当前位置:首页>文档>2021年高考数学精选考点专项突破题集专题6.2椭圆的性质与应用(教师版含解析)_02高考数学_新高考复习资料_2023年新高考资料_一轮复习_2023新高考大一轮复习讲义+课件

2021年高考数学精选考点专项突破题集专题6.2椭圆的性质与应用(教师版含解析)_02高考数学_新高考复习资料_2023年新高考资料_一轮复习_2023新高考大一轮复习讲义+课件

  • 2026-04-06 03:39:34 2026-04-06 02:37:40

文档预览

2021年高考数学精选考点专项突破题集专题6.2椭圆的性质与应用(教师版含解析)_02高考数学_新高考复习资料_2023年新高考资料_一轮复习_2023新高考大一轮复习讲义+课件
2021年高考数学精选考点专项突破题集专题6.2椭圆的性质与应用(教师版含解析)_02高考数学_新高考复习资料_2023年新高考资料_一轮复习_2023新高考大一轮复习讲义+课件
2021年高考数学精选考点专项突破题集专题6.2椭圆的性质与应用(教师版含解析)_02高考数学_新高考复习资料_2023年新高考资料_一轮复习_2023新高考大一轮复习讲义+课件
2021年高考数学精选考点专项突破题集专题6.2椭圆的性质与应用(教师版含解析)_02高考数学_新高考复习资料_2023年新高考资料_一轮复习_2023新高考大一轮复习讲义+课件
2021年高考数学精选考点专项突破题集专题6.2椭圆的性质与应用(教师版含解析)_02高考数学_新高考复习资料_2023年新高考资料_一轮复习_2023新高考大一轮复习讲义+课件
2021年高考数学精选考点专项突破题集专题6.2椭圆的性质与应用(教师版含解析)_02高考数学_新高考复习资料_2023年新高考资料_一轮复习_2023新高考大一轮复习讲义+课件
2021年高考数学精选考点专项突破题集专题6.2椭圆的性质与应用(教师版含解析)_02高考数学_新高考复习资料_2023年新高考资料_一轮复习_2023新高考大一轮复习讲义+课件
2021年高考数学精选考点专项突破题集专题6.2椭圆的性质与应用(教师版含解析)_02高考数学_新高考复习资料_2023年新高考资料_一轮复习_2023新高考大一轮复习讲义+课件
2021年高考数学精选考点专项突破题集专题6.2椭圆的性质与应用(教师版含解析)_02高考数学_新高考复习资料_2023年新高考资料_一轮复习_2023新高考大一轮复习讲义+课件
2021年高考数学精选考点专项突破题集专题6.2椭圆的性质与应用(教师版含解析)_02高考数学_新高考复习资料_2023年新高考资料_一轮复习_2023新高考大一轮复习讲义+课件
2021年高考数学精选考点专项突破题集专题6.2椭圆的性质与应用(教师版含解析)_02高考数学_新高考复习资料_2023年新高考资料_一轮复习_2023新高考大一轮复习讲义+课件
2021年高考数学精选考点专项突破题集专题6.2椭圆的性质与应用(教师版含解析)_02高考数学_新高考复习资料_2023年新高考资料_一轮复习_2023新高考大一轮复习讲义+课件
2021年高考数学精选考点专项突破题集专题6.2椭圆的性质与应用(教师版含解析)_02高考数学_新高考复习资料_2023年新高考资料_一轮复习_2023新高考大一轮复习讲义+课件
2021年高考数学精选考点专项突破题集专题6.2椭圆的性质与应用(教师版含解析)_02高考数学_新高考复习资料_2023年新高考资料_一轮复习_2023新高考大一轮复习讲义+课件
2021年高考数学精选考点专项突破题集专题6.2椭圆的性质与应用(教师版含解析)_02高考数学_新高考复习资料_2023年新高考资料_一轮复习_2023新高考大一轮复习讲义+课件
