当前位置:首页>文档>专题突破(七)化学反应速率和化学平衡图像的分析(教案)_05高考化学_新高考复习资料_2022年新高考资料_2022届一轮复习讲练结合_第七章化学反应速率和化学平衡

专题突破(七)化学反应速率和化学平衡图像的分析(教案)_05高考化学_新高考复习资料_2022年新高考资料_2022届一轮复习讲练结合_第七章化学反应速率和化学平衡

  • 2026-04-09 23:04:15 2026-03-28 02:37:25

文档预览

专题突破(七)化学反应速率和化学平衡图像的分析(教案)_05高考化学_新高考复习资料_2022年新高考资料_2022届一轮复习讲练结合_第七章化学反应速率和化学平衡
专题突破(七)化学反应速率和化学平衡图像的分析(教案)_05高考化学_新高考复习资料_2022年新高考资料_2022届一轮复习讲练结合_第七章化学反应速率和化学平衡
专题突破(七)化学反应速率和化学平衡图像的分析(教案)_05高考化学_新高考复习资料_2022年新高考资料_2022届一轮复习讲练结合_第七章化学反应速率和化学平衡
专题突破(七)化学反应速率和化学平衡图像的分析(教案)_05高考化学_新高考复习资料_2022年新高考资料_2022届一轮复习讲练结合_第七章化学反应速率和化学平衡
专题突破(七)化学反应速率和化学平衡图像的分析(教案)_05高考化学_新高考复习资料_2022年新高考资料_2022届一轮复习讲练结合_第七章化学反应速率和化学平衡
专题突破(七)化学反应速率和化学平衡图像的分析(教案)_05高考化学_新高考复习资料_2022年新高考资料_2022届一轮复习讲练结合_第七章化学反应速率和化学平衡
专题突破(七)化学反应速率和化学平衡图像的分析(教案)_05高考化学_新高考复习资料_2022年新高考资料_2022届一轮复习讲练结合_第七章化学反应速率和化学平衡
专题突破(七)化学反应速率和化学平衡图像的分析(教案)_05高考化学_新高考复习资料_2022年新高考资料_2022届一轮复习讲练结合_第七章化学反应速率和化学平衡
专题突破(七)化学反应速率和化学平衡图像的分析(教案)_05高考化学_新高考复习资料_2022年新高考资料_2022届一轮复习讲练结合_第七章化学反应速率和化学平衡
专题突破(七)化学反应速率和化学平衡图像的分析(教案)_05高考化学_新高考复习资料_2022年新高考资料_2022届一轮复习讲练结合_第七章化学反应速率和化学平衡
专题突破(七)化学反应速率和化学平衡图像的分析(教案)_05高考化学_新高考复习资料_2022年新高考资料_2022届一轮复习讲练结合_第七章化学反应速率和化学平衡
专题突破(七)化学反应速率和化学平衡图像的分析(教案)_05高考化学_新高考复习资料_2022年新高考资料_2022届一轮复习讲练结合_第七章化学反应速率和化学平衡
专题突破(七)化学反应速率和化学平衡图像的分析(教案)_05高考化学_新高考复习资料_2022年新高考资料_2022届一轮复习讲练结合_第七章化学反应速率和化学平衡
专题突破(七)化学反应速率和化学平衡图像的分析(教案)_05高考化学_新高考复习资料_2022年新高考资料_2022届一轮复习讲练结合_第七章化学反应速率和化学平衡
专题突破(七)化学反应速率和化学平衡图像的分析(教案)_05高考化学_新高考复习资料_2022年新高考资料_2022届一轮复习讲练结合_第七章化学反应速率和化学平衡
专题突破(七)化学反应速率和化学平衡图像的分析(教案)_05高考化学_新高考复习资料_2022年新高考资料_2022届一轮复习讲练结合_第七章化学反应速率和化学平衡
专题突破(七)化学反应速率和化学平衡图像的分析(教案)_05高考化学_新高考复习资料_2022年新高考资料_2022届一轮复习讲练结合_第七章化学反应速率和化学平衡
专题突破(七)化学反应速率和化学平衡图像的分析(教案)_05高考化学_新高考复习资料_2022年新高考资料_2022届一轮复习讲练结合_第七章化学反应速率和化学平衡
