当前位置:首页>文档>专题16.16二次根式的化简求值50题(分层练习)(提升练)(人教版)_初中数学_八年级数学下册(人教版)_专题突破练习-V4

专题16.16二次根式的化简求值50题(分层练习)(提升练)(人教版)_初中数学_八年级数学下册(人教版)_专题突破练习-V4

  • 2026-04-06 06:56:53 2026-04-06 06:38:55

文档预览

专题16.16二次根式的化简求值50题(分层练习)(提升练)(人教版)_初中数学_八年级数学下册(人教版)_专题突破练习-V4
专题16.16二次根式的化简求值50题(分层练习)(提升练)(人教版)_初中数学_八年级数学下册(人教版)_专题突破练习-V4
专题16.16二次根式的化简求值50题(分层练习)(提升练)(人教版)_初中数学_八年级数学下册(人教版)_专题突破练习-V4
专题16.16二次根式的化简求值50题(分层练习)(提升练)(人教版)_初中数学_八年级数学下册(人教版)_专题突破练习-V4
专题16.16二次根式的化简求值50题(分层练习)(提升练)(人教版)_初中数学_八年级数学下册(人教版)_专题突破练习-V4
专题16.16二次根式的化简求值50题(分层练习)(提升练)(人教版)_初中数学_八年级数学下册(人教版)_专题突破练习-V4
专题16.16二次根式的化简求值50题(分层练习)(提升练)(人教版)_初中数学_八年级数学下册(人教版)_专题突破练习-V4
专题16.16二次根式的化简求值50题(分层练习)(提升练)(人教版)_初中数学_八年级数学下册(人教版)_专题突破练习-V4
专题16.16二次根式的化简求值50题(分层练习)(提升练)(人教版)_初中数学_八年级数学下册(人教版)_专题突破练习-V4
专题16.16二次根式的化简求值50题(分层练习)(提升练)(人教版)_初中数学_八年级数学下册(人教版)_专题突破练习-V4
专题16.16二次根式的化简求值50题(分层练习)(提升练)(人教版)_初中数学_八年级数学下册(人教版)_专题突破练习-V4
专题16.16二次根式的化简求值50题(分层练习)(提升练)(人教版)_初中数学_八年级数学下册(人教版)_专题突破练习-V4
专题16.16二次根式的化简求值50题(分层练习)(提升练)(人教版)_初中数学_八年级数学下册(人教版)_专题突破练习-V4
专题16.16二次根式的化简求值50题(分层练习)(提升练)(人教版)_初中数学_八年级数学下册(人教版)_专题突破练习-V4
专题16.16二次根式的化简求值50题(分层练习)(提升练)(人教版)_初中数学_八年级数学下册(人教版)_专题突破练习-V4
专题16.16二次根式的化简求值50题(分层练习)(提升练)(人教版)_初中数学_八年级数学下册(人教版)_专题突破练习-V4
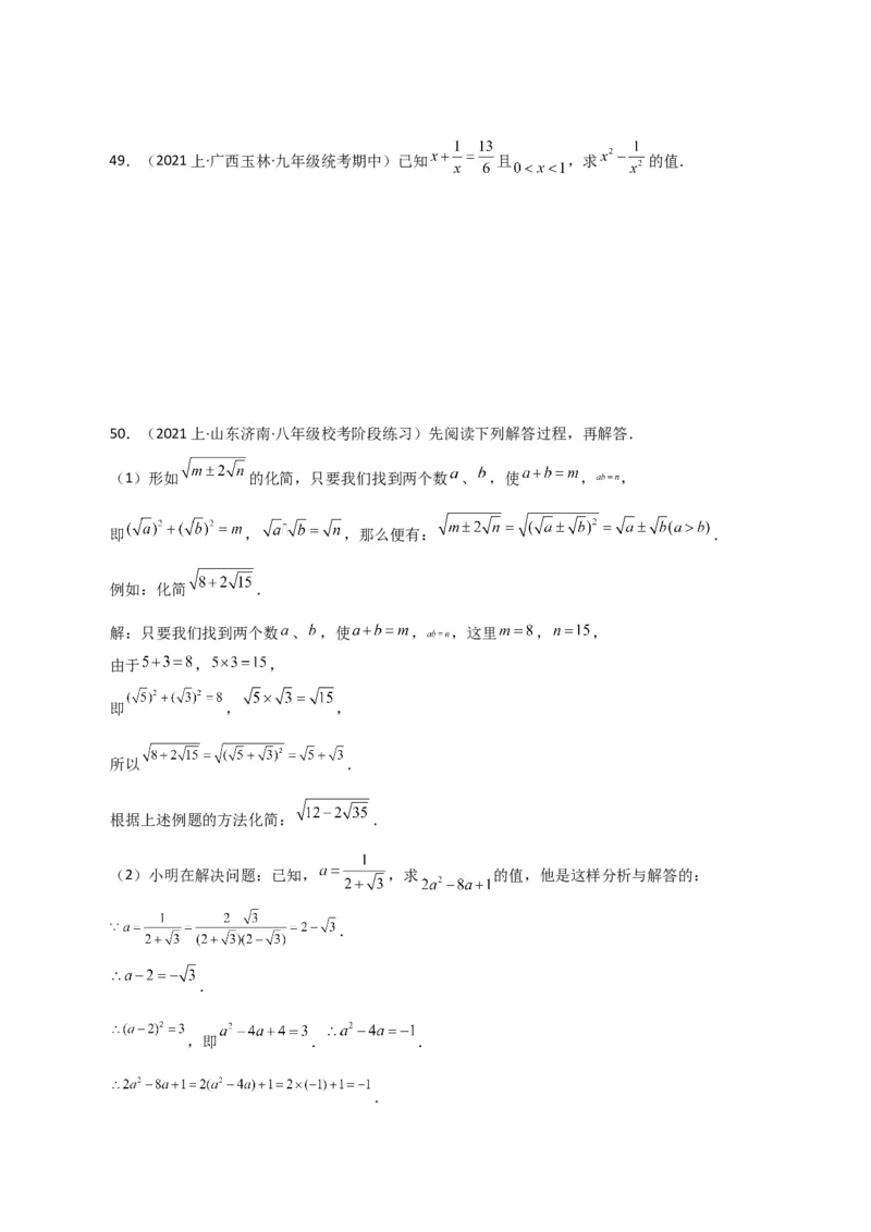
专题16.16二次根式的化简求值50题(分层练习)(提升练)(人教版)_初中数学_八年级数学下册(人教版)_专题突破练习-V4
专题16.16二次根式的化简求值50题(分层练习)(提升练)(人教版)_初中数学_八年级数学下册(人教版)_专题突破练习-V4
专题16.16二次根式的化简求值50题(分层练习)(提升练)(人教版)_初中数学_八年级数学下册(人教版)_专题突破练习-V4
专题16.16二次根式的化简求值50题(分层练习)(提升练)(人教版)_初中数学_八年级数学下册(人教版)_专题突破练习-V4
专题16.16二次根式的化简求值50题(分层练习)(提升练)(人教版)_初中数学_八年级数学下册(人教版)_专题突破练习-V4
专题16.16二次根式的化简求值50题(分层练习)(提升练)(人教版)_初中数学_八年级数学下册(人教版)_专题突破练习-V4
专题16.16二次根式的化简求值50题(分层练习)(提升练)(人教版)_初中数学_八年级数学下册(人教版)_专题突破练习-V4
专题16.16二次根式的化简求值50题(分层练习)(提升练)(人教版)_初中数学_八年级数学下册(人教版)_专题突破练习-V4
