当前位置:首页>文档>专题2.18《实数》计算题(专项练习)(培优篇100题)-2021-2022学年八年级数学上册基础知识专项讲练(北师大版)_北师大初中数学_8上-北师大版初中数学_旧版_06专项讲练

专题2.18《实数》计算题(专项练习)(培优篇100题)-2021-2022学年八年级数学上册基础知识专项讲练(北师大版)_北师大初中数学_8上-北师大版初中数学_旧版_06专项讲练

  • 2026-04-13 06:08:45 2026-04-13 04:39:05

文档预览

专题2.18《实数》计算题(专项练习)(培优篇100题)-2021-2022学年八年级数学上册基础知识专项讲练(北师大版)_北师大初中数学_8上-北师大版初中数学_旧版_06专项讲练
专题2.18《实数》计算题(专项练习)(培优篇100题)-2021-2022学年八年级数学上册基础知识专项讲练(北师大版)_北师大初中数学_8上-北师大版初中数学_旧版_06专项讲练
专题2.18《实数》计算题(专项练习)(培优篇100题)-2021-2022学年八年级数学上册基础知识专项讲练(北师大版)_北师大初中数学_8上-北师大版初中数学_旧版_06专项讲练
专题2.18《实数》计算题(专项练习)(培优篇100题)-2021-2022学年八年级数学上册基础知识专项讲练(北师大版)_北师大初中数学_8上-北师大版初中数学_旧版_06专项讲练
专题2.18《实数》计算题(专项练习)(培优篇100题)-2021-2022学年八年级数学上册基础知识专项讲练(北师大版)_北师大初中数学_8上-北师大版初中数学_旧版_06专项讲练
专题2.18《实数》计算题(专项练习)(培优篇100题)-2021-2022学年八年级数学上册基础知识专项讲练(北师大版)_北师大初中数学_8上-北师大版初中数学_旧版_06专项讲练
专题2.18《实数》计算题(专项练习)(培优篇100题)-2021-2022学年八年级数学上册基础知识专项讲练(北师大版)_北师大初中数学_8上-北师大版初中数学_旧版_06专项讲练
专题2.18《实数》计算题(专项练习)(培优篇100题)-2021-2022学年八年级数学上册基础知识专项讲练(北师大版)_北师大初中数学_8上-北师大版初中数学_旧版_06专项讲练
专题2.18《实数》计算题(专项练习)(培优篇100题)-2021-2022学年八年级数学上册基础知识专项讲练(北师大版)_北师大初中数学_8上-北师大版初中数学_旧版_06专项讲练
专题2.18《实数》计算题(专项练习)(培优篇100题)-2021-2022学年八年级数学上册基础知识专项讲练(北师大版)_北师大初中数学_8上-北师大版初中数学_旧版_06专项讲练
专题2.18《实数》计算题(专项练习)(培优篇100题)-2021-2022学年八年级数学上册基础知识专项讲练(北师大版)_北师大初中数学_8上-北师大版初中数学_旧版_06专项讲练
专题2.18《实数》计算题(专项练习)(培优篇100题)-2021-2022学年八年级数学上册基础知识专项讲练(北师大版)_北师大初中数学_8上-北师大版初中数学_旧版_06专项讲练
专题2.18《实数》计算题(专项练习)(培优篇100题)-2021-2022学年八年级数学上册基础知识专项讲练(北师大版)_北师大初中数学_8上-北师大版初中数学_旧版_06专项讲练
专题2.18《实数》计算题(专项练习)(培优篇100题)-2021-2022学年八年级数学上册基础知识专项讲练(北师大版)_北师大初中数学_8上-北师大版初中数学_旧版_06专项讲练
专题2.18《实数》计算题(专项练习)(培优篇100题)-2021-2022学年八年级数学上册基础知识专项讲练(北师大版)_北师大初中数学_8上-北师大版初中数学_旧版_06专项讲练
专题2.18《实数》计算题(专项练习)(培优篇100题)-2021-2022学年八年级数学上册基础知识专项讲练(北师大版)_北师大初中数学_8上-北师大版初中数学_旧版_06专项讲练
专题2.18《实数》计算题(专项练习)(培优篇100题)-2021-2022学年八年级数学上册基础知识专项讲练(北师大版)_北师大初中数学_8上-北师大版初中数学_旧版_06专项讲练
专题2.18《实数》计算题(专项练习)(培优篇100题)-2021-2022学年八年级数学上册基础知识专项讲练(北师大版)_北师大初中数学_8上-北师大版初中数学_旧版_06专项讲练
专题2.18《实数》计算题(专项练习)(培优篇100题)-2021-2022学年八年级数学上册基础知识专项讲练(北师大版)_北师大初中数学_8上-北师大版初中数学_旧版_06专项讲练
专题2.18《实数》计算题(专项练习)(培优篇100题)-2021-2022学年八年级数学上册基础知识专项讲练(北师大版)_北师大初中数学_8上-北师大版初中数学_旧版_06专项讲练
专题2.18《实数》计算题(专项练习)(培优篇100题)-2021-2022学年八年级数学上册基础知识专项讲练(北师大版)_北师大初中数学_8上-北师大版初中数学_旧版_06专项讲练
专题2.18《实数》计算题(专项练习)(培优篇100题)-2021-2022学年八年级数学上册基础知识专项讲练(北师大版)_北师大初中数学_8上-北师大版初中数学_旧版_06专项讲练
