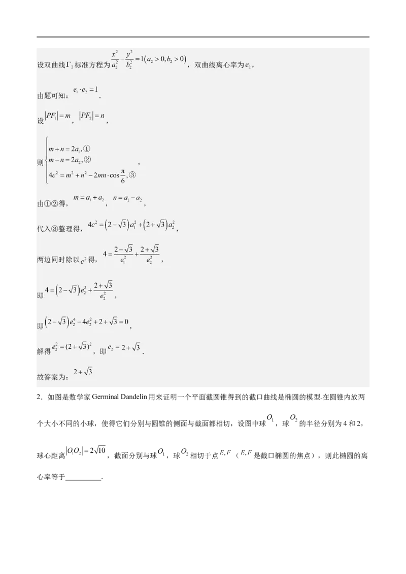
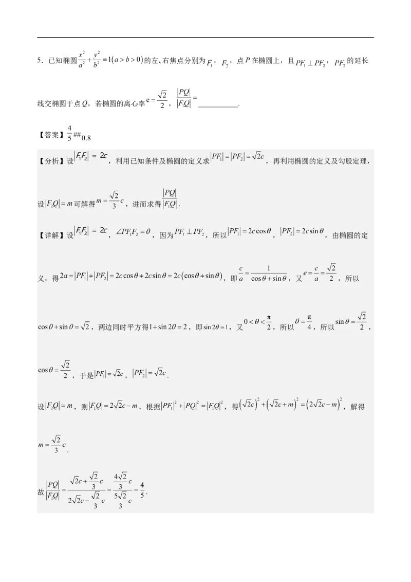
第 16 讲 椭圆 真题展示 2022 新高考一卷第 16 题 已知椭圆 , 的上顶点为 ,两个焦点为 , ,离心率为 .过 且垂直于 的直线与 交于 , 两点, ,则 的周长是 13 . 【思路分析】根据已知条件,先设出含 的椭圆方程,再结合三角形的性质,以 及弦长公式,求出 的值,最后再根据椭圆的定义,即可求解. 【解析】【解法一】(转化+定义): 椭圆 的离心率为 , 不妨可设椭圆 , , 的上顶点为 ,两个焦点为 , , △ 为等边三角形, 过 且垂直于 的直线与 交于 , 两点, , 由等腰三角形的性质可得, , , 设直线 方程为 , , , , , 将其与椭圆 联立化简可得, , 由韦达定理可得, , , ,解得 , 由椭圆的定义可得, 的周长等价于 . 故答案为:13. 【解法二】 (验证中点):仿法一得 a=2c,b= c,仿法一由 DE=6 算出 c= 从而 a= .如图,连接 E ,D ,易知 A 的中点为 M( ,DE:y= (x+c),显 然 M 在直线 DE,即 DE 是 A 的垂直平分线,从而 AE=E ,AD=D ,故 △ADE的周长为AD+AE+DE=D +E +DE= D +E + D +E =4a=13. 【解法三】(硬算+巧开方):由椭圆的离心率为 可得 a=2c,从而 b= c,椭圆 方程化为 3 +4 =12 ,A(0, c),取 为椭圆的左焦点, 为椭圆的右焦点, 易得 A 的斜率为− ,故 DE 的斜率为 ,DE 的方程为 y= (x+c),代入椭 圆方程并整理得 13 +8cx−32 =0,设 D( , ),E( , ),则 + = , =− , 于是DE= = = =6,解得c= , 此时 13 +13x− =0,解得 x= ,取 D( , ),E( , ),A(0, ), AD= = ,AE= = , 设 223+84 = ,则 解得 m=14,n=3,故 AD= ,同理AE= , 故AD+AE=7,△ADE的周长为AD+AE+DE=13. 【解法四】 (硬算+巧平方):仿上得到 AD、AE 的长度,设 t= + , 则 =446+2 =446+2 =446+2×189=784= , 故 t=28,AD+AE=7.下同法三。 【解法五】(极坐标方程): ,则设 ,由焦点弦公式,可知 即 , 由椭圆的定义可得, 的周长等价于 . 故答案为:13. 【试题评价】本题主要考查直线与椭圆的综合应用,需要学生很强的综合能力, 属于中档题. 考查目标 直线、椭圆及相关几何量的计算是中学数学的必备知识.试题巧妙地将直线 与椭圆的位置关系及有关度量的计算结合在一起,设计的问题既体现了基础性 又具有挑战性.试题对考生的化归与转化、逻辑推理等方面的能力提出了较高的 要求,有效地考查了考生的理性思维、数学探索等方面的数学学科素养,考查 了考生的运算求解、逻辑思维等方面的关键能力. 试题亮点 试题对解析几何知识综合应用的考查做了很好的设计. 从试题的简单情景中 应用椭圆的定义去分析问题、解决问题,可以体现考生思维的灵活性.试题具有 较好的创新性与开放性,有诸多亮点. 试题的题设条件简洁,问题深入,既体现 了数学之美,又体现了逻辑推理的重要性.考生在判断出△AF,F,为正三角形 后进一步选择解题路径,这对考生准确灵活运用所学知识解决问题的能力、运 用数形结合以及化归与转化等数学思想方法提出了较高要求.