专题突破(七)化学反应速率和化学平衡图像的分析(教案)_05高考化学_新高考复习资料_2022年新高考资料_2022届一轮复习讲练结合_第七章化学反应速率和化学平衡
专题突破(七)化学反应速率和化学平衡图像的分析(教案)_05高考化学_新高考复习资料_2022年新高考资料_2022届一轮复习讲练结合_第七章化学反应速率和化学平衡
专题突破(七)化学反应速率和化学平衡图像的分析(教案)_05高考化学_新高考复习资料_2022年新高考资料_2022届一轮复习讲练结合_第七章化学反应速率和化学平衡
专题突破(七)化学反应速率和化学平衡图像的分析(教案)_05高考化学_新高考复习资料_2022年新高考资料_2022届一轮复习讲练结合_第七章化学反应速率和化学平衡

文档信息

文档格式
doc
文档大小
1.048 MB
文档页数
18 页
上传时间
2026-03-28 02:37:25

文档内容

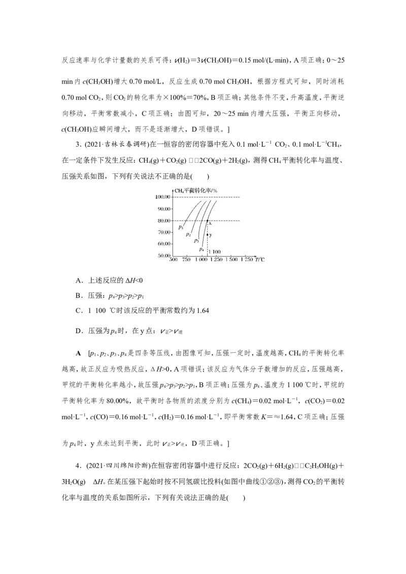
专题突破(七) 化学反应速率和化学平衡图像的分析 化学反应速率和平衡的图像及分析是高考考查的重点,此类试题将抽象的理论知识图 像化,既能考查考生化学反应速率和平衡的相关知识,又能考查学生读图、识图,并应用知识 解决综合问题的能力,要求考生获取有关信息、识别有效证据、推测反应结果、归纳总结规律, 体现《中国高考评价体系》对于“学习掌握”“思维方法”等化学科核心素养的要求。 分析、解答化学反应速率和化学平衡图像题的思维流程如下: 1.化学反应速率图像及分析 (1)“渐变”类vt图像 图像 分析 结论 t 1 时 v正 ′突然增大, v逆 ′逐渐增大; v t 时其他条件不变,增大反应 1 ′> ′,平衡向正反应方向移动 物的浓度 正 v逆 t 1 时 v正 ′突然减小, v逆 ′逐渐减小; v t 时其他条件不变,减小反应 1 ′> ′,平衡向逆反应方向移动 物的浓度 逆 v正 t 1 时 v逆 ′突然增大, v正 ′逐渐增大; v t 时其他条件不变,增大生成 1 ′> ′,平衡向逆反应方向移动 物的浓度 逆 v正 t 1 时 v逆 ′突然减小, v正 ′逐渐减小; v t 时其他条件不变,减小生成 1 ′> ′,平衡向正反应方向移动 物的浓度 正 v逆(2)“断点”类vt图像 图像 分析 结论 t 时其他条件不变,增大反应体系的压强 t 1 时 v正 ′、 v逆 ′均突然增 且 1 m+n>p+q(正反应为体积减小的反应) 大,且 ′> ′;平衡 v正 v逆 向正反应方向移动 t 时其他条件不变,升高温度且ΔH>0(正 1 反应为吸热反应) t 时其他条件不变,增大反应体系的压强 1 t 1 时 v正 ′、 v逆 ′均突然增 且m+n<p+q(正反应为体积增大的反应) 大,且 ′> ′;平衡 v逆 v正 t 时其他条件不变,升高温度且ΔH<0(正 1 向逆反应方向移动 反应为放热反应) t 时其他条件不变,减小反应体系的压强 t 1 时 v正 ′、 v逆 ′均突然减 且 1 m+n<p+q(正反应为体积增大的反应) 小,且 ′> ′;平衡 v正 v逆 t 时其他条件不变,降低温度且ΔH<0(正 1 向正反应方向移动 反应为放热反应) t 时其他条件不变,减小反应体系的压强 t 1 时 v逆 ′、 v正 ′均突然减 且 1 m+n>p+q(正反应为体积减小的反应) 小,且 ′> ′;平衡 v逆 v正 t 时其他条件不变,降低温度且ΔH>0(正 1 向逆反应方向移动 反应为吸热反应) (3)“平台”类vt图像 图像 分析 结论 t 时其他条件不变使用催化剂 1 t 1 时 v正 ′、 v逆 ′均突然增大且 v t 时其他条件不变增大反应体系的 1 正 ′= v逆 ′,平衡不移动 压强且m+n=p+q(反应前后气体 体积无变化) t 1 时 v正 ′、 v逆 ′均突然减小且 v t 1 时其他条件不变,减小反应体系的 压强且m+n=p+q(反应前后气体 ′= ′,平衡不移动 正 v逆 体积无变化) 2.