2021年高考数学精选考点专项突破题集专题6.2椭圆的性质与应用(教师版含解析)_02高考数学_新高考复习资料_2023年新高考资料_一轮复习_2023新高考大一轮复习讲义+课件
2021年高考数学精选考点专项突破题集专题6.2椭圆的性质与应用(教师版含解析)_02高考数学_新高考复习资料_2023年新高考资料_一轮复习_2023新高考大一轮复习讲义+课件
2021年高考数学精选考点专项突破题集专题6.2椭圆的性质与应用(教师版含解析)_02高考数学_新高考复习资料_2023年新高考资料_一轮复习_2023新高考大一轮复习讲义+课件
2021年高考数学精选考点专项突破题集专题6.2椭圆的性质与应用(教师版含解析)_02高考数学_新高考复习资料_2023年新高考资料_一轮复习_2023新高考大一轮复习讲义+课件
2021年高考数学精选考点专项突破题集专题6.2椭圆的性质与应用(教师版含解析)_02高考数学_新高考复习资料_2023年新高考资料_一轮复习_2023新高考大一轮复习讲义+课件
2021年高考数学精选考点专项突破题集专题6.2椭圆的性质与应用(教师版含解析)_02高考数学_新高考复习资料_2023年新高考资料_一轮复习_2023新高考大一轮复习讲义+课件
2021年高考数学精选考点专项突破题集专题6.2椭圆的性质与应用(教师版含解析)_02高考数学_新高考复习资料_2023年新高考资料_一轮复习_2023新高考大一轮复习讲义+课件
2021年高考数学精选考点专项突破题集专题6.2椭圆的性质与应用(教师版含解析)_02高考数学_新高考复习资料_2023年新高考资料_一轮复习_2023新高考大一轮复习讲义+课件
2021年高考数学精选考点专项突破题集专题6.2椭圆的性质与应用(教师版含解析)_02高考数学_新高考复习资料_2023年新高考资料_一轮复习_2023新高考大一轮复习讲义+课件
2021年高考数学精选考点专项突破题集专题6.2椭圆的性质与应用(教师版含解析)_02高考数学_新高考复习资料_2023年新高考资料_一轮复习_2023新高考大一轮复习讲义+课件
2021年高考数学精选考点专项突破题集专题6.2椭圆的性质与应用(教师版含解析)_02高考数学_新高考复习资料_2023年新高考资料_一轮复习_2023新高考大一轮复习讲义+课件
2021年高考数学精选考点专项突破题集专题6.2椭圆的性质与应用(教师版含解析)_02高考数学_新高考复习资料_2023年新高考资料_一轮复习_2023新高考大一轮复习讲义+课件
2021年高考数学精选考点专项突破题集专题6.2椭圆的性质与应用(教师版含解析)_02高考数学_新高考复习资料_2023年新高考资料_一轮复习_2023新高考大一轮复习讲义+课件
2021年高考数学精选考点专项突破题集专题6.2椭圆的性质与应用(教师版含解析)_02高考数学_新高考复习资料_2023年新高考资料_一轮复习_2023新高考大一轮复习讲义+课件
2021年高考数学精选考点专项突破题集专题6.2椭圆的性质与应用(教师版含解析)_02高考数学_新高考复习资料_2023年新高考资料_一轮复习_2023新高考大一轮复习讲义+课件
2021年高考数学精选考点专项突破题集专题6.2椭圆的性质与应用(教师版含解析)_02高考数学_新高考复习资料_2023年新高考资料_一轮复习_2023新高考大一轮复习讲义+课件
2021年高考数学精选考点专项突破题集专题6.2椭圆的性质与应用(教师版含解析)_02高考数学_新高考复习资料_2023年新高考资料_一轮复习_2023新高考大一轮复习讲义+课件