试题有效考查了 考生的运算求解能力、逻辑思维能力和创新能力,以及理性思维、数学应用、 数学探索等数学科素养.试题具有较好的开放性,给不同思维层次的考生提供了 发挥的空间.考生可以采用不同的解题路径和方法.比如,考生可以利用对称性解 决。知识要点整理 知识点一 椭圆的定义 1.定义:平面内与两个定点F ,F 的距离的和等于常数(大于|F F |)的点的轨迹. 1 2 1 2 2.焦点:两个定点F ,F . 1 2 3.焦距:两焦点间的距离|F F |. 1 2 4.几何表示:|MF |+|MF |= 2 a (常数)且2a>|F F |. 1 2 1 2 知识点二 椭圆的标准方程 焦点在x轴上 焦点在y轴上 标准方程 +=1(a>b>0) +=1(a>b>0) 图形 F ( - c , 0) , F (0 ,- c ) , 1 1 焦点坐标 F ( c , 0) F (0 , c ) 2 2 a,b,c的关 b 2 = a 2 - c 2 系 知识点三 椭圆的简单几何性质 焦点的位 焦点在x轴上 焦点在y轴上 置 图形 标准方程 +=1(a>b>0) +=1(a>b>0) - a ≤ x ≤ a ,- - b ≤ x ≤ b ,- 范围 b ≤ y ≤ b a ≤ y ≤ a 顶点 A ( - a , 0) , A ( a , A (0 ,- a ) , A (0 , 1 2 1 20) , a ) , B (0 ,- b ) , B (0 , B ( - b , 0) , B ( b , 1 2 1 2 b ) 0) 轴长 短轴长= 2 b ,长轴长= 2 a 焦点 (±,0) (0,±) 焦距 |F F |=2 1 2 对称性 对称轴: x 轴、 y 轴 对称中心:原点 离心率 e=∈(0,1) 知识点四 直线与椭圆的位置关系 直线y=kx+m与椭圆+=1(a>b>0)的位置关系的判断方法:联立 消去y得到一个关于x的一元二次方程.直线与椭圆的位置关系、对应一元二次 方程解的个数及Δ的取值的关系如表所示. Δ的取 直线与椭圆 解的个数 值 两个不同的公 两解 Δ>0 共点 一个公共点 一解 Δ=0 没有公共点 无解 Δ<0 三年真题 一、单选题 1.已知椭圆的长轴长为10,焦距为8,则该椭圆的短轴长等于( ) A.3 B.6 C.8 D.12 【答案】B 【详解】椭圆的长轴长为10,焦距为8, 所以 , ,可得 , , 所以 ,可得 ,所以该椭圆的短轴长 , 故选:B. 二、多选题 2.已知曲线 .( ) A.若m>n>0,则C是椭圆,其焦点在y轴上 B.若m=n>0,则C是圆,其半径为 C.若mn<0,则C是双曲线,其渐近线方程为 D.若m=0,n>0,则C是两条直线 【答案】ACD 【详解】对于A,若 ,则 可化为 , 因为 ,所以 , 即曲线 表示焦点在 轴上的椭圆,故A正确; 对于B,若 ,则 可化为 , 此时曲线 表示圆心在原点,半径为 的圆,故B不正确; 对于C,若 ,则 可化为 , 此时曲线 表示双曲线, 由 可得 ,故C正确; 对于D,若 ,则 可化为 , ,此时曲线 表示平行于 轴的两条直线,故D正确;故选:ACD. 三、填空题 3.已知 ,B是圆 (F为圆心)上一动点.线段AB的垂直平分线交BF于P,则 动点P的轨迹方程为___________. 【答案】 . 【分析】根据椭圆的定义求轨迹方程. 【详解】由题意 , 在线段 的垂直平分线上,则 , 所以 ,又 , 所以 在以 为焦点,长轴长为2的椭圆上, , , ,则 , 所以轨迹方程为 . 