当前位置:首页>文档>专题07相似三角形的应用经典50题专训(解析版)_初中数学人教版_9下-初中数学人教版_07专项讲练_2023-2024学年九年级数学全册重难点专题提升精讲精练(人教版)_九年级下册

专题07相似三角形的应用经典50题专训(解析版)_初中数学人教版_9下-初中数学人教版_07专项讲练_2023-2024学年九年级数学全册重难点专题提升精讲精练(人教版)_九年级下册

  • 2026-04-16 03:04:17 2026-03-27 04:08:04

文档预览

专题07相似三角形的应用经典50题专训(解析版)_初中数学人教版_9下-初中数学人教版_07专项讲练_2023-2024学年九年级数学全册重难点专题提升精讲精练(人教版)_九年级下册
专题07相似三角形的应用经典50题专训(解析版)_初中数学人教版_9下-初中数学人教版_07专项讲练_2023-2024学年九年级数学全册重难点专题提升精讲精练(人教版)_九年级下册
专题07相似三角形的应用经典50题专训(解析版)_初中数学人教版_9下-初中数学人教版_07专项讲练_2023-2024学年九年级数学全册重难点专题提升精讲精练(人教版)_九年级下册
专题07相似三角形的应用经典50题专训(解析版)_初中数学人教版_9下-初中数学人教版_07专项讲练_2023-2024学年九年级数学全册重难点专题提升精讲精练(人教版)_九年级下册
专题07相似三角形的应用经典50题专训(解析版)_初中数学人教版_9下-初中数学人教版_07专项讲练_2023-2024学年九年级数学全册重难点专题提升精讲精练(人教版)_九年级下册
专题07相似三角形的应用经典50题专训(解析版)_初中数学人教版_9下-初中数学人教版_07专项讲练_2023-2024学年九年级数学全册重难点专题提升精讲精练(人教版)_九年级下册
专题07相似三角形的应用经典50题专训(解析版)_初中数学人教版_9下-初中数学人教版_07专项讲练_2023-2024学年九年级数学全册重难点专题提升精讲精练(人教版)_九年级下册
专题07相似三角形的应用经典50题专训(解析版)_初中数学人教版_9下-初中数学人教版_07专项讲练_2023-2024学年九年级数学全册重难点专题提升精讲精练(人教版)_九年级下册
专题07相似三角形的应用经典50题专训(解析版)_初中数学人教版_9下-初中数学人教版_07专项讲练_2023-2024学年九年级数学全册重难点专题提升精讲精练(人教版)_九年级下册
专题07相似三角形的应用经典50题专训(解析版)_初中数学人教版_9下-初中数学人教版_07专项讲练_2023-2024学年九年级数学全册重难点专题提升精讲精练(人教版)_九年级下册
专题07相似三角形的应用经典50题专训(解析版)_初中数学人教版_9下-初中数学人教版_07专项讲练_2023-2024学年九年级数学全册重难点专题提升精讲精练(人教版)_九年级下册
专题07相似三角形的应用经典50题专训(解析版)_初中数学人教版_9下-初中数学人教版_07专项讲练_2023-2024学年九年级数学全册重难点专题提升精讲精练(人教版)_九年级下册
专题07相似三角形的应用经典50题专训(解析版)_初中数学人教版_9下-初中数学人教版_07专项讲练_2023-2024学年九年级数学全册重难点专题提升精讲精练(人教版)_九年级下册
专题07相似三角形的应用经典50题专训(解析版)_初中数学人教版_9下-初中数学人教版_07专项讲练_2023-2024学年九年级数学全册重难点专题提升精讲精练(人教版)_九年级下册
专题07相似三角形的应用经典50题专训(解析版)_初中数学人教版_9下-初中数学人教版_07专项讲练_2023-2024学年九年级数学全册重难点专题提升精讲精练(人教版)_九年级下册
专题07相似三角形的应用经典50题专训(解析版)_初中数学人教版_9下-初中数学人教版_07专项讲练_2023-2024学年九年级数学全册重难点专题提升精讲精练(人教版)_九年级下册
专题07相似三角形的应用经典50题专训(解析版)_初中数学人教版_9下-初中数学人教版_07专项讲练_2023-2024学年九年级数学全册重难点专题提升精讲精练(人教版)_九年级下册
专题07相似三角形的应用经典50题专训(解析版)_初中数学人教版_9下-初中数学人教版_07专项讲练_2023-2024学年九年级数学全册重难点专题提升精讲精练(人教版)_九年级下册
专题07相似三角形的应用经典50题专训(解析版)_初中数学人教版_9下-初中数学人教版_07专项讲练_2023-2024学年九年级数学全册重难点专题提升精讲精练(人教版)_九年级下册
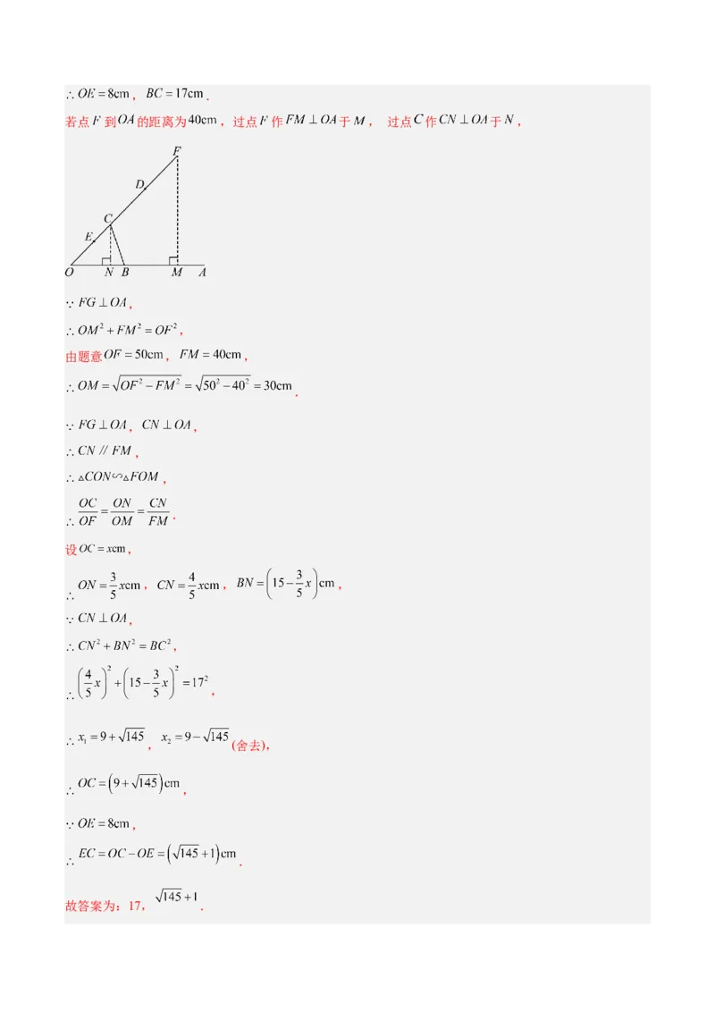
专题07相似三角形的应用经典50题专训(解析版)_初中数学人教版_9下-初中数学人教版_07专项讲练_2023-2024学年九年级数学全册重难点专题提升精讲精练(人教版)_九年级下册
专题07相似三角形的应用经典50题专训(解析版)_初中数学人教版_9下-初中数学人教版_07专项讲练_2023-2024学年九年级数学全册重难点专题提升精讲精练(人教版)_九年级下册
专题07相似三角形的应用经典50题专训(解析版)_初中数学人教版_9下-初中数学人教版_07专项讲练_2023-2024学年九年级数学全册重难点专题提升精讲精练(人教版)_九年级下册
专题07相似三角形的应用经典50题专训(解析版)_初中数学人教版_9下-初中数学人教版_07专项讲练_2023-2024学年九年级数学全册重难点专题提升精讲精练(人教版)_九年级下册
专题07相似三角形的应用经典50题专训(解析版)_初中数学人教版_9下-初中数学人教版_07专项讲练_2023-2024学年九年级数学全册重难点专题提升精讲精练(人教版)_九年级下册
专题07相似三角形的应用经典50题专训(解析版)_初中数学人教版_9下-初中数学人教版_07专项讲练_2023-2024学年九年级数学全册重难点专题提升精讲精练(人教版)_九年级下册
专题07相似三角形的应用经典50题专训(解析版)_初中数学人教版_9下-初中数学人教版_07专项讲练_2023-2024学年九年级数学全册重难点专题提升精讲精练(人教版)_九年级下册
专题07相似三角形的应用经典50题专训(解析版)_初中数学人教版_9下-初中数学人教版_07专项讲练_2023-2024学年九年级数学全册重难点专题提升精讲精练(人教版)_九年级下册
专题07相似三角形的应用经典50题专训(解析版)_初中数学人教版_9下-初中数学人教版_07专项讲练_2023-2024学年九年级数学全册重难点专题提升精讲精练(人教版)_九年级下册
专题07相似三角形的应用经典50题专训(解析版)_初中数学人教版_9下-初中数学人教版_07专项讲练_2023-2024学年九年级数学全册重难点专题提升精讲精练(人教版)_九年级下册
专题07相似三角形的应用经典50题专训(解析版)_初中数学人教版_9下-初中数学人教版_07专项讲练_2023-2024学年九年级数学全册重难点专题提升精讲精练(人教版)_九年级下册
专题07相似三角形的应用经典50题专训(解析版)_初中数学人教版_9下-初中数学人教版_07专项讲练_2023-2024学年九年级数学全册重难点专题提升精讲精练(人教版)_九年级下册
专题07相似三角形的应用经典50题专训(解析版)_初中数学人教版_9下-初中数学人教版_07专项讲练_2023-2024学年九年级数学全册重难点专题提升精讲精练(人教版)_九年级下册
专题07相似三角形的应用经典50题专训(解析版)_初中数学人教版_9下-初中数学人教版_07专项讲练_2023-2024学年九年级数学全册重难点专题提升精讲精练(人教版)_九年级下册
