当前位置:首页>文档>专题20规律探索与逻辑推理-学易金卷:5年(2019-2023)中考1年模拟数学真题分项汇编(全国通用)(解析版)_02中考总复习(2026版更新中)_02-数学-中考总复习_2024年中考复习资料

专题20规律探索与逻辑推理-学易金卷:5年(2019-2023)中考1年模拟数学真题分项汇编(全国通用)(解析版)_02中考总复习(2026版更新中)_02-数学-中考总复习_2024年中考复习资料

  • 2026-04-06 08:42:34 2026-04-06 08:35:04

文档预览

专题20规律探索与逻辑推理-学易金卷:5年(2019-2023)中考1年模拟数学真题分项汇编(全国通用)(解析版)_02中考总复习(2026版更新中)_02-数学-中考总复习_2024年中考复习资料
专题20规律探索与逻辑推理-学易金卷:5年(2019-2023)中考1年模拟数学真题分项汇编(全国通用)(解析版)_02中考总复习(2026版更新中)_02-数学-中考总复习_2024年中考复习资料
专题20规律探索与逻辑推理-学易金卷:5年(2019-2023)中考1年模拟数学真题分项汇编(全国通用)(解析版)_02中考总复习(2026版更新中)_02-数学-中考总复习_2024年中考复习资料
专题20规律探索与逻辑推理-学易金卷:5年(2019-2023)中考1年模拟数学真题分项汇编(全国通用)(解析版)_02中考总复习(2026版更新中)_02-数学-中考总复习_2024年中考复习资料
专题20规律探索与逻辑推理-学易金卷:5年(2019-2023)中考1年模拟数学真题分项汇编(全国通用)(解析版)_02中考总复习(2026版更新中)_02-数学-中考总复习_2024年中考复习资料
专题20规律探索与逻辑推理-学易金卷:5年(2019-2023)中考1年模拟数学真题分项汇编(全国通用)(解析版)_02中考总复习(2026版更新中)_02-数学-中考总复习_2024年中考复习资料
专题20规律探索与逻辑推理-学易金卷:5年(2019-2023)中考1年模拟数学真题分项汇编(全国通用)(解析版)_02中考总复习(2026版更新中)_02-数学-中考总复习_2024年中考复习资料
专题20规律探索与逻辑推理-学易金卷:5年(2019-2023)中考1年模拟数学真题分项汇编(全国通用)(解析版)_02中考总复习(2026版更新中)_02-数学-中考总复习_2024年中考复习资料
专题20规律探索与逻辑推理-学易金卷:5年(2019-2023)中考1年模拟数学真题分项汇编(全国通用)(解析版)_02中考总复习(2026版更新中)_02-数学-中考总复习_2024年中考复习资料
专题20规律探索与逻辑推理-学易金卷:5年(2019-2023)中考1年模拟数学真题分项汇编(全国通用)(解析版)_02中考总复习(2026版更新中)_02-数学-中考总复习_2024年中考复习资料
专题20规律探索与逻辑推理-学易金卷:5年(2019-2023)中考1年模拟数学真题分项汇编(全国通用)(解析版)_02中考总复习(2026版更新中)_02-数学-中考总复习_2024年中考复习资料
专题20规律探索与逻辑推理-学易金卷:5年(2019-2023)中考1年模拟数学真题分项汇编(全国通用)(解析版)_02中考总复习(2026版更新中)_02-数学-中考总复习_2024年中考复习资料
专题20规律探索与逻辑推理-学易金卷:5年(2019-2023)中考1年模拟数学真题分项汇编(全国通用)(解析版)_02中考总复习(2026版更新中)_02-数学-中考总复习_2024年中考复习资料
专题20规律探索与逻辑推理-学易金卷:5年(2019-2023)中考1年模拟数学真题分项汇编(全国通用)(解析版)_02中考总复习(2026版更新中)_02-数学-中考总复习_2024年中考复习资料
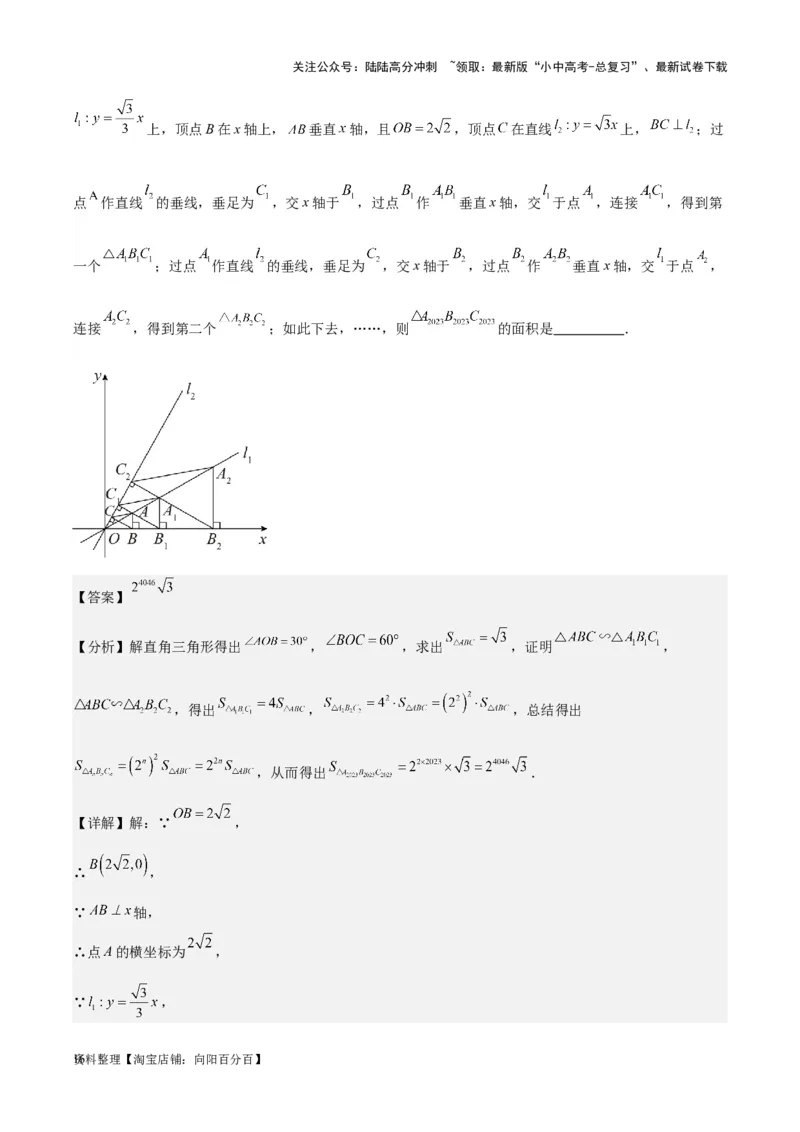
专题20规律探索与逻辑推理-学易金卷:5年(2019-2023)中考1年模拟数学真题分项汇编(全国通用)(解析版)_02中考总复习(2026版更新中)_02-数学-中考总复习_2024年中考复习资料
专题20规律探索与逻辑推理-学易金卷:5年(2019-2023)中考1年模拟数学真题分项汇编(全国通用)(解析版)_02中考总复习(2026版更新中)_02-数学-中考总复习_2024年中考复习资料
专题20规律探索与逻辑推理-学易金卷:5年(2019-2023)中考1年模拟数学真题分项汇编(全国通用)(解析版)_02中考总复习(2026版更新中)_02-数学-中考总复习_2024年中考复习资料
专题20规律探索与逻辑推理-学易金卷:5年(2019-2023)中考1年模拟数学真题分项汇编(全国通用)(解析版)_02中考总复习(2026版更新中)_02-数学-中考总复习_2024年中考复习资料
专题20规律探索与逻辑推理-学易金卷:5年(2019-2023)中考1年模拟数学真题分项汇编(全国通用)(解析版)_02中考总复习(2026版更新中)_02-数学-中考总复习_2024年中考复习资料
专题20规律探索与逻辑推理-学易金卷:5年(2019-2023)中考1年模拟数学真题分项汇编(全国通用)(解析版)_02中考总复习(2026版更新中)_02-数学-中考总复习_2024年中考复习资料
专题20规律探索与逻辑推理-学易金卷:5年(2019-2023)中考1年模拟数学真题分项汇编(全国通用)(解析版)_02中考总复习(2026版更新中)_02-数学-中考总复习_2024年中考复习资料
专题20规律探索与逻辑推理-学易金卷:5年(2019-2023)中考1年模拟数学真题分项汇编(全国通用)(解析版)_02中考总复习(2026版更新中)_02-数学-中考总复习_2024年中考复习资料
专题20规律探索与逻辑推理-学易金卷:5年(2019-2023)中考1年模拟数学真题分项汇编(全国通用)(解析版)_02中考总复习(2026版更新中)_02-数学-中考总复习_2024年中考复习资料
专题20规律探索与逻辑推理-学易金卷:5年(2019-2023)中考1年模拟数学真题分项汇编(全国通用)(解析版)_02中考总复习(2026版更新中)_02-数学-中考总复习_2024年中考复习资料
专题20规律探索与逻辑推理-学易金卷:5年(2019-2023)中考1年模拟数学真题分项汇编(全国通用)(解析版)_02中考总复习(2026版更新中)_02-数学-中考总复习_2024年中考复习资料
专题20规律探索与逻辑推理-学易金卷:5年(2019-2023)中考1年模拟数学真题分项汇编(全国通用)(解析版)_02中考总复习(2026版更新中)_02-数学-中考总复习_2024年中考复习资料
专题20规律探索与逻辑推理-学易金卷:5年(2019-2023)中考1年模拟数学真题分项汇编(全国通用)(解析版)_02中考总复习(2026版更新中)_02-数学-中考总复习_2024年中考复习资料
专题20规律探索与逻辑推理-学易金卷:5年(2019-2023)中考1年模拟数学真题分项汇编(全国通用)(解析版)_02中考总复习(2026版更新中)_02-数学-中考总复习_2024年中考复习资料
专题20规律探索与逻辑推理-学易金卷:5年(2019-2023)中考1年模拟数学真题分项汇编(全国通用)(解析版)_02中考总复习(2026版更新中)_02-数学-中考总复习_2024年中考复习资料
专题20规律探索与逻辑推理-学易金卷:5年(2019-2023)中考1年模拟数学真题分项汇编(全国通用)(解析版)_02中考总复习(2026版更新中)_02-数学-中考总复习_2024年中考复习资料
专题20规律探索与逻辑推理-学易金卷:5年(2019-2023)中考1年模拟数学真题分项汇编(全国通用)(解析版)_02中考总复习(2026版更新中)_02-数学-中考总复习_2024年中考复习资料
专题20规律探索与逻辑推理-学易金卷:5年(2019-2023)中考1年模拟数学真题分项汇编(全国通用)(解析版)_02中考总复习(2026版更新中)_02-数学-中考总复习_2024年中考复习资料
专题20规律探索与逻辑推理-学易金卷:5年(2019-2023)中考1年模拟数学真题分项汇编(全国通用)(解析版)_02中考总复习(2026版更新中)_02-数学-中考总复习_2024年中考复习资料
专题20规律探索与逻辑推理-学易金卷:5年(2019-2023)中考1年模拟数学真题分项汇编(全国通用)(解析版)_02中考总复习(2026版更新中)_02-数学-中考总复习_2024年中考复习资料
专题20规律探索与逻辑推理-学易金卷:5年(2019-2023)中考1年模拟数学真题分项汇编(全国通用)(解析版)_02中考总复习(2026版更新中)_02-数学-中考总复习_2024年中考复习资料
专题20规律探索与逻辑推理-学易金卷:5年(2019-2023)中考1年模拟数学真题分项汇编(全国通用)(解析版)_02中考总复习(2026版更新中)_02-数学-中考总复习_2024年中考复习资料
专题20规律探索与逻辑推理-学易金卷:5年(2019-2023)中考1年模拟数学真题分项汇编(全国通用)(解析版)_02中考总复习(2026版更新中)_02-数学-中考总复习_2024年中考复习资料
专题20规律探索与逻辑推理-学易金卷:5年(2019-2023)中考1年模拟数学真题分项汇编(全国通用)(解析版)_02中考总复习(2026版更新中)_02-数学-中考总复习_2024年中考复习资料