文档信息

文档格式
doc
文档大小
2.620 MB
文档页数
28 页
上传时间
2026-04-06 02:37:40

文档内容

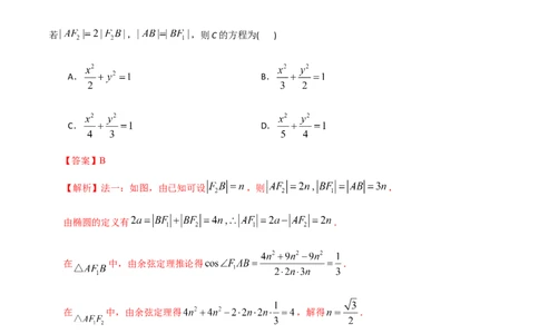
专题 6.2 椭圆的性质与应用 一、单选题 1、(2019年高考北京卷理数)已知椭圆 (a>b>0)的离心率为 ,则( ) A.a2=2b2 B.3a2=4b2 C.a=2b D.3a=4b 【答案】B 【解析】椭圆的离心率 ,化简得 , 故选B. 2、(北京师范大学附属实验中学2019-2020学年高三第一学期12月月考) ABC的两个顶点坐标A(-4,0), B(4,0),它的周长是18,则顶点C的轨迹方程是 ( ) △ A. B. (y≠0) C. D. (y≠0) 【答案】D 【解析】 所以定点 的轨迹为以A,B为焦点的椭圆,去掉A,B,C共线的情况,即 ,选D. 3、(2019年高考全国Ⅱ卷理数)若抛物线y2=2px(p>0)的焦点是椭圆 的一个焦点,则p=( ) A.2 B.3 C.4 D.8 【答案】D 【解析】因为抛物线 的焦点 是椭圆 的一个焦点,所以 ,解得 ,故选D. 4、(河北省衡水中学2019届高三第一次摸底考试)已知椭圆 和直线 ,若 过 的左焦点和下顶点的直线与平行,则椭圆 的离心率为( ) A. B. C. D. 【答案】A 【解析】直线的斜率为 ,过 的左焦点和下顶点的直线与平行,所以 ,又 ,所以 , 故选A. 5、(河北省衡水中学2018届高三第十次模拟考试数学(理)试题)如图,设椭圆 : 的右顶点为 ,右焦点为 , 为椭圆在第二象限上的点,直线 交椭圆 于点 ,若直线 平分 线段 于 ,则椭圆 的离心率是( ) A. B. C. D. 【答案】C 【解析】如图,设AC中点为M,连接OM,则OM为△ABC的中位线, 于是△OFM∽△AFB,且 ,即 = 可得e= = .故答案为: . 6、(2018年高考全国Ⅱ理数)已知 , 是椭圆 的左、右焦点, 是 的左顶 点,点 在过 且斜率为 的直线上, 为等腰三角形, ,则 的离心率为( ) A. B. C. D. 【答案】D 【解析】因为 为等腰三角形, ,所以 , 由 的斜率为 可得 , 所以 , , 由正弦定理得 ,所以 , 所以 , ,故选D. 7、(2019年高考全国Ⅰ卷理数)已知椭圆C的焦点为 ,过F 的直线与C交于A,B两点. 2 若 , ,则C的方程为( ) A. B. C. D. 【答案】B 【解析】法一:如图,由已知可设 ,则 , 由椭圆的定义有 . 在 中,由余弦定理推论得 . 在 中,由余弦定理得 ,解得 . 所求椭圆方程为 ,故选B.法二:由已知可设 ,则 , 由椭圆的定义有 . 在 和 中,由余弦定理得 , 又 互补, ,两式消去 ,得 ,解得 . 所求椭圆方程 为 ,故选B. 8、(2020届河北省衡水中学高三上学期五调考试)已知 , 为椭圆 的两个焦点, 为椭圆短轴的一个端点, ,则椭圆的离心率的取值范围为( ) A. B. C. D. 【答案】C 【解析】由椭圆定义可知: , ,则 , 所以 , 因为 ,即 , ,即 . . 二、多选题 9、(2020届山东省临沂市高三上期末)已知P是椭圆C: 上的动点,Q是圆D: 上的动点,则( ) A.C的焦距为 B.C的离心率为 C.圆D在C的内部D. 的最小值为 【答案】BC 【解析】 , ,则C的焦距为 , . 设 ( ), 则 , 所以圆D在C的内部,且 的最小值为 . 