专题16.16二次根式的化简求值50题(分层练习)(提升练)(人教版)_初中数学_八年级数学下册(人教版)_专题突破练习-V4
专题16.16二次根式的化简求值50题(分层练习)(提升练)(人教版)_初中数学_八年级数学下册(人教版)_专题突破练习-V4
专题16.16二次根式的化简求值50题(分层练习)(提升练)(人教版)_初中数学_八年级数学下册(人教版)_专题突破练习-V4
专题16.16二次根式的化简求值50题(分层练习)(提升练)(人教版)_初中数学_八年级数学下册(人教版)_专题突破练习-V4
专题16.16二次根式的化简求值50题(分层练习)(提升练)(人教版)_初中数学_八年级数学下册(人教版)_专题突破练习-V4
专题16.16二次根式的化简求值50题(分层练习)(提升练)(人教版)_初中数学_八年级数学下册(人教版)_专题突破练习-V4
专题16.16二次根式的化简求值50题(分层练习)(提升练)(人教版)_初中数学_八年级数学下册(人教版)_专题突破练习-V4
专题16.16二次根式的化简求值50题(分层练习)(提升练)(人教版)_初中数学_八年级数学下册(人教版)_专题突破练习-V4
专题16.16二次根式的化简求值50题(分层练习)(提升练)(人教版)_初中数学_八年级数学下册(人教版)_专题突破练习-V4
专题16.16二次根式的化简求值50题(分层练习)(提升练)(人教版)_初中数学_八年级数学下册(人教版)_专题突破练习-V4
专题16.16二次根式的化简求值50题(分层练习)(提升练)(人教版)_初中数学_八年级数学下册(人教版)_专题突破练习-V4
专题16.16二次根式的化简求值50题(分层练习)(提升练)(人教版)_初中数学_八年级数学下册(人教版)_专题突破练习-V4
专题16.16二次根式的化简求值50题(分层练习)(提升练)(人教版)_初中数学_八年级数学下册(人教版)_专题突破练习-V4
专题16.16二次根式的化简求值50题(分层练习)(提升练)(人教版)_初中数学_八年级数学下册(人教版)_专题突破练习-V4
专题16.16二次根式的化简求值50题(分层练习)(提升练)(人教版)_初中数学_八年级数学下册(人教版)_专题突破练习-V4
专题16.16二次根式的化简求值50题(分层练习)(提升练)(人教版)_初中数学_八年级数学下册(人教版)_专题突破练习-V4
专题16.16二次根式的化简求值50题(分层练习)(提升练)(人教版)_初中数学_八年级数学下册(人教版)_专题突破练习-V4
专题16.16二次根式的化简求值50题(分层练习)(提升练)(人教版)_初中数学_八年级数学下册(人教版)_专题突破练习-V4
专题16.16二次根式的化简求值50题(分层练习)(提升练)(人教版)_初中数学_八年级数学下册(人教版)_专题突破练习-V4
专题16.16二次根式的化简求值50题(分层练习)(提升练)(人教版)_初中数学_八年级数学下册(人教版)_专题突破练习-V4
专题16.16二次根式的化简求值50题(分层练习)(提升练)(人教版)_初中数学_八年级数学下册(人教版)_专题突破练习-V4
专题16.16二次根式的化简求值50题(分层练习)(提升练)(人教版)_初中数学_八年级数学下册(人教版)_专题突破练习-V4
专题16.16二次根式的化简求值50题(分层练习)(提升练)(人教版)_初中数学_八年级数学下册(人教版)_专题突破练习-V4
专题16.16二次根式的化简求值50题(分层练习)(提升练)(人教版)_初中数学_八年级数学下册(人教版)_专题突破练习-V4
专题16.16二次根式的化简求值50题(分层练习)(提升练)(人教版)_初中数学_八年级数学下册(人教版)_专题突破练习-V4
专题16.16二次根式的化简求值50题(分层练习)(提升练)(人教版)_初中数学_八年级数学下册(人教版)_专题突破练习-V4
专题16.16二次根式的化简求值50题(分层练习)(提升练)(人教版)_初中数学_八年级数学下册(人教版)_专题突破练习-V4