专题07相似三角形的应用经典50题专训(解析版)_初中数学人教版_9下-初中数学人教版_07专项讲练_2023-2024学年九年级数学全册重难点专题提升精讲精练(人教版)_九年级下册
专题07相似三角形的应用经典50题专训(解析版)_初中数学人教版_9下-初中数学人教版_07专项讲练_2023-2024学年九年级数学全册重难点专题提升精讲精练(人教版)_九年级下册
专题07相似三角形的应用经典50题专训(解析版)_初中数学人教版_9下-初中数学人教版_07专项讲练_2023-2024学年九年级数学全册重难点专题提升精讲精练(人教版)_九年级下册
专题07相似三角形的应用经典50题专训(解析版)_初中数学人教版_9下-初中数学人教版_07专项讲练_2023-2024学年九年级数学全册重难点专题提升精讲精练(人教版)_九年级下册
专题07相似三角形的应用经典50题专训(解析版)_初中数学人教版_9下-初中数学人教版_07专项讲练_2023-2024学年九年级数学全册重难点专题提升精讲精练(人教版)_九年级下册
专题07相似三角形的应用经典50题专训(解析版)_初中数学人教版_9下-初中数学人教版_07专项讲练_2023-2024学年九年级数学全册重难点专题提升精讲精练(人教版)_九年级下册
专题07相似三角形的应用经典50题专训(解析版)_初中数学人教版_9下-初中数学人教版_07专项讲练_2023-2024学年九年级数学全册重难点专题提升精讲精练(人教版)_九年级下册
专题07相似三角形的应用经典50题专训(解析版)_初中数学人教版_9下-初中数学人教版_07专项讲练_2023-2024学年九年级数学全册重难点专题提升精讲精练(人教版)_九年级下册
专题07相似三角形的应用经典50题专训(解析版)_初中数学人教版_9下-初中数学人教版_07专项讲练_2023-2024学年九年级数学全册重难点专题提升精讲精练(人教版)_九年级下册
专题07相似三角形的应用经典50题专训(解析版)_初中数学人教版_9下-初中数学人教版_07专项讲练_2023-2024学年九年级数学全册重难点专题提升精讲精练(人教版)_九年级下册
专题07相似三角形的应用经典50题专训(解析版)_初中数学人教版_9下-初中数学人教版_07专项讲练_2023-2024学年九年级数学全册重难点专题提升精讲精练(人教版)_九年级下册
专题07相似三角形的应用经典50题专训(解析版)_初中数学人教版_9下-初中数学人教版_07专项讲练_2023-2024学年九年级数学全册重难点专题提升精讲精练(人教版)_九年级下册
专题07相似三角形的应用经典50题专训(解析版)_初中数学人教版_9下-初中数学人教版_07专项讲练_2023-2024学年九年级数学全册重难点专题提升精讲精练(人教版)_九年级下册
专题07相似三角形的应用经典50题专训(解析版)_初中数学人教版_9下-初中数学人教版_07专项讲练_2023-2024学年九年级数学全册重难点专题提升精讲精练(人教版)_九年级下册
专题07相似三角形的应用经典50题专训(解析版)_初中数学人教版_9下-初中数学人教版_07专项讲练_2023-2024学年九年级数学全册重难点专题提升精讲精练(人教版)_九年级下册
专题07相似三角形的应用经典50题专训(解析版)_初中数学人教版_9下-初中数学人教版_07专项讲练_2023-2024学年九年级数学全册重难点专题提升精讲精练(人教版)_九年级下册
专题07相似三角形的应用经典50题专训(解析版)_初中数学人教版_9下-初中数学人教版_07专项讲练_2023-2024学年九年级数学全册重难点专题提升精讲精练(人教版)_九年级下册
专题07相似三角形的应用经典50题专训(解析版)_初中数学人教版_9下-初中数学人教版_07专项讲练_2023-2024学年九年级数学全册重难点专题提升精讲精练(人教版)_九年级下册
专题07相似三角形的应用经典50题专训(解析版)_初中数学人教版_9下-初中数学人教版_07专项讲练_2023-2024学年九年级数学全册重难点专题提升精讲精练(人教版)_九年级下册
专题07相似三角形的应用经典50题专训(解析版)_初中数学人教版_9下-初中数学人教版_07专项讲练_2023-2024学年九年级数学全册重难点专题提升精讲精练(人教版)_九年级下册
专题07相似三角形的应用经典50题专训(解析版)_初中数学人教版_9下-初中数学人教版_07专项讲练_2023-2024学年九年级数学全册重难点专题提升精讲精练(人教版)_九年级下册
专题07相似三角形的应用经典50题专训(解析版)_初中数学人教版_9下-初中数学人教版_07专项讲练_2023-2024学年九年级数学全册重难点专题提升精讲精练(人教版)_九年级下册
专题07相似三角形的应用经典50题专训(解析版)_初中数学人教版_9下-初中数学人教版_07专项讲练_2023-2024学年九年级数学全册重难点专题提升精讲精练(人教版)_九年级下册
专题07相似三角形的应用经典50题专训(解析版)_初中数学人教版_9下-初中数学人教版_07专项讲练_2023-2024学年九年级数学全册重难点专题提升精讲精练(人教版)_九年级下册
专题07相似三角形的应用经典50题专训(解析版)_初中数学人教版_9下-初中数学人教版_07专项讲练_2023-2024学年九年级数学全册重难点专题提升精讲精练(人教版)_九年级下册
专题07相似三角形的应用经典50题专训(解析版)_初中数学人教版_9下-初中数学人教版_07专项讲练_2023-2024学年九年级数学全册重难点专题提升精讲精练(人教版)_九年级下册
专题07相似三角形的应用经典50题专训(解析版)_初中数学人教版_9下-初中数学人教版_07专项讲练_2023-2024学年九年级数学全册重难点专题提升精讲精练(人教版)_九年级下册
专题07相似三角形的应用经典50题专训(解析版)_初中数学人教版_9下-初中数学人教版_07专项讲练_2023-2024学年九年级数学全册重难点专题提升精讲精练(人教版)_九年级下册
专题07相似三角形的应用经典50题专训(解析版)_初中数学人教版_9下-初中数学人教版_07专项讲练_2023-2024学年九年级数学全册重难点专题提升精讲精练(人教版)_九年级下册
专题07相似三角形的应用经典50题专训(解析版)_初中数学人教版_9下-初中数学人教版_07专项讲练_2023-2024学年九年级数学全册重难点专题提升精讲精练(人教版)_九年级下册
专题07相似三角形的应用经典50题专训(解析版)_初中数学人教版_9下-初中数学人教版_07专项讲练_2023-2024学年九年级数学全册重难点专题提升精讲精练(人教版)_九年级下册
专题07相似三角形的应用经典50题专训(解析版)_初中数学人教版_9下-初中数学人教版_07专项讲练_2023-2024学年九年级数学全册重难点专题提升精讲精练(人教版)_九年级下册

文档信息

文档格式
docx
文档大小
4.532 MB
文档页数
61 页
上传时间
2026-03-27 04:08:04

文档内容

