当前位置:首页>文档>第十七章勾股定理(单元重点综合测试)(教师版)_初中数学_八年级数学下册(人教版)_知识点汇总-U105_2024版

第十七章勾股定理(单元重点综合测试)(教师版)_初中数学_八年级数学下册(人教版)_知识点汇总-U105_2024版

  • 2026-04-07 00:47:03 2026-03-29 02:50:16

文档预览

第十七章勾股定理(单元重点综合测试)(教师版)_初中数学_八年级数学下册(人教版)_知识点汇总-U105_2024版
第十七章勾股定理(单元重点综合测试)(教师版)_初中数学_八年级数学下册(人教版)_知识点汇总-U105_2024版
第十七章勾股定理(单元重点综合测试)(教师版)_初中数学_八年级数学下册(人教版)_知识点汇总-U105_2024版
第十七章勾股定理(单元重点综合测试)(教师版)_初中数学_八年级数学下册(人教版)_知识点汇总-U105_2024版
第十七章勾股定理(单元重点综合测试)(教师版)_初中数学_八年级数学下册(人教版)_知识点汇总-U105_2024版
第十七章勾股定理(单元重点综合测试)(教师版)_初中数学_八年级数学下册(人教版)_知识点汇总-U105_2024版
第十七章勾股定理(单元重点综合测试)(教师版)_初中数学_八年级数学下册(人教版)_知识点汇总-U105_2024版
第十七章勾股定理(单元重点综合测试)(教师版)_初中数学_八年级数学下册(人教版)_知识点汇总-U105_2024版
第十七章勾股定理(单元重点综合测试)(教师版)_初中数学_八年级数学下册(人教版)_知识点汇总-U105_2024版
第十七章勾股定理(单元重点综合测试)(教师版)_初中数学_八年级数学下册(人教版)_知识点汇总-U105_2024版
第十七章勾股定理(单元重点综合测试)(教师版)_初中数学_八年级数学下册(人教版)_知识点汇总-U105_2024版
第十七章勾股定理(单元重点综合测试)(教师版)_初中数学_八年级数学下册(人教版)_知识点汇总-U105_2024版
第十七章勾股定理(单元重点综合测试)(教师版)_初中数学_八年级数学下册(人教版)_知识点汇总-U105_2024版
第十七章勾股定理(单元重点综合测试)(教师版)_初中数学_八年级数学下册(人教版)_知识点汇总-U105_2024版
第十七章勾股定理(单元重点综合测试)(教师版)_初中数学_八年级数学下册(人教版)_知识点汇总-U105_2024版
第十七章勾股定理(单元重点综合测试)(教师版)_初中数学_八年级数学下册(人教版)_知识点汇总-U105_2024版
第十七章勾股定理(单元重点综合测试)(教师版)_初中数学_八年级数学下册(人教版)_知识点汇总-U105_2024版
第十七章勾股定理(单元重点综合测试)(教师版)_初中数学_八年级数学下册(人教版)_知识点汇总-U105_2024版
第十七章勾股定理(单元重点综合测试)(教师版)_初中数学_八年级数学下册(人教版)_知识点汇总-U105_2024版
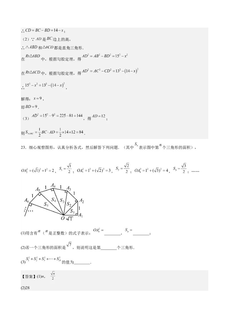
第十七章勾股定理(单元重点综合测试)(教师版)_初中数学_八年级数学下册(人教版)_知识点汇总-U105_2024版
第十七章勾股定理(单元重点综合测试)(教师版)_初中数学_八年级数学下册(人教版)_知识点汇总-U105_2024版
第十七章勾股定理(单元重点综合测试)(教师版)_初中数学_八年级数学下册(人教版)_知识点汇总-U105_2024版