专题16.16二次根式的化简求值50题(分层练习)(提升练)(人教版)_初中数学_八年级数学下册(人教版)_专题突破练习-V4
专题16.16二次根式的化简求值50题(分层练习)(提升练)(人教版)_初中数学_八年级数学下册(人教版)_专题突破练习-V4

文档信息

文档格式
docx
文档大小
3.114 MB
文档页数
49 页
上传时间
2026-04-06 06:38:55

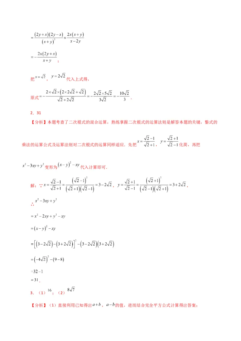
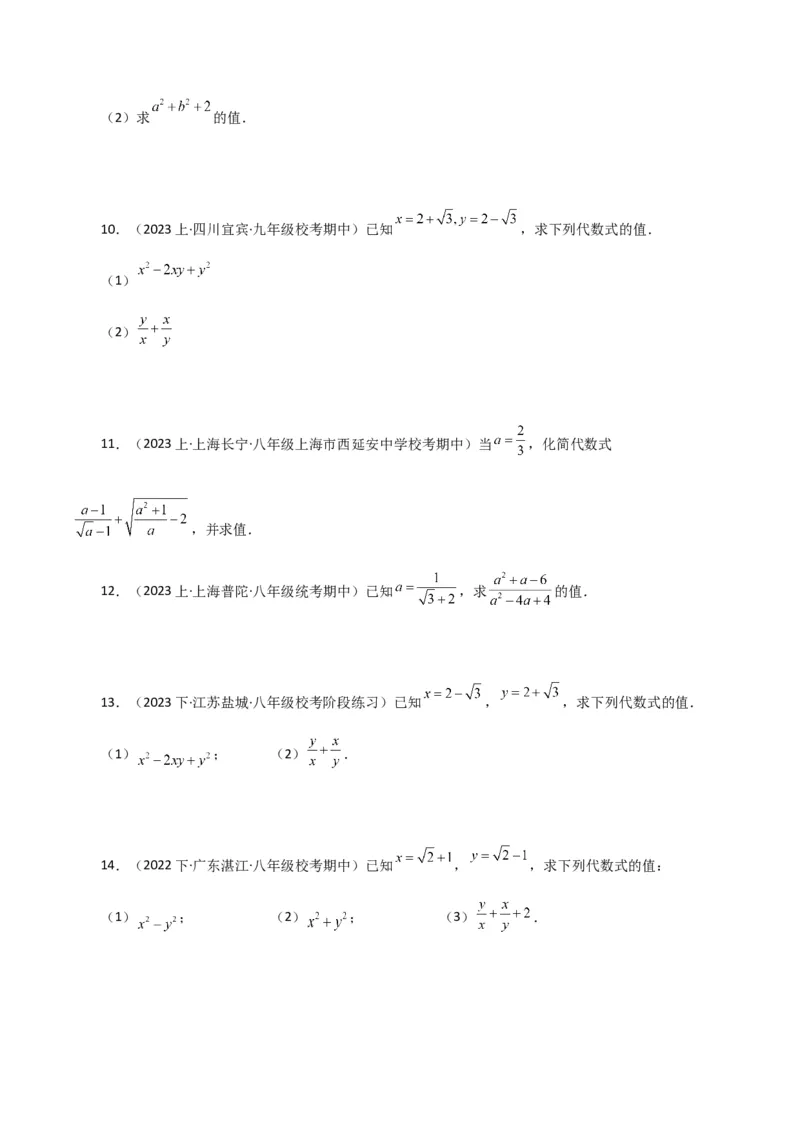
文档内容

专题16.16 二次根式的化简求值50 题(分层练习)(提升练) 1.(2023上·辽宁大连·八年级统考期末)先化简,再求值: ,其中 , . 2.(2023上·湖北武汉·八年级期末)设 , ,求 值. 3.(2020下·湖北黄冈·八年级校考阶段练习)已知 , ,求下列各式的值. (1) . (2) . 4.(2023上·贵州毕节·八年级校考期中)阅读下列材料: 已知 ,求代数式 的值.下面是小敏的解题方法: 解:由 ,得 ,所以 ,所以 ,即 .把 作 为整体代入,得 . 这种方法是把已知条件适当变形,再整体代入解决问题. 请你用上述方法解决下列问题: (1)若 ,求代数式 的值; (2)若 ,求代数式 的值.5.(2024下·全国·八年级假期作业)已知 , ,求下列各式的值: (1) ; (2) ; (3) . 6.(2023上·河北衡水·八年级校联考阶段练习)已知 . (1)求 和 的值; (2)求 的值; (3)若 的小数部分是 , 的整数部分是 ,求 的值. 7.(2023上·四川成都·八年级校联考期中)已知: , ,求下列代数式的值: (1) (2) 8.(2023上·上海闵行·八年级校联考期中)已知 , ,求 的值. 9.(2022上·四川成都·八年级成都嘉祥外国语学校校考期末)已知 , .求: (1) 的值;(2)求 的值. 10.(2023上·四川宜宾·九年级校考期中)已知 ,求下列代数式的值. (1) (2) 11.(2023上·上海长宁·八年级上海市西延安中学校考期中)当 ,化简代数式 ,并求值. 12.(2023上·上海普陀·八年级统考期中)已知 ,求 的值. 13.(2023下·江苏盐城·八年级校考阶段练习)已知 , ,求下列代数式的值. (1) ; (2) . 14.(2022下·广东湛江·八年级校考期中)已知 , ,求下列代数式的值: (1) ; (2) ; (3) .15.(2023下·广东江门·八年级校考期中)已知: , . (1)填空: , ; (2)求 的值. 16.(2023上·上海·八年级校考阶段练习)已知 ,求 的值. 17.(2023上·吉林长春·九年级校联考阶段练习)先化简,再求值: ,其中 . 18.(2023上·上海松江·八年级校考阶段练习)先化简,再求值: ,其中 , . 19.(2023上·四川成都·八年级校考阶段练习)已知: ,求: (1) 的值; (2) ; (3)若m为a整数部分,n为b小数部分,求 的值. 20.(2023上·四川内江·九年级校考阶段练习)已知:a是 的小数部分,求代数式的值. 21.(2022上·湖南衡阳·九年级校考期中)已知 , . (1)求 的值; (2)求 的值. 22.(2023上·四川宜宾·九年级校考阶段练习)已知 ,试求 的值. 23.(2023上·四川绵阳·九年级统考开学考试)化简求值: (1)已知 ,求代数式 的值; (2)已知 , ,求 的值. 24.(2023下·江西上饶·八年级校考期中)求代数式 的值,其中 .下面是小 芳和小亮的解题过程,都是把含有字母式子先开方再进行运算的方法,请认真思考、理解解答过程,回答 下列问题. 小芳: 解:原式 ,小亮: 解:原式= . (1)______的解法是错误的; (2)求代数式 的值,其中 . 25.(2022下·上海闵行·七年级校考期末)先化简,再求值: ,其中 , . 26.(2023下·福建厦门·八年级校考期中)若 ,求下列代数式的值. (1) ; (2) . 27.