故选:BC. x2 y2 10、(2010栟茶中学期末)设椭圆C:  1的左、右焦点分别为F ,F ,点P为椭圆C上一动点,则 4 3 1 2 下列说法中正确的是( ) A.当点P不在x轴上时,△PFF 的周长是6 1 2 B.当点P不在x轴上时,△PFF 面积的最大值为 3 1 2 C.存在点P,使PF PF 1 2 D.PF 的取值范围是[1,3] 1 【答案】.ABD 【解析】:由椭圆方程可知, ,从而 . a2,b 3 c a2 b2 1 据椭圆定义,PF PF 2a4,又FF 2c2, 1 2 1 2 所以△PFF 的周长是6,A项正确. 1 2 设点P(x ,y )(y 0),因为FF 2, 0 0 0 1 2 1 则S  FF y  y . PF1F2 2 1 2 0 0 因为 ,则△ 面积的最大值为 , 项正确. 0 y�b 3 PFF 3 B 0 1 2由图可知,当点P为椭圆C短轴的一个端点时,FPF 为最大. 1 2 此时,PF PF a2,又FF 2, 1 2 1 2 则△PFF 为正三角形,FPF 60, 1 2 1 2 所以不存在点P,使PF PF ,C项错误. 1 2 由图可知,当点P为椭圆C的右顶点时,PF 取最大值,此时PF ac3; 1 1 当点P为椭圆C的左顶点时,PF 取最小值,此时PF ac1, 1 1 所以PF [1,3],D项正确, 1 故选:ABD x2 11、(2019秋•漳州期末)设椭圆C:  y2 1的左右焦点为F ,F ,P是C上的动点,则下列结论正确的 2 1 2 是( ) A. |PF ||PF |2 2 1 2 6 B.离心率e 2 C.△PFF 面积的最大值为 2 1 2 D.以线段 为直径的圆与直线 相切 FF x y 2 0 1 2 【答案】AD x2 【解析】:由椭圆C:  y2 1可知,a 2,b1,c1, 2 所以左、右焦点为F(1,0),F (1,0), 1 2 根据椭圆的定义 ,故 正确; |PF ||PF |2a2 2 A 1 2 c 2 离心率e  ,故B错误; a 2 1 所以△PFF 面积的最大值为 2cbbc1,故C错误; 1 2 2 由原点 到直线 的距离 2 , (0,0) x y 2 0 d  1c 12 12 所以以线段 为直径的圆与直线 相切,故 正确; FF x y 2 0 D 1 2 故选:AD.x2 y2 12、(2020•淄博一模)已知椭圆  1的左、右焦点分别为F 、E,直线xm(1m1)与椭圆相交 4 3 于点A、B,则( ) A.当m0时,FAB的面积为 3 B.不存在m使FAB为直角三角形 C.存在m使四边形FBEA面积最大 D.存在m,使FAB的周长最大 【答案】AC 【解析】:如图所示:, 1 对于A选项:当m0时,|AB|2 3,F(1,0),FAB的面积为 2 31 3,故选项A正确; 2   对于B选项:当m0时,可以得出AFE ,当m1时,AFE ,根据椭圆的对称性,存在m使 3 4 FAB为直角三角形,故选项B错误; 对于C选项:根据椭圆的对称性可知,当m0时,四边形FBEA面积最大,故选项C正确; 对于D选项:由椭圆的定义得,FAB的周长  AB AF BF  AB(2aAE)(2aBE)4a ABAEBE ,  AEBE�AB,ABAEBE�0,当AB过点E时取等号, AB AF BF 4a ABAEAF�4a, 即直线xm过椭圆的右焦点E时,FAB的周长最大, 此时直线AB的方程为xmc1,但是1m1,所以不存在m,使FAB的周长最大,故选项D错 误; 故选:AC .三、填空题 13、(2020届浙江省嘉兴市3月模拟)已知椭圆 的左、右焦点分别是 , ,点 是椭圆上位于 轴上方的一点,若直线 的斜率为 ,且 ,则椭圆的离心率为________. 