专题20规律探索与逻辑推理-学易金卷:5年(2019-2023)中考1年模拟数学真题分项汇编(全国通用)(解析版)_02中考总复习(2026版更新中)_02-数学-中考总复习_2024年中考复习资料
专题20规律探索与逻辑推理-学易金卷:5年(2019-2023)中考1年模拟数学真题分项汇编(全国通用)(解析版)_02中考总复习(2026版更新中)_02-数学-中考总复习_2024年中考复习资料
专题20规律探索与逻辑推理-学易金卷:5年(2019-2023)中考1年模拟数学真题分项汇编(全国通用)(解析版)_02中考总复习(2026版更新中)_02-数学-中考总复习_2024年中考复习资料
专题20规律探索与逻辑推理-学易金卷:5年(2019-2023)中考1年模拟数学真题分项汇编(全国通用)(解析版)_02中考总复习(2026版更新中)_02-数学-中考总复习_2024年中考复习资料
专题20规律探索与逻辑推理-学易金卷:5年(2019-2023)中考1年模拟数学真题分项汇编(全国通用)(解析版)_02中考总复习(2026版更新中)_02-数学-中考总复习_2024年中考复习资料
专题20规律探索与逻辑推理-学易金卷:5年(2019-2023)中考1年模拟数学真题分项汇编(全国通用)(解析版)_02中考总复习(2026版更新中)_02-数学-中考总复习_2024年中考复习资料
专题20规律探索与逻辑推理-学易金卷:5年(2019-2023)中考1年模拟数学真题分项汇编(全国通用)(解析版)_02中考总复习(2026版更新中)_02-数学-中考总复习_2024年中考复习资料
专题20规律探索与逻辑推理-学易金卷:5年(2019-2023)中考1年模拟数学真题分项汇编(全国通用)(解析版)_02中考总复习(2026版更新中)_02-数学-中考总复习_2024年中考复习资料
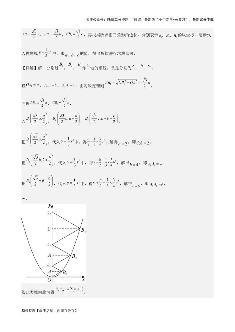
专题20规律探索与逻辑推理-学易金卷:5年(2019-2023)中考1年模拟数学真题分项汇编(全国通用)(解析版)_02中考总复习(2026版更新中)_02-数学-中考总复习_2024年中考复习资料
专题20规律探索与逻辑推理-学易金卷:5年(2019-2023)中考1年模拟数学真题分项汇编(全国通用)(解析版)_02中考总复习(2026版更新中)_02-数学-中考总复习_2024年中考复习资料
专题20规律探索与逻辑推理-学易金卷:5年(2019-2023)中考1年模拟数学真题分项汇编(全国通用)(解析版)_02中考总复习(2026版更新中)_02-数学-中考总复习_2024年中考复习资料
专题20规律探索与逻辑推理-学易金卷:5年(2019-2023)中考1年模拟数学真题分项汇编(全国通用)(解析版)_02中考总复习(2026版更新中)_02-数学-中考总复习_2024年中考复习资料
专题20规律探索与逻辑推理-学易金卷:5年(2019-2023)中考1年模拟数学真题分项汇编(全国通用)(解析版)_02中考总复习(2026版更新中)_02-数学-中考总复习_2024年中考复习资料
专题20规律探索与逻辑推理-学易金卷:5年(2019-2023)中考1年模拟数学真题分项汇编(全国通用)(解析版)_02中考总复习(2026版更新中)_02-数学-中考总复习_2024年中考复习资料
专题20规律探索与逻辑推理-学易金卷:5年(2019-2023)中考1年模拟数学真题分项汇编(全国通用)(解析版)_02中考总复习(2026版更新中)_02-数学-中考总复习_2024年中考复习资料
专题20规律探索与逻辑推理-学易金卷:5年(2019-2023)中考1年模拟数学真题分项汇编(全国通用)(解析版)_02中考总复习(2026版更新中)_02-数学-中考总复习_2024年中考复习资料
专题20规律探索与逻辑推理-学易金卷:5年(2019-2023)中考1年模拟数学真题分项汇编(全国通用)(解析版)_02中考总复习(2026版更新中)_02-数学-中考总复习_2024年中考复习资料
专题20规律探索与逻辑推理-学易金卷:5年(2019-2023)中考1年模拟数学真题分项汇编(全国通用)(解析版)_02中考总复习(2026版更新中)_02-数学-中考总复习_2024年中考复习资料
专题20规律探索与逻辑推理-学易金卷:5年(2019-2023)中考1年模拟数学真题分项汇编(全国通用)(解析版)_02中考总复习(2026版更新中)_02-数学-中考总复习_2024年中考复习资料
专题20规律探索与逻辑推理-学易金卷:5年(2019-2023)中考1年模拟数学真题分项汇编(全国通用)(解析版)_02中考总复习(2026版更新中)_02-数学-中考总复习_2024年中考复习资料
专题20规律探索与逻辑推理-学易金卷:5年(2019-2023)中考1年模拟数学真题分项汇编(全国通用)(解析版)_02中考总复习(2026版更新中)_02-数学-中考总复习_2024年中考复习资料
专题20规律探索与逻辑推理-学易金卷:5年(2019-2023)中考1年模拟数学真题分项汇编(全国通用)(解析版)_02中考总复习(2026版更新中)_02-数学-中考总复习_2024年中考复习资料
专题20规律探索与逻辑推理-学易金卷:5年(2019-2023)中考1年模拟数学真题分项汇编(全国通用)(解析版)_02中考总复习(2026版更新中)_02-数学-中考总复习_2024年中考复习资料
专题20规律探索与逻辑推理-学易金卷:5年(2019-2023)中考1年模拟数学真题分项汇编(全国通用)(解析版)_02中考总复习(2026版更新中)_02-数学-中考总复习_2024年中考复习资料
专题20规律探索与逻辑推理-学易金卷:5年(2019-2023)中考1年模拟数学真题分项汇编(全国通用)(解析版)_02中考总复习(2026版更新中)_02-数学-中考总复习_2024年中考复习资料
专题20规律探索与逻辑推理-学易金卷:5年(2019-2023)中考1年模拟数学真题分项汇编(全国通用)(解析版)_02中考总复习(2026版更新中)_02-数学-中考总复习_2024年中考复习资料
专题20规律探索与逻辑推理-学易金卷:5年(2019-2023)中考1年模拟数学真题分项汇编(全国通用)(解析版)_02中考总复习(2026版更新中)_02-数学-中考总复习_2024年中考复习资料
专题20规律探索与逻辑推理-学易金卷:5年(2019-2023)中考1年模拟数学真题分项汇编(全国通用)(解析版)_02中考总复习(2026版更新中)_02-数学-中考总复习_2024年中考复习资料
专题20规律探索与逻辑推理-学易金卷:5年(2019-2023)中考1年模拟数学真题分项汇编(全国通用)(解析版)_02中考总复习(2026版更新中)_02-数学-中考总复习_2024年中考复习资料
专题20规律探索与逻辑推理-学易金卷:5年(2019-2023)中考1年模拟数学真题分项汇编(全国通用)(解析版)_02中考总复习(2026版更新中)_02-数学-中考总复习_2024年中考复习资料

文档信息

文档格式
docx
文档大小
3.417 MB
文档页数
64 页
上传时间
2026-04-06 08:35:04

文档内容

关注公众号:陆陆高分冲刺 ~领取:最新版“小中高考-总复习”、最新试卷下载 专题 20 规律探索与逻辑推理 考点 1 规律探索与逻辑推理 一、单选题 1.(2023年吉林省长春市中考数学真题)下图是一个多面体的表面展开图,每个面都标注了数字.若多 面体的底面是面③,则多面体的上面是( ) A.面① B.面② C.面⑤ D.面⑥ 【答案】C 【分析】根据底面与多面体的上面是相对面,则形状相等,间隔1个长方形,且没有公共顶点,即可求解. 【详解】解:依题意,多面体的底面是面③,则多面体的上面是面⑤, 故选:C. 【点睛】本题考查了长方体的表面展开图,熟练掌握基本几何体的展开图是解题的关键. 2.(2023年黑龙江省牡丹江市中考数学真题)由若干个完全相同的小正方体搭成的几何体的主视图和左 视图如图所示,则搭成该几何体所用的小正方体的个数最多是( ) A.6 B.7 C.8 D.9 【答案】B 【分析】根据主视图和左视图判断该几何体的层数及每层的最多个数,即可得到答案. 【详解】解:根据主视图和左视图判断该几何体共有两层, 下面一层最多有4个小正方体,上面的一层最多有3个小正方体,故该几何体所用的小正方体的个数最多 是7个, 资1 料整理【淘宝店铺:向阳百分百】关注公众号:陆陆高分冲刺 ~领取:最新版“小中高考-总复习”、最新试卷下载 故选:B. 【点睛】此题考查了几何体的三视图,由三视图判断小正方体的个数,正确理解三视图是解题的关键. 3.(2023年江苏省徐州市中考数学真题) 的值介于( ) A.25与30之间 B.30与35之间 C.35与40之间 D.40与45之间 【答案】D 【分析】直接利用二次根式的性质得出 的取值范围进而得出答案. 【详解】解∶∵ . ∴ 即 , ∴ 的值介于40与45之间. 故选D. 【点睛】本题主要考查了估算无理数的大小,正确估算无理数的取值范围是解题关键. 4.(2023年山东省济宁市中考数学真题)已知一列均不为1的数 满足如下关系: , ,若 ,则 的值是( ) A. B. C. D.2 【答案】A 【分析】根据题意可把 代入求解 ,则可得 , , ……;由此可得规律求解. 【详解】解:∵ , ∴ , , , ,…….; 由此可得规律为按2、 、 、 四个数字一循环, ∵ , 资2 料整理【淘宝店铺:向阳百分百】关注公众号:陆陆高分冲刺 ~领取:最新版“小中高考-总复习”、最新试卷下载 ∴ ; 故选A. 