故答案为: . 4.已知椭圆 ,C的上顶点为A,两个焦点为 , ,离心率为 .过 且垂直于 的直线与C交于D,E两点, ,则 的周长是________________. 【答案】13 【详解】∵椭圆的离心率为 ,∴ ,∴ ,∴椭圆的方程为 ,不妨设左焦点为 ,右焦点为 ,如图所示,∵,∴ ,∴ 为正三角形,∵过 且垂直于 的直线与C交于 D,E两点, 为线段 的垂直平分线,∴直线 的斜率为 ,斜率倒数为 , 直线 的方程: ,代入椭圆方程 ,整理化简得到: , 判别式 , ∴ , ∴ , 得 , ∵ 为线段 的垂直平分线,根据对称性, ,∴ 的周长等于 的周长, 利用椭圆的定义得到 周长为 . 故答案为:13.四、解答题 5.已知椭圆C: 的离心率为 ,且过点 . (1)求 的方程: (2)点 , 在 上,且 , , 为垂足.证明:存在定点 ,使得 为定值. 【答案】(1) ;(2)详见解析. 【详解】(1)由题意可得: ,解得: , 故椭圆方程为: . (2)[方法一]:通性通法 设点 , 若直线 斜率存在时,设直线 的方程为: , 代入椭圆方程消去 并整理得: , 可得 , , 因为 ,所以 ,即 , 根据 ,代入整理可得: , 所以 , 整理化简得 , 因为 不在直线 上,所以 ,故 ,于是 的方程为 , 所以直线过定点直线过定点 . 当直线 的斜率不存在时,可得 , 由 得: , 得 ,结合 可得: , 解得: 或 (舍). 此时直线 过点 . 令 为 的中点,即 , 若 与 不重合,则由题设知 是 的斜边,故 , 若 与 重合,则 ,故存在点 ,使得 为定值. [方法二]【最优解】:平移坐标系 将原坐标系平移,原来的O点平移至点A处,则在新的坐标系下椭圆的方程为 ,设直 线 的方程为 .将直线 方程与椭圆方程联立得 ,即 ,化简得 ,即 .设 ,因为 则 ,即 . 代入直线 方程中得 .则在新坐标系下直线 过定点 ,则在原坐标系下 直线 过定点 . 又 ,D在以 为直径的圆上. 的中点 即为圆心Q.经检验,直线 垂直于x轴时也 成立. 故存在 ,使得 . [方法三]:建立曲线系 A点处的切线方程为 ,即 .设直线 的方程为 ,直线 的 方程为 ,直线 的方程为 .由题意得 . 则过A,M,N三点的二次曲线系方程用椭圆及直线 可表示为 (其中 为系数). 用直线 及点A处的切线可表示为 (其中 为系数). 即 . 对比 项、x项及y项系数得 将①代入②③,消去 并化简得 ,即 .故直线 的方程为 ,直线 过定点 .又 ,D在以 为直径的圆上. 中点 即为圆心Q. 经检验,直线 垂直于x轴时也成立.故存在 ,使得 . [方法四]: 设 . 若直线 的斜率不存在,则 . 因为 ,则 ,即 . 由 ,解得 或 (舍). 所以直线 的方程为 . 若直线 的斜率存在,设直线 的方程为 ,则 . 令 ,则 . 又 ,令 ,则 . 因为 ,所以 , 即 或 . 当 时,直线 的方程为 .所以直线 恒过 ,不合题意; 当 时,直线 的方程为 ,所以直线 恒过 .综上,直线 恒过 ,所以 . 又因为 ,即 ,所以点D在以线段 为直径的圆上运动. 取线段 的中点为 ,则 . 所以存在定点Q,使得 为定值. 6.已知椭圆 的离心率为 , , 分别为 的左、右顶点. (1)求 的方程; (2)若点 在 上,点 在直线 上,且 , ,求 的面积. 【答案】(1) ;(2) . 