当前位置:首页>文档>专题16.6期末复习之填空压轴题十五大题型总结(人教版)(教师版)_初中数学_八年级数学上册(人教版)_母题专项-U66_2025版

专题16.6期末复习之填空压轴题十五大题型总结(人教版)(教师版)_初中数学_八年级数学上册(人教版)_母题专项-U66_2025版

  • 2026-04-06 06:54:37 2026-04-06 06:43:45

文档预览

专题16.6期末复习之填空压轴题十五大题型总结(人教版)(教师版)_初中数学_八年级数学上册(人教版)_母题专项-U66_2025版
专题16.6期末复习之填空压轴题十五大题型总结(人教版)(教师版)_初中数学_八年级数学上册(人教版)_母题专项-U66_2025版
专题16.6期末复习之填空压轴题十五大题型总结(人教版)(教师版)_初中数学_八年级数学上册(人教版)_母题专项-U66_2025版
专题16.6期末复习之填空压轴题十五大题型总结(人教版)(教师版)_初中数学_八年级数学上册(人教版)_母题专项-U66_2025版
专题16.6期末复习之填空压轴题十五大题型总结(人教版)(教师版)_初中数学_八年级数学上册(人教版)_母题专项-U66_2025版
专题16.6期末复习之填空压轴题十五大题型总结(人教版)(教师版)_初中数学_八年级数学上册(人教版)_母题专项-U66_2025版
专题16.6期末复习之填空压轴题十五大题型总结(人教版)(教师版)_初中数学_八年级数学上册(人教版)_母题专项-U66_2025版
专题16.6期末复习之填空压轴题十五大题型总结(人教版)(教师版)_初中数学_八年级数学上册(人教版)_母题专项-U66_2025版
专题16.6期末复习之填空压轴题十五大题型总结(人教版)(教师版)_初中数学_八年级数学上册(人教版)_母题专项-U66_2025版
专题16.6期末复习之填空压轴题十五大题型总结(人教版)(教师版)_初中数学_八年级数学上册(人教版)_母题专项-U66_2025版
专题16.6期末复习之填空压轴题十五大题型总结(人教版)(教师版)_初中数学_八年级数学上册(人教版)_母题专项-U66_2025版
专题16.6期末复习之填空压轴题十五大题型总结(人教版)(教师版)_初中数学_八年级数学上册(人教版)_母题专项-U66_2025版
专题16.6期末复习之填空压轴题十五大题型总结(人教版)(教师版)_初中数学_八年级数学上册(人教版)_母题专项-U66_2025版
专题16.6期末复习之填空压轴题十五大题型总结(人教版)(教师版)_初中数学_八年级数学上册(人教版)_母题专项-U66_2025版
专题16.6期末复习之填空压轴题十五大题型总结(人教版)(教师版)_初中数学_八年级数学上册(人教版)_母题专项-U66_2025版
专题16.6期末复习之填空压轴题十五大题型总结(人教版)(教师版)_初中数学_八年级数学上册(人教版)_母题专项-U66_2025版
专题16.6期末复习之填空压轴题十五大题型总结(人教版)(教师版)_初中数学_八年级数学上册(人教版)_母题专项-U66_2025版
专题16.6期末复习之填空压轴题十五大题型总结(人教版)(教师版)_初中数学_八年级数学上册(人教版)_母题专项-U66_2025版
专题16.6期末复习之填空压轴题十五大题型总结(人教版)(教师版)_初中数学_八年级数学上册(人教版)_母题专项-U66_2025版
专题16.6期末复习之填空压轴题十五大题型总结(人教版)(教师版)_初中数学_八年级数学上册(人教版)_母题专项-U66_2025版
专题16.6期末复习之填空压轴题十五大题型总结(人教版)(教师版)_初中数学_八年级数学上册(人教版)_母题专项-U66_2025版
专题16.6期末复习之填空压轴题十五大题型总结(人教版)(教师版)_初中数学_八年级数学上册(人教版)_母题专项-U66_2025版
专题16.6期末复习之填空压轴题十五大题型总结(人教版)(教师版)_初中数学_八年级数学上册(人教版)_母题专项-U66_2025版
专题16.6期末复习之填空压轴题十五大题型总结(人教版)(教师版)_初中数学_八年级数学上册(人教版)_母题专项-U66_2025版
专题16.6期末复习之填空压轴题十五大题型总结(人教版)(教师版)_初中数学_八年级数学上册(人教版)_母题专项-U66_2025版
专题16.6期末复习之填空压轴题十五大题型总结(人教版)(教师版)_初中数学_八年级数学上册(人教版)_母题专项-U66_2025版
专题16.6期末复习之填空压轴题十五大题型总结(人教版)(教师版)_初中数学_八年级数学上册(人教版)_母题专项-U66_2025版
专题16.6期末复习之填空压轴题十五大题型总结(人教版)(教师版)_初中数学_八年级数学上册(人教版)_母题专项-U66_2025版
专题16.6期末复习之填空压轴题十五大题型总结(人教版)(教师版)_初中数学_八年级数学上册(人教版)_母题专项-U66_2025版
专题16.6期末复习之填空压轴题十五大题型总结(人教版)(教师版)_初中数学_八年级数学上册(人教版)_母题专项-U66_2025版
专题16.6期末复习之填空压轴题十五大题型总结(人教版)(教师版)_初中数学_八年级数学上册(人教版)_母题专项-U66_2025版
专题16.6期末复习之填空压轴题十五大题型总结(人教版)(教师版)_初中数学_八年级数学上册(人教版)_母题专项-U66_2025版
专题16.6期末复习之填空压轴题十五大题型总结(人教版)(教师版)_初中数学_八年级数学上册(人教版)_母题专项-U66_2025版
专题16.6期末复习之填空压轴题十五大题型总结(人教版)(教师版)_初中数学_八年级数学上册(人教版)_母题专项-U66_2025版
专题16.6期末复习之填空压轴题十五大题型总结(人教版)(教师版)_初中数学_八年级数学上册(人教版)_母题专项-U66_2025版
专题16.6期末复习之填空压轴题十五大题型总结(人教版)(教师版)_初中数学_八年级数学上册(人教版)_母题专项-U66_2025版
专题16.6期末复习之填空压轴题十五大题型总结(人教版)(教师版)_初中数学_八年级数学上册(人教版)_母题专项-U66_2025版
专题16.6期末复习之填空压轴题十五大题型总结(人教版)(教师版)_初中数学_八年级数学上册(人教版)_母题专项-U66_2025版
专题16.6期末复习之填空压轴题十五大题型总结(人教版)(教师版)_初中数学_八年级数学上册(人教版)_母题专项-U66_2025版
专题16.6期末复习之填空压轴题十五大题型总结(人教版)(教师版)_初中数学_八年级数学上册(人教版)_母题专项-U66_2025版
专题16.6期末复习之填空压轴题十五大题型总结(人教版)(教师版)_初中数学_八年级数学上册(人教版)_母题专项-U66_2025版
专题16.6期末复习之填空压轴题十五大题型总结(人教版)(教师版)_初中数学_八年级数学上册(人教版)_母题专项-U66_2025版
专题16.6期末复习之填空压轴题十五大题型总结(人教版)(教师版)_初中数学_八年级数学上册(人教版)_母题专项-U66_2025版
专题16.6期末复习之填空压轴题十五大题型总结(人教版)(教师版)_初中数学_八年级数学上册(人教版)_母题专项-U66_2025版
专题16.6期末复习之填空压轴题十五大题型总结(人教版)(教师版)_初中数学_八年级数学上册(人教版)_母题专项-U66_2025版
专题16.6期末复习之填空压轴题十五大题型总结(人教版)(教师版)_初中数学_八年级数学上册(人教版)_母题专项-U66_2025版
专题16.6期末复习之填空压轴题十五大题型总结(人教版)(教师版)_初中数学_八年级数学上册(人教版)_母题专项-U66_2025版
专题16.6期末复习之填空压轴题十五大题型总结(人教版)(教师版)_初中数学_八年级数学上册(人教版)_母题专项-U66_2025版
专题16.6期末复习之填空压轴题十五大题型总结(人教版)(教师版)_初中数学_八年级数学上册(人教版)_母题专项-U66_2025版
专题16.6期末复习之填空压轴题十五大题型总结(人教版)(教师版)_初中数学_八年级数学上册(人教版)_母题专项-U66_2025版
专题16.6期末复习之填空压轴题十五大题型总结(人教版)(教师版)_初中数学_八年级数学上册(人教版)_母题专项-U66_2025版
专题16.6期末复习之填空压轴题十五大题型总结(人教版)(教师版)_初中数学_八年级数学上册(人教版)_母题专项-U66_2025版
专题16.6期末复习之填空压轴题十五大题型总结(人教版)(教师版)_初中数学_八年级数学上册(人教版)_母题专项-U66_2025版
专题16.6期末复习之填空压轴题十五大题型总结(人教版)(教师版)_初中数学_八年级数学上册(人教版)_母题专项-U66_2025版
专题16.6期末复习之填空压轴题十五大题型总结(人教版)(教师版)_初中数学_八年级数学上册(人教版)_母题专项-U66_2025版
专题16.6期末复习之填空压轴题十五大题型总结(人教版)(教师版)_初中数学_八年级数学上册(人教版)_母题专项-U66_2025版
专题16.6期末复习之填空压轴题十五大题型总结(人教版)(教师版)_初中数学_八年级数学上册(人教版)_母题专项-U66_2025版
专题16.6期末复习之填空压轴题十五大题型总结(人教版)(教师版)_初中数学_八年级数学上册(人教版)_母题专项-U66_2025版
专题16.6期末复习之填空压轴题十五大题型总结(人教版)(教师版)_初中数学_八年级数学上册(人教版)_母题专项-U66_2025版
专题16.6期末复习之填空压轴题十五大题型总结(人教版)(教师版)_初中数学_八年级数学上册(人教版)_母题专项-U66_2025版
专题16.6期末复习之填空压轴题十五大题型总结(人教版)(教师版)_初中数学_八年级数学上册(人教版)_母题专项-U66_2025版
专题16.6期末复习之填空压轴题十五大题型总结(人教版)(教师版)_初中数学_八年级数学上册(人教版)_母题专项-U66_2025版
专题16.6期末复习之填空压轴题十五大题型总结(人教版)(教师版)_初中数学_八年级数学上册(人教版)_母题专项-U66_2025版
专题16.6期末复习之填空压轴题十五大题型总结(人教版)(教师版)_初中数学_八年级数学上册(人教版)_母题专项-U66_2025版
专题16.6期末复习之填空压轴题十五大题型总结(人教版)(教师版)_初中数学_八年级数学上册(人教版)_母题专项-U66_2025版
专题16.6期末复习之填空压轴题十五大题型总结(人教版)(教师版)_初中数学_八年级数学上册(人教版)_母题专项-U66_2025版
专题16.6期末复习之填空压轴题十五大题型总结(人教版)(教师版)_初中数学_八年级数学上册(人教版)_母题专项-U66_2025版
专题16.6期末复习之填空压轴题十五大题型总结(人教版)(教师版)_初中数学_八年级数学上册(人教版)_母题专项-U66_2025版
专题16.6期末复习之填空压轴题十五大题型总结(人教版)(教师版)_初中数学_八年级数学上册(人教版)_母题专项-U66_2025版
专题16.6期末复习之填空压轴题十五大题型总结(人教版)(教师版)_初中数学_八年级数学上册(人教版)_母题专项-U66_2025版
专题16.6期末复习之填空压轴题十五大题型总结(人教版)(教师版)_初中数学_八年级数学上册(人教版)_母题专项-U66_2025版
专题16.6期末复习之填空压轴题十五大题型总结(人教版)(教师版)_初中数学_八年级数学上册(人教版)_母题专项-U66_2025版
专题16.6期末复习之填空压轴题十五大题型总结(人教版)(教师版)_初中数学_八年级数学上册(人教版)_母题专项-U66_2025版
专题16.6期末复习之填空压轴题十五大题型总结(人教版)(教师版)_初中数学_八年级数学上册(人教版)_母题专项-U66_2025版
专题16.6期末复习之填空压轴题十五大题型总结(人教版)(教师版)_初中数学_八年级数学上册(人教版)_母题专项-U66_2025版
专题16.6期末复习之填空压轴题十五大题型总结(人教版)(教师版)_初中数学_八年级数学上册(人教版)_母题专项-U66_2025版
专题16.6期末复习之填空压轴题十五大题型总结(人教版)(教师版)_初中数学_八年级数学上册(人教版)_母题专项-U66_2025版
专题16.6期末复习之填空压轴题十五大题型总结(人教版)(教师版)_初中数学_八年级数学上册(人教版)_母题专项-U66_2025版
专题16.6期末复习之填空压轴题十五大题型总结(人教版)(教师版)_初中数学_八年级数学上册(人教版)_母题专项-U66_2025版
专题16.6期末复习之填空压轴题十五大题型总结(人教版)(教师版)_初中数学_八年级数学上册(人教版)_母题专项-U66_2025版
专题16.6期末复习之填空压轴题十五大题型总结(人教版)(教师版)_初中数学_八年级数学上册(人教版)_母题专项-U66_2025版

文档信息

文档格式
docx
文档大小
3.114 MB
文档页数
77 页
上传时间
2026-04-06 06:43:45

文档内容

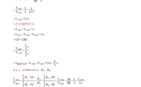
