当前位置:首页>文档>专题06解三角形(周长(边长)问题(含定值,最值,范围问题))(典型题型归类训练)(解析版)_02高考数学_2024年新高考资料_3.2024专项复习_三角函数、平面向量及解三角形

专题06解三角形(周长(边长)问题(含定值,最值,范围问题))(典型题型归类训练)(解析版)_02高考数学_2024年新高考资料_3.2024专项复习_三角函数、平面向量及解三角形

  • 2026-04-08 08:49:44 2026-04-08 08:33:02

文档预览

专题06解三角形(周长(边长)问题(含定值,最值,范围问题))(典型题型归类训练)(解析版)_02高考数学_2024年新高考资料_3.2024专项复习_三角函数、平面向量及解三角形
专题06解三角形(周长(边长)问题(含定值,最值,范围问题))(典型题型归类训练)(解析版)_02高考数学_2024年新高考资料_3.2024专项复习_三角函数、平面向量及解三角形
专题06解三角形(周长(边长)问题(含定值,最值,范围问题))(典型题型归类训练)(解析版)_02高考数学_2024年新高考资料_3.2024专项复习_三角函数、平面向量及解三角形
专题06解三角形(周长(边长)问题(含定值,最值,范围问题))(典型题型归类训练)(解析版)_02高考数学_2024年新高考资料_3.2024专项复习_三角函数、平面向量及解三角形
专题06解三角形(周长(边长)问题(含定值,最值,范围问题))(典型题型归类训练)(解析版)_02高考数学_2024年新高考资料_3.2024专项复习_三角函数、平面向量及解三角形
专题06解三角形(周长(边长)问题(含定值,最值,范围问题))(典型题型归类训练)(解析版)_02高考数学_2024年新高考资料_3.2024专项复习_三角函数、平面向量及解三角形
专题06解三角形(周长(边长)问题(含定值,最值,范围问题))(典型题型归类训练)(解析版)_02高考数学_2024年新高考资料_3.2024专项复习_三角函数、平面向量及解三角形
专题06解三角形(周长(边长)问题(含定值,最值,范围问题))(典型题型归类训练)(解析版)_02高考数学_2024年新高考资料_3.2024专项复习_三角函数、平面向量及解三角形
专题06解三角形(周长(边长)问题(含定值,最值,范围问题))(典型题型归类训练)(解析版)_02高考数学_2024年新高考资料_3.2024专项复习_三角函数、平面向量及解三角形
专题06解三角形(周长(边长)问题(含定值,最值,范围问题))(典型题型归类训练)(解析版)_02高考数学_2024年新高考资料_3.2024专项复习_三角函数、平面向量及解三角形
专题06解三角形(周长(边长)问题(含定值,最值,范围问题))(典型题型归类训练)(解析版)_02高考数学_2024年新高考资料_3.2024专项复习_三角函数、平面向量及解三角形
专题06解三角形(周长(边长)问题(含定值,最值,范围问题))(典型题型归类训练)(解析版)_02高考数学_2024年新高考资料_3.2024专项复习_三角函数、平面向量及解三角形
专题06解三角形(周长(边长)问题(含定值,最值,范围问题))(典型题型归类训练)(解析版)_02高考数学_2024年新高考资料_3.2024专项复习_三角函数、平面向量及解三角形
专题06解三角形(周长(边长)问题(含定值,最值,范围问题))(典型题型归类训练)(解析版)_02高考数学_2024年新高考资料_3.2024专项复习_三角函数、平面向量及解三角形
专题06解三角形(周长(边长)问题(含定值,最值,范围问题))(典型题型归类训练)(解析版)_02高考数学_2024年新高考资料_3.2024专项复习_三角函数、平面向量及解三角形
专题06解三角形(周长(边长)问题(含定值,最值,范围问题))(典型题型归类训练)(解析版)_02高考数学_2024年新高考资料_3.2024专项复习_三角函数、平面向量及解三角形