【详解】(1) , , 根据离心率 ,解得 或 (舍), 的方程为: ,即 . (2)[方法一]:通性通法 不妨设 , 在x轴上方,过点 作 轴垂线,垂足为 ,设直线 与 轴交点为 根据题意画出图形,如图, , , 又 , , ,根据三角形全等条件“ ”,可得: , , , , 设 点为 ,可得 点纵坐标为 ,将其代入 , 可得: ,解得: 或 , 点为 或 , ①当 点为 时,故 , , ,可得: 点为 , 画出图象,如图 , ,可求得直线 的直线方程为: , 根据点到直线距离公式可得 到直线 的距离为 , 根据两点间距离公式可得: , 面积为: ; ②当 点为 时,故 , , ,可得: 点为 ,画 出图象,如图, ,可求得直线 的直线方程为: , 根据点到直线距离公式可得 到直线 的距离为 , 根据两点间距离公式可得: , 面积为: ,综上所述, 面积为: . [方法二]【最优解】: 由对称性,不妨设P,Q在x轴上方,过P作 轴,垂足为E.设 ,由题知, . 故 , ①因为 ,如图,所以, . ②因为 ,如图,所以 .综上有 [方法三]: 由已知可得 ,直线 的斜率一定存在,设直线 的方程为 ,由对称性可设 , 联立方程 消去y得 , 由韦达定理得 ,所以 , 将其代入直线 的方程得 ,所以 , 则 . 因为 ,则直线 的方程为 , 则 . 因为 ,所 , ,即 ,故 或 ,即 或 . 当 时,点P,Q的坐标分别为 , 直线 的方程为 ,点A到直线 的距离为 , 故 的面积为 . 当 时,点P,Q的坐标分别为 , 直线 的方程为 ,点 到直线 的距离为 , 故 的面积为 . 综上所述, 的面积为 . [方法四]: 由(1)知椭圆的方程为 , . 不妨设 在x轴上方,如图. 设直线 . 因为 ,所以 . 由点P在椭圆上得 ,所以 .由点P在直线 上得 ,所以 .所以 ,化简得 . 所以 ,即 . 所以,点Q到直线 的距离 . 又 . 故 .即 的面积为 . [方法五]: 由对称性,不妨设P,Q在x轴上方,过P作 轴,垂足为C,设 , 由题知 ,所以 . (1) . 则 . (其中 ). (2) . 同理, . (其中 ) 综上, 的面积为 . 7.已知椭圆C : (a>b>0)的右焦点F与抛物线C 的焦点重合,C 的中心与C 的顶点重合.过F 1 2 1 2且与x轴垂直的直线交C 于A,B两点,交C 于C,D两点,且|CD|= |AB|. 1 2 (1)求C 的离心率; 1 (2)若C 的四个顶点到C 的准线距离之和为12,求C 与C 的标准方程. 1 2 1 2 【答案】(1) ;(2) : , : . 【详解】解:(1)因为椭圆 的右焦点坐标为: ,所以抛物线 的方程为 ,其中 . 不妨设 在第一象限,因为椭圆 的方程为: , 所以当 时,有 ,因此 的纵坐标分别为 , ; 又因为抛物线 的方程为 ,所以当 时,有 , 所以 的纵坐标分别为 , ,故 , . 由 得 ,即 ,解得 (舍去), . 所以 的离心率为 . (2)由(1)知 , ,故 ,所以 的四个顶点坐标分别为 , , , , 的准线为 . 由已知得 ,即 . 所以 的标准方程为 , 的标准方程为 . 8.已知椭圆C : (a>b>0)的右焦点F与抛物线C 的焦点重合,C 的中心与C 的顶点重合.过F 1 2 1 2且与x轴垂直的直线交C 于A,B两点,交C 于C,D两点,且|CD|= |AB|. 1 2 (1)求C 的离心率; 1 (2)设M是C 与C 的公共点,若|MF|=5,求C 与C 的标准方程. 