专题07 用相似三角形解决问题经典50题 【精选2023年最新考试题型专训】 【经典题型】 1.(2023上·山西运城·九年级山西省运城市实验中学校考期中)据《墨经》记载,在两千多年前,我国学 者墨子和他的学生做了“小孔成像”实验,阐释了光的直线传播原理.小孔成像的示意图如图所示,光线 经过小孔O,物体 在幕布上形成倒立的实像 (点A、B的对应点分别是C、D).若物体 的高为 ,小孔O到地面距离 为 ,则实像 的高度为( ) A. B. C. D. 【答案】A 【分析】本题考查了相似三角形的应用:先证明 得到 ,再证明 得 到 ,再把①和②相加变形得到,然后把 , ,代入计算即可,利用平行线构 建相似三角形,然后用相似三角形对应边的比相等的性质求相应线段的长或表示线段之间的关系. 【详解】解:依题意, ∵ , ∴ , ∴ ∵ , ∴ , ∴ 则 得 , ∴∴ ∵ , ∴ 解得 故选:A 2.(2023上·山西晋中·九年级统考期中)人字梯也称折梯,是平面上方空间工作的一种登高工具,因其使 用时左右的梯杆及地面构成一个等腰三角形,看起来像一个“人”字,因而把它形象地称为“人字梯”, 如图 所示.图 是其工作示意图,已知 ,拉杆 , .若 米,则两梯 杆跨度 , 之间的距离为( ) A. 米 B. 米 C. 米 D. 米 【答案】C 【分析】此题考查了相似三角形的判定及性质,根据相似三角形的判定及性质可得 ,进而可求解, 熟练掌握相似三角形的判定及性质是解题的关键. 【详解】∵ , ∴ , ∴ , ∵ , ∴ ,即 ,∴ (米), 故选:C. 3.(2023上·山东青岛·九年级莱西市第四中学校考阶段练习)如图,是一束平行的光线从教室窗户射入教 室的平面示意图,测得光线与地面所成的角 ,窗户的高在教室地面上的影长 米,窗户 的下檐到教室地面的距离 米(点 、 、 在同一直线上),则窗户的高 为( ) A. 米 B.1米 C. 米 D.2米 【答案】D 【分析】本题考查了相似三角形的判定和性质的应用,根据题意, ,易证 ,再根 据相似三角形的性质解答即可.掌握相似三角形的判定和性质是解题的关键. 【详解】解: , , , 又 , 米, 米, (米), , , , 解得: 米, 米. 故选: . 4.(2023上·山东青岛·九年级统考期中)如图, 为驾驶员的盲区,驾驶员的眼睛点 处与地面 的 距离为 米,车头 近似看成一个矩形,且满足 ,若盲区 的长度是 米, 则车宽 的长度为( )米.A. B. C. D. 【答案】D 【分析】本题考查了相似三角形的应用,矩形的性质,过点 作 ,垂足为 ,交 于点 ,根 据题意,设 米,由 得, ,证明 ,得出 ,根据 列出方程,解方程即可求解. 【详解】解:如图,过点 作 ,垂足为 ,交 于点 , 则 ,设 米, 由 得, , ∵四边形 是矩形, ∴ , ∴ , ∴ , 即 , ∴ , ∵ , ∴ , 解得, ,故选:D. 5.(2023上·四川宜宾·九年级校考阶段练习)我国古代数学著作《九章算术》中的“井深”问题:“今有 井径五尺,不知其深,立五尺木于井上,从木末望水岸,入径四寸,问井深几何?”,它的题意是:如图 尺, 尺,问井深 是多少.如图,设井深为 尺,所列方程正确的是( ) A. B. C. D. 【答案】A 【详解】根据题意可知 尺, , ∴ , ∴ , ∴ , 故选: . 【分析】根据 ,得出 ,再根据相似三角形的性质即可求解. 【点睛】此题考查了相似三角形的判定和性质,熟练掌握相似三角形的判定定理是解题的关键. 6.(2023上·福建泉州·九年级统考期中)如图,某人拿着一把分度值为厘米的刻度尺,站在距电线杆30 的地方,手臂向前伸直,将刻度尺竖直,看到刻度尺上7 的长度恰好遮住电线杆.已知臂长为70 ,则电线杆的高是( ) A.3 B.4 C.5 D.6【答案】A 【分析】本题考查了相似三角形的应用.熟练掌握相似三角形中高的比等于相似比是解题的关键. 如图,由题意知, , , , , , ,则 ,根据 ,即 ,计算求解即可. 【详解】解:如图,由题意知, , , , , , , ∴ , ∴ ,即 ,解得, , 故选:A. 7.(2022上·江西景德镇·九年级统考期中)两千多年前,我国学者墨子和他的学生做了小孔成像的实验. 他们的做法是:在一间黑暗的屋子里,一面墙上开一个小孔,小孔对面的墙上就会出现外面景物的倒像. 小宇在学习了小孔成像的原理后,利用如图所示装置来观察小孔成像的现象.已知一根点燃的蜡烛距小孔 ( ) ,光屏在距小孔 处,小宇测得蜡烛的火焰高度为 ,则光屏上火焰所成像的高度为 ( ) A. B. C. D. 【答案】B 【分析】画出图像,根据“相似三角形对应高的比等于相似比”列比例式即可求出光屏上火焰所成像的高 度. 【详解】解:如图,设蜡烛的高度为线段 ,蜡烛的像为 , 于C, 于 ,则 , .由题知 , , , , , 解得 , 即光屏上火焰所成像的高度为 . 故选:B 【点睛】本题主要考查了利用“相似三角形对应高的比等于相似比”解决实际问题.熟练掌握这一性质是 解题的关键. 8.(2023上·山西阳泉·九年级统考期末)如图,左、右并排的两棵大树的高分别为 , , 两树底部的距离 ,王红估计自己眼睛距地面1.6m.她沿着连接这两棵树的一条水平直路l从左向 右前进,在前进的过程中,她发现看不到右边较高的树的顶端C.此时,她与左边较低的树 的水平距 离( ) A.小于8m B.小于9m C.大于8m D.大于9m 【答案】A 【分析】连接 并延长交 于点N,过N作 于点M,设 ,证明 ,由相似 三角形的性质即可求得x的值,从而确定答案. 【详解】解:如图,连接 并延长交 于点N,过N作 于点M,∵ , 均垂直于直线 , ∴ , ∴ , ; 由题意知,四边形 是矩形,则 ; 设 ,则 , ∵ , ∴ , ∴ , 即 , 解得: ; 当王红刚好看到右边较高的树的顶端C时,她与左边较低的树 的水平距离为 ,当她看不到较高的树 的顶端C时,则她与左边较低的树 的水平距离应小于 ; 故选:A. 【点睛】本题考查了相似三角形的实际应用,正确理解题意,灵活利用相似三角形的性质是解题的关键. 9.(2023上·浙江杭州·九年级校考期中)如图,某校宣传栏BC后面12米处种有一排与宣传栏平行的若干 棵树,即 ,且相邻两棵树的间隔为2米,一人站在距宣传栏前面的A处正好看到两端的树干,其 余的树均被宣传栏挡住.已知 , 米, 米,该宣传栏后 处共有 棵树. (不计宣传栏的厚度).【答案】26 【分析】根据 ,得到 ,根据相似三角形的相似比等于对应高的比即可求解线段 的长度,根据“树的棵数=间隔数+1”,求得树的棵数. 本题主要考查了相似三角形性质的应用——植树问题.解题时关键是熟练掌握相似的三角形的判定和性质, 树的棵数与间隔数的关系. 【详解】如图,设 的延长线交 于点G, ∵ , , ∴ , , ∴ , 又 , , , ∴ , ∴ , ∴ , ∵ (棵), 即 处共有26棵树, 故答案为:26. 10.(2023上·四川成都·九年级校考期中)在路灯下,小明的身高如图中线段 所示,他在水平地面上 的影子如图中线段 所示,小亮的身高如图中线段 所示,路灯灯泡在射段 上 , , 三点共 线).若两人的身高均为 ,他们相距 ,灯光下的影子长分别为 和 ,则灯泡的高度为 m. 【答案】 【分析】此题考查了相似三角形的应用,熟记相似三角形的判定与性质是解题的关键.根据相似三角形的判定与性质求解即可. 【详解】解:如图, , , , , , , , , , , , , , , , , , , , 故答案为: . 11.(2023上·山东青岛·九年级统考期中)如图,平行于地面的圆桌正上方有一个灯泡(看作一个点),它 发出的光线照射桌面后,在地面上形成圆形阴影,经测量得,地面上圆形阴影的半径比桌面半径大0.5米, 桌面的直径为2米,桌面距离地面的高度为1.5米,则灯泡到桌面的距离为米 . 【答案】3 【分析】本题主要考查了相似三角形的判定与性质,先根据题意画出几何模型如图, 米、(米)、 米、 ,可得 ,即 ,然后将相关数据代 入即可解答. 【详解】解:构造几何模型如图: 依题意知: 米, (米), 米, ∵ , ∴ ∴ ,即 ,解得: , 故:灯泡距离桌面3米. 故答案为:3. 12.(2023上·广西桂林·九年级校考期中)如图,有一块三角形余料ABC,它的边 ,高 ,现在要把它加工成长与宽的比为 的矩形零件 ,要求一条长边在 上,其余两个 顶点分别在 , 上,则矩形 的周长为 cm. 【答案】 【分析】此题主要考查了相似三角形的应用,直接利用相似三角形的判定与性质得出 ,进而得 出 , 的长,即可得出答案. 【详解】 矩形 中, , , ∴ , , , ∵ ,, , ∵矩形零件 的长与宽的比为 , 设 , ,则 , , , 解得: , , , 矩形 的周长为: . 故答案为: . 