专题 16.6 期末复习之填空压轴题十五大题型总结 【人教版】 【题型1 由三角形的中线求面积】..........................................................................................................................1 【题型2 由三角形的内(外)角和求角度】...............................................................................................................6 【题型3 由全等三角形的判定与性质求线段长度】...........................................................................................13 【题型4 由全等三角形的判定与性质求角度】...................................................................................................20 【题型5 与全等三角形有关的动点问题】...........................................................................................................26 【题型6 几何图形最值问题】................................................................................................................................33 【题型7 构造等腰三角形求值】............................................................................................................................38 【题型8 等腰三角形的存在性问题】....................................................................................................................44 【题型9 与整式乘除有关的化简求值】................................................................................................................52 【题型10 利用整式乘法解决图形面积问题】.......................................................................................................54 【题型11 利用因式分解解决最值问题】................................................................................................................58 【题型12 利用因式分解解决整除问题】................................................................................................................61 【题型13 分式的化简求值】....................................................................................................................................64 【题型14 由分式方程的解求字母的值】................................................................................................................68 【题型15 分式方程的实际应用】............................................................................................................................71 【题型1 由三角形的中线求面积】 【例1】(23-24八年级·黑龙江哈尔滨·期中)如图,三角形ABC,点D在BC上且CD=2BD,点E在AB 上且3AE=2BE,AD与CE交点F,点G为CF的中点,连接BG,BF,若△BFG和△AEF的面积的和为 19,则四边形BEFD的面积= . 【答案】16 【分析】本题主要考查三角形的面积公式求解,设S =x,S = y.可可得出x+ y=19,由已知条件 △AEF △BFGS 1 2.5x 得出结合等高的三角形面积比为底边边长之比得出 △AFB = = ,进而得出4 y=15x,联立方程组解 S 2 S △AFC △AFC 2 出x,y的值,再由已知条件得出S =S +S =1.5x+ y,最后代入求值即可求得答案. △BEFD △BEF △BDF 3 【详解】解:设S =x,S = y △AEF △BFG ∴x+ y=19, AE 2 ∵3AE=2BE,即 = BE 3 S 2 x ∴ △AEF = = , S 3 1.5x △BEF ∴S =2.5x, △AFB ∵点G为CF的中点, ∴S =S = y, △BFG △BCG ∴S =S +S =2y, △BCF △BFG △BCG ∵CD=2BD, 2 y S 3 ∴ △BDF = , S 4 △CDF y 3 2 ∴S =S +S =1.5x+ y, 四边形BEFD △BEF △BDF 3 设点A,B到FC的高为:ℎ ,ℎ , A B 1 1 ℎ ⋅FC ℎ ⋅EF S 2 A ℎ 2 A S AE 2 S △AFC = = A = = △AEF = = = △AFC , S 1 ℎ 1 S BE 3 2y △BFC ℎ ⋅FC B ℎ ⋅EF △BFE 2 B 2 B 4 ∴S = y, △AFC 3 BD 1 ∵ = , CD 2 S 1 2.5x 同理可得: △AFB = = , S 2 S △AFC △AFC4 ∴S =5x= y, △AFC 3 ∴4 y=15x {x+ y=19) ∴ 4 y=15x {y=15) 解得: , x=4 2 S =S +S =1.5x+ y=16, 四 边 形BEF△DBEF △BDF 3 故答案为:16. BD a 【变式1-1】(23-24八年级·江苏南京·期中)如图1,点D在△ABC边BC上,我们知道若 = ,则 CD b S a AF △ABD = ;反之亦然.如图2,BE是△ABC的中线,点F在边AB上,BE、CF相交于点O,若 =m, S b BF △ACD OE 则 = . OB m 1 【答案】 / m 2 2 【分析】本题主要考查三角形中线、三角形的面积,当两个三角形同底时,面积比等于高之比;当两个三 AF S 角形同高时,面积比等于底之比.设S =S =x,则S =2x,由 =m可得 ΔAOF =m, ΔAOE ΔCOE ΔAOC BF S ΔBOF S ΔACF =m,设S = y,则S =my,于是S =2x+my,S = y+S ,利用S =mS S ΔBOF ΔAOF ΔACF ΔBCF ΔBOC ΔACF ΔBCF ΔBCF2x OE S 列出方程,求得S = ,则 = ΔCOE . ΔBOC m OB S ΔBOC 【详解】解:如图,连接AO, ∵BE是△ABC的中线, ∴S =S ,S =S , ΔABE ΔCBE ΔAOE ΔCOE 设S =S =x, ΔAOE ΔCOE ∴S =2x, ΔAOC AF ∵ =m, BF S S ∴ ΔAOF =m, ΔACF =m, S S ΔBOF ΔBCF 设S = y,则S =my, ΔBOF ΔAOF ∴S =S +S =2x+my, ΔACF ΔAOC ΔAOF S =S +S = y+S , ΔBCF ΔBOF ΔBOC ΔBOC ∵S =mS , ΔACF ΔBCF ∴2x+ny=m(y+S ), ΔBOC 2x ∴S = , ΔBOC m OE S x m = ΔCOE = = ∴ OB S 2x 2. ΔBOC m 【变式1-2】(23-24八年级·湖北武汉·阶段练习)如图,四边形ABCD的边DA和CB延长相交于E,H和 G分别是BD和AC的中点,已知四边形ABCD的面积为33,则△EHG的面积为33 1 【答案】 /8.25/8 4 4 【分析】本题考查掌握三角形面积的求法、三角形中位线的性质.连接AH,CH,BG,设 S =S =m,S =S =n,则S +S =2m+2n, S =4m+4n,设S =x,则 △AHG △HGC △ABG △BGC △ADH △DHC 四边形ABCD △ABE 33+x S =S +S = 即可. △EHC △EHB △CHB 2 【详解】解:连接AH,CH,BG,如图: 设S =S =m,S =S =n, △AHG △HGC △ABG △BGC ∵S =S ,S =S , △ADH △AHB △DHC △BHC ∴S +S =S +S =2m+2n, △ADH △DHC △AHB △BHC ∴S =2(S +S )=4m+4n, 四边形ABCD △ADH △DHC 33 ∴m+n= , 4 33+x 设S =x,则S =S +S = , △ABE △EHC △EHB △CHB 2 33+x 2n+x 33 33 33 33 ∴S =S −S −S = − −m= −n−m= − = . △EHG △EHC △EGC △HGC 2 2 2 2 4 4 33 故答案为: . 4 【变式1-3】(23-24八年级·江苏南京·期末)如图,在△ABC中,D是边AB的中点,E、F分别是边AC上 的三等分点,连接BE、BF分别交CD于G、H点,若△ABC的面积为90,则四边形EFHG的面积为 .33 【答案】 2 【分析】如图: 连接AH,设S =a,S =b,根据“等底同高的三角形面积相等”可得 △CFH △ADH 2 1 S = S =60、S =3a、S =S −S =2a、S =S = S =45、 △ABF 3 △ABC △ACH △AFH △ACH △CFH △ADC △BDC 2 △ABC S =S =b,进而列出二元一次方程组 {3a+b=45 ) 求解可得S = 15 ;同理:连接AG,设 △AHD △BHD 2b+2a=60 △CFH 2 S =c,S =d,可得S =c+d=9+12=21,最后根据S =S −S −S 即可解 △ADG △AEG △ADGE EFHG △ADC △ADGE △DHF 答. 【详解】解: 如图: 连接AH,设S =a,S =b, △CFH △ADH AC △ABC E、F分别是边 上的三等分点, 的面积为90, 1 2 ∴AE=EF=CF= AC,S = S =60,S =3a,S =S −S =2a 3 △ABF 3 △ABC △ACH △AFH △ACH △CFH ∵D是边AB的中点, 1 ∴S =S = S =45,S =S =b △ADC △BDC 2 △ABC △AHD △BHD ∵S =S +S =45,即3a+b=45,S =S +S ,即2b+2a=60 △ADC △ACH △ADH △ABF △ABH △AFH 15 { a= ) ∴ {3a+b=45 ) ,解得: 2 ,即S = 15 ; 2b+2a=60 45 △CFH 2 b= 2 如图: 连接AG,设S =c,S =d, △ADG △AEG∴S =2c, S =3d △ABG △AGC ∵S =S +S ,即c+3d=45,S =S +S ,即2c+d=30 △ADC △ADG △AGC △ABE △ABG △AEG {c+3d=45) {c=9 ) ∴ ,解得: ; 2c+d=30 d=12 ∴S =c+d=9+12=21, △ADGE 15 33 . S =S −S −S =45−21− = . EFHG △ADC △ADGE △DHF 2 2 33 故答案为 . 2 【点睛】本题主要考查了三角形中线、三角形的等分点、解二元一次方程组等知识点,通过做辅助线、明 确各三角形之间的面积关系是解答本题的关键. 【题型2 由三角形的内(外)角和求角度】 1 【例2】(23-24八年级·黑龙江哈尔滨·期中)如图,AB∥CD,∠BEH= ∠GEH, n 1 ∠DFK= ∠GFK,∠EGF=90°,∠FPQ−∠EQP=25°,则n的值为 . n 【答案】2.6 【分析】此题主要考查了平行线的性质,三角形的内角和定理,角的计算,准确识图,熟练掌握平行线的 性质,三角形的内角和定理是解决问题的关键.设EG和PQ交于点O,连接OF,延长EG交CD于T,设 ∠BEH=α,∠DFK=β,则∠GEH=nα,∠GFK=nβ,∠BEG=(n+1)α,∠DFG=(n+1)β, ∠GFT=180°−(n+1)β,根据AB∥CD得∠GTF=∠BEG=(n+1)α,由三角形内角和定理得(n+1)(β−α)=90°①,n(β−α)=65°②,由①②即可求出n的值. 【详解】解:设EG和PQ交于点O,连接OF,延长EG交CD于T,如图所示: 设∠BEH=α,∠DFK=β, 1 1 ∵∠BEH= ∠GEH,∠DFK= ∠GFK, n n ∴∠GEH=nα,∠GFK=nβ, ∴∠BEG=∠BEH+∠GEH=(n+1)α,∠DFG=∠DFK+∠GFK=(n+1)β, ∴∠GFT=180°−∠DFG=180°−(n+1)β, ∵AB∥CD, ∴∠GTF=∠BEG=(n+1)α, ∵∠EGF=90°, ∴∠FGT=180°−∠EGF=90°, 在△GFT中,∠GTF+∠GFT+∠FGT=180°, ∴(n+1)α+180°−(n+1)β+90°=180°, ∴(n+1)(β−α)=90°①, ∵∠FPQ−∠EQP=25°, ∴∠FPQ=25°+∠EQP, 在△OEQ中,∠GEH+∠EQP+∠EOQ=180°, ∴∠EOQ=180°−∠GEH−∠EQP=180°−nα−∠EQP, 在△OPF中,∠POF+∠PFO+∠FPQ=180°, 在△OGF中,∠GOF+∠GFO+∠EGF=180°, ∴∠POF+∠PFO+∠FPQ+∠GOF+∠GFO+∠EGF=360°, 即∠POG+∠GFK+∠EGF+∠FPQ=360°, ∴∠POG+nβ+90°+25°+∠EQP=360°, 即∠POG=245°−nβ−∠EQP, ∵∠EOQ=∠POG, ∴180°−nα−∠EQP=245°−nβ−∠EQP,∴n(β−α)=65°②, ①÷②得:(n+1):n=90:65, ∴18n=13(n+1). 解得:n=2.6. 故答案为:2.6. 【变式2-1】(23-24八年级·福建厦门·期末)已知(如图)在四边形ABCD中,AB∥CD,AD∥BC. 点E是BA延长线上的一点,连接CE,∠ABC的平分线与∠ECD的平分线相交于点P.CE与AD,BP分 别相交于点F,Q.CG平分∠BCP,∠AFE=∠P+30°,∠D=3∠DCP.则∠BQC= . 