专题06解三角形(周长(边长)问题(含定值,最值,范围问题))(典型题型归类训练)(解析版)_02高考数学_2024年新高考资料_3.2024专项复习_三角函数、平面向量及解三角形
专题06解三角形(周长(边长)问题(含定值,最值,范围问题))(典型题型归类训练)(解析版)_02高考数学_2024年新高考资料_3.2024专项复习_三角函数、平面向量及解三角形
专题06解三角形(周长(边长)问题(含定值,最值,范围问题))(典型题型归类训练)(解析版)_02高考数学_2024年新高考资料_3.2024专项复习_三角函数、平面向量及解三角形
专题06解三角形(周长(边长)问题(含定值,最值,范围问题))(典型题型归类训练)(解析版)_02高考数学_2024年新高考资料_3.2024专项复习_三角函数、平面向量及解三角形
专题06解三角形(周长(边长)问题(含定值,最值,范围问题))(典型题型归类训练)(解析版)_02高考数学_2024年新高考资料_3.2024专项复习_三角函数、平面向量及解三角形
专题06解三角形(周长(边长)问题(含定值,最值,范围问题))(典型题型归类训练)(解析版)_02高考数学_2024年新高考资料_3.2024专项复习_三角函数、平面向量及解三角形
专题06解三角形(周长(边长)问题(含定值,最值,范围问题))(典型题型归类训练)(解析版)_02高考数学_2024年新高考资料_3.2024专项复习_三角函数、平面向量及解三角形
专题06解三角形(周长(边长)问题(含定值,最值,范围问题))(典型题型归类训练)(解析版)_02高考数学_2024年新高考资料_3.2024专项复习_三角函数、平面向量及解三角形
专题06解三角形(周长(边长)问题(含定值,最值,范围问题))(典型题型归类训练)(解析版)_02高考数学_2024年新高考资料_3.2024专项复习_三角函数、平面向量及解三角形
专题06解三角形(周长(边长)问题(含定值,最值,范围问题))(典型题型归类训练)(解析版)_02高考数学_2024年新高考资料_3.2024专项复习_三角函数、平面向量及解三角形
专题06解三角形(周长(边长)问题(含定值,最值,范围问题))(典型题型归类训练)(解析版)_02高考数学_2024年新高考资料_3.2024专项复习_三角函数、平面向量及解三角形
专题06解三角形(周长(边长)问题(含定值,最值,范围问题))(典型题型归类训练)(解析版)_02高考数学_2024年新高考资料_3.2024专项复习_三角函数、平面向量及解三角形
专题06解三角形(周长(边长)问题(含定值,最值,范围问题))(典型题型归类训练)(解析版)_02高考数学_2024年新高考资料_3.2024专项复习_三角函数、平面向量及解三角形
专题06解三角形(周长(边长)问题(含定值,最值,范围问题))(典型题型归类训练)(解析版)_02高考数学_2024年新高考资料_3.2024专项复习_三角函数、平面向量及解三角形
专题06解三角形(周长(边长)问题(含定值,最值,范围问题))(典型题型归类训练)(解析版)_02高考数学_2024年新高考资料_3.2024专项复习_三角函数、平面向量及解三角形
专题06解三角形(周长(边长)问题(含定值,最值,范围问题))(典型题型归类训练)(解析版)_02高考数学_2024年新高考资料_3.2024专项复习_三角函数、平面向量及解三角形
专题06解三角形(周长(边长)问题(含定值,最值,范围问题))(典型题型归类训练)(解析版)_02高考数学_2024年新高考资料_3.2024专项复习_三角函数、平面向量及解三角形
专题06解三角形(周长(边长)问题(含定值,最值,范围问题))(典型题型归类训练)(解析版)_02高考数学_2024年新高考资料_3.2024专项复习_三角函数、平面向量及解三角形