13.(2023上·安徽合肥·九年级校联考期中)如图,比例规是一种画图工具,它由长度相等的两脚 和 交叉构成.利用它可以把线段按一定的比例伸长或缩短.如果把比例规的两脚合上,使螺丝钉固定在 刻度3的地方(即同时使 , ),然后张开两脚,使A,B两个尖端分别在线段a的两 个端点上,当 时, 的长为 . 【答案】5.4 【分析】本题考查的是相似三角形的应用,首先根据题意利用两组对边的比相等且夹角相等的三角形是相 似三角形判定相似,然后利用相似三角形的性质求解. 【详解】解: , , , , , , . 故答案为:5.4.14.(2023上·江苏泰州·九年级统考期中)早在西汉时期,我国天文学家就提出了一种测量日高的公式 ——“重差术”.如图,用长度为 的杆子(“表”)在间距为 的两个地点测日影,测得影长分别为 、 ,用这种方式计算出的日高公式 .(用 、 、 、 的代数式表示) 【答案】 【分析】本题主要考查了相似三角形的判定与性质,根据 , ,即: , 可得 ,同理 ,可得 ,即: ,则有 ,问题随之得解. 【详解】如图, 根据题意有: , , , , , , , ,∴ , , ∴ , ∴ , ∴ ,即: , ∴ , 同理 , ∴ ,即: , ∴ , ∵ , ∴ , ∴ , 故答案为: . 15.(2023上·山东青岛·九年级统考期中)如图,小李身高 ,在路灯O的照射下,影子不全落 在地面上.小李离路灯的距离 ,落在地面上影长 ,留在墙上的影高 ,则路灯 高为 . 【答案】【分析】本题考查了相似三角形的判定和性质,正确画出辅助线,构造相似三角形,根据相似三角形对应 边成比例解题是关键.过点D作 于点F, 交 于点E,通过证明 ,得出 ,即 ,即可求解. 【详解】解:过点D作 于点F, 交 于点E, ∵ , ∴四边形 、四边形 均为矩形, ∴ , , , ∴ , , ∵ , ∴ , ∴ , ∴ ,即 , 解得: , ∴ , 故答案为: . 16.(2023上·河北邢台·九年级统考期中)有五本形状为长方体的书放置在方形书架中,如图所示,其中 四本竖放,第五本斜放,点 正好在书架边框上,每本书的厚度为 ,高度为 ,书架宽 为 . (1)(2) 【答案】 【分析】本题考查了相似三角形的判定与性质、一元二次方程的应用;先根据相似三角形的判定证出 ,再根据相似三角形的性质可得 ,设 ,从而可得 ,然后在 中,利用勾股定理建立方程,解方程即可得. 【详解】解:由题意得: , , , , 在 和 中, , , , 设 ,则 , ∴ , 解得 , 在 中, ,即 , 解得 或 (不符题意,舍去), 即 , 故答案为: , . 17.(2023上·上海黄浦·九年级统考期中)如图,小红晚上由路灯 下的 处走到 处时,测得影子 的长为1米,继续往走2.5米到达 处时,测得影子 的长为2米,已知小明的身高是1.5米,那么路灯离地面的高度 的长为 米. 【答案】 【分析】由 ,可得 , ,解得, , ,则 ,由 ,代入可求 . 【详解】解:∵ , ∴ , , 解得, , , ∴ , ∵ , ∴ , 故答案为: . 【点睛】本题考查了相似三角形的应用.解题的关键在于熟练掌握: . 18.(2023上·四川成都·九年级成都嘉祥外国语学校校考阶段练习)如图,身高 米的小明( )在太 阳光下的影子 长 米,此时,立柱 的影子一部分是落在地面的 ,一部分是落在墙 上的 . 若量得 米, 米,则立柱 的高为 米. 【答案】【分析】将太阳光视为平行光源,可得 , ,即可得 的值,故计算 即可. 【详解】如图所示,过 点作 平行线交 于点 ,过 点作 平行线交 于点 , , , , , , , , . 故答案为: . 【点睛】本题考查了相似三角形的判断即性质,由太阳光投影判断出平行关系进而求得相似是解题的关键. 19.(2023下·江苏苏州·八年级校考阶段练习)瑞光塔,位于江苏省苏州市区西南隅盘门内,始建于北宋 景德元年.某数学兴趣小组决定利用所学知识测量瑞光塔的高度,如图2,瑞光塔的高度为 ,在地面 上取E,G两点,分别竖立两根高为 的标杆 和 ,两标杆间隔 为 ,并且瑞光塔 , 标杆 和 在同一竖直平面内.从标杆 后退 到D处(即 ),从D处观察A点,A、F、 D三点成一线;从标杆 后退 到C处(即 ),从C处观察A点,A、H、C三点也成一线. 已知B、E、D、G、C在同一直线上, , , ,请你根据以上测量数据,帮助兴 趣小组求出瑞光塔 的高度 (结果精确到 ).【答案】 【分析】设 ,则 ,证明 , 得到 , ,根据 ,得到 ,解方程即可得到答案. 【详解】解:设 ,则 , , , , , , , , , , , , 即 , 解得: , 经检验, 是原方程的解, , , 故答案为: . 【点睛】本题考查了相似三角形的实际应用,解题的关键是学会利用参数构建方程解决问题及熟练掌握三 角形相似比的灵活运用. 20.(2023上·黑龙江大庆·九年级校考开学考试)兴趣小组的同学要测量树的高度.在阳光下,一名同学 测得一根长为 米的竹竿的影长为 米,同时另一名同学测量树的高度时,发现树的影子不全落在地面上, 有一部分落在教学楼的第一级台阶上,测得该影子的长为 米,一级台阶高为 米,如图所示,若此时落在地面上的影长为 米,则树高为 【答案】 【分析】现根据题意画出几何图形,延长 交 于 , , , ,易得 , ,再根据在同一时刻物高与影长的比相等,得到 ,从而可以 算出 ,然后计算 即可. 【详解】解:如图, 表示树高, 表示树在地上的影长, 表示树在台阶上的影长, 为第一级 台阶的高,延长 交 于 , , , ,易得 为矩形, , , , , , , 故答案为: . 【点睛】本题考查了相似三角形的应用:通常利用相似三角形的性质即相似三角形的对应边的比相等,熟 练画出几何模型是解题的关键. 21.(2023·山东潍坊·统考中考真题)在《数书九章》(宋·秦九韶)中记载了一个测量塔高的问题:如图 所示, 表示塔的高度, 表示竹竿顶端到地面的高度, 表示人眼到地面的高度, 、 、 在同一平面内,点A、C、E在一条水平直线上.已知 米, 米, 米, 米, 人从点F远眺塔顶B,视线恰好经过竹竿的顶端D,可求出塔的高度.根据以上信息,塔的高度为米. 【答案】 / 【分析】如图,过 作 于 ,交 于 ,可得 ,证明 ,可得 ,可得 ,从而可得答案. 【详解】解:如图,过 作 于 ,交 于 , 则 , , , , ∴ , ∵ , ∴ , ∴ , ∴ ,解得: ,经检验符合题意; ∴ (米); 故答案为: 【点睛】本题考查的是相似三角形的实际应用,作出合适的辅助线构建相似三角形是解本题的关键. 22.(2023下·江苏·八年级统考期末)两千四百多年前,我国学者墨子就在《墨经》中记载了小孔成像实验的做法与成因,图1是小孔成像实验图,抽象为数学问题如图2: 与 交于点O, ,若点 O到 的距离为 ,点O到 的距离为 ,蜡烛火焰 的高度是 ,则蜡烛火焰倒立的像 的高度是 . 【答案】 / / 【分析】根据相似三角形的性质,进行计算即可得到答案. 【详解】解:根据题意可得: ∵ , ∴ , ∵点O到 的距离为 ,点O到 的距离为 , ∴由相似三角形对应高之比是相似比可得: , , , 故答案为: . 【点睛】本题考查了相似三角形的判定与性质的实际应用,解决此问题的关键在于正确理解题意的基础上 建立数学模型,把实际问题转化为数学问题. 23.(2023·浙江·统考一模)图1是一种可调节桌面画架,画架侧面及相关数据如图2所示. 是底座 上一固定支点,点 在滑槽 内滑动,支杆 长度不变.已知 ,当 从点 出发滑向终点 , 从 逐渐增大至 ,则支杆 的长为 cm,若点 到 的距离为 ,则 cm.【答案】 17 【分析】当 时,点 与点 重合,根据线段和差定义得 ;当 时, 点 与点 重合,利用勾股定理可得 ,进而求出 的长;若点 到 的距离为 , 过点 作 于 , 过点 作 于 ,根据勾股定理求出 的长,设 ,再根据相 似三角形的性质得出 , , ,在 中,利用勾股定理可得 关于 的一元二次方程 ,解方程可得的长,进而求出 的长. 