【点睛】本题主要考查数字规律,解题的关键是得到数字的一般规律. 5.(2023年山东省烟台市中考数学真题)如图,在直角坐标系中,每个网格小正方形的边长均为1个单 位长度,以点P为位似中心作正方形 ,正方形 ,按此规律作下去,所作正方形的顶点均 在格点上,其中正方形 的顶点坐标分别为 , ,则顶点 的 坐标为( ) A. B. C. D. 【答案】A 【分析】根据图象可得移动3次完成一个循环,从而可得出点坐标的规律 . 【详解】解:∵ , , , , , ∴ , 资3 料整理【淘宝店铺:向阳百分百】关注公众号:陆陆高分冲刺 ~领取:最新版“小中高考-总复习”、最新试卷下载 ∵ ,则 , ∴ , 故选:A. 【点睛】本题考查了点的规律变化,解答本题的关键是仔细观察图象,得到点的变化规律. 6.(2023年山东省日照市中考数学真题)数学家高斯推动了数学科学的发展,被数学界誉为“数学王 子”,据传,他在计算 时,用到了一种方法,将首尾两个数相加,进而得到 .人们借助于这样的方法,得到 (n是正整 数).有下列问题,如图,在平面直角坐标系中的一系列格点 ,其中 ,且 是 整数.记 ,如 ,即 ,即 ,即 ,以此类推.则下列结 论正确的是( ) A. B. C. D. 【答案】B 【分析】利用图形寻找规律 ,再利用规律解题即可. 【详解】解:第1圈有1个点,即 ,这时 ; 第2圈有8个点,即 到 ; 第3圈有16个点,即 到 ,; 资4 料整理【淘宝店铺:向阳百分百】关注公众号:陆陆高分冲刺 ~领取:最新版“小中高考-总复习”、最新试卷下载 依次类推,第n圈, ; 由规律可知: 是在第23圈上,且 ,则 即 ,故A选项不正 确; 是在第23圈上,且 ,即 ,故B选项正确; 第n圈, ,所以 ,故C、D选项不正确; 故选B. 【点睛】本题考查图形与规律,利用所给的图形找到规律是解题的关键. 7.(2023年重庆市中考数学真题(A卷))用长度相同的木棍按如图所示的规律拼图案,其中第①个图 案用了9根木棍,第②个图案用了14根木棍,第③个图案用了19根木棍,第④个图案用了24根木棍, ……,按此规律排列下去,则第⑧个图案用的木棍根数是( ) A.39 B.44 C.49 D.54 【答案】B 【分析】根据各图形中木棍的根数发现计算的规律,由此即可得到答案. 【详解】解:第①个图案用了 根木棍, 第②个图案用了 根木棍, 第③个图案用了 根木棍, 第④个图案用了 根木棍, ……, 第⑧个图案用的木棍根数是 根, 故选:B. 【点睛】此题考查了图形类规律的探究,正确理解图形中木棍根数的变化规律由此得到计算的规律是解题 的关键. 8.(2023年重庆市中考数学真题(B卷))用圆圈按如图所示的规律拼图案,其中第①个图案中有2个 圆圈,第②个图案中有5个圆圈,第③个图案中有8个圆圈,第④个图案中有11个圆圈,…,按此规律排 列下去,则第⑦个图案中圆圈的个数为( ) 资5 料整理【淘宝店铺:向阳百分百】关注公众号:陆陆高分冲刺 ~领取:最新版“小中高考-总复习”、最新试卷下载 A.14 B.20 C.23 D.26 【答案】B 【分析】根据前四个图案圆圈的个数找到规律,即可求解. 【详解】解:因为第①个图案中有2个圆圈, ; 第②个图案中有5个圆圈, ; 第③个图案中有8个圆圈, ; 第④个图案中有11个圆圈, ; …, 所以第⑦个图案中圆圈的个数为 ; 故选:B. 【点睛】本题考查了图形类规律探究,根据前四个图案圆圈的个数找到第n个图案的规律为 是解题 的关键. 9.(2023年四川省达州市中考数学真题)如图,四边形 是边长为 的正方形,曲线 是由多段 的圆心角的圆心为 ,半径为 ; 的圆心为 ,半径为 的 圆心依次为 循环,则 的长是( ) A. B. C. D. 【答案】A 资6 料整理【淘宝店铺:向阳百分百】关注公众号:陆陆高分冲刺 ~领取:最新版“小中高考-总复习”、最新试卷下载 【分析】曲线 是由一段段90度的弧组成的,半径每次比前一段弧半径 ,得到 , ,得出半径,再计算弧长即可. 【详解】解:由图可知,曲线 是由一段段90度的弧组成的,半径每次比前一段弧半径 , , , , , , , , , , , , 故 的半径为 , 的弧长 . 故选A 【点睛】此题主要考查了弧长的计算,弧长的计算公式: ,找到每段弧的半径变化规律是解题关键. 10.(2022·辽宁阜新·统考中考真题)如图,平面直角坐标系中,在直线 和 轴之间由小到大依次 画出若干个等腰直角三角形(图中所示的阴影部分),其中一条直角边在 轴上,另一条直角边与 轴垂 直,则第 个等腰直角三角形的面积是( ) A. B. C. D. 【答案】C 【分析】根据一次函数图象上点的坐标特征,可得第 个等腰直角三角形的直角边长,求出第 个等腰直角 三角形的面积,用同样的方法求出第 个等腰直角三角形的面积,第 个等腰直角三角形的面积,找出其 中的规律即可求出第 个等腰直角三角形的面积. 资7 料整理【淘宝店铺:向阳百分百】关注公众号:陆陆高分冲刺 ~领取:最新版“小中高考-总复习”、最新试卷下载 【详解】解:当 时, , 根据题意,第 个等腰直角三角形的直角边长为 , 第 个等腰直角三角形的面积为 , 当 时, , 第 个等腰直角三角形的直角边长为 , 第 个等腰直角三角形的面积为 , 当 时, , 第 个等腰直角三角形的直角边长为 , 第 个等腰直角三角形的面积为 , 依此规律,第 个等腰直角三角形的面积为 , 故选:C. 【点睛】本题考查了一次函数图象上点的坐标特征与规律的综合,涉及等腰直角三角形的性质,找出规律 是解题的关键. 11.(2021·四川内江·统考中考真题)如图,在边长为 的等边 中,分别取 三边的中点 , , ,得△ ;再分别取△ 三边的中点 , , ,得△ ;这样依次下去 ,经过 第2021次操作后得△ ,则△ 的面积为( ) A. B. C. D. 资8 料整理【淘宝店铺:向阳百分百】关注公众号:陆陆高分冲刺 ~领取:最新版“小中高考-总复习”、最新试卷下载 【答案】D 【分析】先根据三角形中位线定理计算,再总结规律,根据规律解答即可得. 【详解】解: 点 , 分别为 , 的中点, , 点 , 分别为 , 的中点, , , , △ 的面积 , 故选D. 【点睛】本题考查了三角形中位线定理,解题的关键是掌握三角形中位线定理. 12.(2020·广西贺州·统考中考真题)我国宋代数学家杨辉发现了 ( ,1,2,3,…)展开式 系数的规律: 以上系数三角表称为“杨辉三角”,根据上述规律, 展开式的系数和是( ) A.64 B.128 C.256 D.612 【答案】C 【分析】由“杨辉三角”的规律可知,(a+b)8所有项的系数和为28,即可得出答案. 【详解】解:由“杨辉三角”的规律可知, 资9 料整理【淘宝店铺:向阳百分百】关注公众号:陆陆高分冲刺 ~领取:最新版“小中高考-总复习”、最新试卷下载 展开式中所有项的系数和为1, 展开式中所有项的系数和为2, 展开式中所有项的系数和为4, 展开式中所有项的系数和为8, …… 展开式中所有项的系数和为 , 展开式中所有项的系数和为 . 故选:C. 【点睛】本题考查了“杨辉三角”展开式中所有项的系数和的求法,解题关键是通过观察得出系数和的规 律. 13.(2019·湖北鄂州·统考中考真题)如图,在平面直角坐标系中,点 、 、 … 在 轴上, 、 、 … 在直线 上,若 ,且 、 … 都是等边三角形,从左到右 的小三角形(阴影部分)的面积分别记为 、 、 … .则 可表示为( ) A. B. C. D. 【答案】D 资10料整理【淘宝店铺:向阳百分百】关注公众号:陆陆高分冲刺 ~领取:最新版“小中高考-总复习”、最新试卷下载 【分析】直线 与 轴的成角 ,可得 ,…, , ,…, ;根据等腰三角形的性质可知 , , ,…, ;根据勾股定理可得 , ,…, ,再由面积公式即可求解; 【详解】解:∵ 、 … 都是等边三角形, ∴ , , 、 … 都是等 边三角形, ∵直线 与 轴的成角 , , ∴ , ∴ , ∵ , ∴ , 同理 ,…, , ∴ , ,…, , 易得 ,…, , ∴ , ,…, , ∴ , ,…, ; 故选D. 【点睛】本题考查一次函数的图象及性质,等边三角形和直角三角形的性质;能够判断阴影三角形是直角 资11料整理【淘宝店铺:向阳百分百】关注公众号:陆陆高分冲刺 ~领取:最新版“小中高考-总复习”、最新试卷下载 三角形,并求出每边长是解题的关键. 14.(2019·山东·统考中考真题)如图,在单位为1的方格纸上,△ ,△ ,△ , ,都 是斜边在 轴上,斜边长分别为2,4,6, 的等腰直角三角形,若△ 的顶点坐标分别为 , , ,则依图中所示规律, 的坐标为( ) A. B. C. D. 【答案】A 【分析】观察图形可以看出 ; ; 每4个为一组,由于 , 在 轴负 半轴上,纵坐标为0,再根据横坐标变化找到规律即可解答. 【详解】解:观察图形可以看出 ; ; 每4个为一组, , 在 轴负半轴上,纵坐标为0, 、 、 的横坐标分别为0, , , 的横坐标为 . 的坐标为 . 资12料整理【淘宝店铺:向阳百分百】关注公众号:陆陆高分冲刺 ~领取:最新版“小中高考-总复习”、最新试卷下载 故选:A. 【点睛】本题考查了等腰直角三角形、点的坐标,解题的关键是主要是根据坐标变化找到规律,再依据规 律解答. 二、填空题 15.(2023年北京市中考数学真题)学校组织学生参加木艺艺术品加工劳动实践活动.