当前位置:首页>文档>黄金卷03-赢在高考·黄金8卷备战2024年高考数学模拟卷(新高考Ⅱ卷专用)(参考答案)_2.2025数学总复习_2024年新高考资料_4.2024高考模拟预测试卷

黄金卷03-赢在高考·黄金8卷备战2024年高考数学模拟卷(新高考Ⅱ卷专用)(参考答案)_2.2025数学总复习_2024年新高考资料_4.2024高考模拟预测试卷

  • 2026-04-02 09:34:03 2026-03-29 06:50:00

文档预览

黄金卷03-赢在高考·黄金8卷备战2024年高考数学模拟卷(新高考Ⅱ卷专用)(参考答案)_2.2025数学总复习_2024年新高考资料_4.2024高考模拟预测试卷
黄金卷03-赢在高考·黄金8卷备战2024年高考数学模拟卷(新高考Ⅱ卷专用)(参考答案)_2.2025数学总复习_2024年新高考资料_4.2024高考模拟预测试卷
黄金卷03-赢在高考·黄金8卷备战2024年高考数学模拟卷(新高考Ⅱ卷专用)(参考答案)_2.2025数学总复习_2024年新高考资料_4.2024高考模拟预测试卷
黄金卷03-赢在高考·黄金8卷备战2024年高考数学模拟卷(新高考Ⅱ卷专用)(参考答案)_2.2025数学总复习_2024年新高考资料_4.2024高考模拟预测试卷
黄金卷03-赢在高考·黄金8卷备战2024年高考数学模拟卷(新高考Ⅱ卷专用)(参考答案)_2.2025数学总复习_2024年新高考资料_4.2024高考模拟预测试卷
黄金卷03-赢在高考·黄金8卷备战2024年高考数学模拟卷(新高考Ⅱ卷专用)(参考答案)_2.2025数学总复习_2024年新高考资料_4.2024高考模拟预测试卷
黄金卷03-赢在高考·黄金8卷备战2024年高考数学模拟卷(新高考Ⅱ卷专用)(参考答案)_2.2025数学总复习_2024年新高考资料_4.2024高考模拟预测试卷
黄金卷03-赢在高考·黄金8卷备战2024年高考数学模拟卷(新高考Ⅱ卷专用)(参考答案)_2.2025数学总复习_2024年新高考资料_4.2024高考模拟预测试卷
黄金卷03-赢在高考·黄金8卷备战2024年高考数学模拟卷(新高考Ⅱ卷专用)(参考答案)_2.2025数学总复习_2024年新高考资料_4.2024高考模拟预测试卷
黄金卷03-赢在高考·黄金8卷备战2024年高考数学模拟卷(新高考Ⅱ卷专用)(参考答案)_2.2025数学总复习_2024年新高考资料_4.2024高考模拟预测试卷
黄金卷03-赢在高考·黄金8卷备战2024年高考数学模拟卷(新高考Ⅱ卷专用)(参考答案)_2.2025数学总复习_2024年新高考资料_4.2024高考模拟预测试卷
黄金卷03-赢在高考·黄金8卷备战2024年高考数学模拟卷(新高考Ⅱ卷专用)(参考答案)_2.2025数学总复习_2024年新高考资料_4.2024高考模拟预测试卷