1 2 1 2 【答案】(1) ;(2) , . 【详解】(1) , 轴且与椭圆 相交于 、 两点, 则直线 的方程为 , 联立 ,解得 ,则 , 抛物线 的方程为 ,联立 , 解得 , , ,即 , , 即 ,即 , ,解得 ,因此,椭圆 的离心率为 ; (2)[方法一]:椭圆的第二定义由椭圆的第二定义知 ,则有 , 所以 ,即 . 又由 ,得 . 从而 ,解得 . 所以 . 故椭圆 与抛物线 的标准方程分别是 . [方法二]:圆锥曲线统一的极坐标公式 以 为极点,x轴的正半轴为极轴,建立极坐标系. 由(Ⅰ)知 ,又由圆锥曲线统一的极坐标公式 ,得 ,由 ,得 ,两式联立解得 . 故 的标准方程为 , 的标准方程为 . [方法三]:参数方程 由(1)知 ,椭圆 的方程为 , 所以 的参数方程为 ( 为参数), 将它代入抛物线 的方程并化简得 , 解得 或 (舍去),所以 ,即点M的坐标为 . 又 ,所以由抛物线焦半径公式有 ,即 ,解得 . 故 的标准方程为 , 的标准方程为 . [方法四]【最优解】:利用韦达定理 由(1)知 , ,椭圆 的方程为 , 联立 ,消去 并整理得 , 解得 或 (舍去), 由抛物线的定义可得 ,解得 . 因此,曲线 的标准方程为 , 曲线 的标准方程为 . 三年模拟 1.已知椭圆 与双曲线 的离心率互为倒数,且它们有共同的焦点 、 ,P是 与 在第一象限的交 点,当 时,双曲线 的离心率等于______. 【答案】 ## 【详解】设椭圆 标准方程为 ,椭圆离心率为 ,设双曲线 标准方程为 ,双曲线离心率为 , 由题可知: . 设 , , 则 , 由①②得, , , 代入③整理得, , 两边同时除以 得, , 即 , 即 , 解得 ,即 . 故答案为: 2.如图是数学家Germinal Dandelin用来证明一个平面截圆锥得到的截口曲线是椭圆的模型.在圆锥内放两 个大小不同的小球,使得它们分别与圆锥的侧面与截面都相切,设图中球 ,球 的半径分别为4和2, 球心距离 ,截面分别与球 ,球 相切于点 ( 是截口椭圆的焦点),则此椭圆的离 心率等于__________.【答案】 【详解】设 , 由 ,解得 , 所以 , 所以 , 设直线 与圆锥的母线相交于点 , 圆锥的母线与球相切于 两点,如图所示, 则 , 两式相加得 ,即 , 过 作 ,垂直为 , 则四边形 为矩形,所以 , , 所以椭圆的离心率为 .故答案为: 3.已知 , 为椭圆 : 的左右焦点,A为 的上顶点,直线l经过点 且与 交于B, C两点;若l垂直平分线段 ,则 ABC的周长是___________. △ 【答案】 ## . 【详解】如图,连接 , 因为l垂直平分线段 , 所以 , 所以 ABC的周长为 , △ 由题意得 ,则的中点为 , , 所以直线 的斜率为 , 所以直线 的方程为 , 因为直线 过 , 所以 ,解得 , 所以 , 所以 ABC的周长为 , △ 故答案为: . 4.如图所示,平面直角坐标系 中,四边形 满足 , , , 若点 , 分别为椭圆 : ( )的上、下顶点,点 在椭圆 上,点 不在椭圆 上,则 椭圆 的焦距为___________.【答案】4 【详解】由题意得 , ,设 , .连接 , 由 , ,可知 , , , 在以 为直径的圆 上,且 , 又原点 为圆 的弦 的中点, 所以圆心在 的垂直平分线上,即在 轴上,则 ,又 , 所以 , 因为 ,所以 , 所以 , 当 时,则 0, 若 ,则四边形 为矩形,则点 也在椭圆 上,与点 不在椭圆 上矛盾, 所以 ,所以 ,故圆 的圆心坐标为 , 所以圆 的方程为 ,将 代入可得 ,又 , 所以 ,故椭圆 的焦距为 . 