专题06解三角形(周长(边长)问题(含定值,最值,范围问题))(典型题型归类训练)(解析版)_02高考数学_2024年新高考资料_3.2024专项复习_三角函数、平面向量及解三角形
专题06解三角形(周长(边长)问题(含定值,最值,范围问题))(典型题型归类训练)(解析版)_02高考数学_2024年新高考资料_3.2024专项复习_三角函数、平面向量及解三角形
专题06解三角形(周长(边长)问题(含定值,最值,范围问题))(典型题型归类训练)(解析版)_02高考数学_2024年新高考资料_3.2024专项复习_三角函数、平面向量及解三角形
专题06解三角形(周长(边长)问题(含定值,最值,范围问题))(典型题型归类训练)(解析版)_02高考数学_2024年新高考资料_3.2024专项复习_三角函数、平面向量及解三角形
专题06解三角形(周长(边长)问题(含定值,最值,范围问题))(典型题型归类训练)(解析版)_02高考数学_2024年新高考资料_3.2024专项复习_三角函数、平面向量及解三角形
专题06解三角形(周长(边长)问题(含定值,最值,范围问题))(典型题型归类训练)(解析版)_02高考数学_2024年新高考资料_3.2024专项复习_三角函数、平面向量及解三角形
专题06解三角形(周长(边长)问题(含定值,最值,范围问题))(典型题型归类训练)(解析版)_02高考数学_2024年新高考资料_3.2024专项复习_三角函数、平面向量及解三角形

文档信息

文档格式
docx
文档大小
2.139 MB
文档页数
37 页
上传时间
2026-04-08 08:33:02

文档内容

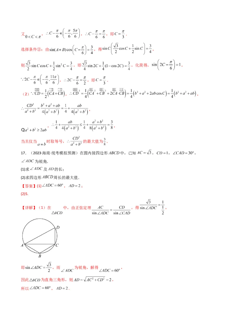
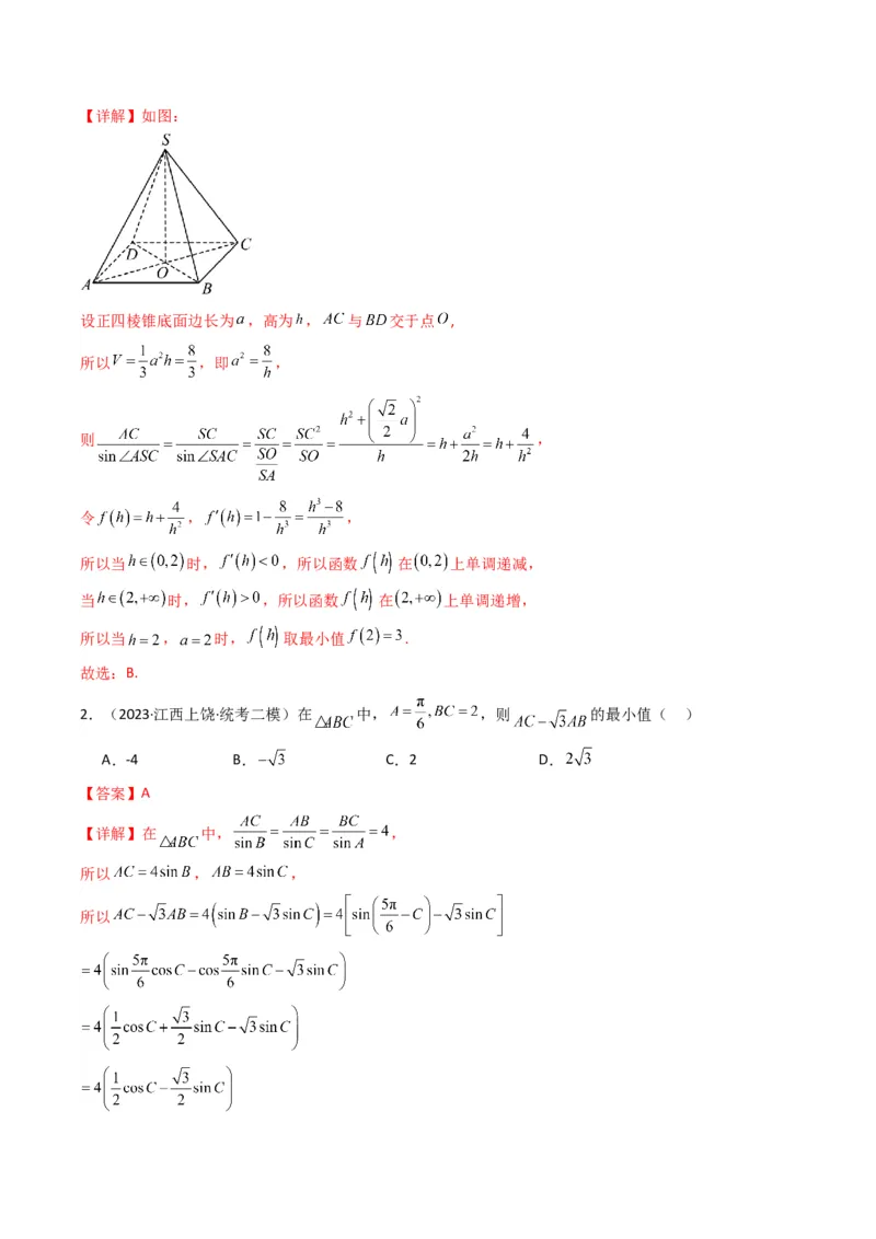
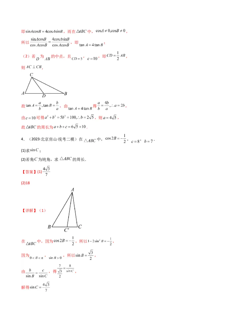
专题 06 解三角形(周长(边长)问题(含定值,最值,范围问 题)) (典型题型归类训练) 目录 一、必备秘籍........................................................1 二、典型题型........................................................1 题型一:定值问题.................................................1 题型二:最值值问题...............................................5 题型三:范围问题................................................12 三、专项训练.......................................................21 一、必备秘籍 核心技巧1:基本不等式(无约束条件的三角形) 利用基本不等式 ,在结合余弦定理求周长取值范围; 核心技巧2:利用正弦定理化角(受约束的三角形,如:锐角三角形) 利用正弦定理 , ,代入周长(边长)公式,化角,再结合辅助角公式,根据角 的取值范围,求周长(边长)的取值范围. 二、典型题型 题型一:定值问题 1.(2023·陕西西安·校考一模)在 中,角 的对边长分别为 ,且 . (1)求 ; (2)若 的面积为 , ,求 的周长.【答案】(1) (2) 【详解】(1)因为 , 所以由正弦定理得 , 所以 , 因为 ,所以 . (2)因为 ,所以 , 由(1)知, , 所以 , 所以 , 所以 ,所以 , 所以 的周长为 . 2.(2023·四川成都·石室中学校考模拟预测)如图,在 中, ,点 在 延长线 上,且 . (1)求 ; (2)若 面积为 ,求 . 