(2023上·四川乐山·九年级乐山市实验中学校考期中)已知 , 为实数,且满足 ,求 的值. 28.(2023上·湖南衡阳·九年级校考阶段练习)已知 ,求下列代数式的值.(1) ; (2) . 29.(2022上·四川巴中·九年级校考阶段练习)已知 , . (1)求 的值; (2)求 的值. 30.(2023上·上海松江·八年级校考阶段练习)已知 , ,求 的值. 31.(2023下·江苏·八年级期末)已知 ,求 . 32.(2023下·八年级单元测试)化简求值: (1) ,其中 ; (2)已知 , ,求 的值; (3)已知 , ,求 的值.33.(2023下·河南商丘·八年级校联考阶段练习)已知 , ,求: (1)代数式 的值; (2)代数式 的值. 34.(2023下·浙江·八年级专题练习)已知 .求代数式 的值. 35.(2023下·福建南平·八年级统考阶段练习)已知 , ,求代数式的值; (1) ; (2) . 36.(2022下·广东河源·八年级校考期末)已知 ,且 为奇数,求 的值. 37.(2022下·福建龙岩·八年级龙岩初级中学校考阶段练习)(1)已知 、 为实数,且 ,求 、 的值. (2)已知实数 满足 ,求 的值. 38.(2021下·湖北武汉·八年级校联考阶段练习)已知 ,求下列各式的值;(1) ; (2) . 39.(2022上·河南商丘·八年级统考期末)计算: (1)已知 ,求 的值; (2)已知实数 满足 ,求 的值. 40.(2022上·上海虹口·八年级上外附中校考阶段练习)已知x,y都是有理数,并且满足 ,求 的值. 41.(2022上·重庆·八年级重庆巴蜀中学校考阶段练习)先化简,再求值: ,其中 . 42.(2022上·上海·八年级专题练习)已知 , ,求代数式 的 值. 43.(2022下·江西上饶·八年级统考期中)已知 , ,求 的值.44.(2021下·辽宁葫芦岛·八年级校考阶段练习)已知 , . (1)求 的值; (2)求 的值. 45.(2022下·浙江金华·八年级校考期中)(1)计算: ; (2)已知 ,求3a2﹣6a﹣1的值. 46.(2022上·贵州毕节·八年级校考期末)若 , 为实数,且 .求 的值. 47.(2022下·江西新余·八年级新余市第一中学校考阶段练习)已知 , 求 . 48.(2020上·江苏苏州·八年级统考期中)已知 , ,求下列各式的值. (1) ; (2) .49.(2021上·广西玉林·九年级统考期中)已知 且 ,求 的值. 50.(2021上·山东济南·八年级校考阶段练习)先阅读下列解答过程,再解答. (1)形如 的化简,只要我们找到两个数 、 ,使 , , 即 , ,那么便有: . 例如:化简 . 解:只要我们找到两个数 、 ,使 , ,这里 , , 由于 , , 即 , , 所以 . 根据上述例题的方法化简: . (2)小明在解决问题:已知, ,求 的值,他是这样分析与解答的: . . ,即 . . .请你根据小明的分析过程,解决如下问题: ①计算: ; ②计算: = ③若 ,求 的值 参考答案: 1. ; 【分析】本题主要考查分式的化简求值,把除法转化为乘法,约分化简,再代入求值. 解:; 把 , 代入上式得, 原式 . 2.31 【分析】本题考查了二次根式的混合运算,熟练掌握二次根式的运算法则是解答本题的关键,整式的 乘法的运算公式及运算法则对二次根式的运算同样适应.先把 , 化简,再把 变形为 代入计算即可. 解:∵ , , ∴ . 3.(1) ;(2) 【分析】(1)直接利用已知得出 , 的值,进而结合完全平方公式计算得出答案;(2)结合平方差公式计算得出答案. (1)解:∵ , , ∴ , , ∴ ; (2) . 【点拨】本题考查二次根式的化简求值,完全平方公式,平方差公式,求代数式的值,运用了整体代 入的思想.正确运用乘法公式进行因式分解是解题关键. 4.(1) ;(2)2 【分析】本题主要考查了代数式求值,正确读懂题意仿照题意进行求解是解题的关键. (1)先求出 ,进而得到 ,则 ,再把 整体代入所求式子 中求解即可; (2)先仿照题意求出 ,则 ,再把 变形为 ,进一步变形为 ,由此可得答案. (1)解:∵ , ∴ ,∴ , ∴ , ∴ , ∴ ; (2)解:∵ , ∴ , ∴ , ∴ , ∴ , ∴ . 