【答案】70° 【分析】利用平行线的性质证明∠D=∠ABC,即有∠D=∠ABC=3∠DCP,设∠DCP=x,即 1 3 ∠D=∠ABC=3x,根据角平分线的定义可得∠ECP=∠DCP=x,∠PBC= ∠ABC= x,根据 2 2 ∠ABC+∠BCD=180°,∠ABC+∠BCE+∠ECP+∠DCP=180°,可得∠BCE=180°−5x,进而 5 有∠BCP=∠BCE+∠ECP=180°−4x,即可得∠P=180°−∠BCP−∠PBC= x,再根据 2 5 ∠AFE=∠P+30°,可得∠P=150°−5x= x,问题得解. 2 【详解】∵AB∥CD, ∴∠ABC+∠BCD=180°, ∵AD∥BC, ∴∠D+∠BCD=180°, ∴∠D=∠ABC, ∵∠D=3∠DCP,∴∠D=∠ABC=3∠DCP, 设∠DCP=x,即∠D=∠ABC=3x, ∵CP平分∠ECD,BP平分∠ABC, 1 3 ∴∠ECP=∠DCP=x,∠PBC= ∠ABC= x, 2 2 ∵∠ABC+∠BCD=180°, ∴∠ABC+∠BCE+∠ECP+∠DCP=180°, ∴3x+∠BCE+x+x=180°, ∴∠BCE=180°−5x, ∴∠BCP=∠BCE+∠ECP=180°−4x, 5 ∴∠P=180°−∠BCP−∠PBC= x, 2 ∵AD∥BC, ∴∠AFE=∠BCE=180°−5x, ∵∠AFE=∠P+30°, ∴180°−5x=∠P+30°,即∠P=150°−5x, 5 ∴∠P=150°−5x= x,解得:x=20°, 2 ∵∠BQC=∠P+∠ECP=∠P+x, 5 ∴∠BQC=∠P+∠ECP= x+x=70°, 2 故答案为:70°. 【点睛】本题主要考查了平行线的性质,三角形内角和定理,三角形外角的定义与性质,角平分线的定义 以及一元一次方程的应用等知识,耐心仔细地理清图中各角度之间的关系是解答本题的关键. 【变式2-2】(23-24八年级·浙江杭州·阶段练习)如图,在ΔABC中,∠B=90°,分别作其内角∠ACB 与外角∠DAC的平分线,且两条角平分线所在的直线交于点E,则∠E= 度;分别作∠EAB与 ∠ECB的平分线,且两条角平分线交于点F,则∠AFC= 度.【答案】 45 67.5 1 1 【分析】①由角平分线的性质可得∠DAP=∠PAC= ∠DAC,∠ACH=∠HCB= ∠ACB,由外角 2 2 的性质可得出∠DAP与∠ACH的关系,由三角形的内角和定理写出∠E的表达式,将∠DAP代入求解即 可; 1 1 ②由角平分线的性质可得:∠EAF=∠FAB= ∠EAB,∠ECF=∠FCB= ∠ECB,由三角形的外角 2 2 的性质分别得出:∠E+∠EAF=∠F+∠ECF,∠E+∠EAB=∠B+∠ECB,将对应角的度数代入求 解即可. 【详解】①由角平分线的性质可得: 1 1 ∠DAP=∠PAC= ∠DAC, ∠ACH=∠HCB= ∠ACB, 2 2 由外角的性质可得: ∠DAC=∠B+∠ACB, ∴2∠DAP=90°+2∠ACH, ∴∠DAP=45°+∠ACH, ∴ ∠E=180°−(∠EAH+∠EHA) =180°−(∠DAP+∠HAC+∠ACH) =180°−(45°+∠ACH+∠HAC+∠ACH) =180°−(45°+90°) =45°;②由角平分线的性质可得: 1 1 ∠EAF=∠FAB= ∠EAB,∠ECF=∠FCB= ∠ECB, 2 2 由三角形的外角的性质可得: ∠E+∠EAF=∠F+∠ECF ∴45°+∠EAF=∠F+∠ECF, ∴∠F=45°+∠EAF−∠ECF, 同理可得: ∠E+∠EAB=∠B+∠ECB, ∴45°+2∠EAF=90°+2∠ECF, ∴∠EAF−∠ECF=22.5°, ∴∠F=45°+22.5°=67.5°. 故答案为:①45;②67.5 【点睛】本题主要考查三角形的内角和定理、外角的性质以及角平分线的性质,根据定理列式并将式子变 形求解是解题的关键. 【变式2-3】(23-24八年级·全国·单元测试)如图,已知AB∥CD,∠BAC=120°,点M为射线AB上 一动点,连接MC,作CP平分∠ACM交直线AB于点P在直线AB上取点N,连接NC,使 1 ∠ANC=2∠AMC,当∠PCN= ∠PNC时,∠PCM= . 4【答案】22.5°或5° 【分析】本题主要考查了平行线的性质,角平分线的定义,三角形的外角定理,解决本题的关键是准确识 图,熟练掌握平行线的性质. 根据点N与点A,点P的位置分三种情况讨论,分别画出图形根据平行线的性质推导即可. 【详解】解:①当点N在点P的右侧时, 设∠PCN=α, 1 ∵∠PCN= ∠PNC, 4 ∴∠PNC=4α, ∴∠ANC=4α=2∠AMC, ∴∠AMC=2α, ∵AB∥CD, ∴∠AMC=∠MCD=2α, ∵∠ANC=∠AMC+∠NCM, ∴∠AMC=∠NCM=2α, ∴∠PCM=∠PCN+∠NCM=3α, ∵CP平分∠ACM, ∴∠PCM=∠ACP=3α, ∴∠ACD=2∠ACP+∠MCD=6α+2α=8α, ∵AB∥CD,∠BAC=120°, ∴∠ACD=180°−120°=60°, ∴8α=60°, 15 ∴α= , 2 ∴∠PCM=3α=22.5°; ②当点N在点A的左侧时,设∠PCN=α,∠ACP=β, ∵CP平分∠ACM, ∴∠PCM=∠ACP=β, ∴∠ACN=∠PCN−∠ACP=α−β, ∴∠PNC=4∠PCN=4α,∠NMC=2α, ∵AB∥CD,∠BAC=120°, ∴∠NMC=∠MCD=2α,∠ACD=180°−∠BAC=60°, ∴∠MCD=∠ACD−∠ACP=60°−2β, ∴2α=60°−2β,即:α=30°−β, ∵∠CAB=∠PNC+∠ACN, ∴120°=4α+α−β, ∴5α−β=120°, 将α=30°−β代入上式解得:β=5°, ∴∠PCM=β=5°; ③当点N在A,P之间时, 设∠PCN=α,∠ACN=β,则∠ACP=α+β, ∵CP平分∠ACM, ∴∠ACP=∠PCM=α+β,∠ACM=2(α+β), ∴∠MCD=60°−∠ACM=60°−2(α+β), 由已知得:∠PNC=4∠PCN=4α, ∴∠ANC=180°−∠PNC=180°−4α, ∵∠ANC=2∠NMC, ∴∠NMC=90°−2α,∵∠NMC=∠MCD, ∴90°−2α=60°−2(α+β), ∴β=−15°,不合题意,此种情况不存在. 综上所述:∠PCM的度数为22.5°或5°. 故答案为:22.5°或5°. 【题型3 由全等三角形的判定与性质求线段长度】 【例3】(23-24八年级·山东淄博·期中)在钝角△ABC中,AD是BC边上的高,BE是AC边上的高,这两 条高所在的直线相交于点O,若BO=AC,BC=a,CD=b,则AD的长为 . 【答案】a−b或b−a或b+a 【分析】本题考查全等三角形的判定与性质,三角形的高,可以证明△BOD≌△ACD(AAS),得到 AD=BD,然后再分别根据不同点为钝角顶点画出图形,结合图形求出AD=BD的值即可. 【详解】解:当B为钝角顶点时,图形如下: ∵AD是BC边上的高,BE是AC边上的高, ∴∠ADC=∠BDO=∠CEB=90°, ∴∠O+∠DBO=∠CBE+∠C=90°, ∵∠DBO=∠CBE, ∴∠O=∠C, ∵BO=AC, ∴△BOD≌△ACD(AAS), ∴AD=BD, ∵BC=a,CD=b, ∴AD=BD=CD−CB=b−a; 当C为钝角顶点时,同理可得△BOD≌△ACD(AAS), ∴AD=BD, ∵BC=a,CD=b, ∴AD=BD=CD+CB=b+a; 当A为钝角顶点时, 同理可得△BOD≌△ACD(AAS), ∴AD=BD, ∵BC=a,CD=b, ∴AD=BD=CB−CD=a−b; 故答案为:a−b或b−a或b+a. 【变式3-1】(23-24八年级·全国·课后作业)如图,在四边形ABCD中,AB=AD,∠B+∠D=180°, 1 E,F分别是BC,CD上的点,∠EAF= ∠BAD,线段BE,EF,FD之间的数量关系是 . 2【答案】EF=BE+DF 【分析】本题考查了全等三角形的判定和性质,延长FD至点H,使得DH=BE,连接AH,可证 1 △ABE≌△ADH(SAS)得到AE=AH,∠BAE=∠DAH,进而由∠EAF= ∠BAD可得 2 ∠HAF=∠EAF,即可证得△AEF≌△AHF(SAS),得到HF=EF,即可由HF=HD+DF得到 EF=BE+DF,正确作出辅助线是解题的关键. 【详解】解:如图,延长FD至点H,使得DH=BE,连接AH, ∵∠B+∠ADF=180°,∠ADF+∠ADH=180°, ∴∠B=∠ADH, 在△ABE和△ADH中, { BE=DH ) ∠B=∠ADH , AB=AD ∴△ABE≌△ADH(SAS), ∴AE=AH,∠BAE=∠DAH, 1 ∵∠EAF= ∠BAD, 2 1 ∴∠BAE+∠FAD=∠BAD−∠EAF= ∠BAD, 2 1 即∠HAD+∠DAF=∠HAF= ∠BAD, 2 ∴∠HAF=∠EAF, 在△AEF和△AHF中, { AE=AH ) ∠EAF=∠HAF , AF=AF ∴△AEF≌△AHF(SAS), ∴HF=EF=HD+DF, ∵HF=HD+DF, ∴EF=HD+DF 又∵DH=BE, ∴EF=BE+DF.【变式3-2】(23-24八年级·浙江金华·阶段练习)如图所示,在等腰Rt△ABC中,∠ACB=90°,点D为 射线CB上的动点,AE=AD,且AE⊥AD,BE与AC所在的直线交于点P,若CD=3BD,则PC与AC 的比值为 . 1 1 【答案】 或 4 8 【分析】本题主要考查了三角形全等的判定和性质,解题的关键是作出辅助线,分两种情况讨论,构造全 等三角形解决问题. 作EH⊥AC,交AC(或AC的延长线)于H,利用AAS证明△ACD≌△EHA,得AC=EH,DC=AH, 再证明△CBP≌△HEP(AAS),得PC=HP,从而解决问题.注意分两种情况讨论,即点D在线段CB外 和在线段CB上. 【详解】解:①当点D在线段CB的延长线上时,作EH⊥AC,交AC的延长线于点H, ∵AE⊥AD, ∴∠DAE=90°, ∴∠DAC+∠EAH=∠EAH+∠AEH=90°,∴∠DAC=∠AEH, ∵∠ACB=∠H=90°,DA=AE ∴△ACD≌△EHA(AAS), ∴AC=EH,DC=AH, ∵AC=BC, ∴BC=EH, ∵∠CPB=∠HPE,∠BCP=∠H, ∴△CBP≌△HEP(AAS), ∴PC=HP, ∵CD=3BD, 设BD=x,则CD=3x, ∴AC=BC=2x,CD=AH=3x, ∴CH=AH−AC=x, 1 1 ∴CP= CH= x 2 2 1 x ∴PC 2 1; = = AC 2x 4 当点D在CB上时,作EH⊥AC,交AC于点H, ∵AE⊥AD, ∴∠DAE=90°, ∴∠DAC+∠EAH=∠EAH+∠AEH=90°, ∴∠DAC=∠AEH, ∵∠ACB=∠EHP=90°,DA=AE ∴△ACD≌△EHA(AAS), ∴AC=EH,DC=AH, ∵AC=BC,∴BC=EH, ∵∠CPB=∠HPE,∠BCP=∠EHP, ∴△CBP≌△HEP(AAS), ∴PC=HP, 设BD=x,则CD=3x, ∴AC=BC=4x,CD=AH=3x, ∴CH=AH−AC=x, 1 1 ∴CP= CH= x 2 2 1 x ∴PC 2 1; = = AC 4x 8 1 1 故答案为: 或 . 4 8 【变式3-3】(23-24八年级·山东日照·阶段练习)如图,△ABC中,∠C=90°,角平分线AD、BE相交 于P,AP=3PD,BD=3,则AE= . 9 【答案】 2 【分析】本题考查了全等三角形的性质和判定,角平分线的性质,正确的作出辅助线,利用三角形面积关 系和底边的关系的相互转化是解题的关键;在线段AB上截取AM=AE,BN=BD=3,连接PM, PN, 过M作MH⊥AP于H,MJ⊥PN于J,利用双角平分线证明△AEP≌△AMP(SAS), △DBP≌△NBP(SAS),∠APM=∠MPN=∠DPB=∠BPN=45°,利用角平分线的性质证明 S AM AP MH=MJ,进而求出 △APM = = =3,S =3S ,再根据面积关系,求出BN=2MN,即可 S MN PD △ABP △BDP △PMN 求出AE. 【详解】解:在线段AB上截取AM=AE,BN=BD=3,连接PM, PN,过M作MH⊥AP于H, MJ⊥PN于J,如图;∵ AD ∠BAC 平分 , 1 ∴∠PAE=∠PAM= ∠CAB, 2 ∵EA=MA,AP=AP, ∴△AEP≌△AMP(SAS), ∴∠APE=∠APM,PE=PM, ∵ BE平分∠ABC, 1 ∴∠DBP=∠NBP= ∠CBA, 2 ∵BN=BD,BP=BP, ∴△DBP≌△NBP(SAS), ∴∠DPB=∠BPN,PD=PN, ∵∠C=90°, 1 ∴∠DPB=∠PAB+∠PBA= (∠CAB+∠CBA)=45°, 2 ∴∠APM=∠MPN=∠DPB=∠BPN=45°, ∵MH⊥PA,MJ⊥PN, ∴MH=MJ, 又∵AP=3PD, 1 ⋅AP⋅MH S AM 2 AP AP ∴ △APM = = = = =3,S =3S , S MN 1 PN PD △ABP △BDP △PMN ⋅PN⋅MJ 2 ∴AM=3MN,S =3S ,S +S +S =3S , △APM △BMN △APM △PMN △BNP △BDP ∵△DBP≌△NBP, ∴S =S , △BDP △BNP ∴3S +S +S =3S , △PMN △PMN △BNP △BNP ∴S =2S , △BNP △PMN ∴BN=2MN=3,3 ∴MN= , 2 9 ∴AE=AM=3MN= , 2 9 故答案为: . 2 【题型4 由全等三角形的判定与性质求角度】 【例4】(23-24八年级·江苏南通·期末)如图,已知:四边形ABCD中,对角线BD平分∠ABC, ∠ACB=72°,∠ABC=50°,并且∠BAD+∠CAD=180°,那么∠BDC的度数为 【答案】29° 【分析】延长BA和BC,过D点作DE⊥BA于E点,过D点作DF⊥BC于F点,根据BD是∠ABC的平 分线可得出△BDE≌△BDF,故DE=DF,过D点作DG⊥AC于G点,可得出△ADE≌△ADG, △CDG≌△CDF,进而得出CD为∠ACF的平分线,得出∠DCA=54°,再根据 ∠ADC=180°−∠DAC−∠DCA即可得出结论.本题考查了角平分线的性质,以及三角形的全等和三 角形的内角和定理,注意知识点的综合运用. 【详解】解:延长BA和BC,过D点作DE⊥BA于E点,过D点作DF⊥BC于F点, ∵BD ∠ABC 是 的平分线 在△BDE与△BDF中, {∠ABD=∠CBD ) BD=BD , ∠AED=∠DFC ∴△BDE≌△BDF(ASA), ∴DE=DF,又∵∠BAD+∠CAD=180° ∠BAD+∠EAD=180° ∴∠CAD=∠EAD, ∴AD为∠EAC的平分线, 过D点作DG⊥AC于G点, 在Rt△ADE与Rt△ADG中, {AD=AD) , DE=DG ∴△ADE≌△ADG(HL), ∴DE=DG, ∴DG=DF. 