【答案】(1) (2) 【详解】(1)因为 ,设 ,则 ,由余弦定理得 ,因为 , 所以 在 中,由正弦定理得 , 在 中,由正弦定理得 , 因为 ,所以 整理得 . (2)由 得 , 由(1)得 ,所以 , 在 中, , 由余弦定理得 . 3.(2023·河北·统考模拟预测)已知 , , 分别为 三个内角 , , 的对边,且 . (1)证明: ; (2)若 为 的中点,且 , ,求 的周长. 【答案】(1)证明见解析 (2) 【详解】(1)由题意知 , 故由正弦定理可得 ,即 , 又 ,所以 , 即 ,即 ,而在 中, , 所以 ,即 ; (2)若 为 的中点,且 , ,即 , 则 , 故 ,由 得 , 由 可得 ,则 , 故 的周长为 . 4.(2023·北京房山·统考二模)在 中, , , . (1)求 ; (2)若角 为钝角,求 的周长. 【答案】(1) (2)18 【详解】(1) 在 中,因为 ,所以 , 因为 , ,所以 , 由 ,得 , 解得(2)因为 , 为钝角,所以 , 由 得 , 整理得 ,解得 或 (舍),所以 . 所以 的周长为 . 5.(2023·湖南永州·统考三模)在 中, 的对边分别为 且 . (1)求C的值; (2)若 边上的点M满足 , , ,求 的周长. 【答案】(1) (2)答案见解析 【详解】(1)由正弦定理得: , 在三角形中 , 故 , 即 , 因为 ,所以 , 即 , 而 , , , ; (2)因为 , , , 由余弦定理得 则 ①, 又 , 由于 , 故 , 则 ②, ①×7=②即 ,即 , 亦即 ,则 或 ,当 时,代入①得 , , 周长 ; 当 时,代入①得 , , 周长 . 题型二:最值值问题 1.(2023·贵州遵义·统考三模)在 中, ,D为BC边上一点,且 ,则 的最小值 为 . 【答案】 【详解】由 , 得 , 则 , 所以 , 则 , 当 时,取等号, 所以 的最小值为 . 故答案为: . 2.(2023·安徽·池州市第一中学校考模拟预测)从条件① ;② 中任选一个,补充在下面问题中,并加以解答.在 中:内角 的对边分别为 ,______. (1)求角 的大小; (2)设 为边 的中点,求 的最大值. 【答案】(1) (2) 【详解】(1)若选条件①:由正弦定理得: , , , , , 即 , , 又 , , ,解得: ; 若选条件②: , , , , , ,解得: . (2) , , 即 , (当且仅当 时取等号),的最大值为 . 3.(2023·山西吕梁·统考二模)如图,在平面四边形 中, , , 的平分线交 于点 ,且 . (1)求 及 ; (2)若 ,求 周长的最大值. 【答案】(1) , (2) 【详解】(1)在 中,由正弦定理得 , 又 ,则 , 于是 , ∵ 为角平分线,∴ ,∴ ,∴ , 在 中,根据余弦定理得 , ∴ . (2)设 , .在 中, 由余弦定理得 , 即有 ,即 , ∴ , 当且仅当 时,“=”成立. ∴ 周长的最大值为 . 4.(2023·河北邯郸·统考二模)已知条件:① ;② ;③ . 从三个条件中任选一个,补充在下面的问题中,并解答问题:在 中,角A,B,C所对的边分别为 a,b,c,满足:____.(1)求角C的大小; (2)若 , 与 的平分线交于点I,求 周长的最大值. 【答案】(1) (2) 【详解】(1)选择条件①, , 在 中,由余弦定理得 , 整理得 ,则 , 又 ,所以 ; 选择条件②, , 于是 , 由正弦定理得 , 因为 ,则 ,即 , 因为 ,因此 ,即 , 又 ,所以 ; 选择条件③, ,则 , 所以 ,则 ,又 , 即有 ,则 ,所以 ; (2)由(1)知, ,有 , 而 与 的平分线交于点I,即有 ,于是 ,设 ,则 ,且 , 在 中,由正弦定理得 , 所以 , , 所以 的周长为 , 由 ,得 , 则当 ,即 时, 的周长取得最大值 , 所以 周长的最大值为 . 5.(2023·江苏镇江·江苏省镇江中学校考三模)在凸四边形 中, . (1)若 .