故答案为:4.5.已知椭圆 的左、右焦点分别为 , ,点P在椭圆上,且 , 的延长 线交椭圆于点Q,若椭圆的离心率 , ___________. 【答案】 ## 【分析】设 ,利用已知条件及椭圆的定义求 ,再利用椭圆的定义及勾股定理, 设 可解得 ,进而求得 . 【详解】设 , ,因为 ,所以 , ,由椭圆的定 义,得 ,即 ,又 ,所以 ,两边同时平方得 ,即 ,又 ,所以 ,所以 , ,于是 , . 设 ,则 ,根据 ,得 ,解得 . 故 .故答案为: 6.己知椭圆 的右焦点 和上顶点B,若斜率为 的直线l交椭圆C于 P,Q两点,且满足 ,则椭圆的离心率为___________. 【答案】 ## 【详解】设 ,线段PQ的中点为 , 由 ,知F为 的重心,故 , 即 ,解得 , 又M为线段PQ的中点,则 , 又P、Q为椭圆C上两点,则 , 两式相减得 , 所以 , 化简得 ,则 解得 或 ( 故舍去) 则 ,则离心率 . 故答案为: 7.已知 , 是椭圆C的两个焦点,点M在C上,且 的最大值是它的最小值的2倍,则椭圆 的离心率为__________.【答案】 ## . 【详解】因为 , 所以 , 所以当 时, 取得最大值 , 因为 ,所以 的最小值为 , 因为 的最大值是它的最小值的2倍, 所以 , 所以 ,所以 , 所以椭圆的离心率为 , 故答案为: . 8.已知椭圆 与双曲线 有共同的焦点 ,它们的离心率分别为 是它们的一个公共点.若 ,则 的最小值为__________. 【答案】 【详解】设椭圆 对应 ,双曲线 对应 , , 所以 ,两边平方得 ①, ,两边平方得 ②, ①+②并整理得 ;①-②并整理得 .由余弦定理得 ,整理得 , 所以 , , 所以 , 当且仅当 时等号成立. 故答案为: 9.已知 分别为椭圆 的左,右焦点,直线 与椭圆C的一个交点为 M,若 ,则椭圆的离心率为______. 【答案】 ## 【分析】由直线过原点及斜率, ,可得 ,再结合椭圆定义,在焦点三角形 通过勾股定理构建齐次方程,即可求出离心率 【详解】由题可知, 为直角三角形, ,直线 过原点 , ,故 , 又 ,则 ,在 中, ,即 , 又 ,解得: 或 (舍去). 故答案为: . 10.已知椭圆 的离心率为 , 分别是椭圆 的左、右焦点,点 在椭圆 上 且在以 为直径的圆上.线段 与 轴交于点 , ,则椭圆 的长轴长为_____. 【答案】 【详解】由题意得 , 点 在以 为直径的圆上,则 , 因为 , , 所以 ,所以 , 所以 ,可得 , 又 ,所以 , 所以椭圆 的长轴长为 . 故答案为: . 11.已知椭圆 的右焦点为F,经过点F的直线l的倾斜角为 ,且直线l交该椭圆 于A,B两点,若 ,则该椭圆的离心率为______________.【答案】 【详解】由题意知, ,直线 的方程为 ,其中c为椭圆C的半焦距, 联立 得 . 设 ,则 . ∵ , ∴ ,即 , ∴ , ∴ , 化简得 , ∵ , ∴ , 令 ,可将上式整理为 , 即 ,解得 或 , ∴ ,即 , ∴所求椭圆的离心率为 . 故答案为:12.若 为椭圆 的左、右焦点,点P为C上一点,若对任意的 ,均存在四个不同的点P满足 ,则C的离心率e的取值范围为_______. 【答案】 【详解】设O为坐标原点,则 ,故 ,由于 ,故 , 若存在四个不同的点P满足 ,又 , 所以 即 解得 ,即 . 