在Rt△CDG与Rt△CDF中, {CD=CD) , DG=DF ∴Rt△CDG≌Rt△CDF(HL) ∴CD为∠ACF的平分线 ∠ACB=72° ∴∠DCA=54°, 在△ABC中, ∵∠ACB=72°,∠ABC=50°, ∴∠BAC=180°−72°−50°=58°, 180°−58° ∴∠DAC= =61°, 2 ∴∠ADC=180°−∠DAC−∠DCA=180°−61°−54°=65°, ∴∠BDC=180°−25°−54°−72°=29°. 故答案为:29°. 【变式4-1】(23-24八年级·浙江宁波·期末)如图,等腰△ABC中,AB=AC,∠BAC=70°,O为 △ABC内一点,且∠OCB=5°,∠ABO=25°,则∠OAC= .【答案】65°/65度 【分析】此题考查了全等三角形的判定与性质、等腰三角形的性质,延长BO交∠BAC 的角平分线于点P, 连结CP,根据等腰三角形的性质及角平分线定义求出∠ABC=∠ACB=55°,∠BAP=∠CAP=35°, 进而得出∠OBC=30°,利用SAS证明△APB≌△ACP,根据全等三角形的性质求出 ∠ABP=∠ACP=25°,∠APB=∠APC,根据角的和差及三角形内角和定理求出∠BPC=120°,结 合平角定义求出∠APC=120°=∠BPC,利用ASA证明△APC≌△OPC,根据全等三角形的性质得出 AP=OP,再根据等腰三角形的性质及角的和差求解即可. 【详解】如图,延长BO交∠BAC 的角平分线于点P,连接CP. ∵AP ∠BAC ∠BAC=70° 平分 , , ∴∠BAP=∠CAP=35°, ∵AB=AC,∠BAC=70°, ∴∠ABC=∠ACB=55°, ∵∠ABO=25°, ∴∠OBC=∠ABC−∠ABO=30°, 在△APB和△ACP中, { AB=AC ) ∠BAP=∠CAP , AP=AP ∴△APB≌△ACP(SAS), ∴∠ABP=∠ACP=25°,∠APB=∠APC, ∴∠BCP=∠ACB−∠ACP=30°, ∴∠BPC=180°−∠PBC−∠BCP=120°, ∴∠APB+∠APC=360°−120°=240°, ∴∠APB=∠APC=120°=∠BPC, ∵∠OCB=5°, ∴∠OCP=∠BCP−∠OCB=25°=∠ACP, 在△APC和△OPC中,{∠ACP=∠OCP ) CP=CP , ∠APC=∠OPC ∴△APC≌△OPC(ASA), ∴AP=OP, 1 ∴∠OAP=∠AOP= ×(180°−∠APO)=30°, 2 ∴∠OAC=∠OAP+∠CAP=65°, 故答案为:65°. 【变式4-2】(23-24八年级·安徽合肥·期末)如图,AB=AC,AD=AE,∠BAC=∠DAE=40°,BD 与CE交于点F,连接AF,则∠AFB的度数为 . 【答案】70°/70度 【分析】本题考查了全等三角形的判定与性质,三角形内角和定理,构造全等三角形是解答本题的关键. 过点A作AM⊥BD于点M,AN⊥CE于点N,根据手拉手模型证明△BAD≌△CAE,得到 ∠ADM=∠AEN,然后证明△AMD≌△ANE,得到∠DAM=∠EAN,AM=AN,进一步推得 ∠MAN=∠DAE=40°,再证明△AMF≌△ANF,可得∠FAM=20°,最后根据三角形内角和定理即 得答案. 【详解】过点A作AM⊥BD于点M,AN⊥CE于点N, ∵∠BAC=∠DAE=40°, ∴∠BAD=∠CAE, ∵AB=AC,AD=AE, ∴△BAD≌△CAE(SAS), ∴∠ADM=∠AEN, ∵∠AMD=∠ANE=90°,AD=AE, ∴△AMD≌△ANE(AAS), ∴∠DAM=∠EAN,AM=AN, ∴∠DAM+∠DAN=∠EAN+∠DAN,即∠MAN=∠DAE=40°, ∵∠AMF=∠ANF=90°,AM=AN,AF=AF, ∴△AMF≌△ANF(HL), 1 ∴∠FAM=∠FAN= ∠MAN=20°, 2 ∴∠AFB=180°−90°−∠FAM=70°. 故答案为:70°. 【变式4-3】(23-24八年级·河北邢台·期末)如图,在△ABC和△ADE中, AB=AD=6,BC=DE,∠B=∠D=30°,AD与BC交于点P(不与点B,C重合),点B,E在AD异侧, ∠PAC和∠ACP的平分线相交于点I. (1)PD的最大值为 ; (2)当∠APC=75∘时,∠CAE的度数为 ; (3)当AB⊥AC时,∠AIC的取值范围为 . 【答案】 3 45° 105°<∠AIC<150° 【分析】(1)当AD⊥BC时,AP取得最小值,进而根据含30度角的直角三角形的性质即可求解; (2)证明△ABC≌△ADE(SAS),得出∠BAD=∠CAE,进而根据三角形的外角的性质即可求解; 1 (3)由三角形内角和定理求出∠BCA,根据角平分线的概念得到∠IAC=45°− α, ∠ICA=35°, 2 1 根据三角形内角和定理得到∠AIC=105°+ α,根据不等式的性质计算即可. 2【详解】解:(1)∵AD=AP+PD =6,当AP取得最小值时,PD取得最大值, 即AD⊥BC时,AP取得最小值, ∵AD⊥BC, ∴△ABP为直角三角形,∠APB=90°, ∵∠B=30°,AB=6, 1 1 ∴AP= AB= ×6=3; 2 2 ∴PD=AD−AP=3; (2)在△ABC和△ADE中, { AB=AD ) ∵ ∠B=∠D BC=DE ∴△ABC≌△ADE(SAS), ∴∠BAC=∠DAE, ∵∠BAD=∠BAC−∠DAC,∠CAE=∠DAE−∠DAC, ∴∠BAD=∠CAE; ∵∠APC=∠B+∠BAD, ∴∠CAE=∠BAD=∠APC−∠B=75°−30°=45°; (3)∵AB⊥AC ∴∠BAC=90° 设∠BAP=α,则∠PAC=90°−α, ∵∠B=30°,∠BAC=90°, ∴∠BCA=180°−30°−90°=60°, ∵AI,CI分别平分∠PAC,∠PCA, 1 1 1 1 ∴∠IAC= ∠PAC= (90°−α)=45°− α,∠ICA= ∠PCA=30°, 2 2 2 2 1 ∴∠AIC=180°− (∠IAC+∠ICA) 2 ( 1 ) =180°− 45°− α+30° 2 1 =105°+ α, 2 ∵0°<α<90°, ∴105°<∠AIC<150°.【点睛】本题是三角形综合题,考查了全等三角形的判定与性质,三角形的角平分线,三角形的内角和定 理,含30度角的直角三角形的性质,解题关键是熟记三角形的角平分线的性质. 【题型5 与全等三角形有关的动点问题】 【例5】(23-24八年级·浙江杭州·期中)如图,△ABC中,∠ACB=90°,AC=6cm,BC=8cm,直线l 经过点C且与边AB相交.动点P从点A出发沿A→C→B路径向终点B运动;动点Q从点B出发沿 B→C→A路径向终点A运动.点P和点Q的速度分别为1cm/s和2cm/s,两点同时出发并开始计时,当 点P到达终点B时计时结束.在某时刻分别过点P和点Q作PE⊥l于点E;QF⊥l于点F,设运动时间为t 秒. ①当点P在AC上时,PC= (用含t秒代数式表示); ②当t= 秒时,△PEC与△QFC全等. 14 【答案】 (6−t)cm 2或 或12 3 【分析】①根据题意可得AP=tcm,再由PC=AC−AP即可求解; ②分三种情况:Q在BC上,点P在AC上;点P与点Q重合;点Q与A重合,分别画出图形解答即可; 本题考查了全等三角形的性质,运用分类讨论思想解答是解题的关键. 【详解】解:①由题意得,AP=tcm, 当点P在AC上时,PC=AC−AP=(6−t)cm, 故答案为:(6−t)cm; ②由题意得,BQ=2tcm, 如图1,Q在BC上,点P在AC上时,作PE⊥l,QF⊥l,则PC=(6−t)cm,CQ=(8−2t)cm, ∵∠PEC=∠CFQ=∠ACB=90°, ∴∠CPE+∠PCE=∠PCE+∠FCQ=90°, ∴∠CPE=∠FCQ,此时只能是△PEC≌△CFQ,则PC=CQ, ∴6−t=8−2t, 解得t=2; ②如图2,当点P与点Q重合时,则PC=(6−t)cm,CQ=(2t−8)cm, 此时只能是△PEC≌△QFC,则PC=CQ, ∴6−t=2t−8, 14 解得t= ; 3 ③如图3,当点Q与A重合时,则PC=(t−6)cm,CQ=6cm, ∠QCF+∠CQF=∠QCF+∠PCE=90°, ∴∠CQF=∠PCE, 此时只能是△PEC≌CFQ,则PC=CQ, ∴t−6=6, 解得t=12; 14 综上所述,当t=2秒或 秒或12秒时,△PEC与△QFC全等, 3 14 故答案为:2或 或12. 3 【变式5-1】(23-24八年级·江西赣州·期中)如图,在△ABC中,∠ACB=90°,AC=8cm,BC=12cm, 点P从A点出发沿A→C→B路径向终点运动,终点为B点;点Q从B点出发沿B→C→A路径向终点运 动,终点为A点.点P和点Q分别以1cm/s和3cm/s的速度同时开始运动,两点都要到相应的终点时才能 停止运动,在某时刻,分别过P和Q作PE⊥l于E,QF⊥l于F.当点P运动 秒时,△PEC与△QFC 全等.【答案】2或5或16 【分析】题主要考查了全等三角形的判定、分类讨论的思想等知识点,熟记全等三角形的判定定理是解题 的关键. 根据垂直的定义及直角三角形的性质易证∠PEC=∠CFQ,∠PCE=∠CQF.只需PC=QC,就可得 到△PEC与△CFQ全等,然后只需根据点P和点Q不同位置进行分类讨论即可解决问题. 【详解】解:∵PE⊥l于E,QF⊥l于F. ∴∠PEC=∠CFQ=90°, ∴∠QCF+∠CQF=90°, ∵∠ACB=90°, ∴∠PCE+∠QCF=90°, ∴∠PCE=∠CQF, ①当0≤t<4时,点P在AC上,点Q在BC上,如图∶ 此时有AP=tcm,BQ=3tm,AC=8cm,BC=12cm. 当PC=QC即t−8=3t−12,解得t=2; ②当4≤t<8时,点P在AC上,点Q在AC上,如图, 当PC=QC,即8−t=3t−12,解得t=5; ③当点Q停在点A处,点P在BC上,如图,当PC=QC=8,即t−8=8,解得t=16; 综上所述:当t等于2或5或16时,△PEC与△QFC全等. 故答案为:2或5或16. 【变式5-2】(23-24八年级·四川德阳·期末)如图,△ABC中,∠BAC=90°,AB=22,AC=28,点P 以每秒1个单位的速度按B−A−C的路径运动,点Q以每秒2个单位的速度按C−A−B的路径运动,在 运动过程中过点P作PF⊥l于点F,点Q作QG⊥l于点G,两点同时出发,只要一个点到达终点两点即同 时停止运动.设运动t秒时△PFA≌△AGQ,则t的值是 . 50 【答案】6或 3 【分析】本题考查全等三角形的判定与性质、垂线的定义、一元一次方程的应用,分类讨论:①当点P在 BA上,点Q在AC上,②当点P在AC上,点Q在BA上,③点P与Q重合在BA上,根据题意结合全等三 角形的性质得出PA=AQ,再分别用t表示出PA和AQ的长,列出等式,解出即可,熟练掌握全等三角形 的判定与性质,并利用分类讨论的思想是解决问题的关键. 【详解】(1)当P点在BA上,点Q在AC上,如图1, 则PB=t,CQ=2t, AP=22−t,AQ=28−2t,∵△PFA≌△AGQ, ∴PA=AQ , 即22−t=28−2t, 解得:t=6, 即P点运动6秒; (2)当点P在AC上,点Q在BA上,如图2, 则AP=t−22,AQ=2t−28, ∵△PFA≌△AGQ, ∴PA=AQ, 即t−22=2t−28, 解得t=6, 此时不符合题意; (3)点P与Q重合在BA上,如图3, 则AP=22−t,AQ=2t−28, ∴AP=AQ, 即22−t=2t−28, 50 解得:t= , 3 50 ∴综上可知:t=6或t= , 350 故答案为:6或 . 3 【变式5-3】(23-24八年级·河南周口·期末)如图,直线PQ经过Rt△ABC的直角顶点C,△ABC的边上有 两个动点D、E,点D以1cm/s的速度从点A出发,沿AC→CB移动到点B,点E以3cm/s的速度从点B出 发,沿BC→CA移动到点A,两动点中有一个点到达终点后另一个点继续移动到终点.过点D、E分别作 DM⊥PQ,EN⊥PQ,垂足分别为点M、N,若AC=6cm,BC=8cm,设运动时间为t,则当t= s时, 以点D、M、C为顶点的三角形与以点E、N、C为顶点的三角形全等. 7 【答案】1或 或12 2 【分析】由以点D、M、C为顶点的三角形与以点E、N、C为顶点的三角形全等.可知CE=CD,而CE, CD的表示由E,D的位置决定,故需要对E,D的位置分当E在BC上,D在AC上时或当E在AC上,D 在AC上时,或当E到达A,D在BC上时,分别讨论. 8 【详解】解:当E在BC上,D在AC上,即0<t≤ 时, 3 CE=(8-3t)cm,CD=(6-t)cm, ∵以点D、M、C为顶点的三角形与以点E、N、C为顶点的三角形全等. ∴CD=CE, ∴8-3t=6-t, ∴t=1s, 8 14 当E在AC上,D在AC上,即 <t< 时, 3 3CE=(3t-8)cm,CD=(6-t)cm, ∴3t-8=6-t, 7 ∴t= s, 2 14 当E到达A,D在BC上,即 ≤t≤14时, 3 CE=6cm,CD=(t-6)cm, ∴6=t-6, ∴t=12s, 7 故答案为:1或 或12. 2 【点睛】本题主要考查了三角形全等的性质,解决问题的关键是对动点所在的位置进行分类,分别表示出 每种情况下CD和CE的长. 【题型6 几何图形最值问题】 【例6】(23-24八年级·湖北武汉·期末)如图,等腰直角△ABC中,AC=BC,∠ACB=90°,D为BC 中点,AD=6,P为AB上一个动点,当P点运动时,PC+PD的最小值为 . 【答案】6 【分析】作出点C关于AB的对称点F,连接FD,根据对称性,得到BC=BF,∠CBA=∠ABF=45°,证明Rt△ACD≌Rt△FBD,得到PC+PD的最小值为DF,计算即可. 【详解】如图,∵AC=BC,∠ACB=90°,D为BC中点, ∴BD=CD,∠CAB=∠CBA=45°; 作点C关于AB的对称点F,连接FD,交AB于点E,当点P与点E重合时,PC+PD取得最小值,且最 小值为DF, 根据对称性,得到BC=BF,∠CBA=∠ABF=45°, ∴FB=AC,∠FBD=90°; { AC=FB ) ∴ ∠ACD=∠FBD=90° , CD=BD ∴Rt△ACD≌Rt△FBD, ∴AD=FD, ∵AD=6, ∴FD=6, ∴PC+PD的最小值为6, 故答案为:6. 【点睛】本题考查了轴对称性质,三角形全等的判定和性质,等腰直角三角形的性质,熟练掌握轴对称性 质是解题的关键. 