【详解】当 时,点 与点 重合,此时有 , , ; 当 时,点 与点 重合, 由勾股定理得 , , ,, . 若点 到 的距离为 ,过点 作 于 , 过点 作 于 , , , 由题意 , , . , , , , . 设 , , , , , , , , (舍去), , , . 故答案为:17, .【点睛】本题主要考查了相似三角形的性质与判定,勾股定理的应用,添加适当的辅助线,构造合适的直 角三角形是解本题的关键. 24.(2023上·江苏南通·九年级统考期末)《海岛算经》中记载:“今有望海岛,立两表齐高三丈,前后 相去千步,令后表与前表参相直,从前表却行一百二十三步,人目着地,取望岛峰,与表末参合.从后表 却行一百二十七步,人目着地,取望岛峰,亦与表末参合.问岛高几何.”其大意是:如图,为了求海岛 上的山峰 的高度,在 处和 处树立高都是3丈 丈 步)的标杆 和 , , 相隔1000步, 并且 , 和 在同一平面内,从 处后退123步到 处时, , , 在一条直线上;从 处后退 127步到 处时, , , 在一条直线上,则山峰的高度 为 步. 【答案】1255 【分析】先证明 ,利用相似比得到 ①,再证明 得到 , 即 ②,所以 ,接着利用比例的性质求出 ,然后计算 的长. 【详解】解:根据题意得 步, 步, 步, 步, , , ,即 ①, , , ,即 ②, 由①②得 , 即 ,, , , , (步), 即山峰的高度 为1255步. 故答案为:1255. 【点睛】本题考查了相似三角形的应用:通常利用相似三角形的性质即相似三角形的对应边的比相等计算 相应线段的长. 25.(2023上·辽宁阜新·九年级阜新实验中学校考期中)小文和小鑫利用阳光下的影子来测量教学楼顶部 旗杆的高.如图所示,在某一时刻,他们在阳光下,分别测得该教学楼 的影长 为12米, 的影长 为15米,小鑫的影长 为1.2米,其中O、C、D、F、G五点在同一直线上,A、B、O三点在同一直 线上,且 , .已知小鑫的身高 为1.8米,求旗杆的高 . 【答案】 米 【分析】本题考查相似三角形的判定与性质等知识,解题的关键掌握相似三角形的判定,属于中考常考题 型.先证明 ,列比例式可得 的长,再证明 ,可得 的长,最后由线 段的差可得结论. 【详解】解:∵ , ∴ , ∵ , ∴ , ∴ ,即 , ∴ , ∵ , . ∴ , ∴ , ∴ , 即 , ∴ , ∴ (米) 26.(2023上·辽宁丹东·九年级校考期中)如图,晚上小丽由路灯 走向路灯 ,当她行至点F处时, 发现她在路灯 下的影长为 ,且影子的顶端恰好在B点,接着她又走了 至点H处,此时她在路 灯 下的影子的顶端恰好在D点,已知小丽的身高为 ,路灯 的高度为 .(小丽与路灯 , 在同一平面内) (1)请在图中画出路灯 ; (2)计算路灯 的高度. 【答案】(1)见解析 (2) 【分析】本题考查了相似三角形的应用.熟练掌握相似三角形的判定与性质是解题的关键. (1)连接 并延长,交过点 且垂直于 的直线于 , 即为所求; (2)由题意知, ,证明 ,则 ,求 , ,证明 ,则 ,求 即可.【详解】(1)解:如图, 即为所求; (2)解:由题意知, , ∵ , ∴ , ∴ ,即 , 解得 , ∴ , ∵ , ∴ , ∴ ,即 , 解得 , ∴路灯 的高度为 . 27.(2023上·河南郑州·九年级河南省实验中学校考期中)每年秋季,校园里的银杏路是学校最为靓丽的 条风景线,吸引着大量的师生驻足观赏;数学兴趣小组成员决定运用数学知识测量出一棵银杏树的高度, 于是他们利用镜子和皮尺,设计如图所示的测量方案;把镜子放在离银杏树8米的点E处,然后观测者沿 着直线 后退到点D,这时恰好在镜子里看到树梢顶点A,再用皮尺量得点D与点E之间的距离为2米, 已知观测者 身高为1.75米,则银杏树 高约是多少米? 【答案】 【分析】本题考查相似三角形的应用,根据镜面反射的性质求出 ,再根据其相似比解答. 【详解】根据题意,易得 , ,则 ,则 ,即 , 解得: , 答:银杏树高AB约是 . 28.(2023上·河南周口·九年级统考期中)商丘古城位于河南省商丘市,它像一颗明珠,镶嵌在豫东大地 上.某天小明站在地面上给站在古城城楼上的小亮照相时发现:小明的眼睛、凉亭顶端、小亮头顶三点恰 好在一条直线上(如图).已知小明的眼睛离地面的距离 米,凉亭顶端离地面的距离 米, 小明到凉亭的距离 米,凉亭离城楼底部的距离 米,小亮身高1.7米, 三点在同一水 平线上.请根据以上数据求出城楼的高度. 【答案】9.5米 【分析】本题考查了相似三角形的性质与判定掌握相似三角形的性质与判定是解题的关键; 过点 作 于点 ,交 于点 ,进而求得 ,根据 ,得出 ,根据 相似三角形的性质,列出比例式求得 ,进而即可求解. 【详解】解:如图,过点 作 于点 ,交 于点 . 依题意,得 , . , , ,即 , 解得 . , 城楼的高度为 (米). 29.(2023上·四川成都·九年级校考期中)文殊院与大慈寺、宽窄巷子一起并称为成都三大历史文化名城 保护街区,千佛和平塔就位于成都文殊院中.塔壁上铸999尊浮雕佛像,连同底层中央铜铸释迦牟尼佛像 1尊,共1000尊,故得名千佛塔(如图1).爱好文物的小航决定利用所学相似三角形的知识测量千佛和 平塔的高度.如图2,在地面 上取E,G两点,分别竖立两根高为 的标杆 和 ,两标杆间隔 为 ,并且古塔 ,标杆 和 在同一竖直平面内,从标杆 后退 到D处(即 ), 从D处观察A点,A,F,D在一直线上;从标杆 后退 到C处(即 ),从C处观察A点, A、H、C三点也成一线.已知B、E、D、G、C在同一直线上, , , ,请你根 据以上测量数据,帮助小航求出该千佛和平塔 的高度. 【答案】千佛和平塔 的高度为 【分析】本题考查了相似三角形的应用,设 ,由题意可证得 , , 得 , ,由 ,可得 ,进而列出关于 的方程,即可求出建筑物 的高度,根据相似三角形的性质得比例式,列出方程是解决问题得关键. 【详解】解:设 , ∵ , , , ∴ , , ∴ , , ∴ , , ∵ , ∴ ,∴ , 解得: ,经检验 符合题意, 则 , 解得: , 答:千佛和平塔 的高度为 . 30.(2023上·山西运城·九年级统考期中)小明和小王同学一起合作来测量某建筑物顶部旗杆的高.如图 所示,在某一时刻,他们在阳光下,分别测得该建筑物 的影长 为 米, 的影长 为 米,小 明的影长 为 米,其中 五点在同一直线上, 三点在同一直线上,且 , ,已知小明的身高 为 米, (1)求旗杆 的长度. (2)填空:本题将生活中一些无法直接测量物体高度的实际问题______成数学问题,利用______的知识给予 解决.通过对此问题的解决方案的探究,渗透数学______的思想,从而提高了我们解决实际问题的能力, 增强应用意识. (3)本题是利用什么方法来测量的,请再写出两个曾在课本上学过的测量不能直接测量物体高度方法的名称. 【答案】(1) 米; (2)转化,相似三角形,转化; (3)本题是利用阳光下的影子来测量的, 测量塘的宽度; 测量山的长度. 【分析】本题考查相似三角形的判定与性质等知识,根据 ,得到 ,求得 , 同理得到 ,即可得到 ,解题的关键掌握相似三角形的判定. 【详解】(1)解:根据题意得: , ∴ , ∵ , ∴ ,∴ , 即 , ∴ , 同理可得 , ∴ 米, 答:旗杆 的长度为 米. (2)本题将生活中一些无法直接测量物体高度的实际问题转化成数学问题,利用相似三角形的知识给予 解决.通过对此问题的解决方案的探究,渗透数学转化的思想,从而提高了我们解决实际问题的能力,增 强应用意识. 故答案为:转化,相似三角形,转化; (3)本题是利用阳光下的影子来测量的, 测量塘的宽度; 测量山的长度. 31.