故答案为: 13.已知椭圆 左、右焦点分别为 、 ,过 且倾斜角为 的直线 与过 的直 线 交于 点,点 在椭圆上,且 .则椭圆 的离心率 __________. 【答案】 ## 【详解】在 中, , ,则 ,,则 , 由椭圆的定义可得 ,则 . 故答案为: . 14.已知椭圆 的左右焦点分别为 , ,过 作倾斜角为 的直线,与以坐标轴 原点 为圆心,椭圆半焦距为半径的圆交于点 (不同于点 ),与椭圆 在第一象限交于点 ,若 ,则椭圆 的离心率为__________. 【答案】 【详解】 , 点A是线段 的中点, 为直径所对的圆周角, , 为线段 的垂直平分线, , ,过 的直线的倾斜角为 , , , , 为椭圆C的焦点, , 且 , , , 点B在椭圆C上, , , ,即 , 故答案为: . 15.已知椭圆 的上、下顶点分别为 , ,点 是椭圆C上异于 、 的点,直 线 和 的斜率分别为 、 ,写出一个满足 的椭圆C的方程是________________. 【答案】 (答案不唯一) 【分析】根据斜率公式可得出 、 所满足的关系式,即可得出满足条件的一个椭圆的方程.【详解】由题意可知 、 ,设 ,则 , 所以 , 所以 , 所以 . 所以椭圆 的方程可以为 (只需满足 即可). 故答案为: (答案不唯一). 16.如图,己知 是椭圆 的焦点,M,N为椭圆上两点,满足 ,且 ,则 的余弦值为___________. 【答案】 ## 【详解】解:延长 与椭圆交于点 ,又 ,根据对称性可知, ,设 ,则 , , 从而 ,故 , 在 中,注意到 , , 在 中,有 . 故答案为: 17.若 、 是椭圆C: 的两个焦点,过 的直线l与椭圆C交于A、B两点,O为坐标原点, 则下列说法中正确的是______.(填序号) ①椭圆C的离心率为 ; ②存在点A使得 ; ③若 ,则 ; ④ 面积的最大值为12. 【答案】②④ 【详解】对①,由题得a=5,b=3,c=4,离心率为 ,故①错误. 对②,设 ,得椭圆的参数方程为 (t为参数), , ,所以 , .若存在点A使 ,则 ,即,得 有解,故存在点A使 ,故②正确. 对③,因为 ,故③错误. 对④,当A位于短轴端点时,此时 的面积最大,所以 ,故④正确. 故答案为:②④ 18.舒腾尺是荷兰数学家舒腾设计的一种作图工具,如图,O是滑槽AB的中点,短杆ON可绕O转动, 长杆MN通过N处的铰链与ON连接,MN上的栓子D可沿滑槽AB滑动.当点D在滑槽AB内做往复移动 时,带动点N绕O转动,点M也随之而运动.记点N的运动轨迹为 ,点M的运动轨迹为 .若 , ,过 上的点P向 作切线,则切线长的最大值为______. 【答案】 【详解】以滑槽AB所在的直线为x轴,O为坐标原点,建立平面直角坐标系,如图所示. 因为 ,所以点N的运动轨迹 是以O为圆心,半径为1的圆, 其方程为 . 设点 , , , 依题意, ,且 ,所以 ,且 , 即 ,且 . 由于t不恒等于0,于是 ,故 , , 代入 ,可得 , 故曲线 的方程为 .设 上的点 , 则 , 则切线长为 ,故切线长的最大值为 . 故答案为: 19.已知椭圆 的左、右焦点分别为 ,点 为椭圆 的上顶点,直线 与椭圆 的另一个交点为 ,若 ,则 ___________. 【答案】 【详解】由 , 可得 , 如图过点 作 轴的垂线,垂足为 , 所以 , 因为 , 所以 ,所以 , 可得点 的坐标为 , 代入椭圆方程可得 , 有 ,解得 . 故答案为: 20.