【变式6-1】(23-24八年级·河南信阳·期末)如图,△ABC和△ADE都是等腰三角形,且 ∠BAC=∠DAE=120°,AB=8,O是AC的中点,若点D在直线BC上运动,连接OE,则在点D运动过 程中,线段OE的最小值为 .【答案】2 【分析】取AB的中点为点Q,连接DQ,先证得△AQD≌△AOE,得出 QD=OE,根据点到直线的距 离可知当QD⊥BC时,QD最小,然后根据30°所对的直角边等于斜边的一半求得QD⊥BC时的 QD的 值,即可求得线段OE的最小值. 【详解】解:取AB的中点为点Q,连接DQ, ∵∠BAC=∠DAE=120° , ∴∠BAC−∠DAC=∠DAE−∠DAC, 即∠BAD=∠CAE, ∵AB=AC=8,O为AC中点, ∴AQ=AO=4, 在△AQD和△AOE中, { AQ=AO ) ∠QAD=∠OAE , AD=AE ∴△AQD≌△AOE(SAS), ∴QD=OE, ∵点D在直线BC上运动, ∴当QD⊥BC时,QD最小, ∵△ABC是等腰三角形,∠BAC=120° ∴∠B=30°, ∵QD⊥BC, 1 1 ∴QD= QB= AB=2, 2 4∴线段OE的最小值是为2. 故答案为:2. 【点睛】本题考查了等腰三角形的性质、30°所对的直角边等于斜边的一半、三角形全等的判定和性质、 垂线段最短等知识,解题的关键是学会添加辅助线构建全等三角形,学会利用垂线段最短解决最值问题. 【变式6-2】(23-24八年级·四川绵阳·期末)在Rt△ABC中,∠C=90°,∠B=30°,BC=6,D为AB 的中点,P为BC上一动点,连接AP,DP,则AP+DP的最小值是 . 【答案】6 【分析】本题主要考查了轴对称中的光线反射问题(最短路线问题),直角三角形的两个锐角互余,含30 度角的直角三角形,轴对称的性质,等边三角形的判定与性质,三线合一,三角形的面积公式,等式的性 质2,线段垂直平分线的性质,垂线段最短等知识点,熟练掌握用做对称的方法解决最短路线问题是解题 的关键. 作A关于BC的对称点A′,连接A′B,A′P,A′D,由∠ACB=90°,∠ABC=30°可得∠CAB=60°, AB=2AC,根据轴对称的性质可得A′C=AC,BC是A A′的垂直平分线,进而可得AB=A A′,于是证 得△A A′B是等边三角形,则A A′=A′B,由三线合一可得A′D⊥AB,进而利用三角形的面积公式可得 A′D=BC=6,由垂直平分线的性质可得AP=A′P,于是可得AP+DP=A′P+DP,根据垂线段最短可 知A′P+DP≥A′D=6,于是可得答案. 【详解】解:如图,作A关于BC的对称点A′,连接A′B,A′P,A′D, ∵∠ACB=90° ∠ABC=30° , , ∴∠CAB=90°−∠ABC=90°−30°=60°,AB=2AC, ∵A′是A关于BC的对称点, ∴根据轴对称的性质可知,A′C=AC,BC是A A′的垂直平分线,∴A A′=AC+A′C=AC+AC=2AC, ∴AB=A A′, ∴△A A′B是等边三角形, ∴A A′=A′B, ∵D为AB的中点, ∴A′D⊥AB, 1 1 ∵S = ⋅AB⋅A′D= ⋅A A′ ⋅BC,且AB=A A′, △AA′B 2 2 ∴A′D=BC=6, ∵BC是A A′的垂直平分线, ∴AP=A′P, ∴AP+DP=A′P+DP, ∵垂线段最短, ∴A′P+DP≥A′D=6, 即:AP+DP≥6, ∴AP+DP的最小值是6, 故答案为:6. 【变式6-3】(23-24八年级·广西南宁·期中)如图,已知△ABC为等腰直角三角形,AC=BC, ∠BCD=15°,点P为射线CD上的动点,当|PA−PB)为最大值时,∠PAC的度数为 °. 【答案】60 【分析】本题主要考查了轴对称−−最短路线问题,等腰直角三角形的性质,等边三角形的判定和性质, 如图,作点A关于直线CD的对称点A′,连接A'B交CD于P,则此时点P就是使|PA−PB)的值最大的点, 连接A'C,根据等腰直角三角形的性质可得到∠CA A'=15°,根据轴对称的性质和等腰三角形的性质可 推出△A'BC是等边三角形,进而即可得到结论,熟练掌握其性质,合理添加辅助线是解决此题的关键. 【详解】如图,作点A关于直线CD的对称点A′,连接A'B交CD于P,∴PA=PA′, ∴|PA−PB)=|PA'−PB)=A'B, 根据三角形的三边关系可知,此时点P就是使|PA−PB)的值最大的点, 连接A'C, ∵△ABC为等腰直角三角形,AC=BC, ∴∠CAB=∠ABC=45°,∠ACB=90°, ∵∠BCD=15°, ∴∠ACD=75°, ∴∠CA A'=15°, ∵AC=A'C, ∴A'C=BC,∠C A' A=∠CA A'=15°, ∴∠AC A'=150°, ∵∠ACB=90°, ∴∠A'CB=60°, ∴△A'BC是等边三角形, ∴∠PA'C=60°, ∴∠PA' A=∠PA'C−∠C A' A=60°−15°=45°, ∵PA=PA′, ∴∠PA A′=∠PA′ A=45°, ∴∠PAC=∠PA A′+∠A′ AC=45°+15°=60°, 故答案为:60. 【题型7 构造等腰三角形求值】 【例7】(23-24八年级·湖北武汉·期中)如图,点P为△ABC内部一点,使得∠PBC=30°,∠PBA=8°, ∠APB=150°,∠CAP=22°,则∠APC的度数为 °.【答案】142 【分析】延长AC到Q,使AQ=AB,连接PQ、BQ,PQ交BC于点E,先求出∠CAP=∠BAP=22°, 进而可依据“SAS”判定△QAP≌△BAP,得到∠APQ=∠APB=150°,∠PQA=∠PBA=8°, PB=PQ,进而得∠BPQ=60°,可得△PBQ是等边三角形,从而得∠QBC=∠PBC=30°,再根据等 边三角形的性质得AC是线段PQ的垂直平分线,得到PC=QC,进而得∠CPQ=∠PQA=8°,即得 ∠BPC=68°,据此可得∠APC的度数. 【详解】解:延长AC到Q,使AQ=AB,连接PQ、BQ,PQ交BC于点E,如图所示, ∵∠PBA=8° ∠APB=150° , , ∴∠BAP=180°−(∠PBA+∠APB)=22°, ∵∠CAP=22°, ∴∠CAP=∠BAP=22°, 在△QAP和△BAP中, { AQ=AB ) ∠CAP=∠BAP , AP=AP ∴△QAP≌△BAP(SAS), ∴∠APQ=∠APB=150°,∠PQA=∠PBA=8°,PB=PQ, ∴∠BPQ=360°−(∠APQ+∠APB)=60°, ∴△PBQ是等边三角形, ∴∠PBQ=60°, ∵∠PBC=30°,∴∠QBC=∠PBQ−∠PBC=30°, ∴∠QBC=∠PBC=30°, ∴BC是∠PBQ的平分线, ∴BC⊥PQ,PE=QE, ∴AC是线段PQ的垂直平分线, ∴PC=QC, ∴∠CPQ=∠PQA=8°, ∴∠BPC=∠BPQ+∠CPQ=68°, ∴∠APC=360°−(∠APB+∠BPC)=360°−(150°+68°)=142°, 故答案为:142. 【点睛】本题考查了等边三角形的性质,全等三角形的判定和性质,线段垂直平分线的性质,等腰三角形 的性质,三角形的内角和定理,正确地作出辅助线构造全等三角形和等边三角形是解题的关键. 【变式7-1】(23-24八年级·江苏苏州·阶段练习)如图所示,在四边形ABCD中,∠DAC=12°, ∠CAB=36°,∠ABD=48°,∠DBC=24°,则∠ACD= °. 【答案】30 【分析】本题考查全等三角形的性质和判定,等边三角形的判定和性质;在四边形ABCD外取一点P,使 ∠PAD=12°且AP=AC,连接PB、PD,证明△ADP≌△ADC,△PDA≌△PDB,△PAB是等边三 角形,进而即可求解. 【详解】解:在四边形ABCD外取一点P,使∠PAD=12°且AP=AC,连接PB、PD, 在△ADP和△ADC中,∠PAD=∠CAD=12°,AP=AC,AD=AD, ∴△ADP≌△ADC,∴∠APD=∠ACD, 在△ABC中,∠CAB=36°,∠ABC=72°, ∴∠ACB=72°, ∴AC=AB, ∴AP=AB, ∴∠PAB=∠PAD+∠DAC+CAB=12°+12°+36°=60°, ∴△PAB是等边三角形,∠APB=60°,PA=PB, 在△DAB中,∠DAB=∠DAC+∠CAB=12°+36°=48°=∠DBA, ∴DA=DB, ∵PA=PB,PD=PD,DA=DB, ∴△PDA≌△PDB, 1 ∴∠APD=∠BPD= ∠APB=30°,即∠ACD=30°, 2 故答案为:30. 【变式7-2】(23-24八年级·黑龙江哈尔滨·阶段练习)如图,AD平分∠BAC, 3∠ACB−∠ABC=360°,BE⊥AD交AD的延长线于点E,AB=16,BE=4.5,则AC= . 【答案】7 【分析】延长AC,BE相交于点M,由角平分线的定义可得∠MAE=∠BAE,设∠MAE=∠BAE=x, ∠ABC= y,则由三角形的内角和定理及已知条件3∠ACB−∠ABC=360°可推出y=45°−1.5x,然后 可证得∠MCB=∠MBC,于是可得MC=MB,进而可证得△MAE≌△BAE(ASA),则AM=AB=16, ME=BE=4.5,于是可求得MC的长,进而可求得AC的长. 【详解】解:如图,延长AC,BE相交于点M, ∵BE⊥AD , ∴BE⊥AE, ∴∠AEM=∠AEB=90°,∵AD平分∠BAC, ∴∠MAE=∠BAE, 设∠MAE=∠BAE=x,∠ABC= y, 则∠ACB=180°−∠MAE−∠BAE−∠ABC=180°−2x−y, ∵3∠ACB−∠ABC=360°, ∴3(180°−2x−y)−y=360°, 整理,得:y=45°−1.5x, ∵∠MCB=∠MAB+∠ABC =∠MAE+∠BAE+∠ABC =x+x+ y =2x+45°−1.5x =45°+0.5x, ∠MBC=∠ABE−∠ABC =90°−∠BAE−∠ABC =90°−x−y, =90°−x−(45°−1.5x) =45°+0.5x, ∴∠MCB=∠MBC, ∴MC=MB, 在△MAE和△BAE中, {∠MAE=∠BAE ) AE=AE , ∠AEM=∠AEB ∴△MAE≌△BAE(ASA), ∴AM=AB=16,ME=BE=4.5, ∵MC=MB=ME+BE=4.5+4.5=9, ∴AC=AM−MC=16−9=7, 故答案为:7. 【点睛】本题主要考查了垂线的性质,角平分线的定义,三角形的内角和定理,三角形外角的性质,直角 三角形的两个锐角互余,等腰三角形的判定(等角对等边),全等三角形的判定与性质(ASA)等知识点, 合理添加辅助线,并证明∠MCB=∠MBC是解题的关键. 【变式7-3】(23-24八年级·广东广州·期中)如图,四边形ABCD中,对角线AC⊥BD,点F为CD上一点,连接AF交BD于点E,AF⊥AB,DE=DF,∠BAG=∠ABC=45°,AE=2EF,AB=20,则 AF= . 【答案】12 【分析】延长AF、BC,交于点H,先证明△ABH为等腰直角三角形,再判定△ABG≌△HAC(ASA), 然后在等腰直角△ABH中得AB=AH=20,设EF=x,则AE=2x,判定△AGE≌△HCF(AAS),从而 FH=AE=2x,解得x的值,最后根据AF=AE+EF,可得答案. 【详解】解:延长AF、BC,交于点H,如图: ∵AF⊥AB ∠ABC=45° , , ∴∠BAH=90°,∠AHB=90°−45°=45°, ∴ △ABH为等腰直角三角形, ∴AH=AB=20, ∵∠BAH=90°,∠BAG=45°,∠AHB=45°, ∴∠GAE=∠BAG=∠AHB=45°, ∵AC⊥BD, ∴∠ABG+∠BAC=90°, ∵∠BAC+∠HAC=∠BAH=90°, ∴∠ABG=∠HAC, 在△ABG和△HAC中, {∠ABG=∠HAC ) AB=AH , ∠BAG=∠AHC ∴ △ABG≌△HAC(ASA),∴AG=HC, ∵AE=2EF, ∴设EF=x,则AE=2x, ∵DE=DF, ∴∠≝=∠DFE, ∵∠AEG=∠≝,∠DFE=∠HFC, ∴∠AEG=∠HFC, ∵∠AHB=∠GAE=45°, ∴∠AGE=135°−∠HFC=∠FCH, 在△AGE和△HCF中, {∠AEG=∠HFC ) ∠AGE=∠FCH , AG=HC ∴ △AGE≌△HCF(AAS), ∴FH=AE=2x, ∴AH=AE+EF+FH=5x=20, 解得:x=4, ∴AF=AE+EF=3x=12, 故答案为12. 【点睛】本题考查了全等三角形的判定与性质及等腰三角形的判定与性质等知识点,正确作出辅助线构造 全等三角形是解题的关键. 【题型8 等腰三角形的存在性问题】 【例8】(23-24八年级·辽宁沈阳·期中)经过三角形一个顶点及其对边上一点的直线,若能将此三角形分 割成两个等腰三角形,称这个三角形为“钻石三角形”,这条直线称为这个三角形的“钻石分割线”,在 △ABC中,∠BAC=20°,若存在过点C的“钻石分割线”,使△ABC是“钻石三角形”,则满足条件 的∠B的度数为 . 【答案】70°或40°或100°或10° 【分析】本题主要考查了等腰三角形的定义与性质,三角形外角的性质,三角形内角和定理,解题的关键 是注意进行分类讨论.分五种情况进行讨论,当AD=CD,BD=CD时,当AD=CD,BD=BC时,当 AD=CD,CD=BC时,当AC=AD,BD=CD时,当AC=CD,BD=CD时,分别画出图形,求出结 果即可. 【详解】解:当AD=CD,BD=CD时,如图所示:∵∠BAC=20°, ∴∠ACD=∠BAC=20°, ∴∠CDB=∠BAC+∠ACD=40°, ∵BD=CD, 1 ∴∠DCB=∠B= (180°−40°)=70°, 2 即此时∠B=70°. 当AD=CD,BD=BC时,如图所示: ∵∠BAC=20°, ∴∠ACD=∠BAC=20°, ∴∠CDB=∠BAC+∠ACD=40°, ∵BD=BC, ∴∠BCD=∠BDC=40°, ∴∠B=180°−40°−40°=100°, 即此时∠B=100°. 当AD=CD,CD=BC时,如图所示: ∵∠BAC=20°, ∴∠ACD=∠BAC=20°, ∴∠CDB=∠BAC+∠ACD=40°, ∵CD=BC,∴∠B=∠BDC=40°, 即此时∠B=40°. 当AC=AD,BD=CD时,如图所示: ∵∠BAC=20°, 1 ∴∠ACD=∠ADC= (180°−20°)=80°, 2 ∵BD=CD, ∴∠B=∠BCD, ∵∠ADC=∠B+∠BCD=80°, 1 ∴∠B=∠BCD= ×80°=40°, 2 即此时∠B=40°. 当AC=CD,BD=CD时,如图所示: ∵∠BAC=20°, ∴∠CDA=∠BAC=20°, ∵BD=CD, ∴∠B=∠BCD, ∵∠CDA=∠B+∠BCD=20°, 1 ∴∠B=∠BCD= ×20°=10°, 2 即此时∠B=10°. 综上分析可知:∠B的度数为:70°或40°或100°或10°. 