5.(1) ;(2) ;(3) 解:∵ , ,∴ , . (1)原式 . (2)原式 .(3)原式 6.(1) , ;(2) ;(3) 【分析】本题考查了二次根式的混合运算、利用完全平方公式进行计算、无理数的估算,熟练掌握以 上知识点并灵活运用是解此题的关键. (1)代入 即可求出 和 的值; (2)将原式变形为 ,代入数值进行计算即可; (3)先估算出 ,从而得出 , ,再代入进行计算即可得出答案. (1)解: , , ; (2)解:由(1)得: , , (3)解: , ,即 , , , 的小数部分是 , , , 的整数部分是 , , .7.(1) ;(2) 【分析】本题考查了二次根式的混合与运算; (1)先计算 ,然后根据平方差公式因式分解,代入即可求解; (2)先计算 ,然后根据完全平方公式因式分解,代入即可求解. (1)解:∵ , ∴ ∴ (2)∵ , ∴ ∴ . 8.13 【分析】本题考查了二次根式的运算,求代数式的值.先把x与y进行化简,然后代入代数式中求解 即可. 解:由于 , 则 ;答: 的值为13. 9.(1) 的值为 ;(2) 的值为24 【分析】本题考查二次根式的化简求值. (1)先将 、 分母有理化,再将 、 的值代入计算即可得到答案; (2)将 配成 ,再将 、 的值代入计算. (1)解:∵ , , ∴ , , ∴ ; (2)解: . 10.(1)12;(2)14 【分析】此题考查了二次根式的化简求值,解题的关键是运用完全平方公式以及整体思想,本题属于 基础题型. (1)根据完全平方公式,即可求解; (2)求出 和 的值,然后根据完全平方公式求出 ,再将所求式子变形为 ,再整体代入即可. 解:(1) , ; (2) , , , 11. , +1 【分析】本题考查二次根式的化简求值,首先判断出 ,然后对二次根式进行化简,代入数值 计算是解题的关键. 解:∵ , ∴ , ∴ ,, 当 时,原式 . 12. 【分析】根据分式的除法化简,然后将 化简,再代入分式的化简结果进行计算即可求解. 解: ∵ ∴原式 【点拨】本题考查了分式的化简求值,二次根式的混合运算,熟练掌握二次根式的运算法则是解题的 关键. 13.(1)12;(2)14 【分析】(1)利用完全平方公式分解因式,再代入进行计算即可得; (2)先求出 的值,将 变形为 再结合(1)的结果求出的值,由此即可得. (1)解: , ,. (2)解: , , , . 【点拨】本题考查了乘法公式、因式分解、二次根式的乘法与加法,熟练掌握各运算法则和公式是解 题关键. 14.(1) ;(2)6;(3)8 【分析】(1)先根据 , ,求出 , 的值,然后再用平方差公式进行计算 即可; (2)先求出 的值,然后根据完全平方公式变形求值即可; (3)将 变形为 ,然后代入求值即可. (1)解:∵ , , ∴ , , ∴; (2)解:∵ , , ∴ , ∴ ; (3)解: . 【点拨】本题主要考查了二次根式的化简求值,完全平方公式的变形求值,分式的求值,正确根据题 意得到 , , 是解题的关键. 15.(1) ;1;(2)4 【分析】(1)进行二次根式加减运算可求 ,利用平方差公式可求 ;(2)化为 ,代入计算即可求解. (1)解: , , ; ; 故答案: , ; (2)解:原式 , 当 , 时, 原式 . 【点拨】本题考查了利用平方差公式、完全平方公式进行二次根式混合运算,掌握乘法公式是解题法 关键. 16.4 【分析】由题意可得: ,再代入相应的值运算即可. 解: , ,把 代入得: . 【点拨】本题主要考查二次根式的化简求值,解答的关键是对相应的运算法则的掌握. 17. ; 【分析】首先化简 ,然后把 代入化简后的算式,求出算式的 值是多少即可. 解: , 把 代入, 原式 . 【点拨】此题主要考查了整式的加减-化简求值问题,要熟练掌握,一般要先化简,再把给定字母的值 代入计算,得出整式的值,不易把数值直接代入整式中计算. 