已知某木艺艺术品 加工完成共需A,B,C,D,E,F,G七道工序,加工要求如下: ①工序C,D须在工序A完成后进行,工序E须在工序B,D都完成后进行,工序F须在工序C,D都完成 后进行; ②一道工序只能由一名学生完成,此工序完成后该学生才能进行其他工序; ③各道工序所需时间如下表所示: 工序 A B C D E F G 所需时间/分钟 9 9 7 9 7 10 2 在不考虑其他因素的前提下,若由一名学生单独完成此木艺艺术品的加工,则需要 分钟;若由两名 学生合作完成此木艺艺术品的加工,则最少需要 分钟. 【答案】 53 28 【分析】将所有工序需要的时间相加即可得出由一名学生单独完成需要的时间;假设这两名学生为甲、乙, 根据加工要求可知甲学生做工序A,乙学生同时做工序B;然后甲学生做工序D,乙学生同时做工序C,乙 学生工序C完成后接着做工序G;最后甲学生做工序E,乙学生同时做工序F,然后可得答案. 【详解】解:由题意得: (分钟), 即由一名学生单独完成此木艺艺术品的加工,需要53分钟; 假设这两名学生为甲、乙, ∵工序C,D须在工序A完成后进行,工序E须在工序B,D都完成后进行,且工序A,B都需要9分钟完 成, ∴甲学生做工序A,乙学生同时做工序B,需要9分钟, 然后甲学生做工序D,乙学生同时做工序C,乙学生工序C完成后接着做工序G,需要9分钟, 最后甲学生做工序E,乙学生同时做工序F,需要10分钟, ∴若由两名学生合作完成此木艺艺术品的加工,最少需要 (分钟), 故答案为:53,28; 【点睛】本题考查了逻辑推理与时间统筹,根据加工要求得出加工顺序是解题的关键. 16.(2023年山西省中考数学真题)如图是一组有规律的图案,它由若干个大小相同的圆片组成.第1个 图案中有4个白色圆片,第2个图案中有6个白色圆片,第3个图案中有8个白色圆片,第4个图案中有 资13料整理【淘宝店铺:向阳百分百】关注公众号:陆陆高分冲刺 ~领取:最新版“小中高考-总复习”、最新试卷下载 10个白色圆片,…依此规律,第n个图案中有 个白色圆片(用含n的代数式表示) 【答案】 【分析】由于第1个图案中有4个白色圆片 ,第2个图案中有6个白色圆片 ,第3 个图案中有8个白色圆片 ,第4个图案中有10个白色圆片 , ,可得第 个 图案中有白色圆片的总数为 . 【详解】解:第1个图案中有4个白色圆片 , 第2个图案中有6个白色圆片 , 第3个图案中有8个白色圆片 , 第4个图案中有10个白色圆片 , , ∴第 个图案中有 个白色圆片. 故答案为: . 【点睛】此题考查图形的变化规律,通过从一些特殊的数字变化中发现不变的因素或按规律变化的因素, 然后推广到一般情况.解题关键是总结归纳出图形的变化规律. 17.(2023年黑龙江省齐齐哈尔市中考数学真题)如图,在平面直角坐标系中,点A在 轴上,点B在 轴上, ,连接 ,过点O作 于点 ,过点 作 轴于点 ;过点 作 于点 ,过点 作 轴于点 ;过点 作 于点 ,过点 作 轴于点 ;…;按照如此规律操作下去,则点 的坐标为 . 资14料整理【淘宝店铺:向阳百分百】关注公众号:陆陆高分冲刺 ~领取:最新版“小中高考-总复习”、最新试卷下载 【答案】 【分析】根据题意,结合图形依次求出 的坐标,再根据其规律写出 的坐标即可. 【详解】解:在平面直角坐标系中,点A在 轴上,点B在 轴上, , 是等腰直角三角形, , , 是等腰直角三角形, 同理可得: 均为等腰直角三角形, , 根据图中所有的三角形均为等腰直角三角形, 依次可得: 由此可推出:点 的坐标为 . 故答案为: . 【点睛】本题主要考查了平面直角坐标系中点的坐标特征,以及点的坐标变化规律问题,等腰直角三角形 的性质,解题的关键是依次求出 的坐标,找出其坐标的规律. 18.(2023年黑龙江龙东地区中考数学真题)如图,在平面直角坐标系中, 的顶点A在直线 资15料整理【淘宝店铺:向阳百分百】关注公众号:陆陆高分冲刺 ~领取:最新版“小中高考-总复习”、最新试卷下载 上,顶点B在x轴上, 垂直 轴,且 ,顶点 在直线 上, ;过 点 作直线 的垂线,垂足为 ,交x轴于 ,过点 作 垂直x轴,交 于点 ,连接 ,得到第 一个 ;过点 作直线 的垂线,垂足为 ,交x轴于 ,过点 作 垂直x轴,交 于点 , 连接 ,得到第二个 ;如此下去,……,则 的面积是 . 【答案】 【分析】解直角三角形得出 , ,求出 ,证明 , ,得出 , ,总结得出 ,从而得出 . 【详解】解:∵ , ∴ , ∵ 轴, ∴点A的横坐标为 , ∵ , 资16料整理【淘宝店铺:向阳百分百】关注公众号:陆陆高分冲刺 ~领取:最新版“小中高考-总复习”、最新试卷下载 ∴点A的纵坐标为 , ∴ , ∴ , ∵ , ∴设 ,则 , ∴ , ∴ , ∴ , , ∵ , ∴ , ∴ 平分 , ∵ , , ∴ , ∵ , , ∴ , ∴ , ∴ , 资17料整理【淘宝店铺:向阳百分百】关注公众号:陆陆高分冲刺 ~领取:最新版“小中高考-总复习”、最新试卷下载 ∴ , ∵ , ∴ , ∴ , ∵ , , , ∴ , ∴ , ∴ , ∴ , , ∵ 轴, 轴, ∴ , , ∵ 轴, 轴, 轴, ∴ , ∴ , , ∵ , ∴ , , 资18料整理【淘宝店铺:向阳百分百】关注公众号:陆陆高分冲刺 ~领取:最新版“小中高考-总复习”、最新试卷下载 ∴ , ∵ , ∴ , 同理 , ∴ , , ∴ , ∴ . 故答案为: . 【点睛】本题主要考查了三角形相似的判定和性质,解直角三角形,三角形面积的计算,平行线的判定和 性质,一次函数规律探究,角平分线的性质,三角形全等的判定和性质,解题的关键是得出一般规律 . 19.(2023年黑龙江省绥化市中考数学真题)在求 的值时,发现: , ,从而得到 .按此方法可解决下面问题.图(1)有1个 三角形,记作 ;分别连接这个三角形三边中点得到图(2),有5个三角形,记作 ;再分别连 接图(2)中间的小三角形三边中点得到图(3),有9个三角形,记作 ;按此方法继续下去,则 .(结果用含n的代数式表示) 资19料整理【淘宝店铺:向阳百分百】关注公众号:陆陆高分冲刺 ~领取:最新版“小中高考-总复习”、最新试卷下载 【答案】 / 【分析】根据题意得出 ,进而即可求解. 【详解】解:依题意, , ∴ , 故答案为: . 【点睛】本题考查了图形类规律,找到规律是解题的关键. 20.(2023年山东省枣庄市中考数学真题)如图,在反比例函数 的图象上有 等 点,它们的横坐标依次为1,2,3,…,2024,分别过这些点作x轴与y轴的垂线,图中所构成的阴影部分 的面积从左到右依次为 ,则 . 【答案】 【分析】求出 …的纵坐标,从而可计算出 …的高,进而求出 …,从而得出 资20料整理【淘宝店铺:向阳百分百】关注公众号:陆陆高分冲刺 ~领取:最新版“小中高考-总复习”、最新试卷下载 的值. 【详解】当 时, 的纵坐标为8, 当 时, 的纵坐标为4, 当 时, 的纵坐标为 , 当 时, 的纵坐标为 , 当 时, 的纵坐标为 , … 则 ; ; ; ; … ; , ∴ . 故答案为: . 【点睛】本题考查了反比例函数与几何的综合应用,解题的关键是求出 . 21.(2023年山东省东营市中考数学真题)如图,在平面直角坐标系中,直线l: 与x轴交于 点 ,以 为边作正方形 点 在y轴上,延长 交直线l于点 ,以 为边作正方形 资21料整理【淘宝店铺:向阳百分百】关注公众号:陆陆高分冲刺 ~领取:最新版“小中高考-总复习”、最新试卷下载 ,点 在y轴上,以同样的方式依次作正方形 ,…,正方形 ,则点 的横坐标是 . 【答案】 【分析】分别求出点点 的横坐标是 ,点 的横坐标是 ,点 的横坐标是 , 找到规律,得到答案见即可. 【详解】解:当 , ,解得 , ∴点 , ∵ 是正方形, ∴ , ∴点 , ∴点 的横坐标是 , 当 时, ,解得 , 资22料整理【淘宝店铺:向阳百分百】关注公众号:陆陆高分冲刺 ~领取:最新版“小中高考-总复习”、最新试卷下载 ∴点 , ∵ 是正方形, ∴ , ∴点 , 即点 的横坐标是 , 当 时, ,解得 , ∴点 , ∵ 是正方形, ∴ , ∴点 的横坐标是 , …… 以此类推,则点 的横坐标是 故答案为: 【点睛】此题是点的坐标规律题,考查了二次函数的图象和性质、正方形的性质等知识,数形结合是是解 题的关键. 22.(2023年山东省临沂市中考数学真题)观察下列式子 资23料整理【淘宝店铺:向阳百分百】关注公众号:陆陆高分冲刺 ~领取:最新版“小中高考-总复习”、最新试卷下载 ; ; ; …… 按照上述规律, . 【答案】 【分析】根据已有的式子,抽象出相应的数字规律,进行作答即可. 【详解】解:∵ ; ; ; …… ∴ , ∴ . 故答案为: 【点睛】本题考查数字类规律探究.解题的关键是从已有的式子中抽象出相应的数字规律. 23.(2023年山东省聊城市中考数学真题)如图,图中数字是从1开始按箭头方向排列的有序数阵.从3 开始,把位于同一列且在拐角处的两个数字提取出来组成有序数对: ; ; ; ; …如果单把每个数对中的第一个或第二个数字按顺序排列起来研究,就会发现其中的规律.请写出 第n个数对: . 资24料整理【淘宝店铺:向阳百分百】关注公众号:陆陆高分冲刺 ~领取:最新版“小中高考-总复习”、最新试卷下载 【答案】 【分析】根据题意单另把每个数对中的第一个或第二个数字按顺序排列起来研究,可发现第 个数对的第 一个数为: ,第 个数对的第二个位: ,即可求解. 【详解】解:每个数对的第一个数分别为3,7,13,21,31,… 即: , , , , ,… 则第 个数对的第一个数为: , 每个数对的第二个数分别为5,10,17,26,37,… 即: ; ; ; ; …, 则第 个数对的第二个位: , ∴第n个数对为: , 故答案为: . 【点睛】此题考查数字的变化规律,找出数字之间的排列规律,利用拐弯出数字的差的规律解决问题. 