故答案为:70°或40°或100°或10°. 【变式8-1】(23-24八年级·湖北武汉·阶段练习)如图,△ABC≌△A′B′C′,∠ABC=90°,∠A′=27° (0°<∠ABA′≤54°),A′C′与AC交于点F,与AB交于点E,连接BF.当△BEF为等腰三角形时,∠ABA′的度数为 . 【答案】24°或42° 【分析】根据0°<∠ABA′≤54°,分两种情况讨论:当EF=FB时,当BE=BF时,设 ∠FEB=∠FBE=α,过点B作BP⊥AC,BQ⊥A′C′,垂足分别为P,Q,得出B在∠PFQ的角平分线 线上,进而根据三角形内角和定理,三角形的外角的性质,即可求解. 【详解】解:如图所示,当EF=FB时,△BEF是等腰三角形, 设∠FEB=∠FBE=α,过点B作BP⊥AC,BQ⊥A′C′,垂足分别为P,Q, ∵△ABC≌△A′B′C′, ∴对应边上的高相等,即BP=BQ, ∴B在∠PFQ的角平分线线上, ∵∠PFB是△ABF的外角, ∴∠PFB=∠A+∠FBE=27°+α ∴∠QFB=27°+α ∵∠QFB+∠FEB+∠FBE=180° ∴27°+α+2α=180° 解得:α=51° ∴∠ABA′=∠FEB−∠A′=51°−27°=24° 如图所示,当BE=BF时,△BEF是等腰三角形,设∠FEB=∠BFE=α 同理可得∠PFB=∠QFB=α, ∴∠FBE=∠PFB−∠A=α−27° ∵∠QFB+∠FEB+∠FBE=180° ∴α+α+α−27°=180° 解得:α=69° ∴∠ABA′=∠FEB−∠A′=69°−27°=42°, 由于0°<∠ABA′≤54°,不存在EF=EB的情形, 综上所述,∠ABA′的度数为,24°或42°. 故答案为:24°或42°. 【点睛】本题考查了全等三角形的性质,等腰三角形的性质与判定,角平分线的性质,熟练掌握以上知识 是解题的关键. 【变式8-2】(23-24八年级·河南鹤壁·期中)如图,在长方形ABCD的对角线AC上有一动点E,连接DE, 过点E作EF⊥DE交射线BC于点F,∠ACB=30°,当△EFC为等腰三角形时,∠EDC的度数是 . 【答案】15°或60° 【分析】根据题意,找到临界状态,在临界状态上下,分两种情况讨论:①△CDE是等边三角形, ∠EDC=60°;②△CDE是一般,∠EDC=15°;从而得到答案. 【详解】解:根据题意,若DE⊥AC,如图所示:此时C与F重合,△EFC不存在,以此为临界状态,分两种情况讨论: ①如图所示: ∵ △EFC ∠ACB=30° 为等腰三角形, , ∴∠FEC=∠ABC=30°, 在长方形ABCD中,∠BCD=90°,∠ACB=30°,则∠ACD=60°, ∵ EF⊥DE,∠FEC=30°, ∴∠DEC=60°, ∴△CDE是等边三角形,即∠EDC=60°; ②如图所示: ∵ △EFC 为等腰三角形, ∴∠CEF=∠CFE, ∵ ∠ACB=30°,是△EFC的一个外角, ∴∠ABC=30°=2∠FEC,即∠FEC=15°, 在长方形ABCD中,∠BCD=90°,∠ACB=30°,则∠ACD=60°, ∵ EF⊥DE,∠FEC=15°, ∴∠DEC=105°, 在△CDE中,利用三角形内角和定理可知: ∠EDC=180°−∠DEC−∠DCE =180°−105°−60° =180°−165°=15°; 综上所述,∠EDC的度数是15°或60°, 故答案为:15°或60°. 【点睛】本题考查矩形中求角度问题,涉及等腰三角形性质、长方形性质、等边三角形的判定与性质、三 角形外角性质、三角形内角和定理等,读懂题意,找到临界状态,作出图形,分类讨论是解决问题的关键. 【变式8-3】(23-24八年级·浙江绍兴·期中)如图,在△ABC中,AB=AC,∠BAC=130°,点D在BC 边上,△ABD、△AFD关于AD所在的直线对称,∠FAC的角平分线交BC边于点G,连接FG.△DFG 为等腰三角形时,∠BAD= . 【答案】40°或32.5°或25° 【分析】根据题意,先求出 ∠B,∠C,再利用轴对称性质得 △ADB≌△ADF,再证明 △AGF≌△AGC(SAS),继而得到∠DFG的度数,△DFG为等腰三角形时分三种情况讨论,①当 GD=GF时, ②当FD=GF时, ③当FD=GD时,利用△ADF的内角和分别求出∠BAD即可. 【详解】解:在△ABC中,AB=AC,∠BAC=130°, 1 ∴∠B=∠C= (180°−130°)=25°, 2 ∵ △ABD、△AFD关于AD所在的直线对称, ∴△ADB≌△ADF, ∴ ∠AFD=∠B=25°,AF=AB, ∴AF=AC, ∵ BC是∠FAC的角平分线, ∴ ∠FAG=∠CAG, 在△AGF与△AGC中, { AF=AC ) ∠FAG=∠CAG , AG=AG ∴△AGF≌△AGC(SAS), ∴∠AFG=∠C,∴∠DFG=∠AFD+∠AFG=∠B+∠C=25°+25°=50°, 如图,令AF与BC交点为Q, 因为△DFG为等腰三角形,分三种情况讨论: ①当GD=GF时, ∴∠GDF=∠GFD=50°, ∵△ADB≌△ADF, ∴∠BAD=∠FAD, 又∠ADQ=∠B+∠BAD=25°+∠BAD, 在△ADF中, ∠ADF+∠AFD+∠FAD=(50°+25°+∠BAD)+25°+∠BAD=180°, ∴∠BAD=40°; ②当DF=GF时, 1 1 ∴∠FDG= (180°−∠DFG)= (180°−50°)=65°, 2 2 在△ADF中, ∠ADF+∠AFD+∠FAD=(65°+25°+∠BAD)+25°+∠BAD=180°, ∴∠BAD=32.5°; ③当FD=GD时, ∴∠DFG=∠DGF=50°, ∴∠FDG=180°−2∠DFG=180°−2×50°=80°, 在△ADF中, ∠ADF+∠AFD+∠FAD=(80°+25°+∠BAD)+25°+∠BAD=180°, ∴∠BAD=25°; 综上所述: 当∠BAD=40°,32.5°或25°时,△DFG为等腰三角形. 故答案为:40°或32.5°或25°.【点睛】本题考查了等腰三角形的性质;轴对称的性质,三角形全等的判定定理——SAS,三角形外角的 性质,三角形的内角和,熟练掌握这些性质和定理是解题的关键. 【题型9 与整式乘除有关的化简求值】 (15) x (16) y (27) z 【例9】(23-24八年级·四川眉山·阶段练习)如果整数x,y,z满足 ⋅ ⋅ =16,则代数 8 9 10 2x+ y 式 的值为 . x−y 【答案】−4 【分析】先将 (15) x ⋅ (16) y ⋅ (27) z =16代为 3x ⋅5x ⋅ 24y ⋅ 33z =24 ,利用同底数幂的除法可得 8 9 10 23x 32y 2z ⋅5z 5x−z ⋅3x+3z−2y ⋅24y−3x−z=24,由于结果底数是2,故左边5和3的指数应为0,左边和右边2的指数相等, { x−z=0 ) 2x+ y 由此可得方程组 x+3z−2y=0 ,解方程组求出x,y,z的值,代入 即可求解. x−y 4 y−3x−z=4 (15) x (16) y (27) z 【详解】解: ⋅ ⋅ =16, 8 9 10 3x ⋅5x 24y 33z 则 ⋅ ⋅ =24 , 23x 32y 2z ⋅5z 5x−z ⋅3x+3z−2y ⋅24y−3x−z=24, { x−z=0 ) 故 x+3z−2y=0 , 4 y−3x−z=4 {x=1 ) 解得: y=2 , z=1 2x+ y 2+2 因此 = =−4, x−y 1−2 故答案为:−4. 【点睛】本题考查同底数幂的除法、积的乘方、幂的乘方、解三元一次方程组等知识点,解题的关键是通 过对原式变形得到关于x,y,z的方程组. 【变式9-1】(23-24八年级·四川成都·期中)若x2−5x+2=0,则2x3−7x2−11x+2020的值为 .【答案】2014 【分析】首先对x2−5x+2=0进行变形,转化为x3=5x2−2x,然后代入后面的整式中,进行化简即可求 解. 【详解】∵x2−5x+2=0 ∴x2=5x−2①. ①等式两边同乘x得,x3=5x2−2x代回原式. 2x3−7x2−11x+2020 =2⋅(5x2−2x)−7x2−11x+2020 =3x2−15x+2020 =3(x2−5x)+2020 =3×(−2)+2020 =2014. 故答案为2014. 【点睛】本题考查了整式的化简求值,整体代入是解决本题的关键,本题也可以先对后面的整式进行化简 变形,然后代入x2−5x=−2即可. m+n 【变式9-2】(23-24八年级·湖北武汉·阶段练习)若am=20,bn=20,ab=20,则 = . mn 【答案】1 【分析】先根据ab=20可得anbn=20n,再结合bn=20可得an=20n−1,由此结合am=20可得 am+n=amn=20n,由此可得m+n=mn,进而可求得答案. 【详解】解:∵ab=20, ∴(ab) n=20n, 即anbn=20n, ∵bn=20, ∴an×20=20n, ∴an=20n−1, 又∵am=20, ∴am+n=am ⋅an=20×20n−1=20n,amn=(am ) n=20n, ∴am+n=amn,∴m+n=mn, m+n mn ∴ = =1, mn mn 故答案为:1. 【点睛】本题考查了幂的运算,熟练掌握同底数幂的乘除法法则及幂的乘方法则是解决本题的关键. 【变式9-3】(23-24八年级·福建漳州·期中)已知a,b,x,y满足关系式ax+by=7,ay−bx=5,则 (a2+b2)(x2+ y2)的值为 . 【答案】74 【分析】本题主要考查了化简求值.熟练掌握完全平方公式,提公因式分解因式,是解题的关键. 将ax+by=7,ay−bx=5这两式两边平方,再两边分别相加,提取公因式分解因式,可得 (a2+b2)(x2+ y2)=74,即可. 【详解】由题意得,ax+by=7①,ay−bx=5 ②, ①2得a2x2+b2y2+2abxy=49③, ②2得a2y2+b2x2−2abxy=25④, ③+④得a2x2+b2y2+a2y2+b2x2=74, a2(x2+ y2)+b2(x2+ y2)=74, (a2+b2)(x2+ y2)=74. 故答案为:74. 【题型10 利用整式乘法解决图形面积问题】 【例10】(23-24八年级·江苏连云港·期中)矩形ABCD内放入两张边长分别为a和b(a>b)的正方形纸片, 按照图①放置,矩形纸片没有被两个正方形覆盖的部分(黑色阴影部分)的面积为S ;按照图②放置,矩 1 形纸片没有被两个正方形覆盖的部分面积为S ;按图③放置,矩形纸片没有被两个正方形覆盖的部分的面 2 积为S ,已知S −S =2, S −S =9,设AD−AB=m,则mb= . 3 1 3 2 3【答案】7 【分析】利用面积的和差表示出S −S ,根据图①与图②分别表示出矩形的面积,进而得到 2 1 b(AD−AB)=7,从而求解. {S −S =2) 【详解】解:由 1 3 , S −S =9 2 3 可得:S −S =7, 2 1 由图①得:S =S +a2+b(AD−a), 矩形ABCD 1 由图②得:S =S +a2+b(AB−a), 矩形ABCD 2 ∴S +a2+b(AD−a)=S +a2+b(AB−a), 1 2 ∴S −S =b(AD−AB), 2 1 ∵AD−AB=m, ∴mb=7. 故答案为:7. 【点睛】本题考查了整式的混合运算,“整体”思想在整式运算中较为常见,适时采用整体思想可使问题 简单化,并且迅速地解决相关问题,此时应注意被看做整体的代数式通常要用括号括起来. 【变式10-1】(23-24八年级·浙江温州·期中)如图所示,长方形ABCD中放置两个边长都为4cm的正方形 AEFG与正方形CHIJ,若如图阴影部分的面积之和记为S,长方形ABCD的面积记为S,已知:3S- 1 2 2 S=96,则长方形ABCD的周长为 . 1 【答案】24 【分析】设KF=a,FL=b,利用a,b表示出图中的阴影部分面积S 与长方形面积S ,然后根据3S-S=96 1 2 2 1 可得a,b的关系式,然后可求周长. 【详解】设KF=a,FL=b,由图可得,EK=BH=LJ=GD=4-a,KH=EB=GL=DJ==4-b, ∴S=2(4−a)(4−b)+ab=32−8a−8b+3ab 1 S =(4+4−b)(4+4−a)=64−8a−8b+ab 2 ∵3S-S=96 2 1 ∴3(64−8a−8b+ab)−(32−8a−8b+3ab)=96 整理得:a+b=4 ∴长方形ABCD的周长=2(AB+BC)=2(4+4−b+4+4−a)=2×(16−4)=24 故答案为:24. 【点睛】本题考查列代数式表示图形面积以及代数式求值,利用长方形KFLI的长和宽表示出图形面积是解 题的关键. 【变式10-2】(23-24八年级·贵州六盘水·期中)有6张如图①的长为a,宽为b(a>b)的小长方形纸片,按 图②方式不重叠地放在矩形ABCD内,未被覆盖的部分(两个矩形)用阴影表示.设左上角与右下角的阴 影部分的面积的差为S,当BC的长度变化时,按照同样的放置方式,S始终保持不变,则a,b满足的数量 关系是 . 【答案】a=2b 【分析】分别表示出左上角和右下角部分的面积,表示出它们的差,根据差与BC无关得到结果. 【详解】设左上角的长方形的长为AE,则宽为AF=a,右下角长方形的长为PC,则宽为2b, ∵AD=BC, 即AE+ED=AE+4b,BC=BP+PC=a+PC, ∴AE+4b=a+PC, ∴AE=a-4b+PC, ∴阴影部分面积差为:AE·a-PC·2b=a(a-4b+PC)-2bPC=(a-2b)PC+a2-4ab, ∵面积差与PC无关, 故a-2b=0, 所以a=2b, 故答案为a=2b.【点睛】本题考查整式的混合运算,解题的关键是列出面积差的代数式. 【变式10-3】(23-24八年级·浙江湖州·期末)建党100周年主题活动中,702班浔浔设计了如图1的“红 色徽章”其设计原理是:如图2,在边长为a的正方形EFGH四周分别放置四个边长为b的小正方形,构造 了一个大正方形ABCD,并画出阴影部分图形,形成了“红色徽章”的图标.现将阴影部分图形面积记作 a S ,每一个边长为b的小正方形面积记作S ,若S =6S ,则 的值是 . 1 2 1 2 b 7 【答案】 4 【分析】根据图形中阴影部分均为三角形,利用三角形面积公式,找到底和高可求出ΔDGI与ΔMNC面积, 求ΔKMD面积使用正方形面积减去三个三角形面积,可求得S ,S ,利用已知条件进行多项式的化简即可 1 2 得出答案. 