化学平衡图像及分析 (1)浓度时间图像 例如,反应A(g)+B(g)⇌AB(g),充入一定量A(g)和B(g),达到平衡过程如图所示: (2)含量时间温度(压强)(C%指产物的质量分数,B%指某反应物的质量分数)(3)恒压(或恒温)线(α表示反应物的转化率,c表示反应物的平衡浓度) 图①,若则正反应为气体体积减小的反应,p>p>p,ΔH<0; 1 2 3 图②,正反应为气体体积增大的反应,若T>T,则正反应为放热反应。 1 2 (4)几类特殊图像 ①对于化学反应mA(g)+nB(g)pC(g)+qD(g),M点前,表示从反应物开始, v正 >v逆 ; M点为刚达到平衡点(如下图);M点后为平衡受温度的影响情况,即升温,A的百分含量增加或C的百分含量减少,平衡左移,故正反应ΔH<0。 ②对于化学反应mA(g)+nB(g)pC(g)+qD(g),L线上所有的点都是平衡点(如下图)。 L线的左上方(E点),A的百分含量大于此压强时平衡体系的A的百分含量,所以,E点 v正 >v 逆 ;则L线的右下方(F点), v正 < v逆 。 (2021· 山 东 日 照 一 模 ) 已 知 反 应 : CH===CHCH(g) + 2 3 Cl(g)CH===CHCHCl(g)+HCl(g)。在一定压强下,按ω=向密闭容 2 2 2 器中充入氯气与丙烯。图甲表示平衡时,丙烯的体积分数(φ)与温度(T)、ω的关系,图乙表示 反应的平衡常数K与温度T的关系。则下列说法正确的是( ) A.图甲中ω>1 1 B.图乙中,线A表示正反应的平衡常数 C.在恒容容器中进行,压强不变时反应达到平衡状态 D.当温度为T、ω=2时,Cl 的转化率为33.3% 1 2D [温度一定时,增大,平衡时丙烯的体积分数减小,故图甲中ω<1,A项错误。由图 1 甲可知,一定时,升高温度,丙烯的体积分数增大,说明升高温度,平衡逆向移动,则该反应的 ΔH<0;升高温度,平衡逆向移动,则平衡常数K减小,故图乙中线A代表逆反应的平衡常数, B项错误。该反应前后气体计量数和相等,气体总物质的量不变,故恒容时气体压强始终不 变,不能根据压强判断是否达到平衡状态,C项错误。由图乙可知,T 时正、逆反应平衡常数 1 均为1,ω==2,设n(Cl )=2 mol,n(CH===CHCH)=1 mol,平衡时转化的Cl 为x mol,容 2 2 3 2 器的容积为1 L,则有 CH===CHCH(g)+Cl(g)CH===CHCHCl(g)+HCl(g) 2 3 2 2 2 起始浓度 /mol·L-1 1 2 0 0 转化浓度 /mol·L-1 x x x x 平衡浓度 /mol·L-1 1-x 2-x x x 则T 时平衡常数K==1,解得x= mol,故Cl 的转化率为×100%≈33.3%,D项正确。] 1 2 (2021·河北邢台调研)在一定温度下,向2 L恒容密闭容器中充入1 mol A,发生 2A(g) B(g)+C(g)反应。反应过程中c(C)随时间变化的曲线如图所示,下列说法不正确的 是( ) A.反应在0~50 s的平均速率 v(C)=1.6×10-3 mol·L-1·s-1 B.该温度下,反应的平衡常数K=0.025 mol·L-1 C.保持其他条件不变,升高温度,平衡时c(B)=0.09 mol·L-1,则该反应的ΔH<0 D.反应达平衡后,再向容器中充入1 mol A,该温度下再达到平衡时,A的转化率不变B [0~50 s内c(C)增大0.08 mol·L-1,则有 v(C)==1.6×10-3 mol·L-1·s-1,A项正确; 达到平衡时,c(C)=0.10 mol·L-1,结合反应可知,平衡时A、B的平衡浓度分别为0.30 mol·L- 1、0.10 mol·L-1,则该温度下,反应的平衡常数K==,B项错误;其他条件不变,升高温度,平 衡时c(B)=0.09 mol·L-1<0.10 mol·L-1,说明平衡逆向移动,则该反应的ΔH<0,C项正确; 平衡后再充入1 mol A与保持n(A)不变,同时缩小容器容积是等效平衡,而缩小容积过程,由 于反应前后气体体积不变,所以平衡不移动,故A的转化率不变,D项正确。] (2021·黑龙江哈尔滨三中检测)在密闭容器中进行反应:X(g)+2Y(g) 2Z(g) ΔH>0。