求 的长; (2)若四边形 有外接圆,求 的最大值. 【答案】(1) (2) . 【详解】(1)因为 ,所以 , 所以 , 由余弦定理可知, ,即 (2)因为四边形 有外接圆,所以 , 因为 ,且由正弦定理可知, , 所以 ,即 , 设 ,则 ,由正弦定理可知, , 所以 ,同理可知 , 所以 , 因为 ,所以 ,所以当 , 即 时, 取得最大值为 . 6.(2023·上海徐汇·统考三模)如图, 中,角 、 、 的对边分别为 、 、 . (1)若 ,求角 的大小; (2)已知 、 ,若 为 外接圆劣弧 上一点,求 周长的最大值. 【答案】(1) ; (2) . 【详解】(1)在 中,由 及正弦定理,得 , 即 ,则 , 整理得 ,而 ,即 ,又因为 ,所以 . (2)在 中, , 由余弦定理得 , 于是 ,解得 , 当且仅当 时取等号, 所以当 时, 周长取得最大值 . 7.(2023·云南·校联考三模)已知函数 在 上单调,且 . (1)求 的解析式; (2)若钝角 的内角 的对边分别是 ,且 , ,求 周长的最大值. 【答案】(1) (2) 【详解】(1)因为 , 因为 在 上单调,且 ,所以 ,解得 , 又 ,所以 为 的一条对称轴,所以 , 解得 ,所以 ,所以 . (2)因为 ,即 , 又 ,所以 ,所以 或 ,解得 或 , 因为 为钝角三角形,所以 , 由余弦定理 ,即 , 即 ,当且仅当 时取等号, 所以 ,所以 , 即 周长的最大值为 . 题型三:范围问题 1.(2023·陕西西安·西安市大明宫中学校考模拟预测)在平面四边形ABCD中, , , ,当AC的长度最小时, 的取值范围是 . 【答案】 【详解】在平面四边形ABCD中, , , 在 中, 由余弦定理得 , 当且仅当 时取等号, 所以 的最小值为 , 在 中, , 由正弦定理得 , 则 , , 故 , 因为 ,所以 ,所以 , 所以 的取值范围是 .故答案为: . 2.(2023·江西景德镇·统考三模)在 中,内角 , , 的对边分别是 , , .已知 . (1)求角 ; (2)若 是钝角三角形,且 ,求边 的取值范围. 【答案】(1) (2) 【详解】(1) ,则 , 又 ,则 且 ,可得 , 由 ,故 . (2)由 ,即 ,又 是钝角三角形且 ,故 为钝角, 则 ,故 . 3.(2023·浙江·统考二模)在锐角 中,内角 所对的边分别为 , , ,满足 ,且 . (1)求证: ; (2)已知 是 的平分线,若 ,求线段 长度的取值范围. 【答案】(1)证明见解析(2) 【详解】(1)由题意得 ,由正弦定理得 , 因为 ,则 ,即 ,可得 ,整理得 , 由余弦定理得 ,整理得 , 由正弦定理得 , 故 ,整理得 , 又因为 为锐角三角形,则 ,可得 , 所以 ,即 . (2)在 中,由正弦定理得 , 所以 , 因为 为锐角三角形,且 ,所以 ,解得 . 故 ,所以 . 因此线段 长度的取值范围 . 4.(2023·云南·校联考模拟预测) 的内角 的对边分别为 ,且 . (1)求角 ; (2)若 ,求 周长的取值范围. 【答案】(1) (2) 【详解】(1)因为 ,可得 ,所以由正弦定理可得 , 又 为三角形内角, , 所以 , 因为 , 所以 ,可得 ,所以 . (2)由(1)知 ,又 , 由正弦定理得 , 则 , , 5.(2023·河北秦皇岛·统考模拟预测)在锐角 中,内角A,B,C的对边分别为a,b,c,若 , . (1)求角B的大小; (2)求 的取值范围. 【答案】(1)(2) 【详解】(1)由 及余弦定理,得 , 由锐角 ,知 , 所以 . (2)由(1)知 ,得 ,故 , 由正弦定理 ,得 , 由 为锐角三角形得 解得 , ∴ , ∴ . 故 的取值范围为 . 6.