18. , 【分析】先根据二次根式的性质,分式的性质,将代数式化简,将 的分母有理化,再代入原式即可 求解. 解:, 且 , , ∴原式 【点拨】本题考查了分式的化简求值,二次根式的化简,平方差公式,熟练掌握二次根式的化简是解 题的关键. 19.(1)25;(2) ;(3) 【分析】(1)代入求值即可; (2)利用完全平方公式整理得 ,再代入求值即可求解; (3)根据题意估算出m、n的值,代入式子化简计算. (1)解:∵ , ∴; (2)解:∵ , , ; (3)解:∵ ,即 , ∴ , ∴ , , ∵m为a整数部分,n为b小数部分, , ∴ , , ∴ . 【点拨】本题考查了二次根式,解题的关键是掌握二次根式的混合运算,分母有理化. 20. 【分析】先根据无理数的估算可得 ,再化简二次根式和分式,计算分式的加法,然后代入 计算即可得. 解: , ,即 ,是 的小数部分, , , . 【点拨】本题考查了无理数的估算、二次根式的运算、分式的运算,熟练掌握二次根式和分式的运算 法则是解题关键. 21.(1)14;(2) 【分析】(1)先计算出 和 ,再将 变形为 ,即可求解; (2)先计算出 和 ,再将 变形为 ,即可求解. (1)解: , , , ,; (2)解: , , , , . 【点拨】本题主要考查完全平方公式、平方差公式的应用、分式的化简求值、二次根式的运算等,掌 握相关知识并正确计算是解题的关键. 22. 【分析】先分母有理化求出 ,进而得到 , ,再根据完全平 方公式的变形求出 ,由此代值计算即可. 解:∵ , ∴ , ∴ , ∴ , , ∴ , ∴ . 【点拨】本题主要考查了二次根式的化简求值,正确利用分母有理化的方法求出 是解题的关键. 23.(1)6;(2) 【分析】(1)按照有理数一边,无理数一边,整理条件等式,后平方,变形代入所求代数式即可. (2)求出 和 的值,再通分,根据完全平方公式进行计算,最后代入求出答案即可.解:(1)∵ , ∴ , ∴ , ∴ , ∴ . (2)∵ , ,, ∴ , ∴ . 【点拨】本题考查了分式的化简求值和二次根式的化简求值,能正确根据分式和二次根式的运算法则 进行计算是解此题的关键. 24.(1)小亮;(2) 【分析】(1)根据完全平方式 可知 ,再 利用二次根式的性质及绝对值的性质即可解答; (2)根据完全平方式 可知 ,再利用 二次根式的性质及绝对值的性质即可解答. (1)解:∵ ,∴代数式 , ∴小亮的解法错误, 故答案为小亮. (2)解:∵ , ∴ . 【点拨】本题考查了完全平方式 ,二次根式的性质,绝对值的性质,掌握二次 根式的性质及绝对值的性质是解题的关键. 25. , 【分析】先进行分母有理化,再约分,最后求和即可得到化简结果,再求出 , ,整 体代入化简结果,计算即可. 解: ∵ , .∴ , , ∴原式 . 【点拨】此题考查了二次根式的化简求值,熟练掌握二次根式的运算法则和分母有理化是解题的关键. 26.(1) ;(2)4 【分析】(1)根据 ,得到 ,结合 代入计算 即可. (2)根据 ,得到 ,结合 代入计算即 可. 解:(1)∵ , ∴ , ∴ . (2)∵ , ∴ , ∴ . 【点拨】本题考查了代数式的求值,因式分解,完全平方公式,二次根式的性质,熟练掌握完全平方 公式,二次根式的性质是解题的关键. 27.【分析】本题主要考查了二次根式的化简求值,分式有意义的条件,先根据二次根式有意义的条件得 到 ,则 ,再由分式有意义的条件推出 ,据此求出 ,再代值计算即可得到答案. 解:∵ 要有意义, ∴ ,即 , ∴ , ∴ , 又∵分式有意义, ∴ ,即 , ∴ , ∴ , ∴ . 28.(1)12;(2)14 【分析】(1)原式利用完全平方公式变形,把 与 的值代入计算即可求出值; (2)原式通分并利用同分母分式的加法法则计算,再变形,最后把 与 的值代入计算即可求出值. 解:(1)∵ , , ∴原式 ; (2)∵ , , ∴ ,∴原式 . 【点拨】此题考查了二次根式的化简求值,分式的加减法,以及分母有理化,熟练掌握运算法则及公 式是解本题的关键. 29.