第十七章勾股定理(单元重点综合测试)(教师版)_初中数学_八年级数学下册(人教版)_知识点汇总-U105_2024版
第十七章勾股定理(单元重点综合测试)(教师版)_初中数学_八年级数学下册(人教版)_知识点汇总-U105_2024版
第十七章勾股定理(单元重点综合测试)(教师版)_初中数学_八年级数学下册(人教版)_知识点汇总-U105_2024版
第十七章勾股定理(单元重点综合测试)(教师版)_初中数学_八年级数学下册(人教版)_知识点汇总-U105_2024版
第十七章勾股定理(单元重点综合测试)(教师版)_初中数学_八年级数学下册(人教版)_知识点汇总-U105_2024版

文档信息

文档格式
docx
文档大小
2.926 MB
文档页数
23 页
上传时间
2026-03-29 02:50:16

文档内容

第十七章 勾股定理(单元重点综合测试) 班级___________ 姓名___________ 学号____________ 分数____________ 考试范围:全章的内容; 考试时间:120分钟; 总分:120分 一、选择题(本大题共10小题,每小题3分,共30分) 1.下列各组数中,是勾股数的是() A. B.2,3,4 C.6,8,10 D.7,5,6 【答案】C 【分析】本题考查的是勾股数,熟知满足 的三个正整数,称为勾股数是解题的关键. 根据勾股数的定义对各选项进行逐一分析即可. 【详解】解:A、∵ 不是整数, ∴不是勾股数,故本选项不符合题意; B、∵ , ∴不是勾股数,不符合题意; C、∵ , ∴是勾股数,故本选项符合题意; D、∵ , ∴不是勾股数,不符合题意. 故选:C. 2.已知 的三条边分别为 , , ,下列条件不能判断 是直角三角形的是( ) A. B. C. , , D. 【答案】B 【分析】本题考查的是勾股定理的逆定理、三角形内角和定理,根据勾股定理的逆定理:如果三角形的三 边长a,b,c满足 ,那么这个三角形就是直角三角形.可判断A、C选项;根据三角形内角和 定理可判断B、D选项.【详解】解:A.∵ , ∴ , ∴此三角形是直角三角形,故本选项不符合题意; B.∵ 设 ,则 , , ∵ , ∴ ,解得 , ∴ , ∴此三角形不是直角三角形,故本选项符合题意; C.∵ , ∴此三角形是直角三角形,故本选项不符合题意; D.∵ , , ∴ , ∴此三角形是直角三角形,故本选项不符合题意. 故选:B. 3.如图,直线上有三个正方形 ,若 的面积分别为 4和 25,则 的面积为( ) A.20 B.26 C.29 D.32 【答案】C 【分析】本题考查了三角形全等的判定与性质、勾股定理,证明 得到 , ,再利用勾股定理,进行计算即可,熟练掌握以上知识点并灵活运用是解此题的关键. 【详解】解:如图, ,都是正方形, , , , , 在 和 中, , , , , , 故选:C. 4.如图,根据尺规作图的痕迹判断数轴上点C所表示的数是( ) A. B. C. D. 【答案】C 【分析】本题考查了勾股定理,实数与数轴,熟练掌握勾股定理是解题的关键.由图可得 的长度和点 到原点的长度,即可得出点 到原点的距离,即可得到答案. 【详解】解: 点 表示的数为 , 点 到原点的距离为 , 由图可得 , 点 到原点的距离为 点 到原点的距离和点 到原点的距离相等, 点 到原点的距离为 即点 所表示的数是 ,故选:C. 5.若实数m、n满足 且m、n恰好是Rt ABC的两条直角边长,则第三条边长为( ) △ A.10 B. C.10或 D.