(2023·甘肃张掖·高台县第一中学校考模拟预测)已知 ABC的内角A,B,C所对的边分别为a,b, c,且 . △ (1)若 ,求证: ABC是等边三角形; △ (2)若 ABC为锐角三角形,求 的取值范围. △ 【答案】(1)证明见解析 (2) 【详解】(1)证明:∵ , ∴由正弦定理,得 , ∵ ,∴ ,∴ , ∴ ,∴ ,∵ ,∴ ,∴ ,即 , ∵ ,∴ . 由 ,得 , ∴ ,∴△ABC为等边三角形. (2)由(1)知 ,∴ . 由 ABC为锐角三角形,可得 , △ 解得 ,∴ . 由正弦定理,得 , 由 ,可得 ,∴ , 即 ,∴ 的取值范围为 . 7.(2023·山东·山东师范大学附中校考模拟预测)在① ;② 两个条件中任选一个,补充在下面的问题中,并解答该问题. 在 中,内角A,B,C所对的边分别是a,b,c,若D为 边上一点,满足 , ,且 ______. 注:如果选择多个条件分别解答,按第一个解答计分. (1)求角 ; (2)求 的取值范围. 【答案】(1) (2) 【详解】(1)选① , 由正弦定理可得 ,即 , 因为 ,故 , 又 ,故 . 选② , 由正弦定理得 , 即 ,即 , 即 ,而 , 故 ,又 ,故 . (2)因为 ,故 , 在 中, ,得 , 在 中, ,得 , 故 ,而 , 所以 , 由题意知 , 故 ,即 的取值范围为 . 8.(2023·山东·山东省实验中学校考二模)在 中,内角 、 、 所对的边分别为 、 、 ,已知 . (1)求角 ; (2)若 为边 上一点(不包含端点),且满足 ,求 的取值范围. 【答案】(1) (2)【详解】(1)解:由 结合正弦定理可得: ,则 , 因为 、 ,则 ,所以, , 可得 ,故 . (2)解:由 可得 ,所以, , 所以, ,故 , 在 中, , , 由正弦定理可得 , 所以, , 因为 ,则 ,所以, . 所以, 的取值范围是 . 9.(2023·重庆·重庆南开中学校考模拟预测)在 中,内角A、 、 所对的边分别为 、 、 ,已 知 . (1)求角A的大小; (2)点 为边 上一点(不包含端点),且满足 ,求 的取值范围. 【答案】(1)(2) 【详解】(1)由 ,结合正弦定理可得: 因为 ,所以 即 , 所以 ,而 ,所以 ; (2) 由 知: ,所以 ,即 在 中,有 , , 由正弦定理可得: 所以 由 可得 ,所以 . 三、专项训练 1.(2023·山东泰安·统考模拟预测)若正四棱锥 的体积为 ,则 的最小值为( ) A. B. C. D. 【答案】B【详解】如图: 设正四棱锥底面边长为 ,高为 , 与 交于点 , 所以 ,即 , 则 , 令 , , 所以当 时, ,所以函数 在 上单调递减, 当 时, ,所以函数 在 上单调递增, 所以当 , 时, 取最小值 . 故选:B. 2.(2023·江西上饶·统考二模)在 中, ,则 的最小值( ) A.-4 B. C.2 D. 【答案】A 【详解】在 中, , 所以 , , 所以, 因为 ,所以 , 所以 , , 则 的最小值为 . 故选:A 3.(2023·广西玉林·博白县中学校考模拟预测)定义平面凸四边形为平面上每个内角度数都小于 的四 边形.已知在平面凸四边形 中, ,则 的取值范围是( ) A. B. C. D. 【答案】A 【详解】在 中,由余弦定理得: , 显然 ,即 , , 在 中, , ,因为 为平面凸四边形,则有 , 因此 ,而 , 由正弦定理 得: , 当 时, ,当 时, , 因此 , ,即 , 所以 的取值范围是 . 故选:A 4.(2023·广东广州·广州市从化区从化中学校考模拟预测)在 中,角A,B,C的对边分别为a,b, c,已知 ,若角A的内角平分线AD的长为3,则 的最小值为( )A.12 B.24 C.27 D.36 【答案】A 【详解】因为 , 所以 ,即 , 所以 , 又因 ,所以 , 由 ,得 , 所以 , 则 , 当且仅当 ,即 时,取等号, 所以 的最小值为 . 故选:A. 5.