文档信息

文档格式
docx
文档大小
0.080 MB
文档页数
8 页
上传时间
2026-03-29 06:50:00

文档内容

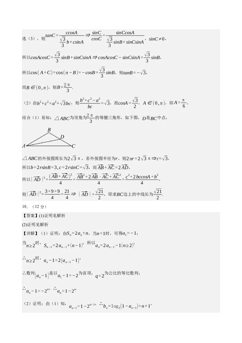
【赢在高考·黄金8卷】备战2024年高考数学模拟卷(新高考II 卷专用) 黄金卷03·参考答案 (考试时间:120分钟 试卷满分:150分) 第 I 卷(选择题) 一、单项选择题:本题共8小题,每小题5分,共40分,在每小题给出的四个选项中,只有一项是符合要 求的。 1 2 3 4 5 6 7 8 C B B B B D A C 二、多项选择题:本题共4小题,每小题5分,共20分,在每小题给出的四个选项中,有多项符合题目的 要求,全部选对的得5分,部分选对的得2分,有选错的得0分。 9 10 11 12 BC ABD ABC ACD 第 II 卷(非选择题) 三、填空题:本题共4小题,每小题5分,共20分。 √3 13.1 14.24π 15.x=−√3(答案不唯一,y= x−2也满足) 16.6 3 四、解答题:本题共6小题,共70分,解答应写出必要的文字说明、证明过程及验算步骤。 17.(10分) 2π 【答案】(1)所选条件见解析,B= ; 3 √21 (2) . 2 A+C π-B B 【详解】(1)选(1),则√3csin =bsinC⇒√3csin =bsinC⇒√3ccos =bsinC, 2 2 2 B B π B B B 所以√3sinCcos =sinBsinC,而sinC≠0, ∈(0, ),则√3cos =2sin cos , 2 2 2 2 2 2 B √3 B π 2π 所以sin = ⇒ = ⇒ B= ; 2 2 2 3 3 1 选(2),则√3⃗BA⋅⃗CB=2S ⇒√3accos(π−B)=2× acsinB, △ABC 2 2π 所以−√3cosB=sinB⇒tanB=−√3,而B∈(0,π),则B= ; 3ccosA sinC sinCcosA tanC= ⇒ = 选(3),则 √3 cosC √3 ,sinC≠0, b+csinA sinB+sinCsinA 3 3 √3 √3 所以cosAcosC= sinB+sinCsinA⇒cosAcosC−sinCsinA= sinB, 3 3 √3 所以cos(A+C)=cos(π−B)=−cosB= sinB,则tanB=−√3, 3 2π 而B∈(0,π),则B= . 3 b2+c2−a2 √3 π (2)由b2+c2=a2+√3bc,则 =√3,故cosA= ,A∈(0,π),即A= , bc 2 6 2π 结合(1)易知:△ABC为顶角为 的等腰三角形,如下图,D是BC中点, 3 △ABC的外接圆周长为2√3π,若外接圆半径为r,则2πr=2√3π⇒r=√3, 所以b=2rsinB=3,c=2rsinC=√3,而⃗AB+⃗AC=2⃗AD, (⃗AB+⃗AC) 2 ⃗AB2+2⃗AB⋅⃗AC+⃗AC2 c2+2bccosA+b2 所以|⃗AD|2= = = , 4 4 4 3+9+9 21 √21 √21 则|⃗AD|2= = ⇒ |⃗AD|= ,即求BC边上的中线长为 . 4 4 2 2 18.(12分) 【答案】(1)证明见解析 (2)证明见解析 【详解】(1)证明:由S =2a +n,当n=1时,可得a =−1; n n 1 当 时, ,所以 , n≥2 S =2a +(n−1) a =2a −1(n≥2) n−1 n−1 n n−1 ∴ 时, , n≥2 a −1=2(a −1) n n−1 ∴数列 是以 为首项, 为公比的等比数列; {a −1} a −1=−2 q=2 n 1 ∴ ,∴ . a −1=−2n a =1−2n n n (2)证明:由(1)知, ,∴ , a =1−2n+1 b =log (1−a )=n+1 n+1 n 2 n+11 1 1 1 ∴ = = − , b b (n+1)(n+2) n+1 n+2 n n+1 ∴ 1 1 1 (1 1) (1 1) ( 1 1 ) 1 1 , T = + +⋯+ = − + − ⋅⋅⋅+ − = − n b b b b b b 2 3 3 4 n+1 n+2 2 n+2 1 2 2 3 n n+1 1 1 1 1 1 因为n∈N∗,所以 >0,所以T = − < 即T < 成立. n+2 n 2 n+2 2 n 2 1 所以对任意的正整数n,都有T < 得证. n 2 19.