以上均不对 【答案】A 【分析】本题考查直角三角形的性质,解题的关键是掌握勾股定理及分类思想的应用.由非负数的性质可 得 、 的值,再用勾股定理求出第三条边长. 【详解】解: , , , , 当 、 为直角边时,第三边长是 , 综上所述,第三条边长为10, 故选:A. 6.如图,在 的网格中,每个小正方形的边长均为1.点A,B,C都在格点上,则下列结论错误的是 ( ) A. B. C. 的面积为5 D.点A到 的距离是1.5 【答案】D 【分析】本题考查的是勾股定理及其逆定理,利用网格图计算三角形的面积,点到直线的距离.熟练掌握 勾股定理及其逆定理是解题的关键. 利用勾股定理及其逆定理判定A,利用勾股定理求出 长可判定B;利用网格图计算三角形的面积可判定 C;利用面积公式求出 边 的高,即可利用点到直线的距离判定D. 【详解】解:A、 , , , , ,本选项结论正确,不符合题意;B、∵ , ∴ ,本选项结论正确,不符合题意; C、 ,本选项结论正确,不符合题意; D、点A到 的距离 ,本选项结论错误,符合题意; 故选:D. 7.《九章算术》是中国古代的数学著作,书中记载:今有开门去阃(读kǔn,门槛的意思)一尺,不合二 寸,问门广几何?其大意:如图,推开双门(大小相同),双门间隙 寸,点C、点D与门槛 的 距离 尺(1尺 寸),则 的长是( ) A.26寸 B. 寸 C.52寸 D.101寸 【答案】D 【分析】本题考查了勾股定理的应用,根据 ,勾股定理列式计算即可. 【详解】如图,取 的中点为O,则 的中点也为O, 根据题意可知: 寸, ∴ 寸, 设 寸,则 寸, ∵ , 寸, ∴ , 解得: , ∴ (寸).故选D. 8.如图,已知 中, , , , 的垂直平分线分别交 , 于 , ,连接 ,则 的长为( ) A. B. C. D. 【答案】C 【分析】先根据勾股定理的逆定理证明 是直角三角形,根据垂直平分线的性质证得 ,由此 根据勾股定理求出 . 【详解】解:∵ , , , ∴ , ∴ 是直角三角形,且 , ∵ 垂直平分 , ∴ , 在 中, , ∴ , 解得 , 故选:C. 【点睛】此题考查勾股定理及其逆定理,线段垂直平分线的性质,证得 是直角三角形, , 并利用勾股定理求解是解题的关键. 9.如图,在正方形网格中, , , , , 都是格点,则 的度数为( )A. B. C. D. 【答案】A 【分析】连接 ,通过平行线的性质可得 , ,则 , 通过勾股定理的求得 、 、 的长度,再根据勾股定理的逆定理确定 的形状,即可求解. 【详解】解:连接 ,找到格点 ,连接 ,如下图: 由题意可得: ∴ , ∴ 由勾股定理可得: , , ∴ , ∴ 为等腰直角三角形 ∴ 即 故选A 【点睛】此题考查了勾股定理,勾股定理的逆定理以及平行线的性质,解题的关键是熟练掌握相关基础性 质. 10.在图1所示的 的网格内有一个八边形,其中每个小方格的边长均为1.经探究发现,此八边形可 按图2的方式分割成四个全等的五边形和一个小正方形①.现将分割后的四个五边形重新拼接(即图2中 的阴影部分),得到一个大正方形 ,发现该正方形中间的空白部分②也是个正方形,记正方形①的 面积为 ,正方形②的面积为 ,且 ,则大正方形 的边长为( )A. B.2 C. D. 【答案】D 【分析】本题主要考查了网格图与勾股定理,正方形的面积,解题的关键是求出四个全等五边形的面积及 大正方形的面积. 【详解】解:根据题意得:正方形②的边长为 , ∴正方形②的面积为 , ∵ , ∴ , 即正方形①的面积为3, 八边形的面积为 , ∴四个全等的五边形的面积为 , ∴大正方形 的面积为 , ∴大正方形的边长为: . 