(2023·四川成都·四川省成都市玉林中学校考模拟预测)在 ABC中,内角A,B,C的对应边分别为 a,b,c,已知 ,且 ABC的面积为 △ ,则 ABC周长的最小值为( ) △ △ A. B.6 C. D. 【答案】B 【详解】由题设及三角形内角和性质: , 根据正弦定理及诱导公式得 , , , ,即 , ,则 ,则 ,解得 ,则 , 所以 ,则 ,又 仅当 时等号成立, 根据余弦定理得 ,即 , 设 的周长为 ,则 , 设 ,则 , 根据复合函数单调性:增函数加增函数为增函数得: 在 上为单调增函数, 故 ,故 ,当且仅当 时取等. 故选:B 6.(2023·河南·洛阳市第三中学校联考一模)在 中,内角 的对边分别为 ,已知 ,若点 为 边的中点,则 的最大值为( ) A. B. C. D. 【答案】A 【详解】方法一:如图,设 ,则 .在 中, 由余弦定理得 ①. 在 中,由余弦定理得 ②. 由① ②可得: . 在 中,由余弦定理得 ,当且 仅当 时等号成立,解得 ,即 的最大值为 . 方法二:由题可得, , 所以 ①. 又因为 ,所以 ②, 由①②得 , 由①得 , 则 ,所以 ,当且仅当 时,等号成立.所以 . 故选: . 7.(2023·四川自贡·统考二模) 中,角 、 、 所对的边分别为 、 、 .若 ,且 ,则 周长的最大值为 . 【答案】 【详解】因为 ,由正弦定理可得 , 所以, , 因为 、 ,则 ,所以, ,故 , 由余弦定理可得 , 所以, ,即 ,故 , 当且仅当 时,等号成立,故 周长的最大值为 . 故答案为: . 8.(2023·四川眉山·校考三模)在锐角 中,内角A,B,C所对应的边分别是a,b,c,且 ,则 的取值范围是 . 【答案】 【详解】由正弦定理和正弦二倍角公式可得 , 因为 ,所以 , 可得 , 因为 ,所以 , 所以 , , 由 , 可得 ,所以 , , 由正弦定理得 . 故答案为: . 9.(2023·上海金山·上海市金山中学校考模拟预测)已知在 中,角 所对边分别为 , 满足 ,且 ,则 的取值范围为 . 【答案】 【详解】由题意在 中,满足 ,即 , 即 ,而 , 故 ,又 , 则 ,同理 , 故 , 又 ,故 , 则 , 故答案为: 10.(2023·陕西西安·统考一模)已知在 中,角A,B,C所对边分别为a,b,c,满足 ,且 ,则 周长的取值范围为 . 【答案】 【详解】在 中,由 及正弦定理得: ,而 , 于是 ,有 , 而 , ,因此 ,由余弦定理得 , 即有 ,当且仅当 时取等号,从而 ,而 ,则 , 所以 周长的取值范围为 . 故答案为: 11.(2023·宁夏石嘴山·平罗中学校考二模)在 中, 内角 的对边分别为 ,且满足 ,则 的取值范围 【答案】 【详解】 ,由正弦定理得: , 由余弦定理得: , 因为 , 所以 , 由正弦定理得: , 因为 , 所以 , 故当 ,即 时, 取得最大值,最大值为 , 且 , 综上: 的取值范围是 . 故答案为: . 12.(2023·山东菏泽·山东省鄄城县第一中学校考三模)已知在 中,内角 , , 所对的边分别为, , , . (1)若 ,求出 的值; (2)若 为锐角三角形, ,求边长 的取值范围. 【答案】(1) (2) 【详解】(1)因为 由正弦定理可得 , 即 ,因为 ,所以 , 所以 ,因为 ,所以 , 由 ,所以 , 所以 ,所以 , 即 ,所以 ,所以 , 因为 ,所以 , 所以 . (2)因为 为锐角三角形,且 ,所以 , 所以 ,解得 , 又 ,由正弦定理 , 所以 ,因为 ,所以 ,所以 ,所以 , 即边长 的取值范围为 . 13.(2023·四川成都·石室中学校考模拟预测)在 中,角 所对的边分别为 ,且 ,边 上有一动点 . (1)当 为边 中点时,若 ,求 的长度; (2)当 为 的平分线时,若 ,求 的最大值. 【答案】(1) (2) 【详解】(1)解:因为 , 所以 ,即 . 由正弦定理,得 . 因为 ,所以 . 因为 ,所以 . 