(12分) 【答案】(1)全省火炬手性别与年龄满或未满50周岁相互独立(没有关联) 36 (2) 43 【详解】(1)解:零假设为:H :全省火炬手性别与年龄满或未满50周岁相互独立(没有关联), 0 100×(15×35−5×45) 2 根据2×2列联表中的数据,计算得χ2= ≈2.34<2.706=x , 20×80×40×60 0.1 所以根据小概率值α=0.1的χ2独立性检验,没有充分证据推断H 不成立, 0 因此可以认定为H 成立, 0 全省火炬手性别与年龄满或未满50周岁相互独立(没有关联). (2)解:设A表示火炬手为男性,B表示火炬手喜欢足球, P(AB) P(B|A)P(A) 0.36 0.36 36 则P(A|B)= = = = = , P(B) P(B∣A)P(A)+P(B|A)P(A) 0.36+0.07 0.43 43 36 所以这位火炬手是男性的概率约为 . 43 20.(12分) 【答案】(1)证明见解析 √14 (2) . 4【详解】(1) 连接A B, 1 因为四边形A A B B为正方形,所以AB ⊥A B. 1 1 1 1 在直三棱柱ABC−A B C 中,平面A A B B⊥平面A B C , 1 1 1 1 1 1 1 1 由AB⊥AC得A C ⊥A B ,又平面A A B B∩平面A B C =A B , 1 1 1 1 1 1 1 1 1 1 1 所以A C ⊥平面A A B B,又AB ⊂平面A A B B,所以A C ⊥AB , 1 1 1 1 1 1 1 1 1 1 又A B∩A C =A ,A B⊂平面A BD,A C ⊂平面A BD, 1 1 1 1 1 1 1 1 1 所以AB ⊥平面A BD,又BD⊂平面A BD, 1 1 1 所以AB ⊥BD. 1 (2)以A为原点,AB,AC,A A 所在直线分别为x,y,z轴建立如图所示的空间直角坐标系, 1 设 ,则 , , , , AC=2a A(0,0,0) B(√3,0,0) C(0,2a,0) D(0,a,√3) , , . ⃗AB=(√3,0,0) ⃗AC=(0,2a,0) ⃗AD=(0,a,√3) 设⃗n=(x,y,z)为平面ABD的一个法向量, 则¿,即¿,得x=0,令z=a,则y=−√3, 故 , ⃗n=(0,−√3,a)由题意, |⃗AC⋅⃗n| 2√3a ,解得 , = =√3 a=1 |⃗n| √3+a2 所以 , . ⃗BC=(−√3,2,0) ⃗CD=(0,−1,√3) 设 为平面BCD的一个法向量, i⃗=(p,q,r) 则¿,即¿, 令 ,则 , ,即 , q=√3 p=2 r=1 i⃗=(2,√3,1) 平面ABC的一个法向量为 , ⃗j=(0,0,1) 设平面ABC和平面BCD的夹角为θ, |i⃗⋅⃗j| 1 √2 则cosθ= = = , |i⃗|⋅|⃗j| √22+(√3) 2+12×1 4 √14 所以sinθ=√1−cos2θ= , 4 √14 所以平面ABC和平面BCD的夹角的正弦值为 . 4 21.(12分) 【答案】(1)y=±x (2)y=2x−4或y=−2x+4或x=2 b 【详解】(1)由题知,a=b=√2,所以双曲线C的渐近线方程为y=± x=±x. a x2 y2 (2)双曲线C: − =1的右焦点坐标为(2,0), 2 2 x2 y2 由题知,直线AB的斜率不为0,设直线AB方程为x=ty+2,代入双曲线C: − =1中, 2 2 化简可得: , (t2−1)y2+4ty+2=0(t2≠1) −4t 2 设A(x ,y ),B(x ,y ),则y + y = ,y y = . 1 1 2 2 1 2 t2−1 1 2 t2−1 则 −4t2 −4 x +x =t(y + y )+4= +4= , 1 2 1 2 t2−1 t2−1∴线段 中点 的坐标为( −2 −2t ), AB S , t2−1 t2−1 直线 方程为 2t ( 2 ). ST y+ =−t x+ t2−1 t2−1 (i)当 时, 点恰好为焦点 ,此时存在点 ( 4√5 )或 ( 4√5 ),使得 t=0 S F T 2+ ,0 T 2− ,0 3 3 80 ⃗TS⋅⃗TB=⃗TS2= . 