故选:D. 二、填空题(本大题共6小题,每小题3分,共18分) 11.如图,以直角三角形各边向外作正方形,其中两个正方形的面积分别为 和 ,则正方形 的边 长为 .【答案】 【分析】本题考查勾股定理,以直角三角形的两直角边为边长所构成的正方形的面积和等于以斜边为边长 的正方形的面积,即可直接计算得出结论. 【详解】以直角三角形的两直角边为边长所构成的正方形的面积和等于以斜边为边长的正方形的面积 ∴正方形A的面积 ∴正方形 的边长为 故答案为: 12.已知 的三条边长 , , 满足 ,则 的面积为 . 【答案】6 【分析】本题考查的是勾股定理的逆定理、二次根式有意义的条件、绝对值和偶次方的非负性,根据二次 根式有意义的条件求出 、 、 是解题的关键. 根据二次根式有意义的条件求出 ,根据非负数的性质分别求出 、 ,根据勾股定理的逆定理得到 ,根据三角形的面积公式计算,得到答案. 【详解】解: , , , 故答案为:6. 13.如图,将一根长 的筷子,置于底面直径为 ,高 的圆柱形水杯中,则筷子露在杯子外面 的最短长度是【答案】5 【分析】本题主要考查了勾股定理的利用,构造出直角三角形即可求解. 【详解】解:筷子露在杯子外面的最短长度即筷子在杯子里面的长度最长,即筷子,圆柱的高,圆柱的直 径正好构成直角三角形.如下: ∴勾股定理求得圆柱形水杯的最大线断的长度,即 , ∴筷子露在杯子外面的最短长度是 . 故答案为:5. 14.若 , 三边长分别是 , , ,则 是 三角形. 【答案】直角 【分析】此题考查勾股定理的逆定理判定三角形是直角三角形,利用较短两边的平方和等于较长边的平方 即可得到三角形是直角三角形. 【详解】∵ ∴ 是直角三角形, 故答案为:直角. 15.如图,在 中,D是 边上一点, , ,则 的长为 . 【答案】4 【分析】本题考查了勾股定理与勾股逆定理的综合运用:先由三边的数值关系,得 ,根据勾股定理列式计算,即可作答. 【详解】解:∵ , ∴ , 即 , 故 , ∴ , 故答案为:4. 16. 中, ,过点 的直线把 分割成两个三角形,使其中只有 一个是筹腰三角形,则这个等腰三角形的面积是 . 【答案】 或 或 【分析】在 中,通过解直角三角形可得出 ,找出所有可能的分割方法,并求出 剪出的等腰梯形的面积即可. 本题考查了勾股定理、等腰三角形的性质以及三角形的面积,找出所有可能的分割方法,并求出剪出的等 腰三角形的面积是解题的关键. 【详解】在 中, 则: 沿过点B的直线把 分割成两个三角形,使其中只有一个是等腰三角形,设该直线与边 交于点 P.以下有三种情况: ①当 时, ∴②当 时, ③当 且点P在边 上时,过点B作 ,垂足为D. ∴ ∴ ∴ ∴ . 综上所述:等腰三角形的面积可能为 或 或 , 故答案为: 或 或 三、(本大题共4小题,每小题6分,共24分)17.《九章算术》中有“折竹抵地”问题:“今有竹高9尺,末折抵地,去根三尺,问折者高几何?”题 意是:有一根竹子原来高9尺,中部有一处折断,竹梢触地面处离竹根3尺,试问折断处离地面多高? 【答案】折断处离地面 尺 【分析】本题考查勾股定理的实际应用.由竹子的原高可得出竹梢到折断处的长度为 尺,利用勾股 定理,即可得出关于x的方程,此题得解. 【详解】解:如图: ∵一根竹子原来高9尺,设折断处离地面的高度为x尺, ∴竹梢到折断处的长度为 尺 依题意得: 解得 , ∴折断处离地面 尺. 18.如图,在 中, 于点D, , , . (1)求 的长; (2)判断 的形状,并说明理由. 