【答案】 . 【解析】 设 ,由直线 的斜率为 ,知 ,且 ,即得 , 由 及椭圆定义知 , 由余弦定理即可得, ,即,化简得 , 故 或3(舍) 即 . 故答案为: 14、(2019年高考全国Ⅲ卷理数)设 为椭圆C: 的两个焦点,M为C上一点且在第一象限. 若 为等腰三角形,则M的坐标为___________. 【答案】 【解析】由已知可得 , ,∴ . 设点 的坐标为 ,则 , 又 ,解得 ,,解得 ( 舍去), 的坐标为 . 15、(2020·浙江高三)如图,过椭圆 的左、右焦点F ,F 分别作斜率为 的直线交椭圆C 1 2 上半部分于A,B两点,记△AOF ,△BOF 的面积分别为S ,S ,若S :S =7:5,则椭圆C离心率为_____. 1 2 1 2 1 2 【答案】 【解析】作点B关于原点的对称点B ,可得S ,则有 , 1 所以 . 将直线AB 方程 ,代入椭圆方程后, , 1整理可得:(b2+8a2)y2﹣4 b2cy+8b4=0, 由韦达定理解得 , , 三式联立,可解得离心率 . 故答案为: . 16、(2020届浙江省杭州市高三3月模拟)设 是椭圆 的两个焦点, 是C上一点,且满足 的面积为 则 的取值范围是____. 【答案】 【解析】 依题意, ,所以 ,则 ,而 ,所以 .由于 , ,根据二次函数的性质 可知: ,所以 ,所以 ,解得 . 故答案为: 17、(2019年高考浙江卷)已知椭圆 的左焦点为 ,点 在椭圆上且在 轴的上方,若线段的中点在以原点 为圆心, 为半径的圆上,则直线 的斜率是___________. 【答案】 【解析】方法1:如图,设F 为椭圆右焦点.由题意可知 , 1 由中位线定理可得 ,设 ,可得 , 与方程 联立,可解得 (舍), 又点 在椭圆上且在 轴的上方,求得 ,所以 . 方法2:(焦半径公式应用)由题意可知 , 由中位线定理可得 ,即 , 从而可求得 ,所以 .18、(2020届浙江省高中发展共同体高三上期末)已知椭圆 的内接 的顶点 为短轴的一个端点,右焦点 ,线段 中点为 ,且 ,则椭圆离心率的取值范围是 ___________. 【答案】 【解析】由题意可设 , ,线段 中点为 ,且 , 可得 为 的重心,设 , , 由重心坐标公式可得, , , 即有 的中点 ,可得 , , 由题意可得点 在椭圆内,可得 , 由 ,可得 ,即有 . 故答案为: . 19、(2020届浙江省杭州市建人高复高三4月模拟)双曲线 的左焦点为 ,过 的直 线交双曲线左支于 两点,且 ,延长 交双曲线右支于点 ,若 ,则该 双曲线的离心率为_________ 【答案】 【解析】取双曲线的右焦点 ,连接 ,延长交双曲线于 ,连接 ,(如图) 由 , 可得四边形 为矩形, 设 , 由对称性可得: , , 即有 , 由双曲线的定义可得: ,① 在直角三角形 中, , 可得 ,② 由①②可得 ,即 , 代入①可得: ,化简可得: , 即有 故答案为: 20、(2018 年高考浙江卷)已知点 P(0,1),椭圆 +y2=m(m>1)上两点 A,B 满足 =2 ,则当 m=___________时,点B横坐标的绝对值最大. 【答案】 【解析】设 , , 由 得 , , 所以 , 因为 , 在椭圆上,所以 , , 所以 , 所以 , 与 对应相减得 , , 当且仅当 时取最大值. 四、解答题 21、(2020·浙江温州中学3月高考模拟)已知直线 与椭圆 恰有一个公共 点 , 与圆 相交于 两点.(I)求 与 的关系式; (II)点 与点 关于坐标原点 对称.