(2023上·河南周口·九年级统考期中)汽车盲区是指驾驶员位于正常驾驶座位置时(如图1),其视线被 车体遮挡而不能直接观察到的那部分区域.预防进入汽车盲区,能有效预防交通事故发生,提高学生避险 能力.小明在学习了交通安全知识后,对汽车盲区产生了兴趣.如图 ,是他研究的一个汽车盲区的示意 图, 为驾驶员的盲区,驾驶员的眼睛点 处与地面 的距离为 ,车宽 ,车头 近 似看成一个矩形,且满足 ,求汽车盲区 的长度. 【答案】 【分析】本题考查了相似三角形的应用,矩形的性质,过点 作 于点 ,交 于点 ,根据相 似三角形的性质列出比例式,即可求解. 【详解】解:如图,过点 作 于点 ,交 于点 ., , , 四边形 是矩形, , , , , , , , , , , , . 32.(2023上·陕西西安·九年级西安市曲江第一中学校考期中)李优和贺基旭想用所学知识测量旗帜的宽 度 ,他们进行了如下操作:如图,首先,李优在C处竖立一根标杆 ,地面上的点A、标杆顶端B 和点N在一条直线上, 米, 米, 米;然后,贺基旭手持自制直角三角纸板 , 使长直角边 与水平地面平行,调整位置,恰好在P点时点D、E、M在一条直线上, 米, 米, ,已知 ,点P、G、C、A在同一水平直线上,点N在 上,求旗帜的宽度 .【答案】旗帜的宽度 是 米 【分析】本题考查相似三角形的判定与性质,延长 交 于Q,则 , ,证明 和 ,可得 和 的值,最后由线段的和差可得结论.掌握相似三角形的 性质和判定是解本题的关键. 【详解】解:如图,延长 交 于Q, 则 , , , , , , , 即 , , 同理得: , , , , (米),答:旗帜的宽度 是 米. 33.(2023上·福建莆田·九年级校考阶段练习)学完了《图形的相似》这一章后,某中学数学实践小组决 定利用所学知识去测量一古建筑 的高度(如图 .如图2,在地面 上取 , 两点,分别竖立两根 高为 的标杆 和 ,两标杆间隔 为 ,并且古建筑 ,标杆 和 在同一竖直平面内, 从标杆 后退 到 处,从 处观察 点, , , 三点成一线;从标杆 后退 到 处,从 处观察 点, , , 三点也成一线.请根据以上测量数据,帮助实践小组求出该古建筑的高度. 【答案】该古建筑的高度为29米 【分析】本题考查了相似三角形的应用,设 ,由题意可知两组三角形相似,利用相似比找出关于 的方程,即可求出建筑物 的高度.利用相似三角形的判定与性质,列式求出 的值是解题的关键. 【详解】解:由题意可知, , , 由题意可知, , , , , 设 , ,解得 , 由 可得 ,解得 , 答:该古建筑的高度为29米. 34.(2023上·河南焦作·九年级校联考期中)阅读材料、完成探究. 数学活动:测量树的高度.在数学课上我们学过利用三角形的相似测高,在物理课我们学过光的反射定律.数学综合实践小组想利用 光的反射定律测量河流对岸一棵树的高度AB,测量的部分步骤和数据如下: ①如下图,在地面上的点C处放置了一块平面镜,小华站在 的延长线上,当小华从平面镜中刚好看到 树的顶点A时,测得小华到平面镜的距离 米,小华的眼睛E到地面的距离 米; ②将平面镜从点C沿 的延长线移动10米到点F处,小华向后移动到点H处时,小华的眼睛G又刚好在 平面镜中看到树的顶点A,这时测得小华到平面镜的距离 米,小华的眼睛G到地面的距离 米; ③已知A ,点B,C,D,F,H在同一直线上. (1)∵ , ∴ , ∴ , …… 可得 ______;(写比值) (2)利用以上信息,继续使用图形相似等有关知识计算树的高度 . 【答案】(1) (2) 【分析】本题主要考查了相似三角形的实际应用,解题的关键是学会设未知数,构建方程组解决问题 (1)根据相似三角形的性质得到 ,据此代入 的值即可得到答案; (2)设 米, 米,证明 得到 ,即 ,再由(1)所求得 到 ,解方程求出y的值,进而求出x的值即可得到答案.【详解】(1)解:∵ , ∴ , ∴ , , ∴ , 故答案为: (2)解:设 米, 米, 由(1)得 , ∵ , ∴ . ∴ , ∴ . ∴ , 解得 , ∴ 答:树的高度 为 . 35.(2023上·河北邢台·九年级校考期中)张师傅有一块如 的锐角三角形木料,其中 , 高 ,张师傅想把它加工成矩形零件 ,使一边在 上,其余两个顶点分别在边 、 上, 与 交于点H.(1)当点P恰好为 中点时, ______; (2)当四边形 为正方形时,求出这个零件的边长; (3)若这个零件的边 .则这个零件的长、宽各是多少? 【答案】(1)60 (2)这个零件的边长为 ; (3)矩形的长为 ,宽为 . 【分析】本题考查了相似三角形的应用. (1)根据 ,得到 ,利用相似三角形的性质可得到答案; (2)设正方形的边长为 ,根据 ,得到 ,得到对应高之比等于相似比, ,据此求解即可; (3)设矩形的宽为 ,则长为 ,然后根据相似三角形 ,列出比例关系式求解. 【详解】(1)解:∵四边形 为矩形, ∴ , ∴ , ∴ , ∵ 为 中点, ∴ , , ∴ ; 故答案为:60;(2)解:∵四边形 为正方形, ∴ , , 设正方形的边长为 ,则 , ∵ , ∴ , ∴ , ∴ , 解得 , 答:这个零件的边长为 ; (3)解:设矩形宽为 ,则长为 , 同理 , ∴ , ∴ , 解得 , , 故矩形的长为 ,宽为 . 36.(2023上·贵州贵阳·九年级统考期中)视力表对我们来说并不陌生,它蕴含着一定的数学知识.下面 我们以标准对数视力表为例,来探索视力表中的奥秘. 用硬纸板复制视力表中所对应的“E”,并依次编号为①,②,放在水平桌面上.如图所示,将②号“E”沿 水平桌面向右移动,直至从观测点O看去,对应顶点 , ,O在一条直线上为止.这时我们说,在 处用①号“E”测得的视力与在 处用②号“E”测得的视力相同. (1)探究图中 与 之间的关系,请说明理由; (2)若 ,①号“E”的测量距离 ,要使测得的视力相同,求②号“E”的测量距离 . 【答案】(1) ,见解析 (2) 【分析】本题考查了相似三角形的的应用. (1)根据题意证明 ,从而得到 ,即可得到 ; (2)把 代入 即可求解. 【详解】(1)解: . 由题意得 , ∴ , ∴ , , ;(2)解: , . . 答:②号“E”的测量距离是 . 37.(2023上·浙江绍兴·九年级校联考期中)如图是一位同学设计的用手电筒来测量某古城墙高度的示意 图.点P处放一水平的平面镜,光线从点A出发经平面镜反射后刚好到古城墙 的顶端C处,已知 , ,测得 米, 米, 米,求该古城墙的高度 . 【答案】 【分析】本题主要考查了相似三角形的应用举例,通过证明 ,得到 ,据此代值计 算即可. 【详解】解:∵ , , ∴ , 由镜面反射原理可得 , ∴ , ∴ ,即 , ∴ , ∴该古城墙的高度 为 . 38.(2023上·山西晋城·九年级统考期中)阅读下列材料,并完成相应任务. 周日的一天,我在一本数学课外书上看到这样一道题: 如图,为了测量河的宽度 ,小康所在的数学兴趣小组设计了如下测量方案:(1)小康站在河岸 的点B处立了一根1.5米长的标杆 ; (2)小明站河岸的另一端点D处,立了另一根1.8米长的标杆 ; (3)小英在点A处测得点A,B,D恰好在同一条直线上,点A,C,E恰好在同一条直线上,河岸 的 长为10米. 任务: (1)根据材料中的数据,求河的宽度 . (2)你还有其他测量方案吗?请画出图形,不必说明理由. 【答案】(1)河的宽度 为50米 (2)见解析 【分析】此题考查了相似三角形的应用,正确掌握相似三角形的判定定理解决问题是解题的关键. (1)根据平行线证明 ,得到 ,代值计算可得河的宽度 . (2)作“X”型,利用相似得到河的宽度 . 【详解】(1)解:∵ , ∴ , ∴ , ∴ , ∵ 米, 米, ∴ , 解得: 米, 答:河的宽度 为50米; (2)如图,在岸上选取点C,过河对岸点A作 ,过点C作 ,连接 使其过点B, ∵ ,∴ , ∴ ∴测量 ,通过相似可得河宽 的长度. 39.