(1)19;(2) 【分析】(1)先计算 的值,根据题意,将代数式 进行适当的变形如下, ,后整体代入求值. (2)先计算 的值,根据题意,将代数式 进行适当的变形如下, ,后整体代入求值. 解:(1)∵ , , ∴ , ∴ . (2)∵ , , ∴ , ∴ . 【点拨】本题考查了二次根式的化简求值,熟练掌握二次根式的性质,灵活进行公式变形是解题的关键. 30. 【分析】先将 , 分母有理化,求得 和 的值,根据完全平方公式求解原式即可. 解: , , ∴ , , 故原式 . 【点拨】本题考查了分母有理化,完全平方公式,代数式求值,熟练掌握完全平方公式是解题的关键. 31. . 【分析】根据 得 ,则 , ,将原 式化为 ,再整体代入即可求解. 解:∵ , ∴ , ∴ , ∴ , ∴原式. 【点拨】本题主要考查二次根式的化简,能正确根据二次根式的运算法则进行计算是解题关键. 32.(1) , ;(2)70;(3)3 【分析】(1)先根据分式的加减法则算括号里面的,再根据分式的除法法则把除法变成乘法,算乘 法,最后代入即可得出答案; (2)根据二次根式的加法法则求出 ,根据二次根式的乘法法则求出 ,根据完全平方公式把原 式变形,代入计算即可得出答案; (3)将 进行平方,化简原式,再代入 , ,进行计算,即可得出答案. 解:(1) 当 时 原式= = = ; (2)∵ , , ,∴ (3)∵ , , ∵ ∴ . 【点拨】本题考查了分式的化简求值、二次根式的化简求值,涉及到完全平方公式的变形,熟练掌握 运算法则是解题的关键. 33.(1) ;(2) 【分析】(1)利用平方差公式即可得答案;(2)由于 , 方便运算,故可考虑将代数式化为含 和 的项,再整体代入 和 的值,进行代数式的求值运算. 解:(1) ; (2)由已知: , , 故:原式 . 【点拨】本题考查二次根式的化简求值,由于直接代入计算复杂容易出错,因此可考虑整体代入,本 题考查了整体代入的思想. 34. 【分析】把已知数据代入代数式,根据二次根式的性质化简即可. 解:∵ , ∴ . 【点拨】本题考查的是二次根式的化简,掌握二次根式的性质是解题的关键. 35.(1)14;(2)15【分析】(1)先求得 , ,再利用完全平方公式得到 ,然后代值 求解; (2)利用完全平方公式得到 ,然后代值求解即可. (1)解:∵ , , ∴ , , ∴ ; (2)解: . 【点拨】本题考查二次根式的混合运算,熟记完全平方公式和平方差公式并灵活运用是解答的关键. 36. 【分析】由二次根式的非负性可确定 的取值范围,再根据 为奇数可确定 的值,然后对原式先化 简再代入求值. 解:由分式和二次根式有意义的条件,可得 , 解得 ,且 为奇数, ∴ ,∴原式 . 【点拨】本题主要考查了分式和二次根式有意义的条件、二次根式的化简求值等知识,解答本题的关 键是根据x的取值范围,确定x的值,然后代入求解. 37.(1) , ;(2) 【分析】(1)根据二次根式有意义的条件先求出a的值,进而求出b的值即可; (2)根据二次根式有意义的条件得到 ,由此化简绝对值得到 ,两边平方即 可得到答案. 解:(1)∵ 要有意义, ∴ , ∴ , ∴ , ∴ ; (2)∵ 要有意义, ∴ , ∴ , ∴ , ∴ , ∴ ,∴ 【点拨】本题主要考查了二次根式有意义的条件,化简绝对值,代数式求值,熟知二次根式有意义的 条件是被开方数大于等于0是解题的关键. 38.(1) ;(2) 【分析】(1)先求出 ,再根据 进行求解即可; (2)根据 进行求解即可. 解:(1)解;∵ , ∴ , , ∴ ; (2)解:∵ , ∴ . 【点拨】本题主要考查了二次根式的化简求值,完全平方公式的变形,熟知相关计算法则是解题的关 键. 39.(1) ;(2) . 【分析】(1)先求出 的值,再利用完全平方和与完全平方差的关系求出 的值,即可 求解; (2)利用完全平方公式将原式变形为 ,求出 和 的值,代入求解即可. (1)解:∵ , ∴ ,∴ , 即 , 解得 , ∴ 的值为 ; (2)解:∵ , ∴ , ∴ , ∴ , ∴ , ∴ , ∴ 的值为 . 