【详解】如图所示,对需要的交点标注字母: 1 1 1 S = (a+b)×b= ab+ b2 , ΔDGI 2 2 2S =S −S −S −S ΔKMD ABCD ΔDMC ΔDKA ΔKBM 1 1 1 =(a+2b) 2− (a+b)(a+2b)− (a+2b)(a+b)− b2 2 2 2 3 =ab+ b2 , 2 1 1 1 S = (a+b)×b= ab+ b2 , ΔMNC 2 2 2 5 S =S +S +S =2ab+ b2, 1 ΔDGI ΔKMD ΔMNC 2 ∴ S =b2 , 2 S =6S , 1 2 ∵ 2ab+ 5 b2=6b2, 2 ∴ 7 化简得:2a= b, 2 a 7 = , b 4 ∴ 7 故答案为: . 4 【点睛】题目考察阴影部分面积的实质是对多项式之间的化简求值,求出各部分阴影面积是题目难点. 【题型11 利用因式分解解决最值问题】 【例11】(23-24八年级·四川成都·期末)已知a,b,c为整数,满足a+b+c=10, S=(10a+bc)(10b+ac)(10c+ab)≥2019,则S的最小值是 . 【答案】2116 【分析】本题考查整式的运算,因式分解的应用.解题关键是利用因式分解把已知和所求整式变形.根据 已知条件把已知和所求式子进行整理变形,即可解答. 【详解】解:∵a+b+c=10. ∴a=10−b−c,b=10−a−c,c=10−a−b, ∴S=(10a+bc)(10b+ac)(10c+ab) =(100−10b−10c+bc)(100−10a−10c+ac)(100−10a−10b+ab), ∵100−10b−10c+bc可因式分解,变为(b−10)(c−10), 同理100−10a−10c+ac=(a−10)(c−10), 100−10a−10b+ab=(a−10)(b−10),∴原式=(b−10)(c−10)(a−10)(c−10)(a−10)(b−10) =(a−10) 2 (b−10) 2 (c−10) 2 =[[a−10)(b−10)(c−10)) 2 , 故S为一个平方数, ∵a+b+c=10且a,b,c为整数, ∴a,b,c至少有一个是偶数,于是S为偶数, ∵S≥2019, ∴S≥462=2116. 故答案为:2116. 【变式11-1】(23-24八年级·重庆沙坪坝·期末)已知等式(x+a)(x+b)+c(x−7)=(x−3)(x+1)对一切x 都成立,a、b、c为整数.且a+b>0.则|a−b)的最小值是 . 【答案】14 【分析】根据题意得到关于a、b、c的方程组,消去c后,假设a>b,且均为整数利用因式分解得到二元 一次方程组,求解即可找到最小值. 【详解】解:∵(x+a)(x+b)+c(x−7)=(x−3)(x+1)可变为x2+(a+b+c)x+ab−7c=x2−2x−3,且 对一切x都成立, ∴¿,消去c得ab+7(a+b)=−17, 即(a+7)(b+7)=32, 又∵a+b>0, ∴a,b不能同时为负, 不妨设a>b, 则¿或¿或¿, { a=1 ) { a=9 ) 解得 (舍去)或 或¿, b=−3 b=−5 那么,|a−b) =|9−(−5))=14. min 【点睛】本题主要考查恒成立问题、因式分解、解二元一次方程组和化简绝对值,解题的关键是因式分解 的使用和得到二元一次方程组. 【变式11-2】(23-24八年级·重庆沙坪坝·阶段练习)若2x2+7xy−15y2+ax+by+3可以分解成两个一次 整系数多项式的乘积,其中a、b为整数,那么a+b的最小值是 .【答案】−17 【分析】先分解因式得到2x2+7xy−15 y2=(2x−3 y)(x+5 y),则可设2x2+7xy−15 y2+ax+by+3分 解因式的结果为(2x−3 y+m)(x+5 y+n),再根据多项式乘以多项式的乘法展开,得到 2n+m=a,5m−3n=b,mn=3,再根据m、n都是整数进行讨论求解即可. 【详解】解:∵2x2+7xy−15 y2=(2x−3 y)(x+5 y), ∴可设2x2+7xy−15 y2+ax+by+3=(2x−3 y+m)(x+5 y+n), ∵(2x−3 y+m)(x+5 y+n) =2x2+10xy+2nx−3xy−15 y2−3ny+mx+5my+mn =2x3+7xy−15 y2+(2n+m)x+(5m−3n)y+mn, ∴2n+m=a,5m−3n=b,mn=3, 又∵m、n都是整数, {m=1) {m=3) {m=−1) {m=−3) ∴ 或 或 或 , n=3 n=1 n=−3 n=−1 { a=7 ) {a=5 ) {a=−5 ) {a=−7) ∴ 或 或 或 b=−4 b=12 b=−12 b=4 {a=−5 ) ∴当 时,a+b的最小值为−17, b=−12 故答案为:−17. 【点睛】本题主要考查了因式分解的应用,正确设出2x2+7xy−15 y2+ax+by+3分解因式的结果为 (2x−3 y+m)(x+5 y+n)是解题的关键. 【变式11-3】(23-24八年级·福建泉州·期中)已知:a,b,c都是正整数,且a+b+c=342,a−bc=331. abc的最大值为M,最小值为N,则M+N= . 【答案】3702 【分析】由已知条件整理出b+c+bc=11,再利用因式分解法转化为求(b+1)(c+1)=12的正整数解,据 {b=1) {b=2) {b=3) {b=5) 此得到 或 或 或 ,据此解得a的值,最后代入计算即可. c=5 c=3 c=2 c=1 【详解】解:∵a+b+c=342, ∴a=342−b−c, ∵a−bc=331, ∴342−b−c−bc=331, ∴b+c+bc=11, ∴b+c+bc+1=12,∴(b+1)(c+1)=12, ∵a,b,c都是正整数, {b=1) {b=2) {b=3) {b=5) ∴ 或 或 或 , c=5 c=3 c=2 c=1 ∴a=336,b=1,c=5或a=336,b=5,c=1或a=337,b=2,c=3或a=337,b=3,c=2, ∴abc=1680或abc=2022, 即abc的最大值为2022,最小值为1680,即M=2022,m=1680, ∴M+N=2022+1680=3702, 故答案为:3702. 【点睛】本题考查因式分解法、二元一次方程组的整数解等知识,是重要考点,掌握相关知识是解题关键. 【题型12 利用因式分解解决整除问题】 【例12】(23-24八年级·重庆沙坪坝·阶段练习)对于一个三位正整数n,如果n满足:百位数字、十位数 字与个位数字之和等于15,那称这个数为“月圆数”,例如:n =843,8+4+3=15,∴843是“月圆 1 数”; n =133,…1+3+3=7≠15,∴133不是“月圆数”.若m,p都是“月圆数”, 2 m+p m=300+10a+b,p=100a+60+c(a,b,c均为1−9的整数),规定F(m,p)= ,若s是m去掉 3 百位数字后剩余部分组成的一个两位数,t是p去掉其百位数字后剩余部分组成的一个两位数,若s与t的和 能被11整除,则F(m,p)的值为 . 【答案】307 【分析】此题主要考查了因式分解的应用,根据题目给的新定义去求解,而找到字母之间的关系是解题的 关键.根据“月圆数”的定义可得b=c+3,a=9−c,根据题意可得s+t=150−8c,再根据能被11整除 m+p 的特征可得150−8c=110,依此可求c,进一步得到a,b,从而可求m,p,再代入F(m,p)= 即 3 可求出值. 【详解】解:∵m,p都是“月圆数”, m=300+10a+b,p=100a+60+c(a,b,c均为1−9的整 数), ∴3+a+b=15,a+6+c=15, ∴b=c+3,a=9−c, ∵s是m去掉百位数字后剩余部分组成的一个两位数,t是p去掉其百位数字后剩余部分组成的一个两位数, ∴s=10a+b,t=60+c, ∴s+t=10a+b+60+c=90−10c+c+3+60+c=153−8c,∵s与t的和能被11整除, ∴153−8c=121, 解得c=4, ∴a=9−4=5, b=4+3=7, ∴m=300+50+7=357, p=500+60+4=564, 357+564 ∴F(m,p)= =307. 3 故答案为:307. 【变式12-1】(23-24八年级·四川成都·期末)已知312−1可以被21和30之间的某两个数整除,则这两个 数为 . 【答案】28和26 【分析】本题考查幂的乘方的逆运算,以及利用平方差公式进行因式分解,将312−1利用幂的乘方的逆运 算,以及利用平方差公式进行因式分解得到(36+1)×28×26,即可解题. 【详解】解:312−1 =(36) 2 −12 =(36+1)(36−1) =(36+1)[(33) 2 −1) =(36+1)(33+1)(33−1) =(36+1)×28×26, ∴ 312−1可以被28和26两个数整除, 故答案为:28和26. 【变式12-2】(23-24八年级·福建泉州·期中)若一个四位正整数abcd满足:a+c=b+d,我们就称该数是 “交替数”,若一个“交替数”m满足千位数字与百位数字的平方差是15,且十位数字与个位数的和能被 5整除,则满足条件的“交替数”m的最大值为 . 【答案】8778【分析】本题考查了因式分解的应用,实数的运算,二元一次方程组的应用,理解题意,将其转化为实数 {a=8) {a=4) 的运算是解题关键.设“交替数”m=abcd,由a2−b2=15,得出 或 ,再由a+c=b+d,得 b=7 b=1 出c−d=−1或−3,然后由c+d=5n(n为正整数0),得出c、d的取值情况,列出满足条件的“交替 数”m的所有情况,取最大值即可. 【详解】解:设“交替数”m=abcd, 由题意可知,a+c=b+d,a2−b2=15,c+d=5n(n为正整数0), ∴(a+b)(a−b)=15, ∵15=1×15=3×5,1≤a≤9,1≤b≤9,且a、b为正整数, {a+b=15) {a+b=5) ∴ 或 , a−b=1 a−b=3 {a=8) {a=4) 解得: 或 , b=7 b=1 ∵a+c=b+d, ∴c−d=b−a, ∴c−d=−1或−3, ∵c+d=5n(n为正整数0),且1≤c≤9,1≤d≤9, ∴c+d=5或c+d=10或c+d=15, { c+d=5 ) { c+d=5 ) {c+d=10) {c+d=10) {c+d=15) {c+d=15) ∴ 或 或 或 或 或 , c−d=−1 c−d=−3 c−d=−1 c−d=−3 c−d=−1 c−d=−3 {c=2) {c=1) {c=4.5) {c=3.5) {c=7) {c=6) 解得: 或 或 (舍)或 (舍)或 或 , d=3 d=4 d=5.5 d=6.5 d=8 d=9 当a=8、b=7、c=2、d=3时,m=8723; 当a=8、b=7、c=7、d=8时,m=8778; 当a=4、b=1、c=1、d=4时,m=4114; 当a=4、b=1、c=6、d=9时,m=4169; 满足条件的“交替数”m的最大值为8778, 故答案为:8778. 【变式12-3】(23-24八年级·浙江宁波·期末)如果一个自然数A的个位数字不为0,且能分解成 M×N(M≥N),其中M与N都是两位数,M与N的十位数字相同,个位数字之和为6,则称此数为“如 意数”,并把数A分解成A=M×N的过程,称为“完美分解”.例如,因为525=21×25,21和25的十 位数字相同,个位数字之和为6,所以525是“如意数”.(1)最小的“如意数”是 ; (2)把一个“如意数”A进行“完美分解”,即A=M×N,M与N的和记为P,M与N的差记为Q,若 P 能被11整除,则A的值为 . Q 【答案】 165 1088 【分析】本题考查了因式分解的应用、整式加减的应用等知识点,正确理解“如意数”的定义是解题关键. (1)根据“如意数”的定义进行判断即可得; (2)设两位数M和N的十位数字均为m,M的个位数字为n,则N的个位数字为6−n,且m为1至9的 自然数,从而可得M=10m+n,N=10m+6−n, P 20m+6 10m+3 ,再求出 = = ,根据M≥N,自然数M的个位数字不为0,以及 Q 2n−6 n−3 P Q=M−N=2n−6≠0,可得n为5或者4 ,然后根据 能被11整除,分别求出m、n的值,由此即可得. Q 【详解】解:(1)∵自然数A的个位数字不为0, ∴根据“如意数”的定义可得最小的“如意数”为:A=11×15=165, 故答案为:165; (2)由题意,设两位数M和N的十位数字均为m,M的个位数字为n,则N的个位数字为6−n,且m为1 至9的自然数, ∴M=10m+n,N=10m+6−n, ∴P=M+N=20m+6,Q=M−N=2n−6, ∵M≥N,自然数A的个位数字不为0, ∴10m+n≥10m+6−n, 解得:n≥3, ∴n为5 、4或者3, ∵Q=M−N=2n−6≠0, ∴n≠3, ∴n为5或者4 , P 20m+6 10m+3 10m+3 ∴ = = ,即 的分子是奇数, Q 2n−6 n−3 n−3 P 10m+3 10m+3 当n=5时, = = ,分子是奇数,分母是偶数,则该数不是整数, Q n−3 2 不符合题意,舍去;P 10m+3 当n=4时, = =10m+3, Q n−3 P ∵ 能被11整除,且m为1至9的自然数, Q ∴满足条件的整数m只有3, ∴M=34,N=32, 即A=34×32=1088, 故答案为:1088. 【题型13 分式的化简求值】 x2−2x−8 【例13】(23-24八年级·江苏淮安·期中)当正整数x= 时,分式 的值也是正整数. x−3 【答案】2或8 x2−2x−8 5 【分析】本题考查了分式的值,因式分解,将分式 变形为(x−3)− +4,其值为正整数, x−3 x−3 由此求得x=4或2或8,再代入验证即可求解. x2−2x−8 (x−4)(x+2) 【详解】解: = x−3 x−3 [(x−3)−1)[(x−3)+5) = x−3 (x−3) 2+4(x−3)−5 = x−3 5 =(x−3)− +4, x−3 x2−2x−8 ∵分式 的值是正整数, x−3 ∴x−3=±1或±5, 解得:x=4或2或−2或8, ∵x为正整数, ∴x=4或2或8, x2−2x−8 42−2×4−8 当x=4时, = =0,不符合题意,舍去; x−3 4−3 x2−2x−8 22−2×2−8 当x=2时, = =8,符合题意; x−3 2−3 x2−2x−8 82−2×8−8 当x=8时, = =8,符合题意; x−3 8−3x2−2x−8 综上,当x=2或8时,分式 的值也是正整数. x−3 故答案为:2或8. na+m2 nb+m2 【变式13-1】(23-24八年级·浙江台州·开学考试)已知a+b=m,a−b=n,则 − 的值为 b a (用含m,n的式子表示). 4mn 【答案】 m−n (m+n)(m−n) 【分析】本题考查了分式混合运算.