又因为 ,所以 ,所以 . 因为 为边 中点,所以 ,则 . 又 , 所以 ,即 ,即 , 所以 . (2)在 中,由余弦定理,得 .又 ,所以 , 所以 ,当且仅当 时取等号, 所以 ,所以 . 因为 平分 , 所以 , 所以 , 所以 . 令 ,则 . 因为 在 上单调递增, 所以当 即 时, 取得最大值为 , 所以 的最大值为 . 14.(2023·辽宁大连·大连二十四中校考模拟预测)在① ,② ,③ 三个条件中任选一个补充在下面的横线上,并加以解答. 在 中,角A,B,C的对边分别为a,b,c且__________,作AB⊥AD,使得四边形ABCD满足 , .(1)求角B的值; (2)求BC的取值范围. 【答案】(1)条件选择见解析, (2) 【详解】(1)选①: ,即 ,由正弦定理可得: ,整理得 , 所以 ,即 , 又 ,所以 ,得到 ,又 ,所以 . 选②: ,由正弦定理可得: ,整理得 ,即 , 又由余弦定理 ,所以 ,又 ,所以 . 选③: ,根据条件得 ,得到 , 又 ,所以 . 综上,无论选择哪个条件, (2)设 ,则 , 在 中,由正弦定理得 ,可得 , 在 中,由正弦定理得 , 可得 , 因为 ,可得 , 当 时,即 ,可得 , 当 时,即 ,可得 , 所以 的取值范围是 . 15.(2023·全国·模拟预测)在锐角 中,内角A,B,C的对边分别为a,b,c, . (1)求角 ; (2)若点 在 上, , ,求 的值. 【答案】(1) (2) 【详解】(1)因为 , 所以 ,解得 或 (舍去), 所以 ,即 ,因为 ,所以 . (2)如图,因为 , ,设 , , 在 中,由余弦定理得 , 在 中,由余弦定理得 , 在 中,由余弦定理得 , 因为 ,所以 , 即 ,所以 , 所以 , 因为 ,所以 , 所以 . 16.(2023·安徽·校联考模拟预测)从条件① ;② 中任 选一个,补充在下面问题中,并加以解答. 在 中:内角 , , 的对边分别为 , , ,__________. (1)求角 的大小; (2)设 为边 的中点,求 的最大值. 注:如果选择多个条件分别解答,按第一个解答计分. 【答案】(1)条件选择见解析, (2) 【详解】(1)选择条件①:由正弦定理得: , 即 , , ,即 ,又 , , ,即 . 选择条件②:由 ,得 , 则 ,即 ,化简得, , , ,即 . (2) , , , , , 当且仅当 时取等号, 的最大值为 . 17.(2023·海南·统考模拟预测)在圆内接四边形 中,已知 , , , 为锐角. (1)求 及 的长; (2)求四边形 周长的最大值. 【答案】(1) , ; (2)5. 【详解】(1)在 中,由正弦定理 ,得 , 即 ,而 为锐角,解得 , 因此 为直角三角形,则 , 所以 , .(2)因为四边形 为圆内接四边形,且 ,则 , 在 中,由余弦定理,得 , 即 , 所以 ,当且仅当 时取等号, 所以四边形 周长的最大值为 . 18.(2023·全国·模拟预测)在锐角三角形 中,角 , , 的对边分别是 , , ,满足 . (1)求角 的大小; (2)若 的外接圆半径为 ,求 周长的取值范围. 【答案】(1) (2) 【详解】(1)因为 , 所以 ,即 , 所以 ,所以 , 又因 ,所以 ; (2)因为 的外接圆半径为 , 所以 , 所以 , 则 , 由三角形为锐角三角形, ,得 ,则 ,所以 , 所以 周长的取值范围为 . 19.(2023·陕西西安·长安一中校考二模) 的内角A,B,C的对边分别为a,b,c已知 . (1)求B;(2)若 为锐角三角形,且 ,求△ABC周长的取值范围. 【答案】(1) (2) 【详解】(1)因为 , 由正弦定理可得 ,整理得 , 由余弦定理可得 , 且 ,故 . (2)由正弦定理可得 , 可得 , 则 , 因为 ,则 , 且 为锐角三角形,则 ,解得 , 可得 ,则 , 所以 , 故 周长的取值范围为 .