若当 时, 的面积取到最大值 ,求椭圆的离心率. 【解析】 (I)由 ,得 , 则 化简整理,得 ; (Ⅱ)因点 与点 关于坐标原点 对称,故 的面积是 的面积的两倍. 所以当 时, 的面积取到最大值 ,此时 , 从而原点 到直线 的距离 , 又 ,故 . 再由(I),得 ,则 . 又 ,故 ,即 ,从而 ,即 . 22、(2020年高考全国Ⅰ卷理数)已知A、B分别为椭圆E: (a>1)的左、右顶点,G为E的上顶点, ,P为直线x=6上的动点,PA与E的另一交点为C,PB与E的另一交点为D. (1)求E的方程; (2)证明:直线CD过定点. 【解析】(1)由题设得A(–a,0),B(a,0),G(0,1). 则 , =(a,–1).由 =8得a2–1=8,即a=3. 所以E的方程为 +y2=1. (2)设C(x ,y ),D(x ,y ),P(6,t). 1 1 2 2 若t≠0,设直线CD的方程为x=my+n,由题意可知–3b>0)的右焦点F与抛物线C 的焦点重合,C 的 1 2 1 中心与 C 的顶点重合.过 F 且与 x 轴垂直的直线交 C 于 A,B 两点,交 C 于 C,D 两点,且 2 1 2 . (1)求C 的离心率; 1 (2)设M是C 与C 的公共点,若|MF|=5,求C 与C 的标准方程. 1 2 1 2 【解析】(1)由已知可设 的方程为 ,其中 . 不妨设 在第一象限,由题设得 的纵坐标分别为 , ; 的纵坐标分别为 , ,故 , . 由 得 ,即 ,解得 (舍去), . 所以 的离心率为 . (2)由(1)知 , ,故 , 设 ,则 , ,故 .① 由于 的准线为 ,所以 ,而 ,故 ,代入①得,即 ,解得 (舍去), . 所以 的标准方程为 , 的标准方程为 . 25、(2020年高考全国Ⅲ卷理数)已知椭圆 的离心率为 , , 分别为 的左、 右顶点. (1)求 的方程; (2)若点 在 上,点 在直线 上,且 , ,求 的面积. 【解析】(1)由题设可得 ,得 , 所以 的方程为 . (2)设 ,根据对称性可设 ,由题意知 , 由已知可得 ,直线BP的方程为 ,所以 , , 因为 ,所以 ,将 代入 的方程,解得 或 . 由直线BP的方程得 或8. 所以点 的坐标分别为 . ,直线 的方程为 ,点 到直线 的距离为 ,故 的面积为 . ,直线 的方程为 ,点 到直线 的距离为 ,故 的 面积为 . 综上, 的面积为 . 26、(2020届山东省泰安市高三上期末)已知椭圆 的离心率e满足 ,右顶点为A,上顶点为B,点C(0,-2),过点C作一条与y轴不重合的直线l,直线l 交椭圆E于P,Q两点,直线BP,BQ分别交x轴于点M,N;当直线l经过点A时,l的斜率为 . (1)求椭圆E的方程; (2)证明: 为定值. 【解析】 (1)由 解得 或 (舍去),∴ ,又 , , 又 , , , 椭圆E的方程为 ; (2)由题知,直线 的斜率存在,设直线 的方程为 , 设 , 由 得 , ∴ , = , ∴ , = , 直线BP的方程为 ,令 解得 ,则 ,同理可得 , = = = , 为定值 . 27、(2020届山东省烟台市高三上期末)已知椭圆 的离心率为 , 是其右焦点, 直线 与椭圆交于 , 两点, . (1)求椭圆的标准方程; (2)设 ,若 为锐角,求实数 的取值范围. 【解析】(1)设 为椭圆的左焦点,连接 ,由椭圆的对称性可知, , 所以 ,所以 , 又 , ,解得 , , 所以椭圆的标准方程为 (2)设点 ,则 , , 联立 ,得 ,所以 , , 因为 为锐角,所以 , 所以 , 解得 或