【点拨】本题主要考查二次根式的混合运算,因式分解的应用,利用完全平方和、完全平方差公式求 代数式的值,需要熟练掌握 及其变形. 40. 或 【分析】根据题意,得 ,然后根据x,y都是有理数,判断出 与 也是有理数,据此推出 ,求出x、y的值,再代入 计算即可. 解:∵ , ∴ , ∵x,y都是有理数,∴ 与 也是有理数,且都为0, ∴ 即 , 解得 或 , ∴ 或 . ∴ 的值为 或 . 【点拨】本题考查了实数的计算,以及有理数的含义与应用,解题的关键是判断出 与 都是有理数. 41. , 【分析】先根据整式的混合运算法则将所求整式化简,再根据算术平方根和偶次幂的非负性求出a、 b,代入即可作答. 解: , ∵ ,∴ , ∵ , , ∴ , , ∴ , , ∴ , , 将 , 代入 中, 原式 , 结果为: , . 【点拨】本题考查了二次根式的加减乘除混合运算,其中涉及到了算术平方根的非负性和完全平方公 式等,解决本题的关键是牢记整式的混合运算法则. 42.2015 【分析】直接利用分母有理化将原式化简,再将多项式变形,进而代入得出答案. 解:∵x , y ,. 【点拨】本题主要考查了分母有理化,正确化简各数是解题关键. 43. 【分析】由题意可得 与 都为负数,再利用二次根式的化简对式子进行整理,再代入相应的值运算 即可. 解:∵ , , ∴ , , . 【点拨】本题主要考查二次根式的化简求值,解答的关键是熟练掌握相应的运算法则. 44.(1)10;(2)10 【分析】(1)先求出xy及x+y的值,再将 因式分解,最后再整体代入求值; (2)先将 通分,再通过完全平方公式变形,最后代入求值. 解:(1)(2) 【点拨】本题考查与二次根式相关的代数式求值问题,解题的关键是整体思想的应用. 45.(1) ;(2)2 【分析】(1)先化简二次根式,再加减即可; (2)先将a的分母有理化和对进行变形,再代入计算即可. 解:(1)原式=4 ﹣ +3× =4 ﹣ + =4 ; (2)∵a= = = , ∴a−1= , ∴3a2−6a﹣1 =3(a2−2a+1)﹣4 =3(a−1)2−4 =3×( )2−4 =3×2﹣4 =6﹣4 =2. 【点拨】考查二次根式的化简求值,解题关键是掌握二次根式的混合运算顺序和运算法则、分母有理化等知识点. 46. 【分析】先根据二次根式有意义的条件求出x的值,进而求出y的值,然后代值计算即可. 解:∵ 要有意义, ∴ , ∴ 即 , ∴ , ∴ , ∴ . 【点拨】本题主要考查了二次根式有意义的条件,二次根式的求值,正确求出x、y的值是解题的关键. 47.3 【分析】先根据所给的式子进行因式分解求出 ,然后代入所求式子进行求解即可. 解:∵ , ∴ , ∴ , ∴ , ∴ 或 ,当 时,可以得到 所求式子无意义,应该舍去, ∴ , ∴ , ∴ ∴ . 【点拨】本题主要考查了因式分解的应用,二次根式的化简求值,正确求出 是解题的关键. 48.(1) ;(2) 【分析】(1)先计算出a+b和a-b的值,再把原式分解为(a+b)(a-b),然后利用整体代入的方法 计算; (2)先计算出ab的值,再结合(1)计算即可. (1)解:∵ , ∴ , ∴ (2)解:∵ , ∴ , ∴ . 【点拨】本题考查了二次根式的化简求值:二次根式的化简求值,一定要先化简再代入求值.二次根 式运算的最后,注意结果要化到最简二次根式,二次根式的乘除运算要与加减运算区分,避免互相干扰. 49.【分析】根据完全平方公式可得 ,然后由题意及平方差公式可进行求解. 解:∵ , ∴ , ∵ , ∴ , ∴ , ∴ . 【点拨】本题主要考查完全平方公式、平方差公式及因式分解,熟练掌握完全平方公式及平方差公式 是解题的关键. 50.(1) ;(2)① ;② ;③ 【分析】(1)由 可得: 从而可得答案; (2)①分子分母都乘以 ,计算后可得答案;②把每一项的分母中的根号去掉,分母有理化后再 合并同类二次根式即可得到答案;③先把 化为 再代入代数式求值即可. 解:(1) (2)① ②③ , 【点拨】本题考查的是二次根式的化简,分母有理化,利用二次根式的变形求解代数式的值,熟悉二 次根式的运算法则,运算技巧是解题的关键.