(2023上·福建泉州·九年级校联考期中)爱动脑筋的小明在学了相似三角形后,他回顾了八年级物理 课中学过的凸透镜成像规律,想弄明白其中原理,如;物距 、像距 和焦距 之间是否存在一定的联系? 为什么所成的像有时候会出现放大或缩小、正立或倒立、实像或虚像?能不能求出具体放大(或缩小)了 几倍?……于是乎他作了多次研究推理. (1)小明先取物距 ,然后画出光路图(如图1),其中 为物体,O为凸透镜 的光心,入射光 线 光轴,折射光线 经过焦点 , 为 所成的像.请根据光路图1,解答下列问题: ①当 时,物体经凸透镜折射后成__________(填“倒立”或“正立”),__________(填“放 大”或“缩小”)的____________(填“实像”或“虚像”). ②利用相似的知识,直接写出当 时物体成像时放大了__________倍; (2)小明在研究的过程中发现了物距 、像距 和焦距 之间在成实像时存在着关系: ,请以物距 时为例,请仿照(1)②的方法,在图2中画光路图证明这个关系式.【答案】(1)①倒立,放大,实像;②2倍 (2)见解析 【分析】本题考查了相似三角形的跨学科应用,解题的关键是: (1)①根据图像直接回答;②根据图像得到 , ,可得 , ,得到 , ,等量代换可得 ,整理得: ,继 而得到 ,可得结果; (2)由光路图得到 , , , , ,同(1)②可得 ,则 ,代入数据得到 ,变形整理可得结果. 【详解】(1)解:①当 时,物体经凸透镜折射后成倒立,放大的实像; ②由图可知: , , ∴ , , ∴ , , 即 , , ∴ , ∴ ,即 , ∴ ,∴ , ∴ ,即物体成像时放大了2倍; (2)由光路图可得: , , , , , ∴ , ∴ , , ∵ , ∴ ,即 , ∴ , ∴ , ∴ . 40.(2023上·福建泉州·九年级校联考期中)阅读下列材料,回答问题: 任务:测量福建闽江河的一条支流的宽度. 工具: 米长的标杆和 米长的标杆,皮尺(有刻度)等. 小康所在的数学兴趣小组利用皮尺、标杆测出了闽江河的一条支流的宽度 ,测量过程如下: (1)小康站在河岸 的一端点B处立了一根 米长的标杆 ( ); (2)小明站河岸的另一端点D处,立了另一根 米长的标杆 ( ); (3)小英在点A处测得点A,B,D恰好在同一条直线上,点A,C,E恰好在同一条直线上; (4)小康利用皮尺测出 米. 求解过程: ∵ , ,∴ .∵ ,∴ ,∴ . ∵ 米, 米, 米,设 , ∴ ① , 解得 ② , 答:闽江河的一条支流宽度为※※※米. (1)补全小康求解过程中①②缺失的内容. (2)小康求得闽江河的一条支流的宽度 用到的几何知识是______. (3)请你利用皮尺等工具,并利用相似三角形的知识设计一个与材料不同的测量方案,画出图形,并简要说 明一下(不必计算). 【答案】(1) , (2)相似三角形的判定与性质 (3)见解析 【分析】本题考查了相似三角形的应用.熟练掌握相似三角形的判定与性质是解题的关键. (1)按照步骤作答即可; (2)根据利用了相似三角形的判定与性质进行作答即可; (3)如图,设计使 可测量, , ,通过 ,可计算求解 的值. 【详解】(1)解:∵ , , ∴ . ∵ , ∴ , ∴ . ∵ 米, 米, 米,设 , ∴ , 解得 , 答:闽江河的一条支流宽度为15米. 故答案为: , ; (2)解:由题意知,用到的几何知识是相似三角形的判定与性质,故答案为:相似三角形的判定与性质; (3)解:如图,在河岸一边,确定恰好在同一条直线上的三点B,D,C,利用皮尺测 、 的长,在 端点C处,立一根 米长的标杆 ( ),在B点正对岸点A处( ),测点A,D,E 恰好在同一条直线上;由 可证 ,计算求解即可; 41.(2023上·陕西榆林·九年级校考期中)如图,小雅同学正在使用手电筒进行物理光学实验,地面上从 左往右依次是墙、木板和平面镜,手电筒的灯泡在点G处,距离地面的高度 m,到平面镜的水平 距离 m,手电筒的光从平面镜上点B处反射后,恰好经过木板的边缘点F,落在墙上的点E处, 点F到地面的高度 m,墙到木板的水平距离为 m,已知光在镜面反射中的入射角等于反射 角,图中点A,B,C,D在同一水平面上,求灯光反射到墙面上的高度 . 【答案】灯光反射到墙面上的高度 为 m. 【分析】本题考查的是相似三角形的应用,跨学科的综合题,先证明 ,可得 ,再证 明 ,再结合相似三角形的性质可得答案. 【详解】解:∵光在镜面反射中的入射角等于反射角, ∴ ∵ , ∴ , ∴ , ∴ , 解得 .由题意,得 , ∴ , , ∴ , ∴ , 即 , 解得 . 答:灯光反射到墙面上的高度 为 . 42.(2023上·河南鹤壁·九年级校联考期中)阅读下面材料,完成学习任务. 数学活动:测量树的高度. 在物理学中我们学过光的反射定律,数学综合实践小组想利用光的反射定律测量池塘对岸一棵树的高度 ,测量和计算的部分步骤如下: ①如图,在地面上的点 处放置了一块平面镜,小华站在 的延长线上,当小华从平面镜中刚好看到树 的顶点 时,测得小华到平面镜的距离 ,小华的眼睛 到地面的距离 ; ②将平面镜从点 沿 的延长线移动 到点 处,小华向后移动到点 处时,小华的眼睛 又刚好在 平面镜中看到树的顶点 ,这时测得小华到平面镜的距离 ; ③计算树的高度 :设 , . , , . 任务:请你根据材料中得到的测量数据和计算步骤,将剩余的计算部分补充完整. 【答案】 米,见解析 【分析】根据题意得出 ,利用相似三角形的性质得出 , 的长进而得出答案. 【详解】解:设 米, 米. ∵ , ∴ ,∴ , ∴ . ∵ , ∴ . ∴ , ∴ . ∴ , 解得 . 把 代入 , 得 , 解得 . 答:树的高度 为 . 【点睛】本题考查相似三角形的应用,解题的关键是学会设未知数,构建方程组解决问题. 43.(2023上·福建泉州·九年级校联考期中)老师要求小明和小华用两种方法测量操场上国旗杆顶端 的高度(图1).由于阴天,不能利用阳光照射的影子测量,而老师只提供工具:一卷皮尺(可直接测量 任意可到达的两点间距离),一个自制的直角三角板,一面小平面镜. 小明同学的测量方法:选用自制的直角三角形纸板 及皮尺测量旗杆的高度 (图2),他调整自己 的位置,设法使斜边 保持水平,并且当边 与点 在同一直线上 时停下,让小华帮忙测量, 其测量及求解过程如下;(i)测量过程:(图2)分别测得两条直角边 , ,测得小明眼睛离地面的高度 , . (ii)求解过程: 由操作得: ,又 ① ;∴ , 即 ② , ③ =④ ; 国旗杆顶端的高度 为*** , (1)请补全小明求解过程中①②③④所缺的内容; (2)小华同学选择了皮尺和小镜子,请您帮忙小华设计一种测量方案,画出图形,仿照小明的测量方法,写 出测量方法、测量过程、求解过程(测量得到的长度用 、 、 ……表示). 【答案】(1)① ,② ,③ ,④ (2)国旗杆顶端的高度 为 ,过程见解析 【分析】本题考查了作图的应用和设计,掌握三角形相似的判定定理和性质是解答本题的关键. (1)根据三角形相似的性质,对应边成比例,得到 ,即 ,再求出 的值; (2)根据平面镜原理,设计图形,再根据三角形相似的性质,求出国旗杆顶端的高度 .【详解】(1)解:由操作得: , 又 , ∴ , 即 , , , 国旗杆顶端的高度 为 . 故答案为:① ,② ,③ ,④ ; (2)设计方法如下:将小镜子放在操场的一个适当位置,调整自己的位置,设法使脚(点 )、镜子 (点 )与国旗杆底部(点 )保持在同一直线上,并且当眼睛(点 )恰好看到国旗杆顶端(点 )时 停下,可让小明帮忙测量,测量及求解过程如下: (i)测量过程:(图 )分别测得 , , 测得小明眼睛离地面的高度 . (ii)求解过程: 由操作得: , , 易得 , , 即国旗杆顶端的高度 为 . 44.