24.(2023年湖北省十堰市中考数学真题)用火柴棍拼成如下图案,其中第①个图案由4个小等边三角形 围成1个小菱形,第②个图案由6个小等边三角形围成2个小菱形,……,若按此规律拼下去,则第n个 图案需要火柴棍的根数为 (用含n的式子表示). 资25料整理【淘宝店铺:向阳百分百】关注公众号:陆陆高分冲刺 ~领取:最新版“小中高考-总复习”、最新试卷下载 【答案】 / 【分析】当 时,有 个三角形;当 时,有 个三角形;当 时,有 个三角形;第n个图案有 个三角形,每个三角形用三根计算即可. 【详解】解:当 时,有 个三角形; 当 时,有 个三角形; 当 时,有 个三角形; 第n个图案有 个三角形, 每个三角形用三根, 故第n个图案需要火柴棍的根数为 . 故答案为: . 【点睛】本题考查了整式的加减的数字规律问题,熟练掌握规律的探索方法是解题的关键. 25.(2023年湖北省随州市中考数学真题)某天老师给同学们出了一道趣味数学题: 设有编号为1-100的100盏灯,分别对应着编号为1-100的100个开关,灯分为“亮”和“不亮”两种状态, 每按一次开关改变一次相对应编号的灯的状态,所有灯的初始状态为“不亮”.现有100个人,第1个人 把所有编号是1的整数倍的开关按一次,第2个人把所有编号是2的整数倍的开关按一次,第3个人把所 有编号是3的整数倍的开关按一次,……,第100个人把所有编号是100的整数倍的开关按一次.问最终 状态为“亮” 的灯共有多少盏? 几位同学对该问题展开了讨论: 甲:应分析每个开关被按的次数找出规律: 乙:1号开关只被第1个人按了1次,2号开关被第1个人和第2个人共按了2次,3号开关被第1个人和 第3个人共按了2次,…… 丙:只有按了奇数次的开关所对应的灯最终是“亮”的状态. 根据以上同学的思维过程,可以得出最终状态为“亮”的灯共有 盏. 【答案】10 【分析】灯的初始状态为“不亮”,按奇数次,则状态为“亮”,按偶数次,则状态为“不亮”,确定1- 100中,各个数因数的个数,完全平方数的因数为奇数个,从而求解. 资26料整理【淘宝店铺:向阳百分百】关注公众号:陆陆高分冲刺 ~领取:最新版“小中高考-总复习”、最新试卷下载 【详解】所有灯的初始状态为“不亮”,按奇数次,则状态为“亮”,按偶数次,则状态为“不亮”; 因数的个数为奇数的自然数只有完全平方数,1-100中,完全平方数为1,4,9,16,25,36,49,64, 81,100;有10个数,故有10盏灯被按奇数次,为“亮”的状态; 故答案为:10. 【点睛】本题考查因数分解,完全平方数,理解因数的意义,完全平方数的概念是解题的关键. 26.(2023年湖北省恩施州中考数学真题)观察下列两行数,探究第②行数与第①行数的关系: ,4, ,16, ,64,……① 0,7, ,21, ,71,……② 根据你的发现,完成填空:第①行数的第10个数为 ;取每行数的第2023个数,则这两个数的 和为 . 【答案】 1024 【分析】通过观察第一行数的规律为 ,第二行数的规律为 ,代入数据即可. 【详解】第一行数的规律为 ,∴第①行数的第10个数为 ; 第二行数的规律为 , ∴第①行数的第2023个数为 ,第②行数的第2023个数为 , ∴ , 故答案为:1024; . 【点睛】本题主要考查数字的变化,找其中的规律,是今年考试中常见的题型. 27.(2023年四川省广元市中考真题数学试题)在我国南宋数学家杨辉所著的《详解九章算术》(1261 年)一书中,用如图的三角形解释二项和的乘方规律,因此我们称这个三角形为“杨辉三角”,根据规律 第八行从左到右第三个数为 . 资27料整理【淘宝店铺:向阳百分百】关注公众号:陆陆高分冲刺 ~领取:最新版“小中高考-总复习”、最新试卷下载 【答案】 【分析】根据前六行的规律写出第7,8行的规律进而即可求解. 【详解】解:根据规律可得第七行的规律为 第八行的规律为 ∴根据规律第八行从左到右第三个数为 , 故答案为: . 【点睛】本题考查了数字类规律,找到规律是解题的关键. 28.(2023年四川省广安市中考数学真题)在平面直角坐标系中,点 在 轴的正半轴上, 点 在直线 上,若点 的坐标为 ,且 均为 等边三角形.则点 的纵坐标为 . 【答案】 【分析】过点 作 轴,交直线 于点 ,过点 作 轴于点 ,先求出 ,再根据等边三角形的性质、等腰三角形的判定可得 ,然后解直角三角形可得 的长,即可得点 的纵坐标,同样的方法分别求出点 的纵坐标,最后归纳类推出一般规律, 由此即可得. 【详解】解:如图,过点 作 轴,交直线 于点 ,过点 作 轴于点 , 资28料整理【淘宝店铺:向阳百分百】关注公众号:陆陆高分冲刺 ~领取:最新版“小中高考-总复习”、最新试卷下载 , , 当 时, ,即 , , , 是等边三角形, , , , ,即点 的纵坐标为 , 同理可得:点 的纵坐标为 , 点 的纵坐标为 , 点 的纵坐标为 , 资29料整理【淘宝店铺:向阳百分百】关注公众号:陆陆高分冲刺 ~领取:最新版“小中高考-总复习”、最新试卷下载 归纳类推得:点 的纵坐标为 ( 为正整数), 则点 的纵坐标为 , 故答案为: . 【点睛】本题考查了点坐标的规律探索、等边三角形的性质、正比例函数的应用、解直角三角形等知识点, 正确归纳类推出一般规律是解题关键. 29.(2022·江苏南京·统考中考真题)如图,在平面直角坐标系,横、纵坐标均为整数的点案如下规律依 序排列: , , , , , , , , , , , , , ,…按这个规律,则 是第 个点. 【答案】99 【分析】先根据点的坐标,找出规律,再计算求解. 【详解】解:横纵坐标和是0的有1个点, 横纵坐标和是1的有2个点, 横纵坐标和是2的有3个点, 横纵坐标和是3的有4个点, , 横纵坐标和是 的有 个点, , , 资30料整理【淘宝店铺:向阳百分百】关注公众号:陆陆高分冲刺 ~领取:最新版“小中高考-总复习”、最新试卷下载 横纵坐标和是13的有14点,分别为: 、 、 、 、 、 、 、 、 、 、 、 、 、 、 是第 个点, 故答案为:99. 【点睛】本题考查了点的坐标,找到坐标的排列规律是解题的关键. 30.(2021·贵州黔西·中考真题)如图,在 中, , , ,作正方形 A B C D 1 1 1 1 ,使顶点 , 分别在 , 上,边 在 上;类似地,在 △ 中,作正方形 ;在 △ 中,作正方形 ; ;依次作下去,则第 个正方形 的边长是 . 【答案】 【分析】法一:过 作 ,通过做辅助线并结合等腰直角三角形的性质找到第二个正方形边长与第 一个正方形边长的比值为 ,依次类推可得第n个正方形的边长. 法二:直接利用等腰直角三角形的性质,找到第二个正方形边长与第一个正方形边长的比值为 ,依次类 推可得第n个正方形的边长. 【详解】解:法1:过 作 ,交 于点 ,交 于点 ,如图所示: 资31料整理【淘宝店铺:向阳百分百】关注公众号:陆陆高分冲刺 ~领取:最新版“小中高考-总复习”、最新试卷下载 , , 为斜边为1的等腰直角三角形, , 又 △ 为等腰直角三角形, , , 第1个正方形的边长 , 同理第2个正方形的边长 , 则第 个正方形 的边长 ; 法2:由题意得: , , , , 同理可得: , 依此类推 . 故答案为: . 【点睛】本题考查了等腰直角三角形与正方形的性质,能够准确利用相关性质找到正方形边长的比值规律 资32料整理【淘宝店铺:向阳百分百】关注公众号:陆陆高分冲刺 ~领取:最新版“小中高考-总复习”、最新试卷下载 是解决本题的关键. 31.(2020·四川广安·中考真题)如图,在平面直角坐标系中,边长为2的正方形OA B C 的两边在坐标 1 1 1 轴上,以它的对角钱OB 为边作正方形OB B C ,再以正方形OB B C 的对角线OB 为边作正方形 1 1 2 2 1 2 2 2 OB B C ……以此类推,则正方形OB B C 的顶点B 的坐标是 . 2 3 3 2020 2021 2021 2021 【答案】(-21011,-21011) 【分析】首先先求出B 、B 、B 、B 、B 、B 、B 、B 、B 、B 的坐标,找出这些坐标之间的规律,然后 1 2 3 4 5 6 7 8 9 10 根据规律计算出点B 的坐标. 2021 【详解】解:∵正方形OA B C 的边长为2, 1 1 1 ∴OB =2 ,点B 的坐标为(2,2) 1 1 ∴OB =2 × =4 2 ∴B (0,4), 2 同理可知B (-4,4),B (-8,0),B (-8,-8),B (0,-16),B (16,-16),B (32,0),B 3 4 5 6 7 8 9 (32,32),B (0,64). 10 由规律可以发现,点B 在第一象限角平分线上、B 在y轴正半轴上、B 在第二象限角平分线上、B 在x轴 1 2 3 4 负半轴上、B 在第三象限角平分线上、B 在y轴负半轴上、B 在第四象限角平分线上、B 在x轴正半轴上、 5 6 7 8 B 在第一象限角平分线上、B 在y轴正半轴上,每经过8次作图后,点的坐标符号与第一次坐标的符号相 9 10 同,每次正方形的边长变为原来的 倍, ∵2021÷8=252 5, ⋯⋯ 资33料整理【淘宝店铺:向阳百分百】关注公众号:陆陆高分冲刺 ~领取:最新版“小中高考-总复习”、最新试卷下载 ∴B 和B 都在第三象限角平分线上,且OB =2× =2×21010× =21011× 2021 5 2021 ∴点B 到x轴和y轴的距离都为21011× ÷ =21011. 2021 ∴B (-21011,-21011) 2021 故答案为:(-21011,-21011). 