下图能正确表示该反应有关物理量变化规律的是( ) C [该反应为吸热反应,升高温度平衡正向移动,正反应速率大于逆反应速率,正反应 速率在上方,与图像不符, A项错误;升高温度平衡正向移动,Z%增大,则200 ℃时Z%大, 与图像不符,B项错误;该反应为气体体积减小的吸热反应,增大压强、升高温度,平衡均正 向移动,X的转化率大,与图像一致,C项正确;催化剂对平衡移动无影响,可加快反应速率, 但平衡常数与温度有关,恒温条件K值不会随时间发生变化,与图像不符,D项错误。]1.(2021·河南豫南九校联考)有可逆反应:A(g)+3B(g)2C(g) ΔH<0。 已知在t、t、t、t 时反应都达到平衡,如果t、t、t、t 时都只改变了一个反应条件,则下 1 3 5 7 2 4 6 8 列对t、t、t、t 时改变条件的判断正确的是( ) 2 4 6 8 A.降低温度、增大压强、减小反应物浓度、使用催化剂 B.使用催化剂、增大压强、增大反应物浓度、升高温度 C.增大反应物浓度、使用催化剂、减小压强、升高温度 D.升高温度、减小压强、增大反应物浓度、使用催化剂 D [t 2 时刻, v(正)瞬间增大,t 3 时刻达到平衡时, v(正)大于t 1 ~t 2 时刻平衡状态,降低温 度, v(正)减小,A错误;t 4 时刻, v(逆)瞬间减小,增大压强或使用催化剂, v(逆)瞬间增大,而减 小压强, v(逆)减小,故B、C均错误,D正确。] 2.(2021·湖南长郡联考)在容积为1 L的密闭容器中,充入1 mol CO 和3 mol H ,在500 2 2 ℃时发生反应:CO(g)+3H(g)CHOH(g)+HO(g) ΔH<0。CHOH的浓度随时间变化如 2 2 3 2 3 图所示,下列说法不正确的是( ) A.从反应开始到10 min时,H 2 的平均反应速率 v(H 2 )=0.15 mol/(L·min) B.从开始到25 min,CO 的转化率是70% 2 C.其他条件不变,将温度升到700 ℃,再次达平衡时平衡常数减小 D.从20 min到25 min达到新的平衡,可能是增大压强 D [0~10 min 内c(CH 3 OH)增大0.50 mol/L,则有 v(CH 3 OH)==0.05 mol/(L·min),根据反应速率与化学计量数的关系可得: v(H 2 )=3v(CH 3 OH)=0.15 mol/(L·min),A项正确;0~25 min内c(CHOH)增大0.70 mol/L,反应生成0.70 mol CH OH,根据方程式可知,同时消耗 3 3 0.70 mol CO ,则CO 的转化率为×100%=70%,B项正确;其他条件不变,升高温度,平衡逆 2 2 向移动,平衡常数减小,C项正确;由图可知,20~25 min内增大压强,平衡正向移动, c(CHOH)应瞬间增大,而不是逐渐增大,D项错误。] 3 3.(2021·吉林长春调研)在一恒容的密闭容器中充入0.1 mol·L-1 CO、0.1 mol·L-1CH, 2 4 在一定条件下发生反应:CH(g)+CO(g) 2CO(g)+2H(g),测得CH 平衡转化率与温度、 4 2 2 4 压强关系如图,下列有关说法不正确的是( ) A.上述反应的ΔH<0 B.压强:p>p>p>p 4 3 2 1 C.1 100 ℃时该反应的平衡常数约为1.64 D.