9 此时直线AB方程为x=2. (ii)当 t≠0 时,令 y=0 可得 x= −4 ,可得点 T 的坐标为( −4 ,0 ), ⃗TS= ( 2 , −2t ) t2−1 t2−1 t2−1 t2−1 由于ST⊥AB所以⃗TS⋅⃗TB=⃗TS2, 由 ⃗TS⋅⃗TB= 80,即 |⃗TS|2= 80,也即: |⃗TS|2= ( 2 ) 2 + ( −2t ) 2 = 80. 9 9 t2−1 t2−1 9 1 √55 化简可得20t4−49t2+11=0,解出t=± ,t=± , 2 5 −4 √55 由于直线AB要交双曲线右支于两点,所以 >0,即t2<1,故舍去t=± . t2−1 5 1 可得直线AB的方程为x=± y+2. 2 综上:直线AB方程为y=2x−4或y=−2x+4或x=2. 22.(12分) 22.(12分) 2 1 【答案】(1)a≥ − π 4 1 (2)(−∞,0)∪[ ,+∞) 2cosx −xsinx−cosx 【详解】(1)因为f(x)= ,所以f' (x)= , x x2 π π 2 则f(x)在点A ( ,0 ) 处的切线斜率为f' ( )=− , 2 2 π 2 π 2 所以切线方程为y=− (x− ),即y=− x+1. π 2 π 2 1 2 由¿得− x+1= −ax,即(a− )x2+x−1=0. π x π 2 因为函数定义域为{x|x≠0},所以方程(a− )x2+x−1=0有非零实数根, π 2 2 2 2 1 2 当a= 时,x=1,符合题意,当a≠ 时,则Δ=1+4(a− )≥0,即a≥ − ,且a≠ , π π π π 4 π 2 1 所以实数a的取值范围是a≥ − . π 4 cosx 1 (2)因为函数f(x)和函数g(x)的图象没有公共点,所以f(x)=g(x),即 = −ax无实根, x x 所以当 时, 无实根, x≠0 h(x)=cosx+ax2−1=0 因为 ,即 是偶函数,所以 在 上无实根. h(−x)=h(x) h(x) h(x)=cosx+ax2−1=0 (0,+∞) , h' (x)=2ax−sinx 记 则 , . m(x)=h' (x)=2ax−sinx m'(x)=2a−cosx x∈(0,+∞) ①当 时, ,又 ,则 ,所以 ,满足 在 a<0 ax2<0 −1≤cosx≤1 cosx−1≤0 h(x)=cosx+ax2−1<0 h(x)=0 (0,+∞)上无实根. ②当a=0时,h(x)=cosx−1=0在(0,+∞)上有实根,不合题意,舍去. 1 ③当a≥ 时,m'(x)=2a−cosx≥0,所以h' (x)=2ax−sinx在(0,+∞)单调递增, 2 则 ,所以 在 上单调递增, h' (x)>h' (0)=0 h(x)=cosx+ax2−1=0 (0,+∞) 所以h(x)>h(0)=0,满足h(x)=0在(0,+∞)上无实根. 1 π π ④当00, 2 2 2 π 则存在唯一的x ∈(0, ),使m' (x )=2a−cosx =0,列表得 0 2 0 0π x (0,x ) x (x , ) 0 0 0 2 m' (x) - 0 + m(x)=h' (x)↘ 极小值 ↗ 所以当 时, ,则 在 单调递减,则 , x∈(0,x ) h' (x)0 h(x) (0,+∞) 所以 在 上有实根,不合题意. h(x)=cosx+ax2−1=0 (0,2π) 1 综上可知,实数a的取值范围是(−∞,0)∪[ ,+∞). 2 【点睛】方法点睛: 1. 导函数中常用的两种常用的转化方法:一是利用导数研究含参函数的单调性,常化为不等式恒成立问题. 注意分类讨论与数形结合思想的应用;二是函数的零点、不等式证明常转化为函数的单调性、极(最)值问 题处理. 2.利用导数解决含参函数的单调性问题时,一般将其转化为不等式恒成立问题,解题过程中要注意分类讨 论和数形结合思想的应用. 3.证明不等式,构造一个适当的函数,利用它的单调性进行解题,是一种常用技巧.许多问题,如果运用这 种思想去解决,往往能获得简洁明快的思路,有着非凡的功效.