【点睛】此题考查的是一个循环规律归纳的题目,解答此题的关键是确定几个点坐标为一个循环,再确定 规律即可. 32.(2019·青海·统考中考真题)根据如图所示的程序,计算y的值,若输入x的值是1时,则输出的y值 等于 . 【答案】−2 【分析】由题意输入x=1然后平方得x2,然后再- 小于0,乘以1+ ,可得y的值. 【详解】解:当x=1时,x2− =1− <0, ∴y=(1− )(1+ )=1−3=−2, 故答案为−2. 【点睛】此题是一道程序题,做题时要按照程序一步一步做,主要考查代数式求值,是一道常考的题型. 33.(2019·青海·统考中考真题)如图,将图 中的菱形剪开得到图,图 中共有 个菱形;将图 中的一 个菱形剪开得到图 ,图中共有 个菱形;如此剪下去,第 图中共有 个菱形……,第 个图中共有 个菱形. 【答案】 13, 【分析】观察图形可知,每剪开一次多出 个菱形,然后写出前 个图形中菱形的个数,根据这一规律写 出第 个图形中的菱形的个数的表达式. 资34料整理【淘宝店铺:向阳百分百】关注公众号:陆陆高分冲刺 ~领取:最新版“小中高考-总复习”、最新试卷下载 【详解】解:(1)第 个图形有菱形 个, 第 个图形有菱形 个, 第 个图形有菱形 个, 第 个图形有菱形 个, …, 第 个图形有菱形 个, 当 时, , 故答案为 . 【点睛】本题考查图形的变化规律,通过观察图形,分析、归纳发现其中的规律,并应用规律解决问题. 三、解答题 34.(2023年安徽中考数学真题)【观察思考】 【规律发现】 请用含 的式子填空: (1)第 个图案中“ ”的个数为 ; (2)第 个图案中“★”的个数可表示为 ,第 个图案中“★”的个数可表示为 ,第 个图案中 “★”的个数可表示为 ,第 个图案中“★”的个数可表示为 ,……,第 个图案中“★”的个 数可表示为______________. 【规律应用】 (3)结合图案中“★”的排列方式及上述规律,求正整数 ,使得连续的正整数之和 等于第 个图案中“ ”的个数的 倍. 【答案】(1) (2) (3) 资35料整理【淘宝店铺:向阳百分百】关注公众号:陆陆高分冲刺 ~领取:最新版“小中高考-总复习”、最新试卷下载 【分析】(1)根据前几个图案的规律,即可求解; (2)根据题意,结合图形规律,即可求解. (3)根据题意,列出一元二次方程,解方程即可求解. 【详解】(1)解:第1个图案中有 个 , 第2个图案中有 个 , 第3个图案中有 个 , 第4个图案中有 个 , …… ∴第 个图案中有 个 , 故答案为: . (2)第1个图案中“★”的个数可表示为 , 第2个图案中“★”的个数可表示为 , 第3个图案中“★”的个数可表示为 , 第4个图案中“★”的个数可表示为 ,……, 第n个图案中“★”的个数可表示为 , (3)解:依题意, , 第 个图案中有 个 , ∴ , 解得: (舍去)或 . 【点睛】本题考查了图形类规律,解一元二次方程,找到规律是解题的关键. 35.(2023·广东东莞·统考三模)如图,正方形ABCD的边长为2,其面积标记为 ,以CD为斜边作等腰 资36料整理【淘宝店铺:向阳百分百】关注公众号:陆陆高分冲刺 ~领取:最新版“小中高考-总复习”、最新试卷下载 直角三角形,以该等腰直角三角形的一条直角边为边向外作正方形,其面积标记为 ,…按照此规律继续 下去,则 的值为( ) A. B. C. D. 【答案】C 【分析】根据等腰直角三角形的性质结合勾股定理以及三角形的面积公式可得出部分 、 、 、 的 值,根据面积的变化即可找出变化规律 ,依此规律即可解决问题. 【详解】解: 是等腰直角三角形, , , , , 即等腰直角三角形的直角边为斜边的 倍, , , , 资37料整理【淘宝店铺:向阳百分百】关注公众号:陆陆高分冲刺 ~领取:最新版“小中高考-总复习”、最新试卷下载 , , , . 故选:C. 【点睛】本题考查了勾股定理,等腰直角三角形的性质、正方形的面积以及规律型中数字的变化类,根据 面积的变化找出变化规律“ 是解题的关键. 36.(2023·重庆沙坪坝·重庆一中校考三模)把黑色围棋子按如图所示的规律拼图案.其中第①个图案有1 颗棋子,第②个图案有4颗棋子,第③个图案有7颗棋子,第④个图案有10颗棋子,…按此规律排列下去, 则第⑨个图案棋子的颗数为( ) A.28 B.25 C.22 D.19 【答案】B 【分析】根据题意易得第n个图案棋子的颗数为 ;由此问题可求解. 【详解】解:∵第①个图案有1颗棋子,第②个图案有4颗棋子,第③个图案有7颗棋子,第④个图案有 10颗棋子,…; ∴第n个图案棋子的颗数为 , ∴第⑨个图案棋子的颗数为 ; 故选B. 【点睛】本题主要考查图形规律问题,解题的关键是总结出来图形规律. 37.(2023·安徽六安·校考三模)有一列数,记为 , ,…, ,记其前n项和为 , 定义 为这列数的“亚运和”,现有99个数 , ,…, ,其“亚运和”为1000, 资38料整理【淘宝店铺:向阳百分百】关注公众号:陆陆高分冲刺 ~领取:最新版“小中高考-总复习”、最新试卷下载 则1, , ,…, 这100个数的“亚运和”为( ) A.791 B.891 C.991 D.1001 【答案】C 【分析】根据“亚运和”的定义分析可得99个数 , ,…, ,其“亚运和”为1000,,即 .同理根据定义求新数列1, , ,…, 这100个数的“亚运和”. 【详解】解:∵ , ∴ , ∴1, , ,…, 这100个数的“亚运和”为 . 故选:C. 【点睛】本题是一道找规律的题目,这类题型在中考中经常出现.对于找规律的题目首先应找出哪些部分 发生了变化,是按照什么规律变化的.关键是找到 . 38.(2023·广东揭阳·统考二模)任意写下一个三位数,百位数字乘个位数字的积作为下一个数的百位数 字,百位数字乘十位数字的积作为下一个数的十位数字,十位数字乘个位数字的积作为下一个数的个位数 字.在上面每次相乘的过程中,如果积大于9,则将积的个位数字与十位数字相加,若和仍大于9,则继续 相加直到得出一位数. 重复这个过程…… 例如,以832开始,运用以上的规则依次可以得到;766,669,999,999……如果,以123开始,运用以 上的规则依次可以得到: , , …… 资39料整理【淘宝店铺:向阳百分百】关注公众号:陆陆高分冲刺 ~领取:最新版“小中高考-总复习”、最新试卷下载 【答案】 326 963 999 【分析】依次根据规律计算即可求解. 【详解】解:以123开始,运用以上的规则依次可以得到: , , ,则第一个数为326; 3×6=18,且 , , ,且 ,则第二个数为963; ,且 , ,且 ,3×6=18,且 ,则第三个数为999; 故答案为:326;963;999; 【点睛】本题考查了有理数的运算,这类题要认真按着规律从头计算. 39.(2023·安徽六安·校考三模)填空: ; ; ; …… (1) __________; (2)猜想: __________;(其中 为正整数,且 ) (3)利用(2)中的猜想的结论计算: . 【答案】(1) ; (2) ; (3) ; 【分析】(1)根据题中条件归纳即可求解; (2)根据题中条件归纳即可求解; (3)根据(2)归纳可知 进而即可解答; 【详解】(1)解:∵ , , 资40料整理【淘宝店铺:向阳百分百】关注公众号:陆陆高分冲刺 ~领取:最新版“小中高考-总复习”、最新试卷下载 , ∴ ; 故答案为 ; (2)解:∵ , , , ∴ ; 故答案为 ; (3)解:∵ , ∴ ; 【点睛】本题考查了多项式乘多项式的运算,由特殊归纳出一般结论是解题的关键. 40.(福建省三明市泰宁县2019-2020学年八年级上学期期中数学试题)估计 的值应在 () A.1和2之间 B.2和3之间 C.3和4之间 D.4和5之 【答案】B 【分析】由于4<6<9,于是 ,从而有 . 【详解】解:∵4<6<9, ∴ , ∴ , 故选B. 资41料整理【淘宝店铺:向阳百分百】关注公众号:陆陆高分冲刺 ~领取:最新版“小中高考-总复习”、最新试卷下载 【点睛】本题考查了无理数的估算,解题关键是确定无理数的整数部分即可解决问题. 41.(2023·河南周口·校考三模)如图是由6块完全相同的小正方体搭成的几何体,如果在这个几何体上 再添加一些小正方体,并保持主视图和左视图不变,则最多可以添加小正方体的块数为( ) A.1 B.2 C.3 D.4 【答案】B 【分析】在俯视图上相应位置备注出相应摆放的数目即可; 【详解】解:在备注数字的位置加摆相应数量的小正方体, 所以最多可以添加2个, 故选B; 【点睛】本题考查简单组合体的三视图,理解视图的意义是正确解答的前提. 42.(2023·河南焦作·统考三模)如图是由5个立方块搭成的几何体的俯视图,小正方形中的数字表示该 位置上的小立方块的个数,则这个几何体的主视图是( ) A. B. C. D. 【答案】A 【分析】先细心观察原立体图形中正方体的位置关系,从正面看去,一共三列,左边有1竖列,有1个立 方块;中间有2竖列,其中1列有2个立方块;右边是1竖列,有1个立方块;结合四个选项选出答案. 【详解】解:从正面看去,一共三列,左边有1竖列,中间有2竖列,其中1列有2个立方块,右边是1 竖列. 资42料整理【淘宝店铺:向阳百分百】关注公众号:陆陆高分冲刺 ~领取:最新版“小中高考-总复习”、最新试卷下载 故选:A. 【点睛】本题考查了由三视图判断几何体及简单组合体的三视图,重点考查几何体的三视图及空间想象能 力. 43.(2023·黑龙江绥化·统考模拟预测)如图所示,将形状、大小完全相同的“•”和线段按照一定规律摆 成下列图形.第1幅图形中“•”的个数为 ,第2幅图形中“•”的个数为 ,第3幅图形中“•”的个数 为 ,…,以此类推,则 的值为 . 【答案】 【分析】根据图形中“•”的个数得出数字变化规律,进而求出即可. 【详解】解: , , , , …, ; 资43料整理【淘宝店铺:向阳百分百】关注公众号:陆陆高分冲刺 ~领取:最新版“小中高考-总复习”、最新试卷下载 , 故答案为: . 【点睛】此题考查图形的变化规律,有理数的混合运算,找出图形之间的联系,找出规律是解决问题的关 键. 44.(2023·山东泰安·校考三模)在平面直角坐标系中,等边 如图放置,点 的坐标为 ,每 一次将 绕着点 顺时针方向转 ,同时每边扩大为原来的2倍,第一次旋转后得到 ,第二 次旋转后得到 ,…,依次类推,则点 的坐标为 . 【答案】 【分析】根据旋转角度为 ,可知每旋转6次点B的位置重复出现在同一射线上,由此可知第2023次旋 转后,点 与点 的位置在同一射线上,都在射线 上,即可求解. 【详解】解:∵ , ∴ , ∵ 是等边三角形, ∴ , 过点 作 轴于点E,如图, 资44料整理【淘宝店铺:向阳百分百】关注公众号:陆陆高分冲刺 ~领取:最新版“小中高考-总复习”、最新试卷下载 则 , ∴ , ∵每次旋转角度为 , ∴6次旋转 , ∵ , ∴第2023次旋转后,点 与点 都在射线 上, ∵第1次旋转后, , 第7次旋转后, , 第13次旋转后, , …… ∴第2023次旋转后, 故答案为: . 【点睛】本题考查图形的旋转,熟练掌握图形旋转的性质,根据旋转角度找到点的坐标规律是解题的关键. 45.(2023·河北承德·统考二模)我们把满足 的三个正整数a,b,c称为“勾股数”.若 是一组勾股数,n为正整数: (1)当 , 时,请用含 的代数式表示 ,并直接写出n取何值时,a为满足题意的最小整数; 资45料整理【淘宝店铺:向阳百分百】关注公众号:陆陆高分冲刺 ~领取:最新版“小中高考-总复习”、最新试卷下载 (2)当 , 时,用含n的代数式表示 ,再完成下列勾股数表. 9 40 60 61 【答案】(1)当 时, 为满足题意的最小整数5 (2)见解析 【分析】(1)根据 变形式 得到结果,根据 的算术平方根是最小整数得到结果; (2)根据 变形式 得到结果,根据 变形式 得到 的值,根据 变形式 得到 的值; 【详解】(1) , 把 , 代入 中, 得 , ∵ 为正整数, ∴当 时,满足题意的最小整数 ; (2) , , , , , , , , , 补全勾股数表如下: 资46料整理【淘宝店铺:向阳百分百】关注公众号:陆陆高分冲刺 ~领取:最新版“小中高考-总复习”、最新试卷下载 4 9 41 0 6 11 61 0 【点睛】本题主要考查了勾股定理逆定理的应用,准确理解题意是解题的关键. 46.(2023·黑龙江绥化·统考三模)古希腊数学家定义了五边形数,如下表所示,将点按照表中方式排列 成五边形点阵,图形中的点的个数即五边形数; 图形 … 五边形数 1 5 12 22 35 51 … 将五边形数1,5,12,22,35,51,…,排成如下数表; 1 第一行 5 12 第二行 22 35 51 第三行 … … … … … 观察这个数表,则这个数表中的第八行从左至右第2个数为 . 【答案】1335 【分析】分析表格中的图形和五边形数之间的规律,再找到排成数表中五边形数和行数之间的规律. 【详解】解:由图形规律可知,第n个图形是一个由n个点为边长的等边三角形和一个长为n个点,宽为 (n-1)个点的矩形组成,则第n个图形一共有 个点,化简得 ,即第n个图形的五 边形数为 . 分析排成数表,结合图形可知: 第一行从左至右第1个数,是第1个图形的五边形数; 第二行从左至右第1个数,是第2个图形的五边形数; 第三行从左至右第1个数,是第4个图形的五边形数; 资47料整理【淘宝店铺:向阳百分百】关注公众号:陆陆高分冲刺 ~领取:最新版“小中高考-总复习”、最新试卷下载 第四行从左至右第1个数,是第7个图形的五边形数; … ∴第n行从左至右第1个数,是第 个图形的五边形数. ∴第八行从左至右第2个数,是第30个图形的五边形数. 第30个图形的五边形数为: . 故答案为:1335. 【点睛】本题是找规律题,解此题的关键是分析表格中的图形个数与五边形数,排成数表中的五边形数和 行数,得出规律. 47.(2023·河北保定·统考模拟预测)按照如图所示的程序,进行计算. (1)如果输入 ,求输出结果; (2)若在图1基础上增加一个计算程序“ ”,如图2,重新输入 ,第一次运算得到 ,求输出结果. 【答案】(1)1 (2)24 【分析】(1)根据程序中的运算法则列式计算即可; (2)根据程序中的运算法则列式计算即可. 【详解】(1)解:由题意可得: , ∵ , ∴输出结果为1. (2)解:由题意可得: ,故 . 资48料整理【淘宝店铺:向阳百分百】关注公众号:陆陆高分冲刺 ~领取:最新版“小中高考-总复习”、最新试卷下载 ∵ , ∴进行第二次运算: . ∴输出结果为24. 【点睛】本题主要考查了流程图、有理数的混合运算等知识点,根据流程图正确列式是解题的关键. 48.(2023·山东青岛·统考三模)如图,在平面直角坐标系中,四边形 , , ,都 是菱形,点 , , ,…,都在x轴上,点 , , ,…都在直线 上,且 , 则点 的坐标是 . 【答案】 【分析】根据菱形的边长求得 、 、 的坐标,然后分别表示出 、 、 的坐标找出规律,进 而求得 、 、 ,…的坐标找出规律,从而求得 的坐标. 【详解】解: , , , 设 , 资49料整理【淘宝店铺:向阳百分百】关注公众号:陆陆高分冲刺 ~领取:最新版“小中高考-总复习”、最新试卷下载 , , (不合题意舍去), , , 四边形 是菱形, ∴ , , ∴ ∵四边形 , , 都是菱形, , , , , 同理得到 , , , , ; , , ∴ , , , , ,…, , 点 , 故答案为: . 【点睛】本题是对点的坐标变化规律的考查,主要利用了菱形的性质,解直角三角形,一次函数图象上点 的坐标特征,根据已知点的变化规律求出菱形的边长,得出系列B点的坐标,找出规律是解题的关键. 49.(2023·甘肃平凉·校考三模)如图,每一图中有若干个大小不同的菱形,第1幅图中有1个菱形,第2 幅图中有3个菱形,第3幅图中有5个菱形,如果第n幅图中有2019个菱形,则n= . 【答案】1010 【分析】根据题意分析可得:第1幅图中有1个,第2幅图中有2×2﹣1=3个,第3幅图中有2×3﹣1=5 个,…,可以发现,每个图形都比前一个图形多2个,继而即可得出答案. 资50料整理【淘宝店铺:向阳百分百】关注公众号:陆陆高分冲刺 ~领取:最新版“小中高考-总复习”、最新试卷下载 【详解】解:根据题意分析可得:第1幅图中有1个. 第2幅图中有2×2﹣1=3个. 第3幅图中有2×3﹣1=5个. 第4幅图中有2×4﹣1=7个. …. 可以发现,每个图形都比前一个图形多2个. 故第n幅图中共有(2n﹣1)个. 当图中有2019个菱形时, 2n﹣1=2019 n=1010, 故答案为1010 【点睛】本题考查规律型中的图形变化问题,难度适中,要求学生通过观察,分析、归纳并发现其中的规 律. 50.(2023·辽宁鞍山·校考三模)如图,O为坐标原点,点 在y轴的正半轴上,点 在函数 位于第一象限的图象上,若 , , ,…, 都是等边三角形,则线段 的长是 . 【答案】 【分析】分别过 作y轴的垂线,垂足分别为A、B、C,设 , , ,,则 资51料整理【淘宝店铺:向阳百分百】关注公众号:陆陆高分冲刺 ~领取:最新版“小中高考-总复习”、最新试卷下载 , , ,再根据所求正三角形的边长,分别表示 的纵坐标,逐步代 入抛物线 中,求 的值,得出规律进行求解即可. 【详解】解:分别过 , , 作 轴的垂线,垂足分别为 、 、 , 设 , , ,由勾股定理则 , 同理 , , ∴ , , , 把 ,代入 中,得 ,解得 ,即 , 把 ,代入 中,得 ,解得 ,即 , 把 ,代入 中,得 ,解得 ,即 , …, 依此类推由此可得 , 资52料整理【淘宝店铺:向阳百分百】关注公众号:陆陆高分冲刺 ~领取:最新版“小中高考-总复习”、最新试卷下载 ∴ , ∴ . 故答案为: . 【点睛】本题考查了二次函数的综合运用.勾股定理应用,掌握探究规律题的解题方法,关键是根据正三 角形的性质用边长表示抛物线上点的坐标,利用抛物线解析式求正三角形的边长,得到规律. 51.(2023·甘肃平凉·校考三模)有一数值转换器,原理如图所示,若开始输入x的值是1,可发现第一次 输出的结果是4,第二次输出的结果是2,……,请你探索第2023次输出的结果是 . 【答案】4 【分析】由题意知,第一次输出的结果是4,第二次输出的结果是2,第三次输出的结果是1,第四次输出 的结果是4,第五次输出的结果是2,……,可知三次为一个循环,由 ,进而可得第2023 次输出的结果. 【详解】解:由题意知,第一次输出的结果是4,第二次输出的结果是2,第三次输出的结果是1,第四次 输出的结果是4,第五次输出的结果是2,……, ∴可知三次为一个循环, ∵ , ∴第2023次输出的结果是4, 故答案为:4. 【点睛】本题考查了程序流程图与有理数计算,规律探究.解题的关键在于根据推导一般性规律. 52.(2023·吉林松原·校联考三模)如图1,菱形卡片 菱形卡片 的边长均为2. .卡片中的扇形半径均为2.如图2是交替摆放这两种卡片得到的图案.若摆放这个图案共 用两种卡片 张,则这个图案中阴影部分图形的面积和为 .(结果保留 ) 资53料整理【淘宝店铺:向阳百分百】关注公众号:陆陆高分冲刺 ~领取:最新版“小中高考-总复习”、最新试卷下载 【答案】 / / / 【分析】菱形卡片 与菱形卡片 中的阴影部分的面积是菱形卡片 的总面积, 张有 对这样的组合,外加一张菱形卡片 ,因此摆放2023张卡片后阴影部分的面积是 张菱形卡 片 的总面积与菱形卡片 中扇形的面积之和,据此可解. 【详解】依题意得:菱形卡片 与菱形卡片 中的阴影部分的面积是菱形卡片 的总面积, , ∴摆放 张卡片后阴影部分的面积是1011张菱形卡片 的总面积与菱形卡片 中扇形的面积 之和, 在菱形 中,过点A作 于点E, ∵ , , ∴ , , ∴ , ∴ 资54料整理【淘宝店铺:向阳百分百】关注公众号:陆陆高分冲刺 ~领取:最新版“小中高考-总复习”、最新试卷下载 ∴摆放 张卡片后阴影部分的面积是: 故答案是: 【点睛】本题考查图形类规律题,扇形的面积,菱形的面积,含 角的直角三角形的性质等知识点,根 据题意找出图形的规律会求扇形面积和菱形面积是解题的关键. 53.(2023·山东泰安·统考三模)如图,在平面直角坐标系中,直线 与x轴交于点 ,以 为边长作等边三角形 ,过点 作 平行于x轴,交直线l于点 ,以 为边长作等边三角形 ,过点 作 平行于x轴,交直线l于点 ,以 为边长作等边三角形 ,…,则 的长度为 . 【答案】 【分析】先根据直线 与 轴交于点 ,可得 , , ,再过 作 于 ,过 作 于 ,过 作 于 ,根据等边三角形的性质以及含 角的 直角三角形的性质,分别求得 , , ,据此可得 的长度. 资55料整理【淘宝店铺:向阳百分百】关注公众号:陆陆高分冲刺 ~领取:最新版“小中高考-总复习”、最新试卷下载 【详解】解:由直线 与 轴交于点 ,可得 , , , , 如图所示,过 作 于 ,则 , 即 的横坐标为 , 由题可得 , , , , 过 作 于 ,则 , 过 作 于 , 同理可得, , 同理可得, , 由此可得, , 故答案为: . 【点睛】本题主要考查了一次函数图象上点的坐标特征以及等边三角形的性质的运用,解决问题的关键是 资56料整理【淘宝店铺:向阳百分百】关注公众号:陆陆高分冲刺 ~领取:最新版“小中高考-总复习”、最新试卷下载 依据等边三角形的性质找出规律. 54.(2023·四川宜宾·统考三模)如图,平面直角坐标系中,在直线 和 轴之间由小到大依次画出 若干个等腰直角三角形(图中所示的阴影部分),其中一条直角边在 轴上,另一条直角边与 轴垂直, 则第 个等腰直角三角形的面积是( ) A. B. C. D. 【答案】C 【分析】根据一次函数图象上点的坐标特征,可得第 个等腰直角三角形的直角边长,求出第 个等腰直角 三角形的面积,用同样的方法求出第 个等腰直角三角形的面积,第 个等腰直角三角形的面积,找出其 中的规律即可求出第 个等腰直角三角形的面积. 【详解】解:当 时, , 根据题意,第 个等腰直角三角形的直角边长为 , 第 个等腰直角三角形的面积为 , 当 时, , 第 个等腰直角三角形的直角边长为 , 第 个等腰直角三角形的面积为 , 当 时, , 第 个等腰直角三角形的直角边长为 , 第 个等腰直角三角形的面积为 , 依此规律,第 个等腰直角三角形的面积为 , 故选:C. 【点睛】本题考查了一次函数图象上点的坐标特征与规律的综合,涉及等腰直角三角形的性质,找出规律 资57料整理【淘宝店铺:向阳百分百】关注公众号:陆陆高分冲刺 ~领取:最新版“小中高考-总复习”、最新试卷下载 是解题的关键. 55.(2023·重庆沙坪坝·重庆南开中学校考二模)下列图形都是由同样大小的★按照一定规律组成的,其 中第①个图形中共有 个★,第②个图形中共有 个★,第③个图形中共有 个★,…,按此规律排列下去, 第⑥个图形中的★个数为( ) A. 个 B. 个 C. 个 D. 个 【答案】B 【分析】仔细观察图形,找到图形中★个数的通项公式,然后代入 求解即可. 【详解】解:∵第①个图形中共有 个★, 第②个图形中共有 个★, 第③个图形中共有 个★, …, ∴按此规律排列下去,第 个图形中共有 个★, ∴第⑥个图形中的★个数为 , 故选:B. 【点睛】本题考查了图形的变化类问题,解题的关键是仔细的读题并找到图形变化的规律,难度不大. 56.(2023·云南昆明·昆明八中校考三模)按一定规律排列的单项式: , , , , ,…, 第 个单项式是( ) A. B. C. D. 【答案】A 【分析】根据题目中的单项式,可以发现系数的绝对值是一些连续的奇数且第奇数个单项式的系数为负数, 的指数是一些连续的正整数,从而可以写出第 个单项式. 【详解】解:A、当 时,第一个单项式为: 符合题意; B、当 时,第一个单项式为: ,不符合题意,排除; C、当 时,第一个单项式为: ,不符合题意,排除; 资58料整理【淘宝店铺:向阳百分百】关注公众号:陆陆高分冲刺 ~领取:最新版“小中高考-总复习”、最新试卷下载 D、当 时,第一个单项式为: ,不符合题意,排除; 故选:A. 【点睛】此题考查了数字的变化规律,单项式的系数和指数,解此题的关键是明确题意,发现单项式系数 和字母指数的变化特点及规律. 57.(2023·江苏徐州·校考三模)如图,在x轴的正半轴上依次截取 ,过点 , 分别作x轴的垂线与反比例函数 的图象相交于点 ,得 , , , 并设其面积分别为 ,以此类推,则 的值为( ) A. B. C. D. 【答案】C 【分析】因为过双曲线上任意一点与原点所连的线段、坐标轴、向坐标轴作垂线所围成的直角三角形面积 S是个定值, ,由反比例函数解析式中 ,得出 , , ,…, 的面积 都为1,而 为 的 ,且 与 的高为同一条高,故 的面积为 的面积 的 ,由 的面积都为1,得出 的面积,即为 的值,从而得解. 【详解】解:连接 , ,…, ,如图所示: 资59料整理【淘宝店铺:向阳百分百】关注公众号:陆陆高分冲刺 ~领取:最新版“小中高考-总复习”、最新试卷下载 ∵过双曲线上任意一点与原点所连的线段、坐标轴、向坐标轴作垂线所围成的直角三角形面积S是个定值, , ∴ ,即 , 又∵ , ∴ , , ,…, , ∵ 与 的高为同一条高, ∴ , ∴ , 故选:C. 【点睛】此题属于反比例函数的综合题,涉及的主要知识有:反比例函数 中k的几何意义,即 过双曲线上任意一点引 轴、 轴垂线,所得矩形面积为 ;这里体现了数形结合的思想,做此类题一定 要正确理解k的几何意义,图象上的点与原点所连的线段、坐标轴、向坐标轴作垂线所围成的直角三角形 面积S的关系即 . 58.(2023·山东济南·统考三模)在直角坐标系中,点A 从原点出发,沿如图所示的方向运动,到达位置 1 资60料整理【淘宝店铺:向阳百分百】关注公众号:陆陆高分冲刺 ~领取:最新版“小中高考-总复习”、最新试卷下载 的坐标依次为:A(1,0),A(1,1),A(﹣1,1),A(﹣1,﹣1),A(2,﹣1),A(2, 2 3 4 5 6 7 2),….若到达终点A(506,﹣505),则n的值为 . n 【答案】2022 【分析】终点 在第四象限,寻找序号与坐标之间的关系可求n的值. 【详解】解:∵ 是第四象限的点, ∴ 落在第四象限. ∴在第四象限的点为 ∵ ∴ 故答案为:2022 【点睛】本题考查了点坐标的位置及坐标变化规律的知识点,善于观察并寻找题目中蕴含的规律是解题的 关键. 59.(2023·安徽六安·校考模拟预测)正六边形是由边长相等的等边三角形构成的,我们把每个等边三角 形叫做基本图形的特征三角形.基本图形是由边长为1的特征三角形按一定规律排列的. 资61料整理【淘宝店铺:向阳百分百】关注公众号:陆陆高分冲刺 ~领取:最新版“小中高考-总复习”、最新试卷下载 (1)观察图形,完成表格: 图 图形编号 图1 图2 图3 … n 基本图形的特性三角形个数 6 10 14 … 图形的周长 6 8 … 图形的面积 … (2)已知上述某一图形中共有202个特征三角形,则这一图形的周长是_______,面积是________. 【答案】(1) ,10, , , , (2)104, 【分析】(1)根据题意探索规律求解; (2)由(1)得出的规律,求出 ,进一步根据规律求解. 【详解】(1)第1个图形有三角形 个,周长为 ,面积为 , 第2个图形有三角形 个,周长为 ,面积为 , 第3个图形有三角形 个,周长为 ,面积为 , …… 第n个图形有三角形 个,周长为 ,面积为 资62料整理【淘宝店铺:向阳百分百】关注公众号:陆陆高分冲刺 ~领取:最新版“小中高考-总复习”、最新试卷下载 故答案为: ,10, , , , (2)由题意, 解得, 则该图形周长: ,面积: 【点睛】本题考查探索图形规律,观察图形的组合,由最初的个例探索待求变量与序数的关系是解题的关 键. 60.(2023·安徽合肥·合肥市第四十五中学校考三模)观察下列等式的规律,解答下列问题: 第1个等式: , 第2个等式: , 第3个等式: , 第4个等式: . …… (1)根据以上等式规律: ______, ______; (2)写出你猜想的第 个等式(用含 的式子表示),并证明. 【答案】(1) ; ; (2)猜想的第 个等式: ,证明见解析 【分析】(1)根据第2个等式可确定b的值,然后将其代入第1个等式即可; (2)根据题意写出猜想,然后利用整式的乘法运算验证即可. 【详解】(1)解:∵ , ∴ , 将 代入第1个等式得 , 解得: , 故答案为: ; ; 资63料整理【淘宝店铺:向阳百分百】关注公众号:陆陆高分冲刺 ~领取:最新版“小中高考-总复习”、最新试卷下载 (2)解:猜想的第 个等式: . 证明:左边 , 右边 , ∴左边 右边, ∴猜想成立. 【点睛】本题主要考查代数式的规律问题,解题的关键是得到等式的一般规律. 资64料整理【淘宝店铺:向阳百分百】