先化简原式,再根据a+b=m,a−b=n,求出ab= , 4 最后整体代入进行化简即可. na+m2 nb+m2 【详解】解: − b a na2+am2 nb2+bm2 = − ab ab na2+am2−(nb2+bm2) = ab na2+am2−nb2−bm2 = ab n(a2−b2)+m2(a−b) = ab n(a−b)(a+b)+m2(a−b) = , ab ∵a+b=m,a−b=n, 故m+n=a+b+a−b=2a, m−n=a+b−(a−b)=2b, m+n m−n (m+n)(m−n) ∴a= ,b= ,ab= , 2 2 4 (m+n)(m−n) 将a+b=m,a−b=n,ab= ,代入原式,得: 4 mn2+nm2 mn(n+m) 4mn(n+m) 4mn = = = = 原式 (m+n)(m−n) (m+n)(m−n) (m+n)(m−n) m−n. 4 44mn 故答案为: . m−n (1−x2)(1−y2) 【变式13-2】(23-24八年级·浙江宁波·自主招生)记A = .若a+b+c=abc,则 xy xy A=A +A +A = . ab bc ca 【答案】4 【详解】本题考查了分式的加减运算,运算量有点大,正确进行计算是解题的关键.先把三项的分母展开, 再通分,并用其中的abc用a+b+c代替,化简即可. 【解答】解:根据题意,可知a、b、c均不为0, (1−x2)(1−y2) ∵A = , xy xy ∴A=A +A +A ab bc ca (1−a2)(1−b2) (1−b2)(1−c2) (1−c2)(1−a2) = + + ab bc ac 1−a2−b2+a2b2 1−c2−b2+b2c2 1−c2−a2−c2a2 = + + ab bc ac ∵a+b+c=abc, c−a2c−b2c+a2b2c a−c2a−b2a+b2c2a b−c2b−a2b+c2a2b ∴A= + + abc abc abc c−a2c−b2c+a2b2c+a−c2a−b2a+b2c2a+b−c2b−a2b+c2a2b = abc (a+b+c)−a2c−b2c+ab(a+b+c)−c2a−b2a+bc(a+b+c)−c2b−a2b+ca(a+b+c) = abc abc−a2c−b2c+a2b+ab2+abc−c2a−b2a+abc+b2c+bc2−c2b−a2b+ca2+abc+c2a = abc 4abc = =4. abc 故答案为:4. 【变式13-3】(23-24八年级·浙江宁波·自主招生)已知x,y,z是大于1的正整数,且 ( 1)( 1)( 1) x+ y+ z+ 为整数,则x+ y+z= . y z x 【答案】12( 1)( 1)( 1) 1 1 1 1 【分析】先求出 x+ y+ z+ =xyz+z+x+ + y+ + + ,再不妨设13 y−a 1−2y y的分式方程 − =1的解是正整数,则所有满足条件的整数a的值之积是 . y−2 2−y 【答案】−3 【分析】本题考查了分式方程与一元一次不等式组的综合,熟练掌握解一元一次不等式组和分式方程的解 法是解题的关键. 先解不等式组,根据有且仅有4个整数解求出a的取值范围,再解分式方程,根据解是正整数,可求出满 足条件的a的值,进一步求解即可. {3(x−2)−2≤x①) 【详解】解: , 7x−a>3② 解①得:x≤4, 3+a 解②得:x> , 7 3+a 根据题意得: 0,解得:a<3, 2 ∴−3≤a<3, 当a=−3时,y=3,符合题意; 5 当a=−2时,y= ,不符合题意; 2 当a=−1时,y=2,是增根,不符合题意; 3 当a=0时,y= ,不符合题意; 2 当a=1时,y=1,符合题意; 1 当a=2时,y= ,不符合题意. 2 ∴满足条件的a只有1和−3, ∴满足条件的整数a的值之积为−3, 故答案为:−3. x−a 1 【变式14-1】(23-24八年级·福建福州·期末)若关于x的分式方程 = 无解,则a= . 2x−4 3 【答案】2 【分析】先去分母,将原方程化为整式方程,根据一元一次方程无解的条件看能否得出一类a值,再根据 分式方程无解的条件看能否得出另外一类a值即可. x−a 1 【详解】解: = , 2x−4 3 去分母得:3(x−a)=2x−4, 整理得:x=3a−4, 由于此方程未知数的系数是1不为0,故无论a取何值时,3(x−a)=2x−4都有解,故此情形下无符合 题意的a值; 由分式方程无解即有增根,可得2x﹣4=0,得x=2 把x=2代入x=3a−4,解得:a=2,故此情形下符合题意的a值为2; x−a 1 综上,若要关于x的分式方程 = 无解,a的值为2. 2x−4 3 故答案为: 2. 【点睛】本题考查了分式方程的解,熟练掌握分式方程及整式方程无解的条件是解题的关键. 1 1 1 【变式14-2】(23-24八年级·四川绵阳·自主招生)已知方程x+ =c+ (c是常数,c≠0)的解是c或 , x c c 1 a2+3a+1 那么方程x+ = (a是常数,且a≠0)的解是 . 4x−6 2a a+3 3a+1 【答案】 或 2 2a 1 1 【分析】观察方程:x+ =c+ (c是常数,c≠0)的特点,发现此方程的左边是未知数与其倒数的和,方 x c 程右边的形式与左边的形式完全相同,只是把其中的未知数换成了某个常数,那么这样的方程可以直接求 1 a2+3a+1 解.本题需要将方程x+ = 变形,使等号左边未知数的系数变得相同,等号右边的代数 4x−6 2a a 3 1 1 1 式可变为 + + .为此,方程的两边同乘2,整理后,即可写成方程x+ =c+ 的形式,从而求出原 2 2 2a x c 方程的解. 1 a2+3a+1 【详解】将x+ = 整理得 4x−6 2a 1 1 2x+ =a+3+ , 2x−3 a 1 1 即2x−3+ =a+ , 2x−3 a 1 所以2x−3=a或 , a a+3 3a+1 故答案为:x= 或 . 2 2a 【点睛】本题考查了阅读理解能力与知识的迁移能力.关键在于将所求方程变形为已知方程的形式.难点 是方程左边含未知数的项的系数不相同. x−b x−a 【变式14-3】(23-24八年级·上海浦东新·阶段练习)若关于x的方程 =2− 有唯一解,则a,b应 a b满足的条件是 . 【答案】a+b≠0且ab≠0 【分析】根据隐含条件,a≠0,b≠0,先去分母、去括号、移项,再合并,保证未知数的系数不等于0即 可. 【详解】解:由分式的概念可得ab≠0 ∵a≠0,b≠0, ∴两边同乘以ab得bx−b2=2ab−ax+a2, 整理后,得(b+a)x=(a+b) 2 因方程有唯一解, 故a+b≠0, 故答案为:a+b≠0且ab≠0. 【点睛】本题考查了一元一次方程的解法,一元一次方程有唯一解的条件是:未知数的系数不等于0. 【题型15 分式方程的实际应用】 【例15】(23-24八年级·重庆江北·期末)“巩固脱贫成果,长兴乡村经济”,大力发展高山生态经济林是 一重大举措.某村委会决定在红光、红旗、红锦三个村民小组种植高山脆李和晚熟香桃两种果树,初步预 算这三个村民小组各需两种果树之和的比为4∶5∶6,其中需要高山脆李树的棵数分别为4千棵,3千棵 和7千棵,并且红光、红旗两个村民小组所需晚熟香桃树之比为2∶3.在购买这两种果树时,高山脆李树 的价格比预算低了10%,晚熟香桃树的价格高了20%,晚熟香桃树购买数量减少了12.5%.结果发现购买 两种果树的总费用与预算总费用相等,则实际购买高山脆李树的总费用与实际购买晚熟香桃树的总费用之 比为 . 3 【答案】 7 【分析】设红光村需要晚熟香桃树为2x棵,红旗村需要晚熟香桃树为3x棵,红锦村需要晚熟香桃树y棵, 根据三个村民小组各需两种果树之和的比为4∶5∶6列出方程求出x=4000,y=11000,从而求出三个 村民小组种植两种果树的情况;设高山脆李的预算价格为a元,晚熟香桃树的预算几个为b元,分别表示出 预算总费用,实际两种果树的费用和实际两种果树的总费用,再根据预算总费用和实际总费用相等求出 a 31 = ,然后代值计算即可得到答案. b 28 【详解】解:设红光村需要晚熟香桃树为2x棵,红旗村需要晚熟香桃树为3x棵,红锦村需要晚熟香桃树y 棵2x+4000 4 ∴ = , 3x+3000 5 解得x=4000, 经检验,x=4000是原方程的解, ∴红光村需要晚熟香桃树为8000棵,红旗村需要晚熟香桃树为12000棵, 8000+4000 4 ∴ = , y+7000 6 解得y=11000, 经检验,y=11000是原方程的解, ∴红锦村需要晚熟香桃树11000棵; 设高山脆李的预算价格为a元,晚熟香桃树的预算几个为b元, ∴预算总费用为(8000+12000+11000)b+(4000+3000+7000)a =31000b+14000a, 实际购买晚熟香桃树的费用为(8000+12000+11000)×(1−12.5%)b×(1+20%) =32550b, 实际购买高山脆李的费用为(4000+3000+7000)b×(1−10%)=12600a 实际总费用为32550b+12600a, ∴31000b+14000a=32550b+12600a, a 31 ∴31b=28a,即 = b 28 12600a 3 ∴实际购买高山脆李树的总费用与实际购买晚熟香桃树的总费用之比为 = , 32550b 7 3 故答案为: . 7 【点睛】本题主要考查了分式方程的实际应用,正确理解题意找到等量关系建立方程是解题的关键. 【变式15-1】(23-24八年级·安徽合肥·期末)甲、乙两列客车的长分别为150米和200米,它们相向匀速 行驶在平行的轨道上,已知甲车上某乘客测得乙车在他窗口外经过的时间是10秒,那么乙车上的乘客看见 甲车在他窗口外经过的时间是 秒. 【答案】7.5 【分析】坐在甲车上的某乘客看见乙车驶过窗口,此时路程为乙车的长度,速度为甲乙两车速度之和;坐 在乙车上的乘客看见甲车驶过窗口,此时路程为甲车长度,速度为两人速度之和.等量关系为:乙车长度 ÷坐在甲车上的乘客看见乙车驶过窗口的时间=甲车长度÷坐在乙车上的乘客看见甲车驶过窗口所用的时间, 列方程求解即可.【详解】解:设乙车上的乘客看见甲车在他窗口外经过的时间是x秒 200 150 由题意知, = 10 x 解得x=7.5 经检验,x=7.5是原方程的解 ∴乙车上的乘客看见甲车在他窗口外经过的时间是7.5秒 故答案为:7.5. 【点睛】本题考查了分式方程的应用.解题的关键在于根据题意列正确的方程. 【变式15-2】(23-24八年级·山东济宁·期末)某中学假期后勤中的一项工作是请30名木工制作200把椅子 和100张课桌,已知一名工人在单位时间内可以制作10把椅子或7张课桌,将这30名工人分成两组,一组 制作课桌,一组制作椅子,两组同时开工.应分配 人制作课桌,才能使完成此 项工作的时间最短. 【答案】13 【分析】设制作课桌的工人为x名,则制作椅子的工人有(30−x)名,分别表示出制作椅子和课桌所需要的 时间,列出分式方程求解. 【详解】解:设制作课桌的工人为x名,则制作椅子的工人有(30−x)名, 200 20 则制作200把椅子所需时间t = = (1≤x≤29), 1 (30−x)×10 30−x 100 制作100张课桌所用的时间为t = (1≤x≤29), 2 7x 20 100 令T= − , 30−x 7x 当|T)值最小时,表示工人分别完成两项工作的时间最接近,此时完成此项工作时间最短, 20 100 当|T)=0时,即 − =0, 30−x 7x 解得x=1.25,不符合实际, 5 120 当x=12时,|T)= = , 63 1512 120 当x=13时,|T)= , 1547 即当x=13时,完成此项工作时间最短. 故答案是:13. 【点睛】本题考查分式方程的应用,解题的关键是找出等量关系列出分式方程求解.【变式15-3】(23-24八年级·重庆大足·期末)随着期末考试来临,李勇同学原计划延时服务期间复习语文、 数学、英语的时间为2:4:4,班主任李老师提醒要学科均衡,补短板.他便将数学复习时间的20%分给了 语文和英语,调整后语文和英语的复习时间之比为3:5.李勇同学非常刻苦,实际复习时还挤出部分休息 时间分给了三个学科,其中20%分给了语文,余下的80%分别分给数学和英语,这样语文的总复习时间与 三科总复习时间比为1:4.若李勇同学最终希望使数学与英语总复习时间比为5:6,那么数学的总复习时 间与最后三科总复习时间之比为 . 15 【答案】 /15:44. 44 【分析】:设李勇同学原计划延时服务期间复习语文、数学、英语的时间分别为2x,4x,4x,设他分给语 (4 ) (4 ) 文的时间为a,则分给英语的时间为 x−a ,此时语文时间为:2x+a,英语时间为:4x+ x−a , 5 5 11x 51x 16 依据语文英语时间的比值解得:a= ,此时各科学习时间分别为语文: ,数学: x,英语: 20 20 5 85x 51x 1 ,设挤出的休息时间为b,则第二次调整后语文时间为: + b,依据语文时间的比求出b=x,则 20 20 5 总学习时间为:2x+4x+4x+x=11x,设此时他的数学时间为5c,则英语6c,依据数学英语时间和占 3 3 总时间的 ,求出c= x,从而求出数学时间以及和总时间的比值. 4 4 【详解】解:设李勇同学原计划延时服务期间复习语文、数学、英语的时间分别为2x,4x,4x, 依题意: 4 16 他分给语文和英语的复习时间和为20%×4x= x,剩余数学时间为80%×4x= x, 5 5 (4 ) 设他分给语文的时间为a,则分给英语的时间为 x−a , 5 此时语文时间为:2x+a, (4 ) 英语时间为:4x+ x−a , 5 2x+a 3 = 依题意得: (4 ) 5, 4x+ x−a 5 11x 解得:a= , 2011x 51x 故第一次调整后语文时间为:2x+ = , 20 20 16 数学时间为: x, 5 ( 11x) 85x 英语时间为:4x+ 0.8x− = , 20 20 设挤出的休息时间为b, 51x 1 则第二次调整后语文时间为: + b, 20 5 51x 1 + b 依题意得: 20 5 1, = 2x+4x+4x+b 4 解得b=x, 则总学习时间为:2x+4x+4x+x=11x, 设此时他的数学时间为5c,则英语6c, 3 依题意得5c+6c= ×11x, 4 3 解得:c= x, 4 故数学的总复习时间与最后三科总复习时间之比为: 3 5× x 5c 4 15, = = 11x 11x 44 15 故答案为: 或15:44. 44 【点睛】本题考查了分式的实际应用;解题的关键是用代数式准确表示出每次调整后各学科的时间,依据 比例列方程求解.