(2023上·陕西西安·九年级统考期中)为了测量学校旗杆上旗帜的宽度 ,如图,点P、G、C、A 在同一水平直线上, ,先是小红在C处竖立一根标杆 ,地面上的点A、标杆顶端B 和点N在一条直线上(N在 上), 米, 米, 米;后是贺小明在P处手持自制直 角三角纸板 ,其中 米, 米,使长直角边 与水平地面平行,调整位置, 恰好在P点时点D、E、M在一条直线上, 米, 米,请你根据两次测量的结果,求出旗 帜的宽度 . 【答案】1.3米 【分析】延长 交 于Q,则 , ,证明 和Δ ,可 得 和 的值,最后由线段的和差可得结论. 【详解】解:如图,延长 交 于Q,则 , , , ∵ , , ∴ , ∴ , , ∴ , ∴ ,即 , 解得 ,同理得: , ∴ ,即 , 解得 , ∴ (米). 答:旗帜的宽度 是1.3米. 【点睛】本题考查相似三角形的应用,掌握相似三角形的性质和判定是解本题的关键. 45.(2023上·辽宁沈阳·九年级统考期中)如图1是小红家阳台上放置的一个晒衣架,如图2是晒衣架一 端横切面的示意图,立杆 相交于点 两点立于地面,经测量; , , ,现将晒衣架完全稳固张开,此时扣链 成一条线段, . (1)求证: . (2)小红的连衣裙穿在衣架后的总长度达到 ,垂挂在晒衣架上是否会拖落到地面?请通过计算说明理 由. 【答案】(1)见解析 (2)会拖落到地面,理由见解析 【分析】本题主要考查了相似三角形的判定与性质、勾股定理、等腰三角形的性质、三角形内角和定理, 熟练掌握以上知识点并灵活运用是解此题的关键. (1)根据等边对等角结合三角形内角和定理得出 , ,从而得到 ,即可得证; (2)首先证明 ,进而得出 的长即可. 【详解】(1)证明: 相交于点 ,, , , 同理可证: , , ; (2)解:小红的连衣裙会拖落到地面; 在 中, , 过点 作 于点 , 同(1)可证: , ,则 , ∴ , , 所以小红的连衣裙垂挂在衣架后的总长度 晒衣架的高度 .小红的连衣裙会拖落到地面. 46.(2023上·浙江宁波·九年级校联考期中)某校社会实践小组为了测量花丛中路灯 的高度,在地面 上 处垂直于地面竖立了高度为 的标杆 ,这时地面上的点 ,标杆的顶端点 ,路灯的顶端点 正好在同一直线上,测得 ,将标杆向后平移 到达点 处,这时地面上的点 ,标杆的顶端点 ,路灯的顶端点 正好在同一直线上,这时测得 , (1)求证: ;(2)请你根据以上数据,计算花丛中路灯 的高度. 【答案】(1)见解析 (2) 米 【分析】本题考查相似三角形的应用,解题的关键是: (1)首先证明 , ,得到 , ,等量代换可得 ; (2)列出方程求出 ,由 可得结果. 【详解】(1)解:由题意可得:∵ , ∴ , ∴ , ∵ , ∴ , ∴ , ∵ , ∴ ; (2)∵ , , ∴ , ∴ ,经检验符合题意, ∵ , ∴ , ∴ ,经检验符合题意; 答:花丛中路灯 的高度 米. 47.(2023上·广东茂名·九年级校考期中)综合与实践 主题:利用相似三角形的有关知识测量建筑物的高度. 素材:平面镜、标杆、皮尺等测量工具.步骤1:如图,站在B处,位于点B正前方3米点C处有一平面镜,通过平面镜刚好可以看到建筑物的顶 端M的像,此时测得眼睛到地面的距离 为1.5米; 步骤2:在F处竖立了一根高2米的标杆 ,发现地面上的点D、标杆顶点E和建筑物顶端M在一条直线 上,此时测得 为6米, 为4米. 猜想与计算:已知 ,点N、C、B、F、D在同一条直线上,且点N、C之 间存在障碍物,无法直接测量. 请根据以上所测数据: (1)直接写出平面镜到建筑物的距离 与建筑物高度 之间的数量关系; (2)计算建筑物的高度 (平面镜大小忽略不计). 【答案】(1) (2)建筑物 的高度为10米 【分析】本题考查了相似三角形的应用.熟练掌握相似三角形的判定与性质是解题的关键. (1)由题意得: ,证明 ,则 ,即 ,解得, ; (2)设 米,则 米,由 , ,可得 ,证明 ,则 ,即 ,计算求解即可. 【详解】(1)解:由题意得: , ∵ , ∴ , ∴ , ∴ ,即 ,解得, , ∴ ; (2)解:设 米,则 米, ∵ , ,∴ , ∵ , ∴ , ∵ , ∴ , ∴ ,即 ,解得: , 答:建筑物 的高度为10米. 48.(2023上·广东佛山·九年级校考期中)综合实践活动 主题:测量墙面高度 素材:手电筒,木板,平面镜,直尺 步骤:如图,小颖同学手持电筒从点 处发射光线,通过水平放置在地面上的平面镜 反射后,经过垂直 于地面放置的木板上边缘点 ,落在垂直于地面的墙面 处.小颖测得 处离地面的高度 , 处离木板底端E处的长度 , 处到墙面底端 处的长度 ,木板长度 . 计算:已知光通过平面镜反射中入射角等于反射角,图中点 , , , 在同一水平线上.求点 到地 面的高度 . 【答案】 米. 【分析】此题考查了相似三角形的应用,利用相似三角形的判定与性质即可得出 和 的长,杰诺瑞即 可求解,熟练掌握相似三角形对应边成比例是解题的关键. 【详解】解:根据光反射可知: , ∵ , , ∴ , , ∴ , ∴ , ∵ , ∴ ,∴ ,则 , 由 , ∴ , ∴ ,即 , 则 , ∴点 到地面的高度为 米. 49.(2023上·安徽亳州·九年级统考阶段练习)如图,在 的边长为1的小正方形网格中, 的三 个顶点都在格点上. (1)直接写出 的形状______; (2)若 垂足为D,证明: ; (3)拓展应用:在A时测得某树(垂直于地面)的影长为4米,C时又测得该树的影长为16米,若两次日照 的光线互相垂直,则树的高度为______米.(直接写出结果) 【答案】(1)直角三角形 (2)见解析 (3) 【分析】(1)利用勾股定理求得 , 的长,再利用勾股定理的逆定理即可求解; (2)证明 ,即可证明 ; (3)利用(2)的结论即可求解. 【详解】(1)解:∵ , , , , ∴ 是直角三角形,故答案为:直角三角形; (2)证明:由(1)知 是直角三角形,且 , ∵ , ∴ , ∴ , ∴ , ∴ ; (3)解:由题意得 , , 米, 米, 由(2)得 , ∴ , ∴ 米, ∴树的高度为 米. 故答案为: . 【点睛】本题考查了勾股定理及其逆定理,相似三角形的判定和性质,解题的关键是灵活运用所学知识解 决问题. 50.(2023上·福建漳州·九年级校联考期中)为了加强视力保护意识,欢欢想在书房里挂一张测试距离为 的视力表,但两面墙的距离只有 .在一次课题学习课上,欢欢向全班同学征集“解决空间过小,如何 放置视力表问题”的方案,其中甲、乙两位同学设计方案新颖,构思巧妙. 甲 乙 图 例 使用平面镜成像的原理来解决房间小的问题.如 如图①是测试距离为 的大视力表,可以用硬 图,在相距 的两面墙上分别悬挂视力表( 纸板制作一个测试距离为3m的小视力表②.通过 )与平面镜( ),由平面镜成像原理,作出了 方 测量大视力表中“ ”的高度( 的长),即 光路图,通过调整人的位置,使得视力表 的 案 可求出小视力表中相应的“ ”的高度( 的 上、下边沿 , 发出的光线经平面镜 的上下 长) 边沿反射后射入人眼 处,通过测量视力表的全长 ( )就可以计算出镜长 (1)甲生的方案中如果大视力表中“ ”的高是 ,那么小视力表中相应“ ”的高是多少? (2)乙生的方案中如果视力表的全长为 ,请计算出镜长至少为多少米.【答案】(1) (2) 【分析】本题考查相似三角形的应用,掌握相似三角形的判定及性质是解题的关键. (1)根据两组对角相等证明 ,再根据相似三角形对应边成比例列式求解; (2)作 于点D,延长线交 于点E,先证 ,再根据相似三角形的相似比等于 高的比列式求解. 【详解】(1)解:由题意知 , , , 又 , , , 由题意知 , , , , , 解得 , 即小视力表中相应“ ”的高是 (2)解:如图,如图,作 于点D,延长线交 于点E, 由题意知, , , , , , , , , ,由题意知 , , , , , , 镜长至少为 .