用一个不垂直于圆锥的轴的平面截圆锥,当截面与圆锥的轴夹角不同时,可以得到不同的截口曲线, 它们分别是椭圆、抛物线、双曲线.我们通常把圆、椭圆、抛物线、双曲线统称为圆锥曲线.已知某圆锥 的轴截面是正三角形,平面 与该圆锥的底而所成的锐二面角为 ,则平面 截该圆锥所得椭圆的离心率 为_________. 【答案】 【详解】如图1,不妨令正△ABC边长为 ,重心G,椭圆中心N,中线BD,底面圆心M.PG与长轴垂直. 则 . ,所以 .所以 , . PG为过G与底面平行的圆的半径,如图2在△AMC,作GE∥MC,由相似可得:,所以 ,所以 . 如图3,即 ,代入方程 得: ,又 ,解得 , 所以 ,所以 ,所以离心率 . 故答案为: 21.已知F是椭圆 : ( )的右焦点,A为椭圆 的下顶点,双曲线 : ( , )与椭圆 共焦点,若直线 与双曲线 的一条渐近线平行, , 的离心 率分别为 , ,则 的最小值为______. 【答案】 【详解】解:设 的半焦距为c( ),则 ,又 , 所以 ,又直线 与 的一条渐近线平行, 所以 ,所以 , 所以 , 所以 ,所以 , 又 , 当且仅当 ,即 , 时等号成立, 即 的最小值为 . 故答案为: 22.已知A(3,1),B(-3,0),P是椭圆 上的一点,则 的最大值为___. 【答案】9 【详解】根据题意可得: 则点B为椭圆的左焦点,取椭圆的右焦点 ∴ ,即 ∵ ,即点A在椭圆内 , 当且仅当点P在AF的延长线上时,等号成立. 故答案为:9.23.已知 是椭圆 的左、右焦点,P在椭圆上运动,求 的最小值为___. 【答案】1 【详解】因为 是椭圆 的左、右焦点,P在椭圆上运动, 所以 . 所以 ,所以 (当且仅当 时等号成立). 所以 . 即 的最小值为1. 故答案为:1 24.设椭圆 的左、右两焦点分别为 , , 是 上的点,则使得 是直角三角形的 点 的个数为_________. 【答案】6 【分析】根据椭圆的性质判断 为 上下顶点时 的大小判断直角三角形个数,再加上 、 对应直角三角形个数,即可得结果.【详解】由椭圆性质知:当 为 上下顶点时 最大,此时 , , 所以 ,故焦点三角形中 最大为 ,故有2个; 又 、 对应的直角三角形各有2个; 综上,使得 是直角三角形的点 的个数为6个. 故答案为:6 25.已知椭圆 的一个焦点坐标为 ,则 __________. 【答案】 【详解】由焦点坐标 知焦点在 轴上,且 ,解得 . 故答案为: . 26.已知椭圆 : 的左、右两个焦点分别为 、 ,过 的直线交椭圆 于 两点.若 是等边三角形,则 的值等于_________. 【答案】 【详解】因为 是等边三角形,故 ,故 关于 轴对称,故 轴.故 , ,故 ,又 ,故 ,故 ,即 ,所以 ,故答案为: 27.已知椭圆 ,过椭圆右焦点F的直线l与椭圆交于A,B两点,与y轴交于E点,若 ,则椭圆的离心率是__________. 【答案】 【详解】若 ,如下图,则 ,则 ,所以设 , 则 , ,所以 为 的中点,所以 , 又因为 ,所以 为 的中点,则 , 所以 因为 两点在椭圆上, 则 ,则 ,所以 , 化简得: ,则 .故答案为: . 28.如图,已知 , 分别为椭圆C: 的左、右焦点,A为C上位于第一象限内的一 点, 与y轴交于点B,若 ,则C的离心率为______. 【答案】 【详解】由题意知, ,设 , 由 ,得 , , , , 在 中, , , 在 中, ; 根据椭圆的定义, ,所以 . 故答案为: