当前位置:首页>文档>专题10二次函数-学易金卷:5年(2019-2023)中考1年模拟数学真题分项汇编(全国通用)(解析版)_02中考总复习(2026版更新中)_02-数学-中考总复习_2024年中考复习资料_专项复习资料

专题10二次函数-学易金卷:5年(2019-2023)中考1年模拟数学真题分项汇编(全国通用)(解析版)_02中考总复习(2026版更新中)_02-数学-中考总复习_2024年中考复习资料_专项复习资料

  • 2026-04-01 20:56:27 2026-03-06 05:41:12

文档预览

专题10二次函数-学易金卷:5年(2019-2023)中考1年模拟数学真题分项汇编(全国通用)(解析版)_02中考总复习(2026版更新中)_02-数学-中考总复习_2024年中考复习资料_专项复习资料
专题10二次函数-学易金卷:5年(2019-2023)中考1年模拟数学真题分项汇编(全国通用)(解析版)_02中考总复习(2026版更新中)_02-数学-中考总复习_2024年中考复习资料_专项复习资料
专题10二次函数-学易金卷:5年(2019-2023)中考1年模拟数学真题分项汇编(全国通用)(解析版)_02中考总复习(2026版更新中)_02-数学-中考总复习_2024年中考复习资料_专项复习资料
专题10二次函数-学易金卷:5年(2019-2023)中考1年模拟数学真题分项汇编(全国通用)(解析版)_02中考总复习(2026版更新中)_02-数学-中考总复习_2024年中考复习资料_专项复习资料
专题10二次函数-学易金卷:5年(2019-2023)中考1年模拟数学真题分项汇编(全国通用)(解析版)_02中考总复习(2026版更新中)_02-数学-中考总复习_2024年中考复习资料_专项复习资料
专题10二次函数-学易金卷:5年(2019-2023)中考1年模拟数学真题分项汇编(全国通用)(解析版)_02中考总复习(2026版更新中)_02-数学-中考总复习_2024年中考复习资料_专项复习资料
专题10二次函数-学易金卷:5年(2019-2023)中考1年模拟数学真题分项汇编(全国通用)(解析版)_02中考总复习(2026版更新中)_02-数学-中考总复习_2024年中考复习资料_专项复习资料
专题10二次函数-学易金卷:5年(2019-2023)中考1年模拟数学真题分项汇编(全国通用)(解析版)_02中考总复习(2026版更新中)_02-数学-中考总复习_2024年中考复习资料_专项复习资料
专题10二次函数-学易金卷:5年(2019-2023)中考1年模拟数学真题分项汇编(全国通用)(解析版)_02中考总复习(2026版更新中)_02-数学-中考总复习_2024年中考复习资料_专项复习资料
专题10二次函数-学易金卷:5年(2019-2023)中考1年模拟数学真题分项汇编(全国通用)(解析版)_02中考总复习(2026版更新中)_02-数学-中考总复习_2024年中考复习资料_专项复习资料
专题10二次函数-学易金卷:5年(2019-2023)中考1年模拟数学真题分项汇编(全国通用)(解析版)_02中考总复习(2026版更新中)_02-数学-中考总复习_2024年中考复习资料_专项复习资料
专题10二次函数-学易金卷:5年(2019-2023)中考1年模拟数学真题分项汇编(全国通用)(解析版)_02中考总复习(2026版更新中)_02-数学-中考总复习_2024年中考复习资料_专项复习资料
专题10二次函数-学易金卷:5年(2019-2023)中考1年模拟数学真题分项汇编(全国通用)(解析版)_02中考总复习(2026版更新中)_02-数学-中考总复习_2024年中考复习资料_专项复习资料
专题10二次函数-学易金卷:5年(2019-2023)中考1年模拟数学真题分项汇编(全国通用)(解析版)_02中考总复习(2026版更新中)_02-数学-中考总复习_2024年中考复习资料_专项复习资料
专题10二次函数-学易金卷:5年(2019-2023)中考1年模拟数学真题分项汇编(全国通用)(解析版)_02中考总复习(2026版更新中)_02-数学-中考总复习_2024年中考复习资料_专项复习资料
专题10二次函数-学易金卷:5年(2019-2023)中考1年模拟数学真题分项汇编(全国通用)(解析版)_02中考总复习(2026版更新中)_02-数学-中考总复习_2024年中考复习资料_专项复习资料
专题10二次函数-学易金卷:5年(2019-2023)中考1年模拟数学真题分项汇编(全国通用)(解析版)_02中考总复习(2026版更新中)_02-数学-中考总复习_2024年中考复习资料_专项复习资料
专题10二次函数-学易金卷:5年(2019-2023)中考1年模拟数学真题分项汇编(全国通用)(解析版)_02中考总复习(2026版更新中)_02-数学-中考总复习_2024年中考复习资料_专项复习资料
专题10二次函数-学易金卷:5年(2019-2023)中考1年模拟数学真题分项汇编(全国通用)(解析版)_02中考总复习(2026版更新中)_02-数学-中考总复习_2024年中考复习资料_专项复习资料
专题10二次函数-学易金卷:5年(2019-2023)中考1年模拟数学真题分项汇编(全国通用)(解析版)_02中考总复习(2026版更新中)_02-数学-中考总复习_2024年中考复习资料_专项复习资料
专题10二次函数-学易金卷:5年(2019-2023)中考1年模拟数学真题分项汇编(全国通用)(解析版)_02中考总复习(2026版更新中)_02-数学-中考总复习_2024年中考复习资料_专项复习资料
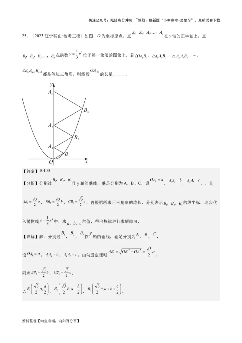
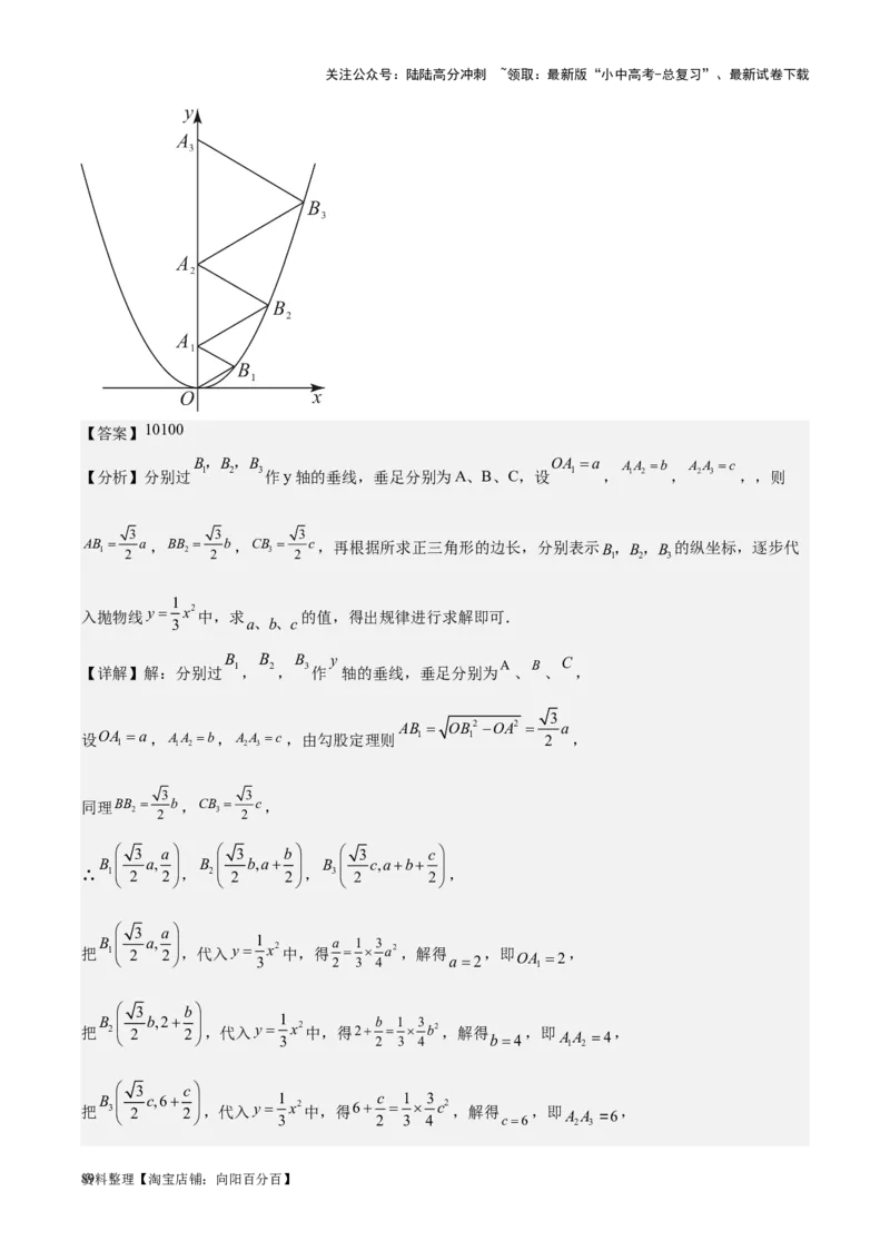
专题10二次函数-学易金卷:5年(2019-2023)中考1年模拟数学真题分项汇编(全国通用)(解析版)_02中考总复习(2026版更新中)_02-数学-中考总复习_2024年中考复习资料_专项复习资料
专题10二次函数-学易金卷:5年(2019-2023)中考1年模拟数学真题分项汇编(全国通用)(解析版)_02中考总复习(2026版更新中)_02-数学-中考总复习_2024年中考复习资料_专项复习资料
专题10二次函数-学易金卷:5年(2019-2023)中考1年模拟数学真题分项汇编(全国通用)(解析版)_02中考总复习(2026版更新中)_02-数学-中考总复习_2024年中考复习资料_专项复习资料
专题10二次函数-学易金卷:5年(2019-2023)中考1年模拟数学真题分项汇编(全国通用)(解析版)_02中考总复习(2026版更新中)_02-数学-中考总复习_2024年中考复习资料_专项复习资料
专题10二次函数-学易金卷:5年(2019-2023)中考1年模拟数学真题分项汇编(全国通用)(解析版)_02中考总复习(2026版更新中)_02-数学-中考总复习_2024年中考复习资料_专项复习资料
专题10二次函数-学易金卷:5年(2019-2023)中考1年模拟数学真题分项汇编(全国通用)(解析版)_02中考总复习(2026版更新中)_02-数学-中考总复习_2024年中考复习资料_专项复习资料
专题10二次函数-学易金卷:5年(2019-2023)中考1年模拟数学真题分项汇编(全国通用)(解析版)_02中考总复习(2026版更新中)_02-数学-中考总复习_2024年中考复习资料_专项复习资料
专题10二次函数-学易金卷:5年(2019-2023)中考1年模拟数学真题分项汇编(全国通用)(解析版)_02中考总复习(2026版更新中)_02-数学-中考总复习_2024年中考复习资料_专项复习资料
专题10二次函数-学易金卷:5年(2019-2023)中考1年模拟数学真题分项汇编(全国通用)(解析版)_02中考总复习(2026版更新中)_02-数学-中考总复习_2024年中考复习资料_专项复习资料
专题10二次函数-学易金卷:5年(2019-2023)中考1年模拟数学真题分项汇编(全国通用)(解析版)_02中考总复习(2026版更新中)_02-数学-中考总复习_2024年中考复习资料_专项复习资料
专题10二次函数-学易金卷:5年(2019-2023)中考1年模拟数学真题分项汇编(全国通用)(解析版)_02中考总复习(2026版更新中)_02-数学-中考总复习_2024年中考复习资料_专项复习资料
专题10二次函数-学易金卷:5年(2019-2023)中考1年模拟数学真题分项汇编(全国通用)(解析版)_02中考总复习(2026版更新中)_02-数学-中考总复习_2024年中考复习资料_专项复习资料
专题10二次函数-学易金卷:5年(2019-2023)中考1年模拟数学真题分项汇编(全国通用)(解析版)_02中考总复习(2026版更新中)_02-数学-中考总复习_2024年中考复习资料_专项复习资料
专题10二次函数-学易金卷:5年(2019-2023)中考1年模拟数学真题分项汇编(全国通用)(解析版)_02中考总复习(2026版更新中)_02-数学-中考总复习_2024年中考复习资料_专项复习资料
专题10二次函数-学易金卷:5年(2019-2023)中考1年模拟数学真题分项汇编(全国通用)(解析版)_02中考总复习(2026版更新中)_02-数学-中考总复习_2024年中考复习资料_专项复习资料
专题10二次函数-学易金卷:5年(2019-2023)中考1年模拟数学真题分项汇编(全国通用)(解析版)_02中考总复习(2026版更新中)_02-数学-中考总复习_2024年中考复习资料_专项复习资料
专题10二次函数-学易金卷:5年(2019-2023)中考1年模拟数学真题分项汇编(全国通用)(解析版)_02中考总复习(2026版更新中)_02-数学-中考总复习_2024年中考复习资料_专项复习资料
专题10二次函数-学易金卷:5年(2019-2023)中考1年模拟数学真题分项汇编(全国通用)(解析版)_02中考总复习(2026版更新中)_02-数学-中考总复习_2024年中考复习资料_专项复习资料
专题10二次函数-学易金卷:5年(2019-2023)中考1年模拟数学真题分项汇编(全国通用)(解析版)_02中考总复习(2026版更新中)_02-数学-中考总复习_2024年中考复习资料_专项复习资料
专题10二次函数-学易金卷:5年(2019-2023)中考1年模拟数学真题分项汇编(全国通用)(解析版)_02中考总复习(2026版更新中)_02-数学-中考总复习_2024年中考复习资料_专项复习资料
专题10二次函数-学易金卷:5年(2019-2023)中考1年模拟数学真题分项汇编(全国通用)(解析版)_02中考总复习(2026版更新中)_02-数学-中考总复习_2024年中考复习资料_专项复习资料
专题10二次函数-学易金卷:5年(2019-2023)中考1年模拟数学真题分项汇编(全国通用)(解析版)_02中考总复习(2026版更新中)_02-数学-中考总复习_2024年中考复习资料_专项复习资料
专题10二次函数-学易金卷:5年(2019-2023)中考1年模拟数学真题分项汇编(全国通用)(解析版)_02中考总复习(2026版更新中)_02-数学-中考总复习_2024年中考复习资料_专项复习资料
专题10二次函数-学易金卷:5年(2019-2023)中考1年模拟数学真题分项汇编(全国通用)(解析版)_02中考总复习(2026版更新中)_02-数学-中考总复习_2024年中考复习资料_专项复习资料
专题10二次函数-学易金卷:5年(2019-2023)中考1年模拟数学真题分项汇编(全国通用)(解析版)_02中考总复习(2026版更新中)_02-数学-中考总复习_2024年中考复习资料_专项复习资料
专题10二次函数-学易金卷:5年(2019-2023)中考1年模拟数学真题分项汇编(全国通用)(解析版)_02中考总复习(2026版更新中)_02-数学-中考总复习_2024年中考复习资料_专项复习资料
专题10二次函数-学易金卷:5年(2019-2023)中考1年模拟数学真题分项汇编(全国通用)(解析版)_02中考总复习(2026版更新中)_02-数学-中考总复习_2024年中考复习资料_专项复习资料
专题10二次函数-学易金卷:5年(2019-2023)中考1年模拟数学真题分项汇编(全国通用)(解析版)_02中考总复习(2026版更新中)_02-数学-中考总复习_2024年中考复习资料_专项复习资料
专题10二次函数-学易金卷:5年(2019-2023)中考1年模拟数学真题分项汇编(全国通用)(解析版)_02中考总复习(2026版更新中)_02-数学-中考总复习_2024年中考复习资料_专项复习资料
专题10二次函数-学易金卷:5年(2019-2023)中考1年模拟数学真题分项汇编(全国通用)(解析版)_02中考总复习(2026版更新中)_02-数学-中考总复习_2024年中考复习资料_专项复习资料
专题10二次函数-学易金卷:5年(2019-2023)中考1年模拟数学真题分项汇编(全国通用)(解析版)_02中考总复习(2026版更新中)_02-数学-中考总复习_2024年中考复习资料_专项复习资料
专题10二次函数-学易金卷:5年(2019-2023)中考1年模拟数学真题分项汇编(全国通用)(解析版)_02中考总复习(2026版更新中)_02-数学-中考总复习_2024年中考复习资料_专项复习资料
专题10二次函数-学易金卷:5年(2019-2023)中考1年模拟数学真题分项汇编(全国通用)(解析版)_02中考总复习(2026版更新中)_02-数学-中考总复习_2024年中考复习资料_专项复习资料
专题10二次函数-学易金卷:5年(2019-2023)中考1年模拟数学真题分项汇编(全国通用)(解析版)_02中考总复习(2026版更新中)_02-数学-中考总复习_2024年中考复习资料_专项复习资料
专题10二次函数-学易金卷:5年(2019-2023)中考1年模拟数学真题分项汇编(全国通用)(解析版)_02中考总复习(2026版更新中)_02-数学-中考总复习_2024年中考复习资料_专项复习资料
专题10二次函数-学易金卷:5年(2019-2023)中考1年模拟数学真题分项汇编(全国通用)(解析版)_02中考总复习(2026版更新中)_02-数学-中考总复习_2024年中考复习资料_专项复习资料
专题10二次函数-学易金卷:5年(2019-2023)中考1年模拟数学真题分项汇编(全国通用)(解析版)_02中考总复习(2026版更新中)_02-数学-中考总复习_2024年中考复习资料_专项复习资料
专题10二次函数-学易金卷:5年(2019-2023)中考1年模拟数学真题分项汇编(全国通用)(解析版)_02中考总复习(2026版更新中)_02-数学-中考总复习_2024年中考复习资料_专项复习资料
专题10二次函数-学易金卷:5年(2019-2023)中考1年模拟数学真题分项汇编(全国通用)(解析版)_02中考总复习(2026版更新中)_02-数学-中考总复习_2024年中考复习资料_专项复习资料
专题10二次函数-学易金卷:5年(2019-2023)中考1年模拟数学真题分项汇编(全国通用)(解析版)_02中考总复习(2026版更新中)_02-数学-中考总复习_2024年中考复习资料_专项复习资料
专题10二次函数-学易金卷:5年(2019-2023)中考1年模拟数学真题分项汇编(全国通用)(解析版)_02中考总复习(2026版更新中)_02-数学-中考总复习_2024年中考复习资料_专项复习资料
专题10二次函数-学易金卷:5年(2019-2023)中考1年模拟数学真题分项汇编(全国通用)(解析版)_02中考总复习(2026版更新中)_02-数学-中考总复习_2024年中考复习资料_专项复习资料
专题10二次函数-学易金卷:5年(2019-2023)中考1年模拟数学真题分项汇编(全国通用)(解析版)_02中考总复习(2026版更新中)_02-数学-中考总复习_2024年中考复习资料_专项复习资料
专题10二次函数-学易金卷:5年(2019-2023)中考1年模拟数学真题分项汇编(全国通用)(解析版)_02中考总复习(2026版更新中)_02-数学-中考总复习_2024年中考复习资料_专项复习资料
专题10二次函数-学易金卷:5年(2019-2023)中考1年模拟数学真题分项汇编(全国通用)(解析版)_02中考总复习(2026版更新中)_02-数学-中考总复习_2024年中考复习资料_专项复习资料
专题10二次函数-学易金卷:5年(2019-2023)中考1年模拟数学真题分项汇编(全国通用)(解析版)_02中考总复习(2026版更新中)_02-数学-中考总复习_2024年中考复习资料_专项复习资料
专题10二次函数-学易金卷:5年(2019-2023)中考1年模拟数学真题分项汇编(全国通用)(解析版)_02中考总复习(2026版更新中)_02-数学-中考总复习_2024年中考复习资料_专项复习资料
专题10二次函数-学易金卷:5年(2019-2023)中考1年模拟数学真题分项汇编(全国通用)(解析版)_02中考总复习(2026版更新中)_02-数学-中考总复习_2024年中考复习资料_专项复习资料
专题10二次函数-学易金卷:5年(2019-2023)中考1年模拟数学真题分项汇编(全国通用)(解析版)_02中考总复习(2026版更新中)_02-数学-中考总复习_2024年中考复习资料_专项复习资料
专题10二次函数-学易金卷:5年(2019-2023)中考1年模拟数学真题分项汇编(全国通用)(解析版)_02中考总复习(2026版更新中)_02-数学-中考总复习_2024年中考复习资料_专项复习资料
专题10二次函数-学易金卷:5年(2019-2023)中考1年模拟数学真题分项汇编(全国通用)(解析版)_02中考总复习(2026版更新中)_02-数学-中考总复习_2024年中考复习资料_专项复习资料
专题10二次函数-学易金卷:5年(2019-2023)中考1年模拟数学真题分项汇编(全国通用)(解析版)_02中考总复习(2026版更新中)_02-数学-中考总复习_2024年中考复习资料_专项复习资料
专题10二次函数-学易金卷:5年(2019-2023)中考1年模拟数学真题分项汇编(全国通用)(解析版)_02中考总复习(2026版更新中)_02-数学-中考总复习_2024年中考复习资料_专项复习资料
专题10二次函数-学易金卷:5年(2019-2023)中考1年模拟数学真题分项汇编(全国通用)(解析版)_02中考总复习(2026版更新中)_02-数学-中考总复习_2024年中考复习资料_专项复习资料
专题10二次函数-学易金卷:5年(2019-2023)中考1年模拟数学真题分项汇编(全国通用)(解析版)_02中考总复习(2026版更新中)_02-数学-中考总复习_2024年中考复习资料_专项复习资料
专题10二次函数-学易金卷:5年(2019-2023)中考1年模拟数学真题分项汇编(全国通用)(解析版)_02中考总复习(2026版更新中)_02-数学-中考总复习_2024年中考复习资料_专项复习资料
专题10二次函数-学易金卷:5年(2019-2023)中考1年模拟数学真题分项汇编(全国通用)(解析版)_02中考总复习(2026版更新中)_02-数学-中考总复习_2024年中考复习资料_专项复习资料
专题10二次函数-学易金卷:5年(2019-2023)中考1年模拟数学真题分项汇编(全国通用)(解析版)_02中考总复习(2026版更新中)_02-数学-中考总复习_2024年中考复习资料_专项复习资料
专题10二次函数-学易金卷:5年(2019-2023)中考1年模拟数学真题分项汇编(全国通用)(解析版)_02中考总复习(2026版更新中)_02-数学-中考总复习_2024年中考复习资料_专项复习资料
专题10二次函数-学易金卷:5年(2019-2023)中考1年模拟数学真题分项汇编(全国通用)(解析版)_02中考总复习(2026版更新中)_02-数学-中考总复习_2024年中考复习资料_专项复习资料
专题10二次函数-学易金卷:5年(2019-2023)中考1年模拟数学真题分项汇编(全国通用)(解析版)_02中考总复习(2026版更新中)_02-数学-中考总复习_2024年中考复习资料_专项复习资料
专题10二次函数-学易金卷:5年(2019-2023)中考1年模拟数学真题分项汇编(全国通用)(解析版)_02中考总复习(2026版更新中)_02-数学-中考总复习_2024年中考复习资料_专项复习资料
专题10二次函数-学易金卷:5年(2019-2023)中考1年模拟数学真题分项汇编(全国通用)(解析版)_02中考总复习(2026版更新中)_02-数学-中考总复习_2024年中考复习资料_专项复习资料
专题10二次函数-学易金卷:5年(2019-2023)中考1年模拟数学真题分项汇编(全国通用)(解析版)_02中考总复习(2026版更新中)_02-数学-中考总复习_2024年中考复习资料_专项复习资料
专题10二次函数-学易金卷:5年(2019-2023)中考1年模拟数学真题分项汇编(全国通用)(解析版)_02中考总复习(2026版更新中)_02-数学-中考总复习_2024年中考复习资料_专项复习资料
专题10二次函数-学易金卷:5年(2019-2023)中考1年模拟数学真题分项汇编(全国通用)(解析版)_02中考总复习(2026版更新中)_02-数学-中考总复习_2024年中考复习资料_专项复习资料
专题10二次函数-学易金卷:5年(2019-2023)中考1年模拟数学真题分项汇编(全国通用)(解析版)_02中考总复习(2026版更新中)_02-数学-中考总复习_2024年中考复习资料_专项复习资料
专题10二次函数-学易金卷:5年(2019-2023)中考1年模拟数学真题分项汇编(全国通用)(解析版)_02中考总复习(2026版更新中)_02-数学-中考总复习_2024年中考复习资料_专项复习资料
专题10二次函数-学易金卷:5年(2019-2023)中考1年模拟数学真题分项汇编(全国通用)(解析版)_02中考总复习(2026版更新中)_02-数学-中考总复习_2024年中考复习资料_专项复习资料
专题10二次函数-学易金卷:5年(2019-2023)中考1年模拟数学真题分项汇编(全国通用)(解析版)_02中考总复习(2026版更新中)_02-数学-中考总复习_2024年中考复习资料_专项复习资料
专题10二次函数-学易金卷:5年(2019-2023)中考1年模拟数学真题分项汇编(全国通用)(解析版)_02中考总复习(2026版更新中)_02-数学-中考总复习_2024年中考复习资料_专项复习资料
专题10二次函数-学易金卷:5年(2019-2023)中考1年模拟数学真题分项汇编(全国通用)(解析版)_02中考总复习(2026版更新中)_02-数学-中考总复习_2024年中考复习资料_专项复习资料
专题10二次函数-学易金卷:5年(2019-2023)中考1年模拟数学真题分项汇编(全国通用)(解析版)_02中考总复习(2026版更新中)_02-数学-中考总复习_2024年中考复习资料_专项复习资料
专题10二次函数-学易金卷:5年(2019-2023)中考1年模拟数学真题分项汇编(全国通用)(解析版)_02中考总复习(2026版更新中)_02-数学-中考总复习_2024年中考复习资料_专项复习资料
专题10二次函数-学易金卷:5年(2019-2023)中考1年模拟数学真题分项汇编(全国通用)(解析版)_02中考总复习(2026版更新中)_02-数学-中考总复习_2024年中考复习资料_专项复习资料
专题10二次函数-学易金卷:5年(2019-2023)中考1年模拟数学真题分项汇编(全国通用)(解析版)_02中考总复习(2026版更新中)_02-数学-中考总复习_2024年中考复习资料_专项复习资料
专题10二次函数-学易金卷:5年(2019-2023)中考1年模拟数学真题分项汇编(全国通用)(解析版)_02中考总复习(2026版更新中)_02-数学-中考总复习_2024年中考复习资料_专项复习资料
专题10二次函数-学易金卷:5年(2019-2023)中考1年模拟数学真题分项汇编(全国通用)(解析版)_02中考总复习(2026版更新中)_02-数学-中考总复习_2024年中考复习资料_专项复习资料
专题10二次函数-学易金卷:5年(2019-2023)中考1年模拟数学真题分项汇编(全国通用)(解析版)_02中考总复习(2026版更新中)_02-数学-中考总复习_2024年中考复习资料_专项复习资料
专题10二次函数-学易金卷:5年(2019-2023)中考1年模拟数学真题分项汇编(全国通用)(解析版)_02中考总复习(2026版更新中)_02-数学-中考总复习_2024年中考复习资料_专项复习资料
专题10二次函数-学易金卷:5年(2019-2023)中考1年模拟数学真题分项汇编(全国通用)(解析版)_02中考总复习(2026版更新中)_02-数学-中考总复习_2024年中考复习资料_专项复习资料
专题10二次函数-学易金卷:5年(2019-2023)中考1年模拟数学真题分项汇编(全国通用)(解析版)_02中考总复习(2026版更新中)_02-数学-中考总复习_2024年中考复习资料_专项复习资料
专题10二次函数-学易金卷:5年(2019-2023)中考1年模拟数学真题分项汇编(全国通用)(解析版)_02中考总复习(2026版更新中)_02-数学-中考总复习_2024年中考复习资料_专项复习资料
专题10二次函数-学易金卷:5年(2019-2023)中考1年模拟数学真题分项汇编(全国通用)(解析版)_02中考总复习(2026版更新中)_02-数学-中考总复习_2024年中考复习资料_专项复习资料
专题10二次函数-学易金卷:5年(2019-2023)中考1年模拟数学真题分项汇编(全国通用)(解析版)_02中考总复习(2026版更新中)_02-数学-中考总复习_2024年中考复习资料_专项复习资料
专题10二次函数-学易金卷:5年(2019-2023)中考1年模拟数学真题分项汇编(全国通用)(解析版)_02中考总复习(2026版更新中)_02-数学-中考总复习_2024年中考复习资料_专项复习资料
专题10二次函数-学易金卷:5年(2019-2023)中考1年模拟数学真题分项汇编(全国通用)(解析版)_02中考总复习(2026版更新中)_02-数学-中考总复习_2024年中考复习资料_专项复习资料
专题10二次函数-学易金卷:5年(2019-2023)中考1年模拟数学真题分项汇编(全国通用)(解析版)_02中考总复习(2026版更新中)_02-数学-中考总复习_2024年中考复习资料_专项复习资料
专题10二次函数-学易金卷:5年(2019-2023)中考1年模拟数学真题分项汇编(全国通用)(解析版)_02中考总复习(2026版更新中)_02-数学-中考总复习_2024年中考复习资料_专项复习资料
专题10二次函数-学易金卷:5年(2019-2023)中考1年模拟数学真题分项汇编(全国通用)(解析版)_02中考总复习(2026版更新中)_02-数学-中考总复习_2024年中考复习资料_专项复习资料
专题10二次函数-学易金卷:5年(2019-2023)中考1年模拟数学真题分项汇编(全国通用)(解析版)_02中考总复习(2026版更新中)_02-数学-中考总复习_2024年中考复习资料_专项复习资料
专题10二次函数-学易金卷:5年(2019-2023)中考1年模拟数学真题分项汇编(全国通用)(解析版)_02中考总复习(2026版更新中)_02-数学-中考总复习_2024年中考复习资料_专项复习资料

文档信息

文档格式
docx
文档大小
5.631 MB
文档页数
113 页
上传时间
2026-03-06 05:41:12

文档内容

关注公众号:陆陆高分冲刺 ~领取:最新版“小中高考-总复习”、最新试卷下载 专题 10 二次函数 考点 1 二次函数 一、单选题 1.(2023年江苏省徐州市中考数学真题)在平面直角坐标系中,将二次函数 的图象向右平 移2个单位长度,再向下平移1个单位长度,所得拋物线对应的函数表达式为( ) A. B. C. D. 【答案】B 【分析】根据二次函数图象的平移“左加右减,上加下减”可进行求解. 【详解】解:由二次函数 的图象向右平移2个单位长度,再向下平移1个单位长度,所得拋 物线对应的函数表达式为 ; 故选B. 【点睛】本题主要考查二次函数图象的平移,熟练掌握二次函数图象的平移是解题的关键. 2.(2023年辽宁省大连市中考数学真题)已知抛物线 ,则当 时,函数的最大值为 ( ) A. B. C.0 D.2 【答案】D 【分析】把抛物线 化为顶点式,得到对称轴为 ,当 时,函数的最小值为 ,再分 别求出 和 时的函数值,即可得到答案. 【详解】解:∵ , ∴对称轴为 ,当 时,函数的最小值为 , 当 时, ,当 时, , 资1 料整理【淘宝店铺:向阳百分百】关注公众号:陆陆高分冲刺 ~领取:最新版“小中高考-总复习”、最新试卷下载 ∴当 时,函数的最大值为2, 故选:D 【点睛】此题考查了二次函数的最值,熟练掌握二次函数的性质是解题的关键. 3.(2020·内蒙古呼伦贝尔·中考真题)已知二次函数 的图象如图所示,则反比例函数 与一次函数 在同一平面直角坐标系内的图象可能是( ) A. B. C. D. 【答案】C 【分析】首先根据二次函数图象与y轴的交点可得c>0,根据抛物线开口向下可得a<0,由对称轴在y轴 右边可得a、b异号,故b>0,再根据反比例函数的性质与一次函数图象与系数的关系画出图象可得答案. 【详解】解:根据二次函数图象与y轴的交点可得c>0,根据抛物线开口向下可得a<0,由对称轴在y轴 右边可得a、b异号,故b>0, 则反比例函数 的图象在第二、四象限, 一次函数 经过第一、二、四象限, 资2 料整理【淘宝店铺:向阳百分百】关注公众号:陆陆高分冲刺 ~领取:最新版“小中高考-总复习”、最新试卷下载 故选:C. 【点睛】此题主要考查了二次函数图象,一次函数图象,反比例函数图象,关键是根据二次函数图象确定 出a、b、c的符号. 4.(2021·甘肃兰州·统考中考真题)二次函数 的图象的对称轴是( ) A. B. C. D. 【答案】A 【分析】将二次函数 写成顶点式,进而可得对称轴. 【详解】解: . 二次函数 的图象的对称轴是 . 故选A. 【点睛】本题考查了二次函数的性质,将一般式转化为顶点式是解题的关键. 5.(2023年安徽中考数学真题)下列函数中, 的值随 值的增大而减小的是( ) A. B. C. D. 【答案】D 【分析】根据二次函数的性质,一次函数的性质,逐项分析判断即可求解. 【详解】解:A. , ,对称轴为直线 , 当 时, 的值随 值的增大而减小,当 时, 的值随 值的增大而增大,故该选项不正确,不符 合题意; B. , ,对称轴为直线 , 当 时, 的值随 值的增大而增大,当 时, 的值随 值的增大而减小,故该选项不正确,不符 合题意; C. , , 的值随 值的增大而增大,故该选项不正确,不符合题意; D. , , 的值随 值的增大而减小,故该选项正确,符合题意; 故选:D. 【点睛】本题考查了一次函数与二次函数的性质,熟练掌握一次函数与二次函数的性质是解题的关键. 资3 料整理【淘宝店铺:向阳百分百】关注公众号:陆陆高分冲刺 ~领取:最新版“小中高考-总复习”、最新试卷下载 6.(2022·山东德州·统考中考真题)已知 , 为任意实数,则 的值( ) A.大于0 B.等于0 C.小于0 D.无法确定 【答案】A 【分析】根据整式的加减化简,然后根据配方法得出 ,即可求解. 【详解】解:∵ , ∴ ∴ 的值大于0, 故选:A. 【点睛】本题考查了整式的加减,配方法的应用,非负数的性质,熟练掌握配方法是解题的关键. 7.(2023年河南省中考数学真题)二次函数 的图象如图所示,则一次函数 的图象一 定不经过( ) A.第一象限 B.第二象限 C.第三象限 D.第四象限 【答案】D 【分析】根据二次函数图象的开口方向、对称轴判断出 、 的正负情况,再由一次函数的性质解答. 【详解】解:由图象开口向下可知 , 由对称轴 ,得 . ∴一次函数 的图象经过第一、二、三象限,不经过第四象限. 故选:D. 【点睛】本题考查二次函数图象和一次函数图象的性质,解答本题的关键是求出 、 的正负情况,要掌 握它们的性质才能灵活解题,此题难度不大. 资4 料整理【淘宝店铺:向阳百分百】关注公众号:陆陆高分冲刺 ~领取:最新版“小中高考-总复习”、最新试卷下载 8.(2023年黑龙江省齐齐哈尔市中考数学真题)如图,二次函数 图像的一部分与x 轴的一个交点坐标为 ,对称轴为直线 ,结合图像给出下列结论: ① ;② ;③ ; ④关于x的一元二次方程 有两个不相等的实数根; ⑤若点 , 均在该二次函数图像上,则 .其中正确结论的个数是( ) A.4 B.3 C.2 D.1 【答案】B 【分析】根据抛物线的对称轴、开口方向、与y轴的交点确定a、b、c的正负,即可判定①和②;将点 代入抛物线解析式并结合 即可判定③;运用根的判别式并结合a、c的正负,判定判别式是否 大于零即可判定④;判定点 , 的对称轴为 ,然后根据抛物线的对称性即可判定⑤. 【详解】解: 抛物线开口向上,与y轴交于负半轴, , ∵抛物线的对称轴为直线 , ∴ ,即 ,即②错误; ∴ ,即①正确, 二次函数 图像的一部分与x轴的一个交点坐标为 资5 料整理【淘宝店铺:向阳百分百】关注公众号:陆陆高分冲刺 ~领取:最新版“小中高考-总复习”、最新试卷下载 ,即 ,故③正确; ∵关于x的一元二次方程 , , , ∴ , , ∴无法判断 的正负,即无法确定关于x的一元二次方程 的根的情况, 故④错误; ∵ ∴点 , 关于直线 对称 ∵点 , 均在该二次函数图像上, ∴ ,即⑤正确; 综上,正确的为①③⑤,共3个 故选:B. 【点睛】本题考查了二次函数的 的性质及图像与系数的关系,能够从图像中准确的 获取信息是解题的关键. 9.(2023年浙江省杭州市中考数学真题)设二次函数 是实数 ,则 ( ) A.当 时,函数 的最小值为 B.当 时,函数 的最小值为 C.当 时,函数 的最小值为 D.当 时,函数 的最小值为 【答案】A 【分析】令 ,则 ,解得: , ,从而求得抛物线对称轴为直线 ,再分别求出当 或 时函数y的最小值即可求解. 【详解】解:令 ,则 , 资6 料整理【淘宝店铺:向阳百分百】关注公众号:陆陆高分冲刺 ~领取:最新版“小中高考-总复习”、最新试卷下载 解得: , , ∴抛物线对称轴为直线 当 时, 抛物线对称轴为直线 , 把 代入 ,得 , ∵ ∴当 , 时,y有最小值,最小值为 . 故A正确,B错误; 当 时, 抛物线对称轴为直线 , 把 代入 ,得 , ∵ ∴当 , 时,y有最小值,最小值为 , 故C、D错误, 故选:A. 【点睛】本题考查抛物线的最值,抛物线对称轴.利用抛物线的对称性求出抛物线对称轴是解题的关键. 10.(2019·山东·统考中考真题)如图,是二次函数 图象的一部分,下列结论中: ① ;② ;③ 有两个相等的实数根;④ .其中正确结论的序 号为( ) A.①② B.①③ C.②③ D.①④ 【答案】D 【分析】根据二次函数的性质求解即可. 【详解】①∵抛物线开口向上,且与y轴交点为(0,-1) 资7 料整理【淘宝店铺:向阳百分百】关注公众号:陆陆高分冲刺 ~领取:最新版“小中高考-总复习”、最新试卷下载 ∴a>0,c<0 ∵对称轴 >0 ∴b<0 ∴ ∴①正确; ②对称轴为x=t,1<t<2,抛物线与x轴的交点为x1,x2. 其中x 为(m,0), x.为(n,0) 1 2 由图可知2<m<3,可知n>-1, 则当x=-1时,y>0, 则 则②错误; ③由图可知c=-1 △=b2—4a(c+1)=b2,且b≠0 ∴③错误 ④由图可知,对称轴x= 且1< <2 ∴ 故④正确; 故选D. 【点睛】本题考查的是二次函数,熟练掌握二次函数的图像是解题的关键. 11.(2019·湖北鄂州·统考中考真题)二次函数 的图象如图所示,对称轴是直线 .下列 结论:① ;② ;③ ;④ ( 为实数).其中结论正确的个数 为( ) 资8 料整理【淘宝店铺:向阳百分百】关注公众号:陆陆高分冲刺 ~领取:最新版“小中高考-总复习”、最新试卷下载 A.1个 B.2个 C.3个 D.4个 【答案】C 【分析】①由抛物线开口方向得到 ,对称轴在 轴右侧,得到 与 异号,又抛物线与 轴正半轴相 交,得到 ,可得出 ,选项①错误; ②把 代入 中得 ,所以②正确; ③由 时对应的函数值 ,可得出 ,得到 ,由 , , ,得到 ,选项③正确; ④由对称轴为直线 ,即 时, 有最小值,可得结论,即可得到④正确. 【详解】解:①∵抛物线开口向上,∴ , ∵抛物线的对称轴在 轴右侧,∴ , ∵抛物线与 轴交于负半轴, ∴ , ∴ ,①错误; ②当 时, ,∴ , ∵ ,∴ , 把 代入 中得 ,所以②正确; ③当 时, ,∴ , ∴ , ∵ , , , ∴ ,即 ,所以③正确; ④∵抛物线的对称轴为直线 , ∴ 时,函数的最小值为 , ∴ , 资9 料整理【淘宝店铺:向阳百分百】关注公众号:陆陆高分冲刺 ~领取:最新版“小中高考-总复习”、最新试卷下载 即 ,所以④正确. 故选C. 【点睛】本题考查了二次函数图象与系数的关系:二次项系数 决定抛物线的开口方向和大小.当 时, 抛物线向上开口;当 时,抛物线向下开口;一次项系数 和二次项系数 共同决定对称轴的位置:当 与 同号时,对称轴在 轴左;当 与 异号时,对称轴在 轴右.常数项 决定抛物线与 轴交点:抛 物线与 轴交于 .抛物线与 轴交点个数由判别式确定: 时,抛物线与 轴有2个交 点; 时,抛物线与 轴有1个交点; 时,抛物线与 轴没有交点. 12.(2019·四川绵阳·统考中考真题)如图,二次函数 的图象与 轴交于两点 , ,其中 .下列四个结论:① ;② ;③ ;④ ,正确 的个数是( ) A.1 B.2 C.3 D.4 【答案】C 【分析】根据抛物线的开口方向、对称轴的位置、与y轴的交点可依次确定a、b、c的符号,进而可判断 ①;根据对称轴的位置可得a、b的关系,再根据当 时, ,把得出的a、b的关系式 代入整理即可判断②; 除以4可得 ,即为当 时 的值,再结合图象判断 和x 1 的关系即可判断③;易判断 ,展开整理再结合 即可判断④. 【详解】解:①∵抛物线开口向上, ∴ , 资10料整理【淘宝店铺:向阳百分百】关注公众号:陆陆高分冲刺 ~领取:最新版“小中高考-总复习”、最新试卷下载 ∵抛物线对称轴在 轴的右侧, ∴ , ∵抛物线与 轴的交点在 轴上方, ∴ , ∴ ,所以①正确; ②∵图象与 轴交于两点 , ,其中 , ∴ , ∴ , 当 时, , ∵当 时, , ∴ , ∴ , ∴ ,故②正确; ③当 时, 值为 , 乘以4,可得 , ∵当 时,由图象可知在 和x 之间 为正值, 1 当 时,在 和x 之间 为负值, 1 ∴ 与0的关系不能确定,故③错误; ④∵ , ∴ , ∴ , 即 , 资11料整理【淘宝店铺:向阳百分百】关注公众号:陆陆高分冲刺 ~领取:最新版“小中高考-总复习”、最新试卷下载 ∴ , ∵ , , ∴ , ∴ , 即 ,所以④正确. 综上,正确的是①②④,共3个, 故选C. 【点睛】本题考查了二次函数的图象与系数关系,熟练掌握二次函数图象的性质是解题的关键. 13.(2020·云南昆明·统考中考真题)如图,抛物线y=ax2+bx+c(a≠0)的对称轴为直线x=1,与y轴交 于点B(0,﹣2),点A(﹣1,m)在抛物线上,则下列结论中错误的是( ) A.ab<0 B.一元二次方程ax2+bx+c=0的正实数根在2和3之间 C.a= D.点P(t,y),P(t+1,y)在抛物线上,当实数t> 时,y<y 1 1 2 2 1 2 【答案】D 【分析】由抛物线开口方向得到a>0,利用抛物线的对称轴方程得到b=−2a<0,则可对A选项进行判断; 利用抛物线的对称性得到抛物线与x轴的另一个交点坐标在(2,0)与(3,0)之间,则根据抛物线与x 轴的交点问题可对B选项进行判断;把B(0,−2),A(−1,m)和b=−2a代入抛物解析式可对C选项 进行判断;利用二次函数的增减性对D进行判断. 资12料整理【淘宝店铺:向阳百分百】关注公众号:陆陆高分冲刺 ~领取:最新版“小中高考-总复习”、最新试卷下载 【详解】解:∵抛物线开口向上, ∴a>0, ∵抛物线的对称轴为直线x=﹣ =1, ∴b=﹣2a<0, ∴ab<0,所以A选项的结论正确; ∵抛物线的对称轴为直线x=1,抛物线与x轴的一个交点坐标在(0,0)与(﹣1,0)之间, ∴抛物线与x轴的另一个交点坐标在(2,0)与(3,0)之间, ∴一元二次方程ax2+bx+c=0的正实数根在2和3之间,所以B选项的结论正确; 把B(0,﹣2),A(﹣1,m)代入抛物线得c=﹣2,a﹣b+c=m, 而b=﹣2a, ∴a+2a﹣2=m, ∴a= ,所以C选项的结论正确; ∵点P(t,y),P(t+1,y)在抛物线上, 1 1 2 2 ∴当点P、P 都在直线x=1的右侧时,y<y,此时t≥1; 1 2 1 2 当点P 在直线x=1的左侧,点P 在直线x=1的右侧时,y<y,此时0<t<1且t+1﹣1>1﹣t,即 <t< 1 2 1 2 1, ∴当 <t<1或t≥1时,y<y,所以D选项的结论错误; 1 2 故选:D. 【点睛】本题考查了图象法求一元二次方程的近似根:利用二次函数图象的对称性确定抛物线与x轴的交 点坐标,从而得到一元二次方程的根.也考查了二次函数的性质. 14.(2023年安徽中考数学真题)已知反比例函数 在第一象限内的图象与一次函数 的图象如图所示,则函数 的图象可能为( ) 资13料整理【淘宝店铺:向阳百分百】关注公众号:陆陆高分冲刺 ~领取:最新版“小中高考-总复习”、最新试卷下载 A. B. C. D. 【答案】A 【分析】设 ,则 , ,将点 ,代入 ,得出 ,代入二次函数,可得 当 时, ,则 ,得出对称轴为直线 ,抛物线对称轴在 轴的右侧,且过 定点 ,进而即可求解. 【详解】解:如图所示, 资14料整理【淘宝店铺:向阳百分百】关注公众号:陆陆高分冲刺 ~领取:最新版“小中高考-总复习”、最新试卷下载 设 ,则 ,根据图象可得 , 将点 代入 , ∴ , ∴ , ∵ , ∴ , ∴ , 对称轴为直线 , 当 时, , ∴抛物线经过点 , ∴抛物线对称轴在 的右侧,且过定点 , 当 时, , 故选:A. 【点睛】本题考查了一次函数与反比例函数交点问题,二次函数图象的性质,得出 是解题的关键. 15.(2023年山东省烟台市中考数学真题)如图,抛物线 的顶点 的坐标为 ,与 轴的一个交点位于0合和1之间,则以下结论:① ;② ;③若图象经过点 资15料整理【淘宝店铺:向阳百分百】关注公众号:陆陆高分冲刺 ~领取:最新版“小中高考-总复习”、最新试卷下载 ,则 ;④若关于 的一元二次方程 无实数根,则 .其中正确 结论的个数是( ) A.1 B.2 C.3 D.4 【答案】C 【分析】根据图象,分别得出a、b、c的符号,即可判断①;根据对称轴得出 ,再根据图象得出当 时, ,即可判断②;分别计算两点到对称轴的距离,再根据该抛物线开口向下,在抛 物线上的点离对称轴越远,函数值越小,即可判断③;将方程 移项可得 , 根据该方程无实数根,得出抛物线 与直线 没有交点,即可判断④. 【详解】解:①∵该抛物线开口向下, ∴ , ∵该抛物线的对称轴在y轴左侧, ∴ , ∵该抛物线于y轴交于正半轴, ∴ , ∴ , 故①正确,符合题意; ②∵ , ∴该抛物线的对称轴为直线 ,则 , 当 时, , 资16料整理【淘宝店铺:向阳百分百】关注公众号:陆陆高分冲刺 ~领取:最新版“小中高考-总复习”、最新试卷下载 把 得:当 时, , 由图可知:当 时, , ∴ , 故②不正确,不符合题意; ③∵该抛物线的对称轴为直线 , ∴ 到对称轴的距离为 , 到对称轴的距离为 , ∵该抛物线开口向下, ∴在抛物线上的点离对称轴越远,函数值越小, ∵ , ∴ , 故③正确,符合题意; ④将方程 移项可得 , ∵ 无实数根, ∴抛物线 与直线 没有交点, ∵ , ∴ .故④正确 综上:正确的有:①③④,共三个. 故选:C. 【点睛】本题主要考查了二次函数的图象和性质,解题的关键是掌握根据二次函数图象判断各系数的方法, 熟练掌握二次函数的图象和性质. 16.(2023年山东省东营市中考数学真题)如图,抛物线 与x轴交于点A,B,与y 轴交于点C,对称轴为直线 ,若点A的坐标为 ,则下列结论正确的是( ) 资17料整理【淘宝店铺:向阳百分百】关注公众号:陆陆高分冲刺 ~领取:最新版“小中高考-总复习”、最新试卷下载 A. B. C. 是关于x的一元二次方程 的一个根 D.点 , 在抛物线上,当 时 【答案】C 【分析】根据对称轴为 得到 ,即可判断A选项;根据当 时, ,即 可判断B选项;根据当 时, 即可判断C选项;根据当 时,y随着x的增大而增 大即可判断D选项. 【详解】解:A.抛物线 的对称轴为直线 ,则 ,则 ,即 ,故选项错误,不符合题意; B.抛物线 的对称轴为直线 ,点A的坐标为 ,当 时, ,故选项错误,不符合题意; C.抛物线 的对称轴为直线 ,若点A的坐标为 ,可得点 ,当 时, ,即 是关于x的一元二次方程 的一个根,故选项正确,符 合题意; D.∵抛物线 的对称轴为直线 ,开口向上, 资18料整理【淘宝店铺:向阳百分百】关注公众号:陆陆高分冲刺 ~领取:最新版“小中高考-总复习”、最新试卷下载 ∴当 时,y随着x的增大而增大, ∴点 , 在抛物线上,当 时 ,故选项错误,不符合题意; 故选:C. 【点睛】此题考查二次函数的图象和性质,数形结合是解题的关键. 17.(2019·辽宁阜新·统考中考真题)如图,二次函数y=ax2+bx+c的图象过点(-1,0)和点(3,0),则下列 说法正确的是( ) A. B. C. D. 【答案】C 【分析】利用抛物线开口方向得到a>0,利用对称轴在y轴的右侧得到b<0,利用抛物线与x轴的交点在 x轴下方得到c<0,则可对A进行判断;利用当x=1时,y<0可对B进行判断;利用抛物线的对称性得到 抛物线的对称轴为直线x=- =1,则可对C进行判断;根据抛物线与x轴的交点个数对D进行判断. 【详解】解:∵抛物线开口向上, ∴a>0, ∵对称轴在y轴的右侧, ∴a和b异号, ∴b<0, ∵抛物线与x轴的交点在x轴下方, ∴c<0, ∴bc>0,所以A选项错误; ∵当x=1时,y<0, ∴a+b+c<0,所以B选项错误; ∵抛物线经过点(-1,0)和点(3,0), ∴抛物线的对称轴为直线x=1, 即- =1, 资19料整理【淘宝店铺:向阳百分百】关注公众号:陆陆高分冲刺 ~领取:最新版“小中高考-总复习”、最新试卷下载 ∴2a+b=0,所以C选项正确; ∵抛物线与x轴有2个交点, ∴△=b2-4ac>0, 即4ac<b2,所以D选项错误. 故选C. 【点睛】本题考查了二次函数图象与系数的关系:对于二次函数y=ax2+bx+c(a≠0),二次项系数a决定抛物 线的开口方向和大小.当a>0时,抛物线向上开口;当a<0时,抛物线向下开口;一次项系数b和二次 项系数a共同决定对称轴的位置.当a与b同号时(即ab>0),对称轴在y轴左;当a与b异号时(即ab< 0),对称轴在y轴右.常数项c决定抛物线与y轴交点个数:抛物线与y轴交于(0,c).抛物线与x轴交点 个数由△决定:△=b2-4ac>0时,抛物线与x轴有2个交点;△=b2-4ac=0时,抛物线与x轴有1个交点; △=b2-4ac<0时,抛物线与x轴没有交点. 18.(2022·内蒙古·中考真题)如图,抛物线 ( )的对称轴为直线 ,抛物线与x 轴的一个交点坐标为 ),下列结论:① ;② ;③当 时,x的取值范围是 ;④点 , 都在抛物线上,则有 .其中结论正确的个数是( ) A.1个 B.2个 C.3个 D.4个 【答案】C 【分析】根据抛物线的开口,对称轴,特殊值x=-1可判断①②正确,根据图像可得,当y>0时,是x轴上 资20料整理【淘宝店铺:向阳百分百】关注公众号:陆陆高分冲刺 ~领取:最新版“小中高考-总复习”、最新试卷下载 方的图像,可判断③错误,求出 , ,结合①②的结论即可判断出④正确. 【详解】∵抛物线的开口向下,a<0,对称轴为x=1, ∴ , ∴ , ∵抛物线交于y轴正半轴, ∴c>0, ∴ ,故①正确; ∵抛物线与x轴交于(-1,0), ∴当x=-1时, , ∵ , ∴将 代入 ,得3a+c=0,故②正确; 根据图像可得,当y>0时,是x轴上方的图像,抛物线过点(-1,0),对称轴为x=1, 根据抛物线的对称性可得,抛物线过点(3,0), ∴y>0时,有 ,故③错误; ∵抛物线与x轴的两个交点为:(-1,0),(3,0),对称轴为x=1, 当x=-2时, , 当x=2时, , ∵ ,3a+c=0,a<0, ∴ , , ∴ ,故④正确, 故选:C. 【点睛】本题考查了二次函数的图像和性质,解决这类题需要掌握:a看抛物线开口方向,b往往看对称轴, c看抛物线与y轴的交点,以及抛物线的对称性以及代入特殊点等. 19.(2023年山东省枣庄市中考数学真题)二次函数 的图象如图所示,对称轴是直 线 ,下列结论:① ;②方程 ( )必有一个根大于2且小于3;③若 资21料整理【淘宝店铺:向阳百分百】关注公众号:陆陆高分冲刺 ~领取:最新版“小中高考-总复习”、最新试卷下载 是抛物线上的两点,那么 ;④ ;⑤对于任意实数m,都有 ,其中正确结论的个数是( ) A.5 B.4 C.3 D.2 【答案】C 【分析】根据抛物线的开口方向,对称轴,与 轴的交点位置,判断①;对称性判断②;增减性,判断③; 对称轴和特殊点判断④;最值判断⑤. 【详解】解:∵抛物线开口向上,对称轴为直线 ,与 轴交于负半轴, ∴ , ∴ ;故①错误; 由图可知,抛物线与 轴的一个交点的横坐标的取值范围为: , ∵抛物线关于直线 对称, ∴抛物线与 轴的一个交点的横坐标的取值范围为: , ∴方程 ( )必有一个根大于2且小于3;故②正确; ∵ , ∴抛物线上的点离对称轴的距离越远,函数值越大, ∵ 是抛物线上的两点,且 , ∴ ;故③错误; 资22料整理【淘宝店铺:向阳百分百】关注公众号:陆陆高分冲刺 ~领取:最新版“小中高考-总复习”、最新试卷下载 ∵ ∴ , 由图象知: , , ∴ ;故④正确; ∵ ,对称轴为直线 , ∴当 时,函数值最小为: , ∴对于任意实数m,都有 , 即: , ∴ ;故⑤正确; 综上:正确的有3个; 故选C. 【点睛】本题考查二次函数的图象和性质,正确的识图,熟练掌握二次函数的性质,是解题的关键. 二、填空题 20.(2021·黑龙江哈尔滨·统考中考真题)二次函数 的最小值为 . 【答案】-2 【分析】由二次函数 可直接求解. 【详解】解:由二次函数 可得:开口向上,有最小值, ∴二次函数 的最小值为-2; 故答案为-2. 【点睛】本题主要考查二次函数的图象与性质,熟练掌握二次函数的图象与性质是解题的关键. 21.(2022·江苏南京·统考中考真题)已知二次函数 ( 、 为常数, )的最大值为 2,写出一组符合条件的 和 的值: . 【答案】 (答案不唯一) 资23料整理【淘宝店铺:向阳百分百】关注公众号:陆陆高分冲刺 ~领取:最新版“小中高考-总复习”、最新试卷下载 【分析】根据最值公式得到 ,即可得到 ,据此写出一组符合条件的a和c的值即 可. 【详解】解:∵二次函数 的最大值为2, ∴ , ∴ , 故 时, , 故答案为: (答案不唯一). 【点睛】本题考查了二次函数的最值,熟知二次函数的最值公式是解题的关键. 22.(2020·广西贺州·统考中考真题)某学生在一平地上推铅球,铅球出手时离地面的高度为 米,出手 后铅球在空中运动的高度y(米)与水平距离x(米)之间的函数关系式为 ,当铅球运行 至与出手高度相等时,与出手点水平距离为8米,则该学生推铅球的成绩为 米. 【答案】10. 【分析】建立平面直角坐标系,用待定系数法求得抛物线的解析式,再令y=0,得关于x的一元二次方程, 求得方程的解并作出取舍即可. 【详解】解:设铅球出手点为点A,当铅球运行至与出手高度相等时为点B,根据题意建立平面直角坐标 系,如图: 由题意可知,点 ,点 ,代入 ,得: 资24料整理【淘宝店铺:向阳百分百】关注公众号:陆陆高分冲刺 ~领取:最新版“小中高考-总复习”、最新试卷下载 , 解得 . ∴ , 当 时, , 解得 , (不符合题意,舍去). ∴该学生推铅球的成绩为10m. 故答案为:10. 【点睛】本题考查了二次函数在实际问题中的应用,熟练掌握待定系数法及二次函数与一元二次方程的关 系是解题的关键. 23.(2023年上海市中考数学真题)一个二次函数 的顶点在y轴正半轴上,且其对称轴左 侧的部分是上升的,那么这个二次函数的解析式可以是 . 【答案】 (答案不唯一) 【分析】根据二次函数 的顶点在y轴正半轴上,且其对称轴左侧的部分是上升的,可确定 ,对称轴 , ,从而确定答案. 【详解】解:∵二次函数 的对称轴左侧的部分是上升的, ∴抛物线开口向上,即 , ∵二次函数 的顶点在y轴正半轴上, ∴ ,即 , , ∴二次函数的解析式可以是 (答案不唯一). 资25料整理【淘宝店铺:向阳百分百】关注公众号:陆陆高分冲刺 ~领取:最新版“小中高考-总复习”、最新试卷下载 【点睛】本题考查二次函数的性质,能根据增减性和二次函数图象与y轴的交点确定系数的正负是解题的 关键. 24.(2023年福建省中考真题数学试题)已知抛物线 经过 两点,若 分别位于抛物线对称轴的两侧,且 ,则 的取值范围是 . 【答案】 【分析】根据题意,可得抛物线对称轴为直线 ,开口向上,根据已知条件得出点 在对称轴的右侧, 且 ,进而得出不等式,解不等式即可求解. 【详解】解:∵ , ∴抛物线的对称轴为直线 ,开口向上, ∵ 分别位于抛物线对称轴的两侧, 假设点 在对称轴的右侧,则 ,解得 , ∴ ∴ 点在 点的右侧,与假设矛盾,则点 在对称轴的右侧, ∴ 解得: 又∵ , ∴ ∴ 解得: ∴ , 故答案为: . 【点睛】本题考查了二次函数的性质,熟练掌握二次函数的性质是解题的关键. 资26料整理【淘宝店铺:向阳百分百】关注公众号:陆陆高分冲刺 ~领取:最新版“小中高考-总复习”、最新试卷下载 25.(2023·辽宁鞍山·校考三模)如图,O为坐标原点,点 在y轴的正半轴上,点 在函数 位于第一象限的图象上,若 , , ,…, 都是等边三角形,则线段 的长是 . 【答案】 【分析】分别过 作y轴的垂线,垂足分别为A、B、C,设 , , ,,则 , , ,再根据所求正三角形的边长,分别表示 的纵坐标,逐步代 入抛物线 中,求 的值,得出规律进行求解即可. 【详解】解:分别过 , , 作 轴的垂线,垂足分别为 、 、 , 设 , , ,由勾股定理则 , 同理 , , ∴ , , , 资27料整理【淘宝店铺:向阳百分百】关注公众号:陆陆高分冲刺 ~领取:最新版“小中高考-总复习”、最新试卷下载 把 ,代入 中,得 ,解得 ,即 , 把 ,代入 中,得 ,解得 ,即 , 把 ,代入 中,得 ,解得 ,即 , …, 依此类推由此可得 , ∴ , ∴ . 故答案为: . 【点睛】本题考查了二次函数的综合运用.勾股定理应用,掌握探究规律题的解题方法,关键是根据正三 角形的性质用边长表示抛物线上点的坐标,利用抛物线解析式求正三角形的边长,得到规律. 三、解答题 26.(2021·甘肃兰州·统考中考真题)如图1,二次函数 的图象交坐标轴于点 , ,点 为 轴上一动点. 资28料整理【淘宝店铺:向阳百分百】关注公众号:陆陆高分冲刺 ~领取:最新版“小中高考-总复习”、最新试卷下载 (1)求二次函数 的表达式; (2)过点 作 轴分别交线段 ,抛物线于点 , ,连接 .当 时,求 的面积; (3)如图2,将线段 绕点 逆时针旋转90得到线段 . ①当点 在抛物线上时,求点 的坐标; ②点 在抛物线上,连接 ,当 平分 时,直接写出点P的坐标. 【答案】(1) ;(2) ;(3)① 或 ;② 或 . 【分析】(1)根据 点的坐标以及已知条件,将 的坐标代入即可求得 的值,进而求得抛物线的解析式; (2)依题意根据(1)的解析式求得 的坐标,进而求得 ,据此求得 ,根据 进而 求得 的坐标,根据 即可求得 的面积; (3)①过 作 轴,分 点在 轴上方和下方两种情况讨论,证明 ,设 , 将点 的坐标代入(1)中抛物线解析式中即可求得 点的坐标情形2,方法同情形1; ②分当 不平行于 轴和 轴两种情况讨论,当当 不平行于 轴时,过点 作 交 于 点 ,过点 作 于点 ,证明 进而可得 的坐标,当 轴时,结合已知条件 即可求得 的坐标. 资29料整理【淘宝店铺:向阳百分百】关注公众号:陆陆高分冲刺 ~领取:最新版“小中高考-总复习”、最新试卷下载 【详解】(1) 二次函数 的图象经过 解得 (2)由 ,令 解得 当 时, ,则 ; (3)如图,当点 在 轴下方时,过点 作 于点 , 由 ,令 , 解得 资30料整理【淘宝店铺:向阳百分百】关注公众号:陆陆高分冲刺 ~领取:最新版“小中高考-总复习”、最新试卷下载 , , 将线段 绕点 逆时针旋转90得到线段 , , , 设 , 点在抛物线上, 解得 (舍) 当点 在 轴上方时,如图, 过点 作 于点 ,设 同理可得 资31料整理【淘宝店铺:向阳百分百】关注公众号:陆陆高分冲刺 ~领取:最新版“小中高考-总复习”、最新试卷下载 点在抛物线上, 解得 (舍去), 综上所述, 或 ; ②当 不平行于 轴时,过点 作 交 于点 ,过点 作 于点 ,如图, 平分 , , , , , 当 不平行于 轴时, 重合, 资32料整理【淘宝店铺:向阳百分百】关注公众号:陆陆高分冲刺 ~领取:最新版“小中高考-总复习”、最新试卷下载 , 当 轴时,如图, 此时 则 综上所述,当 平方 时,点 的坐标为 或 . 【点睛】本题考查了待定系数法求二次函数解析式,二次函数与坐标轴交点,正切的定义,三角形全等的 性质与判定,分类讨论是解题的关键. 27.(2023年浙江省温州市中考数学真题)一次足球训练中,小明从球门正前方 的A处射门,球射向 球门的路线呈抛物线.当球飞行的水平距离为 时,球达到最高点,此时球离地面 .已知球门高 为2.44m,现以O为原点建立如图所示直角坐标系. 资33料整理【淘宝店铺:向阳百分百】关注公众号:陆陆高分冲刺 ~领取:最新版“小中高考-总复习”、最新试卷下载 (1)求抛物线的函数表达式,并通过计算判断球能否射进球门(忽略其他因素). (2)对本次训练进行分析,若射门路线的形状、最大高度均保持不变,则当时他应该带球向正后方移动多少 米射门,才能让足球经过点O正上方2.25m处? 【答案】(1) ,球不能射进球门 (2)当时他应该带球向正后方移动1米射门 【分析】(1)根据建立的平面直角三角坐标系设抛物线解析式为顶点式,代入A点坐标求出a的值即可得 到函数表达式,再把 代入函数解析式,求出函数值,与球门高度比较即可得到结论; (2)根据二次函数平移的规律,设出平移后的解析式,然后将点 代入即可求解. 【详解】(1)解:由题意得:抛物线的顶点坐标为 , 设抛物线解析式为 , 把点 代入,得 , 解得 , ∴抛物线的函数表达式为 , 当 时, , ∴球不能射进球门; (2)设小明带球向正后方移动 米,则移动后的抛物线为 , 把点 代入得 , 解得 (舍去), , ∴当时他应该带球向正后方移动1米射门. 【点睛】此题考查了二次函数的应用,待定系数法求函数解析式、二次函数图象的平移等知识,读懂题意, 熟练掌握待定系数法是解题的关键. 28.(2023年浙江省杭州市中考数学真题)设二次函数 ,( , 是实数).已知函数 资34料整理【淘宝店铺:向阳百分百】关注公众号:陆陆高分冲刺 ~领取:最新版“小中高考-总复习”、最新试卷下载 值 和自变量 的部分对应取值如下表所示: … 0 1 2 3 … … 1 1 … (1)若 ,求二次函数的表达式; (2)写出一个符合条件的 的取值范围,使得 随 的增大而减小. (3)若在m、n、p这三个实数中,只有一个是正数,求 的取值范围. 【答案】(1) (2)当 时,则 时, 随 的增大而减小;当 时,则 时, 随 的增大而减小 (3) 【分析】(1)用待定系数法求解即可. (2)利用抛物线的对称性质求得抛物线的对称轴为直线 ;再根据抛物线的增减性求解即可. (3)先把 代入 ,得 ,从而得 ,再求出 , , ,从而得 ,然后m、n、p这三个实数中,只有一个是正数,得 ,求解即可. 【详解】(1)解:把 , 代入 ,得 ,解得: , ∴ . (2)解:∵ , 在 图象上, ∴抛物线的对称轴为直线 , ∴当 时,则 时, 随 的增大而减小, 当 时,则 时, 随 的增大而减小. (3)解:把 代入 ,得 资35料整理【淘宝店铺:向阳百分百】关注公众号:陆陆高分冲刺 ~领取:最新版“小中高考-总复习”、最新试卷下载 , ∴ ∴ 把 代入 得, , 把 代入 得, , 把 代入 得, , ∴ , ∵m、n、p这三个实数中,只有一个是正数, ∴ ,解得: . 【点睛】本题考查用待定系数法求抛物线解析式,抛物线的图象性质,解不等式组,熟练掌握用待定系数 法求抛物线解析式和抛物线的图象性质是解析的关键. 29.(2023年山东省烟台市中考数学真题)如图,抛物线 与 轴交于 两点,与 轴交 于点 .抛物线的对称轴 与经过点 的直线 交于点 ,与 轴交于点 . (1)求直线 及抛物线的表达式; (2)在抛物线上是否存在点 ,使得 是以 为直角边的直角三角形?若存在,求出所有点 的坐 标;若不存在,请说明理由; (3)以点 为圆心,画半径为2的圆,点 为 上一个动点,请求出 的最小值. 资36料整理【淘宝店铺:向阳百分百】关注公众号:陆陆高分冲刺 ~领取:最新版“小中高考-总复习”、最新试卷下载 【答案】(1)直线 的解析式为 ;抛物线解析式为 (2)存在,点M的坐标为 或 或 (3) 【分析】(1)根据对称轴 , ,得到点A及B的坐标,再利用待定系数法求解析式即可; (2)先求出点D的坐标,再分两种情况:①当 时,求出直线 的解析式为 ,解 方程组 ,即可得到点M的坐标;②当 时,求出直线 的解析式为 , 解方程组 ,即可得到点M的坐标; (3)在 上取点 ,使 ,连接 ,证得 ,又 ,得到 ,推 出 ,进而得到当点C、P、F三点共线时, 的值最小,即为线段 的长,利用勾股定 理求出 即可. 【详解】(1)解:∵抛物线的对称轴 , , ∴ , 将 代入直线 ,得 , 解得 , ∴直线 的解析式为 ; 将 代入 ,得 ,解得 , 资37料整理【淘宝店铺:向阳百分百】关注公众号:陆陆高分冲刺 ~领取:最新版“小中高考-总复习”、最新试卷下载 ∴抛物线的解析式为 ; (2)存在点 , ∵直线 的解析式为 ,抛物线对称轴 与 轴交于点 . ∴当 时, , ∴ , ①当 时, 设直线 的解析式为 ,将点A坐标代入, 得 , 解得 , ∴直线 的解析式为 , 解方程组 , 得 或 , ∴点M的坐标为 ; ②当 时, 设直线 的解析式为 ,将 代入, 得 , 解得 , ∴直线 的解析式为 , 解方程组 , 解得 或 , 资38料整理【淘宝店铺:向阳百分百】关注公众号:陆陆高分冲刺 ~领取:最新版“小中高考-总复习”、最新试卷下载 ∴点M的坐标为 或 综上,点M的坐标为 或 或 ; (3)如图,在 上取点 ,使 ,连接 , ∵ , ∴ , ∵ ,、 ∴ , 又∵ , ∴ , ∴ ,即 , ∴ , ∴当点C、P、F三点共线时, 的值最小,即为线段 的长, ∵ , ∴ , ∴ 的最小值为 . 【点睛】此题是一次函数,二次函数及圆的综合题,掌握待定系数法求函数解析式,直角三角形的性质, 勾股定理,相似三角形的判定和性质,求两图象的交点坐标,正确掌握各知识点是解题的关键. 资39料整理【淘宝店铺:向阳百分百】关注公众号:陆陆高分冲刺 ~领取:最新版“小中高考-总复习”、最新试卷下载 30.(2023年山东省东营市中考数学真题)如图,抛物线过点 , ,矩形 的边 在 线段 上(点B在点A的左侧),点C,D在抛物线上,设 ,当 时, . (1)求抛物线的函数表达式; (2)当t为何值时,矩形 的周长有最大值?最大值是多少? (3)保持 时的矩形 不动,向右平移抛物线,当平移后的抛物线与矩形的边有两个交点G,H,且 直线 平分矩形 的面积时,求抛物线平移的距离. 【答案】(1) (2)当 时,矩形 的周长有最大值,最大值为 (3)4 【分析】(1)设抛物线的函数表达式为 ,求出点C的坐标,将点C的坐标代入即可 求出该抛物线的函数表达式; (2)由抛物线的对称性得 ,则 ,再得出 ,根据矩形的周长公式, 列出矩形周长的表达式,并将其化为顶点式,即可求解; (3)连接A , 相交于点P,连接 ,取 的中点Q,连接 ,根据矩形的性质和平移的性质推 出四边形 是平行四边形,则 , .求出 时,点A的坐标为 ,则 ,即可得出结论. 资40料整理【淘宝店铺:向阳百分百】关注公众号:陆陆高分冲刺 ~领取:最新版“小中高考-总复习”、最新试卷下载 【详解】(1)解:设抛物线的函数表达式为 . ∵当 时, , ∴点C的坐标为 . 将点C坐标代入表达式,得 , 解得 . ∴抛物线的函数表达式为 . (2)解:由抛物线的对称性得: , ∴ . 当 时, . ∴矩形 的周长为 . ∵ , ∴当 时,矩形 的周长有最大值,最大值为 . (3)解:连接 , 相交于点P,连接 ,取 的中点Q,连接 . 资41料整理【淘宝店铺:向阳百分百】关注公众号:陆陆高分冲刺 ~领取:最新版“小中高考-总复习”、最新试卷下载 ∵直线 平分矩形 的面积, ∴直线 过点P.. 由平移的性质可知,四边形 是平行四边形, ∴ . ∵四边形 是矩形, ∴P是 的中点. ∴ . 当 时,点A的坐标为 , ∴ . ∴抛物线平移的距离是4. 【点睛】本题主要考查了求二次函数的解析式,二次函数的图象和性质,矩形的性质,平移的性质,解题 的关键是掌握用待定系数法求解二次函数表达式的方法和步骤,二次函数图象上点的坐标特征,矩形的性 质,以及平移的性质. 31.(2020·辽宁沈阳·中考真题)如图,在平面直角坐标系中, 是坐标原点,抛物线 经 过点 和点 , (1)求抛物线的表达式; (2)如图,线段 绕原点 逆时针旋转30°得到线段 .过点 作射线 ,点 是射线 上一点(不与 点 重合),点 关于 轴的对称点为点 ,连接 资42料整理【淘宝店铺:向阳百分百】关注公众号:陆陆高分冲刺 ~领取:最新版“小中高考-总复习”、最新试卷下载 ①请直接写出 的形状为__________. ②设 的面积为 的面积为是 ,当 时,求点 的坐标; (3)如图,在(2)的结论下,过点 作 ,交 的延长线于点 ,线段 绕点 逆时针旋转, 旋转角为 得到线段 ,过点 作 轴,交射线 于点 , 的角平分线和 的角平分线相交于点 ,当 时,请直接写出点 的坐标为__________. 【答案】(1) ;(2)①等边三角形;② ;(3)(6, ) 【分析】(1)根据题意代入点B、C坐标,利用待定系数法解析式可解; (2)①过点D作DH⊥OB于点H ,利用解直角三角形知识,求出 ,得到 ,由对 称性问题可解; ②在①基础上,分别求出S1、S2面积,求出MN则问题可解; (3)由旋转的性质可知BE=BF,然后根据(2)中的结论可得点E和点F到x轴距离相等,又由于FK ∥x 轴,所以点K到x轴的距离等于点F到x轴的距离,从而确定E、K重合,可得 为等边三角形,从 而根据题目条件可求点G坐标. 【详解】解:(1)∵抛物线经过点B(6,0),C(0,-3) 资43料整理【淘宝店铺:向阳百分百】关注公众号:陆陆高分冲刺 ~领取:最新版“小中高考-总复习”、最新试卷下载 ∴ 解得 ∴抛物线的表达式为 . (2)①等边三角形 如图 过点D作DH⊥OB于点H, 在 中, 在 中, ∴ 由轴对称可知, , ∴ 为等边三角形 故答案为:等边三角形; 资44料整理【淘宝店铺:向阳百分百】关注公众号:陆陆高分冲刺 ~领取:最新版“小中高考-总复习”、最新试卷下载 ②由①,得 设 在 中, (3)由题意如图, 在(2)的结论下可知△BMN为等边三角形,M(3, ) ∵ ,交 的延长线于点 , 资45料整理【淘宝店铺:向阳百分百】关注公众号:陆陆高分冲刺 ~领取:最新版“小中高考-总复习”、最新试卷下载 ∴∠MBE=30°,ER= ∵线段 绕点 逆时针旋转,旋转角为 得到线段 ∴点F到x轴的距离= ER= ∵FK ∥x轴, ∴点K到x轴的距离等于点F到x轴的距离= ER= 又∵点K、E均在射线BE上 ∴K、E两点重合 ∴ ∴ 为等边三角形 ∴ ,∠OBG=90° ∵ ∴点G坐标为(6, ) 故答案为:(6, ) 【点睛】本题考查二次函数的综合、待定系数法、旋转的性质、轴对称及等边三角形的性质等知识,综合 性较强,利用数形结合思想解题是关键,属于中考压轴题. 32.(2020·广西贺州·统考中考真题)如图,抛物线 与 轴交于点 ,顶点为 . 资46料整理【淘宝店铺:向阳百分百】关注公众号:陆陆高分冲刺 ~领取:最新版“小中高考-总复习”、最新试卷下载 (1)求该抛物线的解析式; (2)平行于 轴的直线与抛物线交于 两点(点 在点 的右边),若 ,求 两点的坐标; (3)在(2)的条件下,若点 是线段 上的动点,经过点 的直线 与 轴交于点 ,连接 ,求 的面积的最大值和最小值. 【答案】(1) ;(2) 的坐标是 ;(3)当 时, 最小值 为 ,当 时, 最大值为 . 【分析】(1)利用待定系数法把 代入 即可求解; (2)设 ,根据二次函数的对称性和PQ的距离得到二元一次方程组,求解即可; (3)当直线 经过点 时,得 ,当直线 经过点 时,得 ,求出临界情况的 面积即可. 【详解】(1)把 代入 ,得 . 抛物线的解析式为 . (2)由(1)知,抛物线的对称轴为 , 资47料整理【淘宝店铺:向阳百分百】关注公众号:陆陆高分冲刺 ~领取:最新版“小中高考-总复习”、最新试卷下载 设 ,依题意, 知 , 解得 . 把 代入抛物线,得 , 所以 的坐标是 . (3)由(1)知 , 当直线 经过点 时,得 , 当直线 经过点 时,得 , 所以 的取值范围是: . 设直线 的解析式为: ,将 的坐标代入, 得 ,所以直线 的解析式为: . 设直线 交 轴于点 ,则 , . 当 时, 最小值为 , 当 时, 最大值为 . 资48料整理【淘宝店铺:向阳百分百】关注公众号:陆陆高分冲刺 ~领取:最新版“小中高考-总复习”、最新试卷下载 . 【点睛】本题考查二次函数与一次函数综合问题,掌握二次函数的图象与性质是解题的关键. 33.(2022·山东德州·统考中考真题)如图,题目中的黑色部分是被墨水污染了无法辨认的文字,导致题 目缺少了一个条件而无法解答,经查询结果发现,该二次函数解析式 , 已知二次函数 的图象经过点 , , . 求该二次函数的解析式. (1)请根据已有信息添加一个适当的条件:___________ (2)当函数值 ,自变量x的取值范围为:___________ (3)如图1,将函数 的图象向右平移4个单位与 的图象组成一个新的 函数图像,记为L,若点 ,求m的值. (4)如图2,在(3)的条件下,点A的坐标为 ,在L上是否存在点Q,使得 ,若存在,求出 所有满足条件的点Q的坐标,不存在,说明理由. 资49料整理【淘宝店铺:向阳百分百】关注公众号:陆陆高分冲刺 ~领取:最新版“小中高考-总复习”、最新试卷下载 【答案】(1) (答案不唯一) (2) (3)6 (4) , 或 , 【分析】(1)只需填一个在抛物线图象上的点的坐标即可; (2)求出 时,对应的 值,再结合图象写出 的取值范围即可; (3)求出抛物线向右平移4个单位后的解析式为 ,根据题意可知 时, 点在抛物线 的部分上,再求 的值即可; (4)分两种情况讨论:当 点在抛物线 的部分上时,设 ,由 ,求出 点坐标即可;当 点在抛物线 的部分上时,设 ,由 ,求出 点坐标即可. 【详解】(1)解: , 故答案为: (答案不唯一); (2) , 当 时,解得 或 , 当 时, , 资50料整理【淘宝店铺:向阳百分百】关注公众号:陆陆高分冲刺 ~领取:最新版“小中高考-总复习”、最新试卷下载 故答案为: ; (3) , 抛物线向右平移4个单位后的解析式为 , 当 时,点 在抛物线 的部分上, ; (4)存在点 ,使得 ,理由如下: 当 点在抛物线 的部分上时,设 , , 解得 或 , , , , ; 当 点在抛物线 的部分上时,设 , , 解得 或 , , , , ; 综上所述: 点坐标为 , 或 , . 资51料整理【淘宝店铺:向阳百分百】关注公众号:陆陆高分冲刺 ~领取:最新版“小中高考-总复习”、最新试卷下载 【点睛】本题考查二次函数的图象及性质,熟练掌握二次函数的图象及性质,函数图象平移的性质,数形 结合解题是关键. 34.(2023年辽宁省大连市中考数学真题)如图,在平面直角坐标系中,抛物线 上有两点 , 其中点 的横坐标为 ,点 的横坐标为 ,抛物线 过点 .过 作 轴交抛 物线 另一点为点 .以 长为边向上构造矩形 . (1)求抛物线 的解析式; (2)将矩形 向左平移 个单位,向下平移 个单位得到矩形 ,点 的对应点 落在抛物线 上. ①求 关于 的函数关系式,并直接写出自变量 的取值范围; ②直线 交抛物线 于点 ,交抛物线 于点 .当点 为线段 的中点时,求 的值; 资52料整理【淘宝店铺:向阳百分百】关注公众号:陆陆高分冲刺 ~领取:最新版“小中高考-总复习”、最新试卷下载 ③抛物线 与边 分别相交于点 ,点 在抛物线 的对称轴同侧,当 时, 求点 的坐标. 【答案】(1) (2)① ;② ;③ 或 【分析】(1)根据题意得出点 , ,待定系数法求解析式即可求解; (2)①根据平移的性质得出 ,根据点 的对应点 落在抛物线 上,可得 , 进而即可求解; ②根据题意得出 ,求得中点坐标,根据题意即可求解; ③连接 ,过点 作 于点 ,勾股定理求得 ,设 点的坐标为 ,则 ,将 代入 ,求得 ,求得 ,进 而根据 落在抛物线 上,将 代入 ,即可求解. 【详解】(1)解:依题意,点 的横坐标为 ,点 的横坐标为 ,代入抛物线 ∴当 时, ,则 , 当 时, ,则 , 将点 , ,代入抛物线 , ∴ 资53料整理【淘宝店铺:向阳百分百】关注公众号:陆陆高分冲刺 ~领取:最新版“小中高考-总复习”、最新试卷下载 解得: ∴抛物线 的解析式为 ; (2)①解:∵ 轴交抛物线 另一点为点 , 当 时, , ∴ , ∵矩形 向左平移 个单位,向下平移 个单位得到矩形 ,点 的对应点 落在抛物线 上 ∴ , 整理得 ∵ ∴ ∴ ; ②如图所示, ∵ , ∴ , 资54料整理【淘宝店铺:向阳百分百】关注公众号:陆陆高分冲刺 ~领取:最新版“小中高考-总复习”、最新试卷下载 ∵ ∴ , 由①可得 , ∴ , 的横坐标为 ,分别代入 , ∴ , ∴ ∴ 的中点坐标为 ∵点 为线段 的中点, ∴ 解得: 或 (大于4,舍去) ③如图所示,连接 ,过点 作 于点 , 则 ,∵ ∴ , 资55料整理【淘宝店铺:向阳百分百】关注公众号:陆陆高分冲刺 ~领取:最新版“小中高考-总复习”、最新试卷下载 设 点的坐标为 ,则 , 将 代入 , , 解得: , 当 , ∴ , 将 代入 解得: , ∴ 或 . 【点睛】本题考查了二次函数综合运用,矩形的性质,平移的性质,熟练掌握二次函数的性质是解题的关 键. 35.(2023年安徽中考数学真题)在平面直角坐标系中,点 是坐标原点,抛物线 经过 点 ,对称轴为直线 . (1)求 的值; (2)已知点 在抛物线上,点 的横坐标为 ,点 的横坐标为 .过点 作 轴的垂线交直线 于点 ,过点 作 轴的垂线交直线 于点 . (ⅰ)当 时,求 与 的面积之和; 资56料整理【淘宝店铺:向阳百分百】关注公众号:陆陆高分冲刺 ~领取:最新版“小中高考-总复习”、最新试卷下载 (ⅱ)在抛物线对称轴右侧,是否存在点 ,使得以 为顶点的四边形的面积为 ?若存在,请求 出点 的横坐标 的值;若不存在,请说明理由. 【答案】(1) (2)(ⅰ) ;(2) 【分析】(1)待定系数法求解析式即可求解; (2)(ⅰ)根据题意画出图形,得出 , , ,继 而得出 , ,当 时, 根据三角形的面积公式,即可求解. (ⅱ)根据(ⅰ)的结论,分 和 分别求得梯形的面积,根据四边形的面积为 建立方程,解 方程进而即可求解. 【详解】(1)解:依题意, , 解得: , ∴ ; (2)(ⅰ)设直线 的解析式为 , ∵ , ∴ 解得: , ∴直线 , 资57料整理【淘宝店铺:向阳百分百】关注公众号:陆陆高分冲刺 ~领取:最新版“小中高考-总复习”、最新试卷下载 如图所示,依题意, , , , ∴ , , ∴当 时, 与 的面积之和为 , (ⅱ)当点 在对称右侧时,则 , ∴ , 当 时, , ∴ , ∴ , 解得: , 资58料整理【淘宝店铺:向阳百分百】关注公众号:陆陆高分冲刺 ~领取:最新版“小中高考-总复习”、最新试卷下载 当 时, , ∴ , ∴ , 解得: (舍去)或 (舍去) 综上所述, . 【点睛】本题考查了二次函数综合问题,面积问题,待定系数法求二次函数解析式,分类讨论,熟练掌握 二次函数的性质是解题的关键. 36.(2023年江西省中考数学真题)综合与实践 问题提出:某兴趣小组开展综合实践活动:在 中, ,D为 上一点, ,动点 资59料整理【淘宝店铺:向阳百分百】关注公众号:陆陆高分冲刺 ~领取:最新版“小中高考-总复习”、最新试卷下载 P以每秒1个单位的速度从C点出发,在三角形边上沿 匀速运动,到达点A时停止,以 为 边作正方形 设点P的运动时间为 ,正方形 的而积为S,探究S与t的关系 (1)初步感知:如图1,当点P由点C运动到点B时, ①当 时, _______. ②S关于t的函数解析式为_______. (2)当点P由点B运动到点A时,经探究发现S是关于t的二次函数,并绘制成如图2所示的图象请根据图 象信息,求S关于t的函数解析式及线段 的长. (3)延伸探究:若存在3个时刻 ( )对应的正方形 的面积均相等. ① _______; ②当 时,求正方形 的面积. 【答案】(1)①3;② (2) , (3)①4;② 【分析】(1)①先求出 ,再利用勾股定理求出 ,最后根据正方形面积公式求解即可;②仿 照(1)①先求出 ,进而求出 ,则 ; (2)先由函数图象可得当点P运动到B点时, ,由此求出当 时, ,可设S关于t的 资60料整理【淘宝店铺:向阳百分百】关注公众号:陆陆高分冲刺 ~领取:最新版“小中高考-总复习”、最新试卷下载 函数解析式为 ,利用待定系数法求出 ,进而求出当 时,求 得t的值即可得答案; (3)①根据题意可得可知函数 可以看作是由函数 向右平移四个单位得到的,设 是函数 上的两点,则 , 是函数 上的两点,由此可得 ,则 ,根据题意可 以看作 ,则 ;②由(3)①可得 ,再由 ,得到 , 继而得答案. 【详解】(1)解:∵动点P以每秒1个单位的速度从C点出发,在三角形边上沿 匀速运动, ∴当 时,点P在 上,且 , ∵ , , ∴ , ∴ , 故答案为:3; ②∵动点P以每秒1个单位的速度从C点出发,在 匀速运动, ∴ , ∵ , , ∴ , ∴ ; (2)解:由图2可知当点P运动到B点时, , ∴ , 解得 , 资61料整理【淘宝店铺:向阳百分百】关注公众号:陆陆高分冲刺 ~领取:最新版“小中高考-总复习”、最新试卷下载 ∴当 时, , 由图2可知,对应的二次函数的顶点坐标为 , ∴可设S关于t的函数解析式为 , 把 代入 中得: , 解得 , ∴S关于t的函数解析式为 , 在 中,当 时,解得 或 , ∴ ; (3)解:①∵点P在 上运动时, ,点P在 上运动时 , ∴可知函数 可以看作是由函数 向右平移四个单位得到的, 设 是函数 上的两点,则 , 是函数 上的两点, ∴ , ∴ , ∵存在3个时刻 ( )对应的正方形 的面积均相等. ∴可以看作 , ∴ , 故答案为:4; ②由(3)①可得 , ∵ , 资62料整理【淘宝店铺:向阳百分百】关注公众号:陆陆高分冲刺 ~领取:最新版“小中高考-总复习”、最新试卷下载 ∴ , ∴ , ∴ . . 【点睛】本题主要考查了二次函数与图形运动问题,待定系数法求函数解析式,勾股定理等等,正确理解 题意利用数形结合的思想求解是解题的关键. 37.(2022·江苏淮安·统考中考真题)如图(1),二次函数 的图像与 轴交于 、 两点, 与 轴交于 点,点 的坐标为 ,点 的坐标为 ,直线 经过 、 两点. (1)求该二次函数的表达式及其图像的顶点坐标; (2)点 为直线 上的一点,过点 作 轴的垂线与该二次函数的图像相交于点 ,再过点 作 轴的垂线 资63料整理【淘宝店铺:向阳百分百】关注公众号:陆陆高分冲刺 ~领取:最新版“小中高考-总复习”、最新试卷下载 与该二次函数的图像相交于另一点 ,当 时,求点 的横坐标; (3)如图(2),点 关于 轴的对称点为点 ,点 为线段 上的一个动点,连接 ,点 为线段 上 一点,且 ,连接 ,当 的值最小时,直接写出 的长. 【答案】(1) ,顶点坐标 (2) 点横坐标为 或 或 或 (3) 【分析】(1)用待定系数法求函数的解析式即可; (2)设 ,则 , ,则 ,由题意可得 方程 ,求解方程即可; (3)由题意可知Q点在平行于 的线段上,设此线段与x轴的交点为G,由 ,求出点 , 作A点关于 的对称点 ,连接 与 交于点Q,则 , 利用对称性和 ,求出 ,求出直线 的解析式和直线 的解析式,联立方程组 ,可求点 ,再求 . 【详解】(1)解:将点 , 代入 ∴ 资64料整理【淘宝店铺:向阳百分百】关注公众号:陆陆高分冲刺 ~领取:最新版“小中高考-总复习”、最新试卷下载 解得 ∴ ∵ , ∴顶点坐标 ; (2)解:设直线 的解析式为 , ∴ 解得 ∴ , 设 ,则 , , ∴ , , ∵ , ∴ , ∴ 或 , 当 时, 整理得 , 解得 , , 当 时,整理得 , 解得 , , ∴ 点横坐标为 或 或 或 ; 资65料整理【淘宝店铺:向阳百分百】关注公众号:陆陆高分冲刺 ~领取:最新版“小中高考-总复习”、最新试卷下载 (3)解:∵ , 点与 点关于 轴对称, ∴ , 令 ,则 , 解得 或 , ∴ , ∴ , ∵ , ∴ 点在平行于 的线段上,设此线段与 轴的交点为 , ∴ , ∴ , ∴ , ∴ , ∴ , ∵ , ∴ , 作 点关于 的对称点 ,连接 与 交于点 , ∵ , 资66料整理【淘宝店铺:向阳百分百】关注公众号:陆陆高分冲刺 ~领取:最新版“小中高考-总复习”、最新试卷下载 ∴ , ∴ , ∵ , , ∴ , ∵ , ∴ , ∴ , ∴ , 设直线 的解析式为 , ∴ , 解得 , ∴ , 同理可求直线 的解析式为 , 联立方程组 , 解得 , ∴ , ∵ , 资67料整理【淘宝店铺:向阳百分百】关注公众号:陆陆高分冲刺 ~领取:最新版“小中高考-总复习”、最新试卷下载 ∴ . 【点睛】本题考查二次函数的图象及性质,熟练掌握二次函数的图象及性质,利用轴对称求最短距离的方 法,解绝对值方程,待定系数法求函数的解析式是解题的关键. 38.(2023年天津市中考数学真题)已知抛物线 , 为常数, 的顶点为 ,与 轴 相交于 , 两点 点 在点 的左侧 ,与 轴相交于点 ,抛物线上的点 的横坐标为 ,且 ,过点 作 ,垂足为 . (1)若 . ①求点 和点 的坐标; ②当 时,求点 的坐标; (2)若点 的坐标为 ,且 ,当 时,求点 的坐标. 【答案】(1)①点 的坐标为 ;点 的坐标为 ;②点 的坐标为 (2) 【分析】(1)①待定系数法求解析式,然后化为顶点式,即可求得 的坐标,令 ,解方程,即可求 得 的坐标; ②过点 作 轴于点 ,与直线 相交于点 .得出 .可得 中, . 中, .设点 ,点 .根据 ,解方程即可求解; (2)根据题意得出抛物线的解析式为 .得点 ,其中 .则顶点 的坐标为 ,对称轴为直线 .过点 作 于点 , 资68料整理【淘宝店铺:向阳百分百】关注公众号:陆陆高分冲刺 ~领取:最新版“小中高考-总复习”、最新试卷下载 则 ,点 .由 ,得 .于是 .得出 (舍).,同(Ⅰ),过点 作 轴于点 ,与直线 相交于点 ,则点 , 点 ,点 .根据已知条件式,建立方程,解方程即可求解. 【详解】(1)解:①由 ,得抛物线的解析式为 . ∵ , ∴点 的坐标为 . 当 时, .解得 .又点 在点 的左侧, ∴点 的坐标为 . ②过点 作 轴于点 ,与直线 相交于点 . ∵点 ,点 , ∴ .可得 中, . ∴ 中, . ∵抛物线 上的点 的横坐标为 ,其中 , ∴设点 ,点 . 资69料整理【淘宝店铺:向阳百分百】关注公众号:陆陆高分冲刺 ~领取:最新版“小中高考-总复习”、最新试卷下载 得 .即点 . ∴ . 中,可得 . ∴ .又 , 得 .即 .解得 (舍). ∴点 的坐标为 . (2)∵点 在抛物线 上,其中 , ∴ .得 . ∴抛物线的解析式为 . 得点 ,其中 . ∵ , ∴顶点 的坐标为 ,对称轴为直线 . 过点 作 于点 ,则 ,点 . 由 ,得 .于是 . ∴ . 即 .解得 (舍). 同(Ⅰ),过点 作 轴于点 ,与直线 相交于点 , 则点 ,点 ,点 . 资70料整理【淘宝店铺:向阳百分百】关注公众号:陆陆高分冲刺 ~领取:最新版“小中高考-总复习”、最新试卷下载 ∵ , ∴ . 即 .解得 (舍). ∴点 的坐标为 . 【点睛】本题考查了二次函数的综合运用,角度问题,线段问题,待定系数法求解析式,熟练掌握二次函 数的性质是解题的关键. 39.(2023年黑龙江省齐齐哈尔市中考数学真题)综合与探究 如图,抛物线 上的点A,C坐标分别为 , ,抛物线与x轴负半轴交于点B,点M 为y轴负半轴上一点,且 ,连接 , . (1)求点M的坐标及抛物线的解析式; (2)点P是抛物线位于第一象限图象上的动点,连接 , ,当 时,求点P的坐标; (3)点D是线段 (包含点B,C)上的动点,过点D作x轴的垂线,交抛物线于点Q,交直线 于点N, 资71料整理【淘宝店铺:向阳百分百】关注公众号:陆陆高分冲刺 ~领取:最新版“小中高考-总复习”、最新试卷下载 若以点Q,N,C为顶点的三角形与 相似,请直接写出点Q的坐标; (4)将抛物线沿x轴的负方向平移得到新抛物线,点A的对应点为点 ,点C的对应点为点 ,在抛物线 平移过程中,当 的值最小时,新抛物线的顶点坐标为______, 的最小值为______. 【答案】(1) , (2) (3) , (4) , 【分析】(1)根据点M在y轴负半轴且 可得点M的坐标为 ,利用待定系数法可得抛物线 的解析式为 ; (2)过点P作 轴于点F,交线段AC于点E,用待定系数法求得直线AC的解析式为 ,设点P的横坐标为 ,则 , ,故 ,先求得 ,从而得到 ,解出p的值,从 而得出点P的坐标; (3)由 可知,要使点Q,N,C为顶点的三角形与 相似,则以点Q,N,C为顶点的 三角形也是直角三角形,从而分 和 两种情况讨论,①当 ,可推导B 与点Q重合, ,即此时符合题意,利用求抛物线与x轴交点的方法可求出点Q的坐标; ②当 时,可推导 ,即此时符合题意,再证明 ,从而得到 资72料整理【淘宝店铺:向阳百分百】关注公众号:陆陆高分冲刺 ~领取:最新版“小中高考-总复习”、最新试卷下载 ,再设点 的横坐标为q,则 , ,从而得到 , 解得q的值,从而得到点Q的坐标,最后综合①②即可; (4)设抛物线沿x轴的负方向平移m个单位长度得到新抛物线,将点M右平移m个单位长度得到点M, MAMA,MCMC MAMC MAMC 由平移的性质可知, , 的值最小就是 最小值,作出点C关于直 y=2 C AC y=2 M MC MAMC 线 对称的对称点 ,连接 交直线 于点 ,连接 则此时 取得最小值,即 为AC的长度,利用两点间的距离公式求这个长度,用待定系数法求出直线AC的解析式,从而确定M 的坐标,继而确定平移距离,将原抛物线的解析式化为顶点式,从而得到其顶点,继而确定新抛物线的顶 点. 【详解】(1)解:∵点M在y轴负半轴且OM 2, M0,2 ∴ A0,2 C4,0 yx2bxc 将 , 代入 ,得 c2  164bc0  7 b  2 解得 c2 7 ∴抛物线的解析式为yx2 x2 2 (2)解:过点P作PF x轴于点F,交线段AC于点E, 资73料整理【淘宝店铺:向阳百分百】关注公众号:陆陆高分冲刺 ~领取:最新版“小中高考-总复习”、最新试卷下载 ykxmk 0 设直线AC的解析式为 , A0,2 C4,0 ykxm 将 , 代入 ,得  1 k  m2  2  4km0 ,解得 m2 , 1 ∴直线AC的解析式为y   x  2 2 p0 p4 设点P的横坐标为  7   1  Pp,p2 p2 Ep, p2 则  2 ,  2 , 7  1  PEp2 p2 p2p24p(0 p4) ∴ 2  2  1 ∵S △ACM 8,∴S △PAC  2 PEOC 2p28p8,解得p 1  p 2 2, P2,5 ∴ 3   1  Q  ,5 Q  ,0 (3) 1 2 , 2  2 , 补充求解过程如下: ∵在VCOM 中,COM 90,以点Q,N,C为顶点的三角形与VCOM 相似, ∴以点Q,N,C为顶点的三角形也是直角三角形, QDx QD CM 又∵ 轴,直线 交直线 于点N, CNQ90 ∴ ,即点N不与点O是对应点. CQN 90 QCN 90 故分为 和 两种情况讨论: CQN 90 QN x ①当 时,由于 轴, CQ y CQ ∴ 轴,即 在x轴上, 资74料整理【淘宝店铺:向阳百分百】关注公众号:陆陆高分冲刺 ~领取:最新版“小中高考-总复习”、最新试卷下载 又∵点Q在抛物线上, ∴此时点B与点Q重合, 作出图形如下: CQN COM 90 此时 , QCN OCM 又∵ △CQN∽△COM ∴ ,即此时符合题意, 7 令yx2 x20, 2 1 解得:x  ,x 3(舍去) 1 2 2  1  Q  ,0 ∴点Q的坐标,也即点B的坐标是 1  2 . QCN 90 ②当 时,作图如下: QDx COM 90 ∵ 轴, 资75料整理【淘宝店铺:向阳百分百】关注公众号:陆陆高分冲刺 ~领取:最新版“小中高考-总复习”、最新试卷下载 QD∥OM ∴ , CNQOMC ∴ , CNQOMC QCN COM 90 ∵ , , △QCN∽△COM ∴ ,即此时符合题意, △QCN∽△COM ∵ , CQN OCM DQC OCM ∴ ,即 DQC OCM QDC COM ∵ , , △QDC∽△COM ∴ QD CO 4 ∴   2, DC OM 2 QD2DC  7  设点Q的横坐标为q,则 Q  q,q2 2 q2 , Dq,0 , 7 ∴QDq2 q2, 2 CD3q 7 ∴q2 q223q , 2 3 解得:q  ,q 3(舍去), 1 2 2 7 ∴q2 q25, 2 3  Q  ,5 ∴点Q的坐标是 2 2   1  3  Q  ,0 Q  ,5 综上所述:点Q的坐标是 1  2 , 2 2 ;  11 81  ,  (4) 12 16,2 13, 资76料整理【淘宝店铺:向阳百分百】关注公众号:陆陆高分冲刺 ~领取:最新版“小中高考-总复习”、最新试卷下载 补充求解过程如下: 设抛物线沿x轴的负方向平移m个单位长度得到新抛物线, 将点M向右平移m个单位长度得到点M,作出图形如下: MAMA,MCMC 由平移的性质可知, , ∴MAMC的值最小就是MAMC最小值, M y=2 显然点 在直线 上运用, y=2 C AC y=2 M MC MAMC 作出点C关于直线 对称的对称点 ,连接 交直线 于点 ,连接 则此时 取得最小值,即为AC的长度, y=2 C C4,0 ∵点C关于直线 对称的对称的点是点 , C4,4 ∴ , MAMC MAMC  AC 402422 2 13 ∴ , min min AC yk xb 设直线 的解析式是: 1 1 资77料整理【淘宝店铺:向阳百分百】关注公众号:陆陆高分冲刺 ~领取:最新版“小中高考-总复习”、最新试卷下载 b 2 1  将点A0,2,C4,4代入得:4k b 4 1 1  3 k   1 2 解得: b 2 1 3 直线 的解析式是:y x2 AC 2 3 8 令y x22,解得:x , 2 3 8  M  ,2 ∴ 3 , 8 m ∴平移的距离是 3 7  7 2 81 yx2 x2x   又∵ 2  4 16, 7 81  ,  ∴平移前的抛物线的坐标是4 16 7 8 81  11 81   ,   ,  ∴新抛物线的顶点坐标为4 3 16即 12 16  11 81  ,  故答案是: 12 16,2 13. 【点睛】本题考查求二次函数的解析式,二次函数的图象与性质,二次函数与几何变换综合,二次函数与 相似三角形综合,最短路径问题,三角形面积公式等知识,难度较大,综合性大,作出辅助线和掌握转换 思想是解题的关键,第二问的解题技巧是使用铅锤公式计算面积,第三问的技巧是转化成直角三角形的讨 论问题,如果直接按相似讨论,则有四种情况,可以降低分类讨论的种类,第四问的技巧,是将点M向反 方向移动,从而将两个动点转化成一个动点来解决. 40.(2023·浙江温州·校考三模)已知点(-1,y),(2,y),(4,y)都在二次函数y=ax2-2ax+3的图 1 2 3 资78料整理【淘宝店铺:向阳百分百】关注公众号:陆陆高分冲刺 ~领取:最新版“小中高考-总复习”、最新试卷下载 象上,当x=1时,y<3,则y,y,y 的大小比较正确的是( ) 1 2 3 A.y<y<y B.y<y<y C.y<y<y D.y<y<y 1 2 3 1 3 2 2 1 3 2 3 1 【答案】C 【分析】根据二次函数的解析式得出图象的对称轴是直线x=1,根据当x=1时,y<3,得出抛物线开口向 上,当x>1时,y随x的增大而增大,即可得出答案. 【详解】解:∵y=ax2-2ax+3, 2a ∴图象的对称轴是直线x=- =1, 2a ∵当x=1时,y<3, ∴抛物线开口向上,x>1时,y随x的增大而增大, ∴点(-1,y)关于直线x=1的对称点是(3,y), 1 1 ∵2<3<4, ∴y<y<y, 2 1 3 故选:C. 【点睛】本题主要考查对二次函数图象上点的坐标特征,二次函数的性质等知识点的理解和掌握,能熟练 地运用二次函数的性质进行推理是解此题的关键. 41.(2023·广东揭阳·统考二模)已知二次函数 ,其中 、 ,则该函数的图 象可能为( ) A. B. C. D. 【答案】C 资79料整理【淘宝店铺:向阳百分百】关注公众号:陆陆高分冲刺 ~领取:最新版“小中高考-总复习”、最新试卷下载 【分析】利用排除法,由 得出抛物线与y轴的交点应该在y轴的负半轴上,排除A选项和D选项, 根据B选项和C选项中对称轴 ,得出 ,抛物线开口向下,排除B选项,即可得出C为正确 答案. 【详解】解:对于二次函数 , 令 ,则 , ∴抛物线与y轴的交点坐标为 ∵ , ∴ , ∴抛物线与y轴的交点应该在y轴的负半轴上, ∴可以排除A选项和D选项; B选项和C选项中,抛物线的对称轴 , ∵ , ∴ , ∴抛物线开口向下,可以排除B选项, 故选C. 【点睛】本题考查二次函数的图象的性质,熟练掌握二次函数图象与三个系数之间的关系是解题的关键. 42.(2023·广东揭阳·统考二模)将抛物线 向左平移3个单位,再向上平移2个单位,得到抛物线的 表达式为( ) A. B. C. D. 【答案】A 【分析】根据抛物线的平移规律:上加下减,左加右减解答即可. 【详解】将抛物线 向左平移3个单位,再向上平移2个单位,得到抛物线的表达式为: ; 资80料整理【淘宝店铺:向阳百分百】关注公众号:陆陆高分冲刺 ~领取:最新版“小中高考-总复习”、最新试卷下载 故选:A. 【点睛】本题考查了二次函数图象的平移,掌握平移规律是解题的关键. 43.(2023·宁夏银川·校考二模)一次函数y=ax+b和反比例函数y= 在同一平面直角坐标系中的图象如图 所示,则二次函数y=ax2+bx+c的图象大致为( ) A. B. C. D. 【答案】C 【详解】解:由图可知: ,所以,二次函数y=ax2+bx+c的图象开口向下,排除D,由c> 0,排除A,对称轴 >0,所以,排除B, 故选:C. 【点睛】本题考查一次函数、二次函数、反比函数的图象及其性质. 44.(2023·江苏苏州·苏州市第十六中学校考二模)如图,是抛物线 的部分图象,其过点 , ,且 ,则下列说法错误的是( ) 资81料整理【淘宝店铺:向阳百分百】关注公众号:陆陆高分冲刺 ~领取:最新版“小中高考-总复习”、最新试卷下载 A. B.该抛物线必过点 C.当 时, 随 增大而增大 D.当 时, 【答案】D 【分析】将 代入解析式可判断A,结合题意,由(1)可知,当 时 可判断B,结合题意 求得抛物线的对称轴即可判断C,结合对称轴利用对称性可得 ,即当 时 ,可判断D. 【详解】解:(1)将 代入解析式得 , 故A正确,不符合题意; (2)结合题意,由(1)可知,当 时, , , , , 抛物线必过点 , 故B正确,不符合题意; (3)结合题意可知, 抛物线的对称轴为: , 当 时, 随 增大而增大, 故当 时, 随 增大而增大, 故C正确,不符合题意; (4)结合题意由(3)可知, , , 当 时 , 资82料整理【淘宝店铺:向阳百分百】关注公众号:陆陆高分冲刺 ~领取:最新版“小中高考-总复习”、最新试卷下载 故D错误,符合题意; 综上,故选:D. 【点睛】本题考查了二次函数的图象和性质;解题的关键是熟练掌握二次函数的图象和性质. 45.(2023·陕西咸阳·统考二模)鹰眼系统能够追踪、记录和预测球的轨迹,右图为足球比赛中某一时刻 的鹰眼系统预测画面,足球的飞行轨迹可看成抛物线.若把对应的抛物线的函数表达式设为 ,画二次函数 的图象时,列表如下: x … 1 2 3 4 … y … 0 1 0 … 关于此函数下列说法不正确的是( ) A.函数图象开口向下 B.当 时,该函数有最大值 C.当 时, D.若在函数图象上有两点 , ,则 【答案】D 【分析】先利用待定系数法求二次函数的解析式,再根据二次函数图象与性质对各项进行判断即可. 【详解】解:由题意可知,抛物线 的图象经过点 、 、 , 即: ,解得: , ∴抛物线的解析式为: , ∵ , ∴抛物线开口向下,故A正确; ∵ , ∴当 时,该函数有最大值,故B正确; 资83料整理【淘宝店铺:向阳百分百】关注公众号:陆陆高分冲刺 ~领取:最新版“小中高考-总复习”、最新试卷下载 当 时, ,故C正确; ∵当 ,即 ,解得: , , ∴抛物线 与x轴的交点坐标为: 、 , ∴ ,y随x的增大而增大; ,y随x的增大而减小, ∴当函数值 时, ,或 ,故D错误; 故选:D. 【点睛】本题考查用待定系数法求二次函数解析式、二次函数图象与性质,熟练掌握用待定系数法求函数 解析式是解题的关键. 46.(2023·河南周口·统考二模)抛物线y=x2﹣2x+3的对称轴是直线 . 【答案】x=1 【分析】把解析式化为顶点式可求得答案. 【详解】解:∵y=x2-2x+3=(x-1)2+2, ∴对称轴是直线x=1, 故答案为x=1. 【点睛】本题主要考查二次函数的性质,掌握二次函数的顶点式是解题的关键,即在y=a(x-h)2+k中, 对称轴为x=h,顶点坐标为(h,k). yax2bxc 47.(2023·江苏无锡·校考二模)已知二次函数 中,函数y与自变量x的部分对应值如表所 示,以下结论正确的是( ) x … 1 0 1 2 3 … y … 3 0 1 m 3 … yax2bxc x3 A.抛物线 的开口向下 B.当 时,y随x增大而增大 y0 0x2 ax2bxc0 C.当 时,x的取值范围是 D.方程 的根为0和2 【答案】D 【分析】根据表格确定对称轴的位置,进而求出m的值,画出二次函数的图象,利用数形结合的思想,进 行判断即可. 【详解】解:由表格可知:x=1和x3的函数值相同,均为3, 资84料整理【淘宝店铺:向阳百分百】关注公众号:陆陆高分冲刺 ~领取:最新版“小中高考-总复习”、最新试卷下载 13 ∴抛物线的对称轴为直线x 1, 2 ∴x2和x0的函数值相等,即:m0, 根据五点作图法,得到二次函数的图象如下: 由图可知: 抛物线开口向上, x1时, y 随x值的增大而减小,x1时, y 随x值的增大而增大, y0 x0 x2 当 时,x的取值范围是 或 , 0,0,2,0 x 抛物线与 轴交于 , ax2bxc0 ∴方程 的根为0和2; 综上:A,B,C选项错误,不符合题意,D选项正确,符合题意; 故选D. 【点睛】本题考查二次函数的图象和性质.熟练掌握数形结合的思想,是解题的关键. yx22mx2m1 48.(2023·湖南郴州·校考三模)如图,抛物线 与x轴交于A、B两点,且点A、B都 在原点右侧,抛物线的顶点为点P,当△ABP为直角三角形时,m的值为 . 【答案】2 【分析】设点A(x,y),B(x,y),则AB=|x-x|,求出点P(m,-(m-1)2),由抛物线的对称 1 1 2 2 2 1 资85料整理【淘宝店铺:向阳百分百】关注公众号:陆陆高分冲刺 ~领取:最新版“小中高考-总复习”、最新试卷下载 性知△ABP为等腰直角三角形,建立方程|x-x|=2(m-1)2,根据根与系数关系可求得m值. 2 1 【详解】解:设点A(x,y),B(x,y),则AB=|x-x|, 1 1 2 2 2 1 x22mx2m10 令y=0得 , ∴x+x=2m,x·x=2m-1,则|x-x|2=4m2-8m+4=4(m-1)2, 1 2 1 2 2 1 yx22mx2m1 由抛物线 =(x-m)2-(m-1)2得顶点坐标为P(m,-(m-1)2), 抛物线的对称性知△ABP为等腰直角三角形, ∴|x-x|=2(m-1)2, 2 1 即4(m-1)2=4(m-1)4, 解得:m=2或m=0或m=1, yx22mx2m1 ∵抛物线 与x轴交于A、B两点,且点A、B都在原点右侧, 1 ∴2m>0且m≠1且2m-1>0,即m>2且m≠1, ∴m=2, 故答案为:2. 【点睛】本题考查二次函数的图象与性质、等腰直角三角形的判定与性质、根与系数的关系、解高次方程 等知识,熟练掌握二次函数的性质是解答的关键. yax2bxc a b c A1,0 49.(2023·黑龙江绥化·统考三模)已知抛物线 ( , , 是常数)开口向下,过 , Bm,0 1m2 两点,且 .下列四个结论: ①b0; 3 ②若m ,则 ; 2 3a2c0 Mx,y  Nx ,y  x x x x 1 y  y ③若点 1 1 , 2 2 在抛物线上, 1 2,且 1 2 ,则 1 2; ④当a1时,关于x的一元二次方程ax2bxc1必有两个不相等的实数根. 其中正确的是 (填写序号). 【答案】①③④ b 【分析】首先判断对称轴x=- >0,再由抛物线的开口方向判断①;由抛物线经过A(-1,0), 2a 资86料整理【淘宝店铺:向阳百分百】关注公众号:陆陆高分冲刺 ~领取:最新版“小中高考-总复习”、最新试卷下载 Bm,0 ,当 m 3 2时, yax1    x 3 2   ,求出 c 3 2 a ,再代入3a2c判断②,抛物线 yax2bxcax1xmax2a1mxam Mx,y  Nx ,y  ,由点 1 1 , 2 2 在抛物线上,得 y ax2a1mx am y ax 2a1mx am 1 1 1 , 2 2 2 ,把两个等式相减,整理得 y 1 y 2 ax 1 x 2 x 1 x 2 1m ,通过判断 x 1 x 2, x 1 x 2 1m 的符号判断③;将方程 ax2bxc1 写 1 成a(x-m)(x+1)-1=0,整理,得x21mxm 0,再利用判别式即可判断④. a 【详解】解:∵抛物线过 A1,0 , Bm,0 两点,且 1m2 , b 1m x  , 2a 2 ∵ 1m2, 1m 1 b 0  ,即 >0, 2 2 2a ∵抛物线开口向下,a<0, b>0 ,故①正确; m 3 yax1  x 3 ax2 1 ax 3 a 若 2,则  2 2 2 , 3 c a, 2  3  3a2c3a2 a0  2  ,故②不正确; yax2bxcax1xmax2a1mxam Mx,y  Nx ,y  ∵ 抛物线 ,点 1 1 , 2 2 在抛物线上, y ax2a1mx am y ax 2a1mx am ∴ 1 1 1 , 2 2 2 ,把两个等式相减,整理得 y y ax x x x 1m 1 2 1 2 1 2 , 资87料整理【淘宝店铺:向阳百分百】关注公众号:陆陆高分冲刺 ~领取:最新版“小中高考-总复习”、最新试卷下载 ∵a0,x x x x 1 1m2 1 2, 1 2 , , x x 0,x x 1m>0 1 2 1 2 , y y ax x x x 1m>0 1 2 1 2 1 2 , y>y 1 2,故③正确; 1 依题意,将方程 写成a(x-m)(x+1)-1=0,整理,得x21mxm 0, ax2bxc1 a 1m24  m 1 m12 4  a a, ∵1m2,a1, 4 4m12 9, 4, a 4 m12 >0, 故④正确. a 综上所述,①③④正确. 故答案为;①③④. 【点睛】本题考查二次函数图象与系数的关系,解题关键是掌握二次函数的性质,掌握二次函数与方程及 不等式的关系. A,A,A,,A 50.(2023·辽宁鞍山·校考三模)如图,O为坐标原点,点 1 2 3 n在y轴的正半轴上,点 1 B,B,B,,B 在函数y 3 x2 位于第一象限的图象上,若 △OAB , △AA B ,△A AB ,…, 1 2 3 n 1 1 1 2 2 2 3 3 △A A B OA n n1 n1都是等边三角形,则线段 100的长是 . 资88料整理【淘宝店铺:向阳百分百】关注公众号:陆陆高分冲刺 ~领取:最新版“小中高考-总复习”、最新试卷下载 【答案】10100 B,B,B OA a AA b A A c 【分析】分别过 1 2 3作y轴的垂线,垂足分别为A、B、C,设 1 , 1 2 , 2 3 ,,则 3 3 3 AB 1  2 a,BB 2  2 b,CB 3  2 c,再根据所求正三角形的边长,分别表示B 1 ,B 2 ,B 3 的纵坐标,逐步代 1 入抛物线y x2 中,求 的值,得出规律进行求解即可. 3 a、b、c 【详解】解:分别过 B 1, B 2, B 3作 y 轴的垂线,垂足分别为 A 、 B 、 C , 3 AB  OB2OA2  a 设OA a,AA b,A A c,由勾股定理则 1 1 2 , 1 1 2 2 3 3 3 同理BB  b,CB  c, 2 2 3 2  3 a  3 b  3 c B  a,  B  b,a  B  c,ab  ∴ 1 2 2 , 2 2 2 , 3 2 2 ,        3 a 把 B 1    2 a, 2    ,代入y 1 3 x2 中,得 a 2  1 3  4 3 a2,解得 a2 ,即OA 1 2,  3 b 把 B 2   2 b,2 2   ,代入y 1 3 x2 中,得2 b 2  1 3  4 3 b2,解得 b4 ,即A 1 A 2 4,  3 c 把 B 3   2 c,6 2   ,代入y 1 3 x2 中,得6 2 c  1 3  4 3 c2 ,解得 c6 ,即A 2 A 3 =6, 资89料整理【淘宝店铺:向阳百分百】关注公众号:陆陆高分冲刺 ~领取:最新版“小中高考-总复习”、最新试卷下载 …, A A 2n1 依此类推由此可得 n n1 , 123n nn1 ∴OA 24682n2 2 nn1, n 2 2 OA 10010110100 ∴ 100 . 故答案为:10100. 【点睛】本题考查了二次函数的综合运用.勾股定理应用,掌握探究规律题的解题方法,关键是根据正三 角形的性质用边长表示抛物线上点的坐标,利用抛物线解析式求正三角形的边长,得到规律. yax2xc(a0) A(1,0) B(2,0) 51.(2023·内蒙古·包钢第三中学校考三模)已知抛物线 经过 , 两点, 与 y 轴相交于点C,该抛物线的顶点为点M ,对称轴与BC相交于点N ,与x轴交于点D. (1)求该抛物线的解析式及点M 的坐标; (2)连接ON,AC,证明:NOBACB; 资90料整理【淘宝店铺:向阳百分百】关注公众号:陆陆高分冲刺 ~领取:最新版“小中高考-总复习”、最新试卷下载 2 (3)点E是该抛物线上一动点,且位于第一象限,当点E到直线BC的距离为 2 时,求点E的坐标. 1 9 M ,  【答案】(1)yx2 x2, 2 4 (2)见解析 E1,2 (3) A(1,0) B(2,0) 【分析】(1)由 , 两点坐标利用待定系数法进行求解即可; (2)根据三条边对应成比例可得:△ACB∽△NOB,即可求证; (3)建立三角形ECB与点E的坐标的关系即可求解. A(1,0) B(2,0) yax2xc(a0) 【详解】(1)解:将 , 代入 得: a1c0  4a2c0, a1  解得:c2 yx2 x2 故抛物线的解析式为:  1 2 9 yx2x2x    2 4 1 9 M ,  故顶点 2 4 (2)解:根据题意作图: 资91料整理【淘宝店铺:向阳百分百】关注公众号:陆陆高分冲刺 ~领取:最新版“小中高考-总复习”、最新试卷下载 令x0,则y2 C0,2 故 设直线BC的解析式为:ykxb b2  则2kb0, k 1  解得:b2 所以直线BC的解析式为:yx2 1  D ,0 由(1)得: 2  1 1  1 3 N , 2N ,  故点 2 2  2 2 AB3,AC  AO2CO2  5,BC  BO2CO2 2 2 ∴ 3 2 10 NB DB2DN2  ,ON  OD2DN2  ,OB2 2 2 AB AC BC     2 NB ON OB △ACB∽△NOB NOBACB 资92料整理【淘宝店铺:向阳百分百】关注公众号:陆陆高分冲刺 ~领取:最新版“小中高考-总复习”、最新试卷下载 E EH∥y BC H (3)解:过点 作 轴交 于点 ,如图所示: 1 1 2 S  BCh 2 2 1 由题意得: △BCE 2 2 2 E  e,e2e2  设点 He,e2 则点 1 1 ∴S  EHx x    e22e  2e22e △BCE 2 B C 2 e22e1,解得:e1 E1,2 ∴ 【点睛】本题考查了二次函数的解析式、相似三角形的判定与性质、二次函数与面积问题等知识点.需要 学生要有较强的综合知识. 52.(2023·江苏苏州·苏州市第十六中学校考二模)抛物线 与x轴分别交于点 ,与 y轴交于点 . 资93料整理【淘宝店铺:向阳百分百】关注公众号:陆陆高分冲刺 ~领取:最新版“小中高考-总复习”、最新试卷下载 (1)求抛物线的解析式. (2)如图1, 顶点P在抛物线上,如果 面积为某值时,符合条件的点P有且只有三个,求 点P的坐标. (3)如图2,点M在第二象限的抛物线上,点N在 延长线上, ,连接 并延长到点D,使 . 交x轴于点E, 与 均为锐角, ,求点M的坐标. 【答案】(1) (2)(2, ),( , )或( , ) (3)(-4, ) 【分析】(1)根据待定系数法求解析式即可; (2)先根据题意判断出三角形BCP面积为平行四边形BCPQ面积的一半,得出当P在直线BC下方的抛 物线上时,面积取最大值时满足题意,求出最大面积后得到直线BC下方的P点坐标,再根据 BCP的面 积求出BC上方P点坐标即可; △ (3)过点N作NH⊥x轴,过D作DP⊥x轴,过M作MQ⊥x轴,根据平行线性质求出MQ=PD,证明 MEQ≌△DEP,得PQ=2PE,设OP=x,用x表示出PB,PE的长度,再根据 得出 △PB=2PE,代入求出x值,进而求得Q点坐标及M点坐标. 【详解】(1)解:∵抛物线 与x轴分别交于点 ,与y轴交于点 , ∴ , 资94料整理【淘宝店铺:向阳百分百】关注公众号:陆陆高分冲刺 ~领取:最新版“小中高考-总复习”、最新试卷下载 解得: , 即抛物线解析式为 . (2)解:由题意知,三角形BCP面积为平行四边形BCPQ面积的一半, 设直线BC下方抛物线上有一点P,过P作平行于BC的直线l,作直线l关于BC对称的直线MN,由图知, 直线MN与抛物线必有两个交点,根据平行线间距离处处相等知,当三角形BCP面积取最大值时即直线l 与抛物线只有一个交点时,符合题意的P点只有三个, 由B(4,0),C(0,-4)知直线BC解析式为:y=x-4, 过P作PH⊥x轴于H,交BC于E, 则S BCP=S PCE+S PBE △ △ △ = =2PE, 设P(m, ),则E(m,m-4), ∴S BCP= △ = , ∴当m=2时,△BCP面积取最大值,最大值为 , 此时,直线BC下方抛物线上的P点坐标为(2, ), 资95料整理【淘宝店铺:向阳百分百】关注公众号:陆陆高分冲刺 ~领取:最新版“小中高考-总复习”、最新试卷下载 同理,设直线BC上方抛物线上P点横坐标为n,则: , 解得:n= 或n= , 即P( , )或( , ), 综上所述,满足题意的P点坐标为(2, ),( , )或( , ). (3)解:过点N作NH⊥x轴,过D作DP⊥x轴,过M作MQ⊥x轴,垂足分别为H、P、Q,如图所示, 则NH∥PD∥MQ, ∴ , , ∴PD=2HN,QM=2HN, 即PD=QM, ∵∠MEQ=∠PED, ∴△MEQ≌△DEP, ∴QE=PE, 设OP=x,则BP=4-x,PH=BH= , ∴OH=OP+PH=x+ = ,OQ=2OH=4+x,PQ=4+2x,PE=2+x, ∵ , 资96料整理【淘宝店铺:向阳百分百】关注公众号:陆陆高分冲刺 ~领取:最新版“小中高考-总复习”、最新试卷下载 ∴ , 即PB=2PE, ∴4-x=2(2+x), 解得:x=0, 即P点为坐标原点,D在y轴上, ∴OQ=4,即Q(-4,0), ∴M(-4, ). 【点睛】本题考查了待定系数法求二次函数解析式、二次函数与三角形面积最值问题、平行线分线段成比 例性质、全等三角形证明等知识点,解题关键是利用平行线分线段成比例定理找出各线段间的关系. 53.(2023·河南周口·统考二模)如图所示的是一座古桥,桥拱为抛物线型, , 是桥墩,桥的跨径 为 ,此时水位在 处,桥拱最高点P离水面 ,在水面以上的桥墩 , 都为 .以 所在的直线为x轴、 所在的直线为y轴建立平面直角坐标系. (1)求此桥拱所在抛物线的表达式. (2)当水位上涨 时,若有一艘船在水面以上部分高 ,宽 ,问此船能否通过桥洞?请说明理由. 【答案】(1) (2)此船不能通过桥洞,理由见解析 【分析】(1)先求出点A,点B,点P的坐标,再把抛物线解析式设为顶点式进行求解即可; (2)求出当 时x的值,然后计算出两个对应的x的值之间的差值即可得到答案. 【详解】(1)解:由题意得,点A的坐标为 ,点B的坐标为 ,则点P的坐标为 , 设抛物线解析式为 , ∴ , 资97料整理【淘宝店铺:向阳百分百】关注公众号:陆陆高分冲刺 ~领取:最新版“小中高考-总复习”、最新试卷下载 ∴ , ∴抛物线解析式为 ; (2)解:此船不能通过桥洞,理由如下: 当 时,即 , 解得 或 , ∵ , ∴此船不能通过桥洞. 【点睛】本题主要考查了二次函数的实际应用,正确理解题意求出抛物线解析式是解题的关键. 54.(2023·浙江·一模)在平面直角坐标系中,当 和 时,二次函数 ( , 是常 数, )的函数值相等. (1)若该函数的最大值为 ,求函数的表达式,并写出函数图象的顶点坐标; (2)若该函数的图象与 轴有且只有一个交点,求 , 的值. (3)记(2)中的抛物线为 ,将抛物线 向上平移 个单位得到抛物线 ,当 时,抛物线 的 最大值与最小值之差为 ,求 的值. 【答案】(1) , ; (2) , ; (3) . 【分析】(1)根据二次函数的性质及对称轴即可解答; (2)根据二次函数与 轴的交点个数及二次函数的性质即可解答; (3)根据二次函数的平移规律及二次函数的性质即可解答. 【详解】(1)解:∵当 和 时,二次函数 ( , 是常数, )的函数值相等, ∴二次函数的对称轴为 , , ∵该函数的最大值为 , ∴该函数的顶点坐标为 , 资98料整理【淘宝店铺:向阳百分百】关注公众号:陆陆高分冲刺 ~领取:最新版“小中高考-总复习”、最新试卷下载 ∴ , ∴由①②可得: , ∴函数表达式为: ; (2)解:∵该函数的图象与 轴有且只有一个交点, ∴一元二次方程 ,该函数的顶点坐标为 , ∴ , , ∴由①②可得 (舍去), , ∴ , ; (3)解:由(2)可得 的解析式为: , ∵将抛物线 向上平移 个单位得到抛物线 , ∴ , ∴当 时, , ∵ 的顶点坐标为 ,且当 时,抛物线 的最大值与最小值之差为 , ∴ , 随 的增大而增大, ∴ , ∴ , ∴ , ∴ , ∵ , 资99料整理【淘宝店铺:向阳百分百】关注公众号:陆陆高分冲刺 ~领取:最新版“小中高考-总复习”、最新试卷下载 ∴ . 【点睛】本题考查了二次函数的性质,二次函数的顶点坐标,二次函数的最值,二次函数与 轴的交点坐 标,掌握二次函数的性质是解题的关键. 55.(2023·河南周口·统考二模)如图,某市民政局欲给敬老院修建一个半径为 米的圆形喷水池,在池 中心竖直安装一根水管,在水管的顶端 点处安一个喷水头,测得喷水头 距地面的高度为 ,水柱在 距喷水头 水平距离 处达到最高 ,建立如图所示的平面直角坐标系,并设抛物线的表达式为 ,其中 是水柱距喷水头的水平距离, 是水柱距地面的高度. (1)求抛物线的表达式; (2)请你通过计算说明喷出的水柱是否会落到圆形喷水池的外面. 【答案】(1) (2)喷出的水柱不会落到圆形喷水池的外面,见解析 【分析】(1)由顶点坐标为 ,设抛物线的表达式为 ,将 代入,求出 即可. (2)当 时,求出 的值,与半径 米进行比较即可得到结果. 【详解】(1)由题意可知,抛物线的顶点坐标为 , 则 , , 抛物线的表达式为 , 将 代入上式得, , 资10料0 整理【淘宝店铺:向阳百分百】关注公众号:陆陆高分冲刺 ~领取:最新版“小中高考-总复习”、最新试卷下载 解得, , 抛物线的表达式为 . (2)当 时, , 解得, , 舍去 , , 喷出的水柱不会落到圆形喷水池的外面. 【点睛】本题考查了二次函数的实际应用,解题关键是读懂题意,把实际问题转化为数学问题. 56.(2023·河北廊坊·校考三模)如图,二次函数的图像经过点 ,顶点坐标为 . (1)求这个二次函数的表达式; (2)当 时, 的取值范围为_______; (3)直接写出该二次函数的图像经过怎样的平移恰好过点 ,且与 轴只有一个公共点. 【答案】(1) (2) (3)该二次函数的图象向下平移3个单位长度或向左平移4个单位长度,再向下平移3个单位长度恰好经过 点 ,且与 轴只有一个公共点 【分析】(1)由题意设二次函数的顶点式,代入 进行计算即可得到答案; (2)由函数表达式可知:二次函数 的图象有最高点 ,对称轴是直线 ,从而可得 资10料1 整理【淘宝店铺:向阳百分百】关注公众号:陆陆高分冲刺 ~领取:最新版“小中高考-总复习”、最新试卷下载 此时 的取值范围; (3)该二次函数的图象平移后的顶点在 轴上,设它的表达式为 ,再把点 代入,求出 的值,即可得出结论. 【详解】(1)解: 二次函数的图像经过点 ,顶点坐标为 , 设这个二次函数的表达式为: , 把 代入得: , 解得: , 这个二次函数的表达式为: ; (2)解: ,二次函数的表达式为 , 二次函数 的图象有最高点 ,对称轴是直线 , 当 时, , 当 时, , 的取值范围为: , 故答案为: ; (3)解: 该二次函数的图象经过平移后,与 轴只有一个公共点, 该二次函数的图形平移后的顶点在 轴上,设它的表达式为 , 该二次函数的图像经过怎样的平移恰好过点 , , 解得: , 资10料2 整理【淘宝店铺:向阳百分百】关注公众号:陆陆高分冲刺 ~领取:最新版“小中高考-总复习”、最新试卷下载 即该函数的图象平移后的表达式为: 或 , 该二次函数的图象向下平移3个单位长度或向左平移4个单位长度,再向下平移3个单位长度恰好经过 点 ,且与 轴只有一个公共点. 【点睛】本题主要考查了待定系数法求二次函数的解析式、求二次函数的函数值的取值范围、二次函数图 象的平移,熟练掌握二次函数的图象与特征是解题的关键. 57.(2023·广东东莞·统考三模)如图,已知一次函数y=kx+b的图象经过A(﹣1,﹣5),B(0,﹣4) 两点且与x轴交于点C,二次函数y=ax2+bx+4的图象经过点A、点C. (1)求一次函数和二次函数的函数表达式; (2)连接OA,求∠OAB的正弦值; (3)若点D在x轴的正半轴上,是否存在以点D,C,B构成的三角形与 OAB相似?若存在,求出点D 的坐标;若不存在,请说明理由. △ 【答案】(1)y=x﹣4,y=﹣2x2+7x+4;(2) ;(3)存在,(6,0)或(20,0) 【分析】(1)利用待定系数法求出一次函数的解析式,然后根据与x轴的交点y=0,求出C的坐标,然后 根据A与C的坐标求出二次函数的解析式即可; (2)过O作OH⊥BC,垂足为H,证明△BOC为等腰直角三角形,求出OH= BC=2 ,然后求出 OA,即可求出∠OAB的正弦值; (3)利用勾股定理求出AH,再求出AB= ,然后分情况求出D点的坐标即可. 【详解】解:(1)∵一次函数y=kx+b的图象经过A(﹣1,﹣5),B(0,﹣4)两点, ∴﹣5=﹣k+b,b=﹣4,k=1, 资10料3 整理【淘宝店铺:向阳百分百】关注公众号:陆陆高分冲刺 ~领取:最新版“小中高考-总复习”、最新试卷下载 ∴一次函数解析式为:y=x﹣4, ∵一次函数y=x﹣4与x轴交于点C, ∴y=0时,x=4, ∴C(4,0), ∵二次函数y=ax2+bx+4的图象经过点A(﹣1,﹣5)、点C(4,0), ∴ , 解得a=﹣2,b=7, ∴二次函数的函数表达式为y=﹣2x2+7x+4; (2)过O作OH⊥BC,垂足为H, ∵C(4,0),B(0,﹣4), ∴OB=OC=4,即△BOC为等腰直角三角形, ∴BC= = =4 , ∴OH= BC=2 , 由点O(0,0),A(﹣1,﹣5),得:OA= , 在Rt△OAH中,sin∠OAB= = = ; (3)存在, 由(2)可知,△OBC为等腰直角三角形,OH=BH=2 , 在Rt△AOH中,根据勾股定理得:AH= = =3 , 资10料4 整理【淘宝店铺:向阳百分百】关注公众号:陆陆高分冲刺 ~领取:最新版“小中高考-总复习”、最新试卷下载 ∴AB=AH﹣BH= , ∴当点D在C点右侧时,∠OBA=∠DCB=135°, ①当 ,即 时,解得CD=2, ∵C(4,0),即OC=4, ∴OD=OC+CD=2+4=6, 此时D坐标为(6,0); ②当 ,即 时, 解得CD=16, ∵C(4,0),即OC=4,∴OD=OC+CD=16+4=20, 此时D坐标为(20,0), 综上所述,若△BCD与△ABO相似,此时D坐标为(6,0)或(20,0). 【点睛】本题主要考查了二次函数的综合,涉及了相似三角形的性质与判定,勾股定理,等腰直角三角形 的判定,综合性较强,熟练掌握各知识点并学会综合应用是解题的关键. 58.(2023·广东韶关·统考模拟预测)如图,抛物线 与 轴交于 两点,与 轴交于点 , 抛物线的对称轴交 轴于点 ,已知 . (1)求抛物线和直线 的函数解析式; (2)若点 是线段 上的一个动点,过点 作 轴的垂线与抛物线相交于点 ,求四边形 的最大面 积; (3)在抛物线的对称轴上找一点 ,使得以 为顶点的三角形与 相似,请直接写出点 的坐标. 资10料5 整理【淘宝店铺:向阳百分百】关注公众号:陆陆高分冲刺 ~领取:最新版“小中高考-总复习”、最新试卷下载 【答案】(1)抛物线的函数解析式为 ,直线 的函数解析式为 (2) (3)点P的坐标为 或 , , 【分析】(1)把点 代入抛物线 ,求解出m,n的值,即可得到抛物线的 函数解析式;设直线 的函数解析式为 ,把点 代入,求出k,b的值,即可得 到直线 的函数解析式; (2)设点E的横坐标为m( ),则 , , ,所以 ;因为点D的坐标为 ,所以 , , ,因此 ,当 时,四边形 的面积有最大值,为 ; (3)由于 ,且 为顶点的三角形与 相似,所以分两种情况讨论:① 或② .把 , , 的长代入,即可求得 的长,从而得到点P的坐标. 【详解】(1)∵抛物线 过点 资10料6 整理【淘宝店铺:向阳百分百】关注公众号:陆陆高分冲刺 ~领取:最新版“小中高考-总复习”、最新试卷下载 ,解得 ∴抛物线的函数解析式为 设直线 的函数解析式为 ∵直线 过 ,解得 ∴直线 的函数解析式为 . (2) 设点E的横坐标为m( ) ∵ 轴,点E在直线 上,点F在抛物线 上 ∴ , , 资10料7 整理【淘宝店铺:向阳百分百】关注公众号:陆陆高分冲刺 ~领取:最新版“小中高考-总复习”、最新试卷下载 ∵抛物线 的对称轴为 ∴点D的坐标为 ∵ , ∴当 时,四边形 的面积有最大值,为 . (3) ∵ , 为顶点的三角形与 相似 ∴分两种情况讨论:① 或② ①若 ,则 ∴ ∴点P的坐标为 或 ②若 ,则 ∴ 资10料8 整理【淘宝店铺:向阳百分百】关注公众号:陆陆高分冲刺 ~领取:最新版“小中高考-总复习”、最新试卷下载 ∴点P的坐标为 或 综上所述,点P的坐标为 或 , , . 【点睛】本题主要考查待定系数法求函数解析式,二次函数的最值,相似三角形的性质,由点的坐标得到 线段的长,进而表示出四边形的面积,再利用函数的最值是解题的常用方法. 59.(2023·江苏无锡·校考二模)已知二次函数 中,函数y与自变量x的部分对应值如表所 示,以下结论正确的是( ) x … 0 1 2 3 … y … 3 0 m 3 … A.抛物线 的开口向下 B.当 时,y随x增大而增大 C.当 时,x的取值范围是 D.方程 的根为0和2 【答案】D 【分析】根据表格确定对称轴的位置,进而求出 的值,画出二次函数的图象,利用数形结合的思想,进 行判断即可. 【详解】解:由表格可知: 和 的函数值相同,均为 , ∴抛物线的对称轴为直线 , ∴ 和 的函数值相等,即: , 根据五点作图法,得到二次函数的图象如下: 由图可知: 抛物线开口向上, 时, 随 值的增大而减小, 时, 随 值的增大而增大, 资10料9 整理【淘宝店铺:向阳百分百】关注公众号:陆陆高分冲刺 ~领取:最新版“小中高考-总复习”、最新试卷下载 当 时,x的取值范围是 或 , 抛物线与 轴交于 , ∴方程 的根为0和2; 综上: 选项错误,不符合题意, 选项正确,符合题意; 故选D. 【点睛】本题考查二次函数的图象和性质.熟练掌握数形结合的思想,是解题的关键. 60.(2023·江苏无锡·统考三模)如图,抛物线 与x轴交于点 . (1)求抛物线的函数表达式; (2)点 是抛物线上一点,点C是线段 上一点,连接 并延长交抛物线于点D,若 ,求 点D的坐标; (3)抛物线上是否存在点P,使得 ?若存在,求出点P的坐标:若不存在,说明理由. 【答案】(1) (2) (3)存在, 或 【分析】(1)把点A的坐标代入函数解析式中,求出b即可; (2)求出点B的坐标,求出直线 的解析式,过点C、D作x轴的垂线,垂足分别为E、F;设点C的坐 标后,则由相似三角形的性质,可表示出点D的坐标,由点D在抛物线上,则可求得点D的坐标; (3)存在;由定边定角知,作 的外接圆 ,连接 ,过M作 轴于N,则可得 是等腰直角三角形, 垂直平分 ,从而可求得M的坐标及圆的半径;设点P的坐标,由 资110料整理【淘宝店铺:向阳百分百】关注公众号:陆陆高分冲刺 ~领取:最新版“小中高考-总复习”、最新试卷下载 建立方程,即可求得点P的坐标. 【详解】(1)解:把点A的坐标代入函数解析式中, , 解得: , 故所求的解析式为 ; (2)解:∵点B在抛物线 , ∴ , 即 ; 设直线 解析式为为 , 则有 , 解得: , ∴直线 解析式为为 ; 过点C、D作x轴的垂线,垂足分别为E、F,如图, 设 ,则 ; ∵ , ∴ , ∴ , 资111料整理【淘宝店铺:向阳百分百】关注公众号:陆陆高分冲刺 ~领取:最新版“小中高考-总复习”、最新试卷下载 则 , ∴ ; ∵点D在抛物线 上, ∴ , 解得: , 则点D的坐标为 ; (3)解:存在; 如图,作 的外接圆 ,连接 ,过M作 轴于N, ∴ , ∴ 是等腰直角三角形, 垂直平分 , ∴ , ∴M的坐标为 , 的半径 ; 设点P的坐标为 , 则 , 即 , 由于 , ∴方程整理得: , 解得: , 资112料整理【淘宝店铺:向阳百分百】关注公众号:陆陆高分冲刺 ~领取:最新版“小中高考-总复习”、最新试卷下载 点P的坐标为 或 . 【点睛】本题是二次函数的综合,考查了待定系数法求函数解析式,二次函数的图象与性质,圆周角定理, 相似三角形的判定与性质,勾股定理,运用了方程思想,综合运用这些知识是解题的关键. 资113料整理【淘宝店铺:向阳百分百】