【答案】(1)9 (2)直角三角形,理由见解析 【分析】本题考查了勾股定理及其逆定理, (1)在 中,直接利用勾股定理计算即可; (2)利用勾股定理先求出 ,再根据勾股定理的逆定理即可作答. 【详解】(1)∵ , ∴在 中, ,,即 , 解之得: , ∴ 的长为9; (2) 是直角三角形, 理由:在 中, , , 即 , 解之得: , 在 中, , , , ∴ 是直角三角形. 19.如图,在 中, , , ,沿 折叠,使点C落在 边上的点E 处. (1) _____ (2)求线段 的长. 【答案】(1)16 (2) . 【分析】本题考查了翻折变换,勾股定理. (1)直接利用勾股定理即可求解; (2)由折叠的性质可得 ,利用面积法求解即可. 【详解】(1)解:∵ , , ,∴ , 故答案为:16; (2)解:∵将 沿 折叠, ∴ , 设 , 则 ,即 , 解得 ,即 . 20.如图是一块地的平面图, , , , , . (1)求A、C两点间的距离; (2)求这块地的面积. 【答案】(1)5 (2)24 【分析】本题主要考查了勾股定理以及勾股定理的逆定理的应用. (1)连接 ,利用勾股定理即可求出A、C两点间的距离. (2)利用勾股定理的逆定理,证明 ,进而求出 ,最后根据 即 可求出答案. 【详解】(1)解:如图,连接 , ∵ , , , ∴ . 即A、C两点间的距离为5. (2)在 中, ∵ , , , ∴ . ∴ . ∴ .∵ , ∴ . 即这块地的面积为24. 四、(本大题共3小题,每小题8分,共24分) 21.如图,在离水面高度为6米的岸上,有人用绳子拉船靠岸,开始时绳子 的长度为 的3倍. (1)求此时船离岸边 的长;(结果保留根号) (2)若此人以 米/秒的速度收绳,12秒后船移动到点 的位置,则船向岸边移动了大约多少米?(假设绳 子是直的,结果精确到 米,参考数据: , ) 【答案】(1) (2) 【分析】本题考查了勾股定理的应用, (1)根据勾股定理即可得出 的长; (2)根据收绳的速度与时间得出收起绳的长度,即可得出 的长,再根据勾股定理求出 的长即可得 出结果. 熟记勾股定理是解题的关键. 【详解】(1) 开始时绳子 的长度为 的3倍. 米, (米 ; (2)如图,连接 ,此人以0.5米 秒的速度收绳,12秒后船移动到点 的位置. 船移动到点 的位置时绳长 (米 , (米 , 船向岸边移动的距离为 (米 , 答:船向岸边移动了大约6.5米. 22.如图,在 中, , , ,求 的面积.某学习小组经过合作交流,给出 了下面的解题思路,请你按照他们的解题思路,完成解答过程. (1)作 于D,设 ,用含x的代数式表示 ,则 ___________; (2)请根据勾股定理,利用 作为“桥梁”建立方程,并求出x的值; (3)利用勾股定理求出 的长,再计算三角形的面积. 【答案】(1) (2)见解析,9 (3)12,84 【分析】本题考查了勾股定理和面积公式, (1)根据题意即可求得 ; (2)在 中,根据勾股定理求得 ,在 中,根据勾股定理求得 ,代入数据列出方 程,解方程即可; (3)在(2)的基础上求得 的长,再利用三角形的面积公式求解即可. 【详解】(1)解:设 , ∵ ,∴ ; (2)∵ 是 边上的高, ∴ 和 都是直角三角形. 在 中,根据勾股定理,得 在 中,根据勾股定理,得 ∴ , 解得: , 即 . (3) ,得 ; 则 . 23.细心观察图形,认真分析各式,然后解答下列问题.