压强为p 4 时,在y点: v正 >v逆 A [p、p、p、p 是四条等压线,由图像可知,压强一定时,温度越高,CH 的平衡转化率 1 2 3 4 4 越高,故正反应为吸热反应,ΔH>0,A项错误;该反应为气体分子数增加的反应,压强越高, 甲烷的平衡转化率越小,故压强p>p>p>p,B项正确;压强为p、温度为1 100 ℃时,甲烷的 4 3 2 1 4 平衡转化率为80.00%,故平衡时各物质的浓度分别为c(CH)=0.02 mol·L-1,c(CO)=0.02 4 2 mol·L-1,c(CO)=0.16 mol·L-1,c(H )=0.16 mol·L-1,即平衡常数K=≈1.64,C项正确;压强 2 为p 4 时,y点未达到平衡,此时 v正 >v逆 ,D项正确。] 4.(2021·四川绵阳诊断)在恒容密闭容器中进行反应:2CO(g)+6H(g)C HOH(g)+ 2 2 2 5 3HO(g) ΔH。在某压强下起始时按不同氢碳比投料(如图中曲线①②③),测得CO 的平衡转 2 2 化率与温度的关系如图所示,下列有关说法正确的是( )A.该反应的ΔH>0 B.氢碳比:①<②<③ C.其他条件不变的情况下,增大容器的体积可提高CO 的转化率 2 D.若起始CO 的浓度为2 mol·L-1、H 为4 mol·L-1,在图中曲线③氢碳比条件下进行, 2 2 则400 K时该反应的平衡常数数值约为1.7 D [根据图像可知,在氢碳比相等的条件下,随着温度的升高,CO 的转化率降低,说明 2 升高温度,平衡向逆反应方向移动,因此正反应是放热反应,ΔH<0,A项错误;氢碳比越大, CO 的转化率越高,根据图像可知,在温度相等的条件下,CO 的转化率:①>②>③,则氢碳 2 2 比:①>②>③,B项错误;正反应是气体体积减小的反应,因此其他条件不变的情况下,增大 容器的体积,压强减小,平衡向逆反应方向移动,可降低CO 的转化率,C项错误;根据图像 2 可知,400 K时曲线③中CO 的转化率是50%,这说明消耗CO 1 mol·L-1,则消耗氢气3 2 2 mol·L-1,生成乙醇和水蒸气分别是0.5 mol·L-1、1.5 mol·L-1,剩余CO 和氢气分别是1 mol·L 2 -1、1 mol·L-1,该温度下平衡常数K=≈1.7,D项正确。] 5.(2021·安徽芜湖检测)将一定量氨基甲酸铵(NH COONH)加入密闭容器中,发生反应: 2 4 NH COONH(s)2NH (g)+CO(g)。该反应的平衡常数的负对数(-lgK)值随温度(T)的变化 2 4 3 2 曲线如图所示,下列说法错误的是( ) A.C点对应状态的平衡常数K(C)=10-3.638 B.该反应的ΔH>0 C.NH 的体积分数不变时,该反应一定达到平衡状态 3 D.30 ℃时,B点对应状态的 v(正)0,B项正确; 反应物是固体,生成物中NH 和CO 的物质的量之比为2∶1,则NH 的体积分数始终为,不 3 2 3 能判断是否达到平衡状态,C项错误;图中B点纵坐标小于30 ℃时-lgK的值,则此时 c(CO 2 )·c2(NH 3 )>K,反应逆向进行,故B点对应状态的 v(正)K,A项错误; b c T 温度下,a点NO 体积分数大于平衡值,若由a点达到平衡,应减小压强,使平衡逆向移动, 1 2 4 B项正确;T 温度下,d点处于平衡曲线下方,NO 体积分数小于平衡值,此时反应正向进行, 2 2 4 则有 v(正)>v(逆),C项错误;从b点变为c点,体系的温度升高,只要增加N 2 O 4 的物质的量不 能达到要求,D项错误。] 5.(2020·天津滨海七校联考)可逆反应:mA(s)+nB(g) eC(g)+fD(g),反应过程中,其 他条件不变时,C的百分含量(C%)与温度(T)、压强(P)的关系如图所示。下列叙述中正确的是( ) A.达平衡后,升高温度,则平衡常数K减小 B.达到平衡后,加入催化剂,C%增大 C.化学方程式中:n>e+f D.达到平衡后,增加A的量,B的转化率增大 A [根据“先拐先平,速率大”的规律,温度为T 时先达到平衡,则温度:TP;压强为P 时C%小于压强为P 时C%,说明压强增大,平衡逆向移动,则 2 1 2 1 有n