(其中 表示图中第 个三角形的面积), , ; , ; , ;…… (1)用含有 ( 是正整数)的式子表示: ________, ________; (2)若一个三角形的面积是 ,则说明这是第________个三角形. (3) 的值为________. 【答案】(1)n, (2)28(3) 【分析】本题主要考查了勾股定理,图形类的规律探索,化简二次根式,正确理解题意和熟知勾股定理是 解题的关键. (1)利用勾股定理求出推出 ,即可得到 ; (2)根据(1)所求把 代入 中进行求解即可; (3)根据 进行求解即可. 【详解】(1)解:∵每一个三角形都是直角三角形,由勾股定理可求得: ,…, , ∴ . ∴ , 故答案为:n, . (2)解:若一个三角形的面积是 ,则 , ∴ ,即 , ∴这是第28个三角形, (3)解:. 五、(本大题共2小题,每小题12分,共24分) 24.如图,四边形 , , ,A是边DE上一 点,过点C作 交 延长线于点B. (1)求证: ; (2)设 三边分别为a、b、c,利用此图证明勾股定理. 【答案】(1)见解析 (2)见解析 【分析】此题主要考查了全等三角形的判定和性质,勾股定理的证明,熟练掌握全等三角形的判定和性质, 准确识图,找出面积相等的图形是解决问题的关键. (1)先证 和 全等得 ,然后根据 可得出结论; (2)由(1)可知 ,则 , , ,进而得四边形 的面 积 正方形 的面积,即 ,而 , , ,据 此勾股定理得以证明. 【详解】(1)证明:如图所示: , , , , ,, , 在 和 中, , , , 又 , . (2)证明:由(1)可知: , , , , 四边形 的面积 正方形 的面积, , 即 , , , , 即 , 整理得: . 25.课本再现 如图1,有一个圆柱,它的高为 ,底面圆的周长为 .在圆柱下底面的点A处有一只蚂蚁,它想 吃到上底面与点A相对的点B处的食物,蚂蚁沿圆柱侧面爬行的最短路程是多少? 方法探究 (1)对于立体图形中求最短路程问题,应把立体图形展开成平面图形,再确定A,B两点的位置,依据 “两点之间线段最短”,结合勾股定理,解决相应的问题.如图2,在圆柱的侧面展开图中,点A,B对应的位置如图所示,利用勾股定理求出蚂蚁爬行的最短路程是______ . 方法应用 (2)如图3,直四棱柱的上下底面是正方形,底面边长为 ,高为 .在其侧面从点A开始,绕侧 面两周,嵌入装饰彩条至点B停止.求彩条的最短长度. (3)如图4,圆柱形玻璃杯底面周长为 ,高为 ,杯底厚 .在玻璃杯外壁距杯口 的点A 处有一只蚂蚁,蚂蚁相对面的内壁底部B处有一滴蜂蜜,蚂蚁沿杯口爬入内壁去吃蜂蜜,求蚂蚁爬行的最 短路径长.(玻璃杯的壁厚忽略不计) 【答案】(1)15;(2) (3) 【分析】本题考查勾股定理、几何体的展开图. (1)根据题意得出蚂蚁沿圆柱侧面爬行的最短路程是指展开后线段 的长,求出 , ,根据勾股 定理求出 即可. (2)根据绕两圈到B,则展开后相当于求出 的斜边长,并且 ,根据勾股 定理求出即可. (3)将杯子侧面展开,建立A关于 的对称点 ,根据两点之间线段最短可知 的长度即为所求. 【详解】解:(1)根据题意得出:蚂蚁沿圆柱侧面爬行的最短路程是指展开后线段 的长, 由题意得: . 在 中,由勾股定理得: ,所以,蚂蚁沿圆柱侧面爬行的最短路程是 故答案为:15. (2)如图所示, ∵从点A开始经过4个侧面缠绕2圈到达点B, ∴展开后 由勾股定理得: , 所以彩条的最短长度是 . (3)展开玻璃杯的侧面,如图, 作点A关于 的对称点 ,连接 ,作 于点C,则 , , , . 在 中, , 所以蚂蚁爬行的最短路径长为 .