专题2.18《实数》计算题(专项练习)(培优篇100题)-2021-2022学年八年级数学上册基础知识专项讲练(北师大版)_北师大初中数学_8上-北师大版初中数学_旧版_06专项讲练
专题2.18《实数》计算题(专项练习)(培优篇100题)-2021-2022学年八年级数学上册基础知识专项讲练(北师大版)_北师大初中数学_8上-北师大版初中数学_旧版_06专项讲练
专题2.18《实数》计算题(专项练习)(培优篇100题)-2021-2022学年八年级数学上册基础知识专项讲练(北师大版)_北师大初中数学_8上-北师大版初中数学_旧版_06专项讲练
专题2.18《实数》计算题(专项练习)(培优篇100题)-2021-2022学年八年级数学上册基础知识专项讲练(北师大版)_北师大初中数学_8上-北师大版初中数学_旧版_06专项讲练
专题2.18《实数》计算题(专项练习)(培优篇100题)-2021-2022学年八年级数学上册基础知识专项讲练(北师大版)_北师大初中数学_8上-北师大版初中数学_旧版_06专项讲练
专题2.18《实数》计算题(专项练习)(培优篇100题)-2021-2022学年八年级数学上册基础知识专项讲练(北师大版)_北师大初中数学_8上-北师大版初中数学_旧版_06专项讲练
专题2.18《实数》计算题(专项练习)(培优篇100题)-2021-2022学年八年级数学上册基础知识专项讲练(北师大版)_北师大初中数学_8上-北师大版初中数学_旧版_06专项讲练
专题2.18《实数》计算题(专项练习)(培优篇100题)-2021-2022学年八年级数学上册基础知识专项讲练(北师大版)_北师大初中数学_8上-北师大版初中数学_旧版_06专项讲练
专题2.18《实数》计算题(专项练习)(培优篇100题)-2021-2022学年八年级数学上册基础知识专项讲练(北师大版)_北师大初中数学_8上-北师大版初中数学_旧版_06专项讲练
专题2.18《实数》计算题(专项练习)(培优篇100题)-2021-2022学年八年级数学上册基础知识专项讲练(北师大版)_北师大初中数学_8上-北师大版初中数学_旧版_06专项讲练
专题2.18《实数》计算题(专项练习)(培优篇100题)-2021-2022学年八年级数学上册基础知识专项讲练(北师大版)_北师大初中数学_8上-北师大版初中数学_旧版_06专项讲练
专题2.18《实数》计算题(专项练习)(培优篇100题)-2021-2022学年八年级数学上册基础知识专项讲练(北师大版)_北师大初中数学_8上-北师大版初中数学_旧版_06专项讲练
专题2.18《实数》计算题(专项练习)(培优篇100题)-2021-2022学年八年级数学上册基础知识专项讲练(北师大版)_北师大初中数学_8上-北师大版初中数学_旧版_06专项讲练
专题2.18《实数》计算题(专项练习)(培优篇100题)-2021-2022学年八年级数学上册基础知识专项讲练(北师大版)_北师大初中数学_8上-北师大版初中数学_旧版_06专项讲练
专题2.18《实数》计算题(专项练习)(培优篇100题)-2021-2022学年八年级数学上册基础知识专项讲练(北师大版)_北师大初中数学_8上-北师大版初中数学_旧版_06专项讲练
专题2.18《实数》计算题(专项练习)(培优篇100题)-2021-2022学年八年级数学上册基础知识专项讲练(北师大版)_北师大初中数学_8上-北师大版初中数学_旧版_06专项讲练
专题2.18《实数》计算题(专项练习)(培优篇100题)-2021-2022学年八年级数学上册基础知识专项讲练(北师大版)_北师大初中数学_8上-北师大版初中数学_旧版_06专项讲练
专题2.18《实数》计算题(专项练习)(培优篇100题)-2021-2022学年八年级数学上册基础知识专项讲练(北师大版)_北师大初中数学_8上-北师大版初中数学_旧版_06专项讲练
专题2.18《实数》计算题(专项练习)(培优篇100题)-2021-2022学年八年级数学上册基础知识专项讲练(北师大版)_北师大初中数学_8上-北师大版初中数学_旧版_06专项讲练
专题2.18《实数》计算题(专项练习)(培优篇100题)-2021-2022学年八年级数学上册基础知识专项讲练(北师大版)_北师大初中数学_8上-北师大版初中数学_旧版_06专项讲练
专题2.18《实数》计算题(专项练习)(培优篇100题)-2021-2022学年八年级数学上册基础知识专项讲练(北师大版)_北师大初中数学_8上-北师大版初中数学_旧版_06专项讲练
专题2.18《实数》计算题(专项练习)(培优篇100题)-2021-2022学年八年级数学上册基础知识专项讲练(北师大版)_北师大初中数学_8上-北师大版初中数学_旧版_06专项讲练
专题2.18《实数》计算题(专项练习)(培优篇100题)-2021-2022学年八年级数学上册基础知识专项讲练(北师大版)_北师大初中数学_8上-北师大版初中数学_旧版_06专项讲练
专题2.18《实数》计算题(专项练习)(培优篇100题)-2021-2022学年八年级数学上册基础知识专项讲练(北师大版)_北师大初中数学_8上-北师大版初中数学_旧版_06专项讲练
专题2.18《实数》计算题(专项练习)(培优篇100题)-2021-2022学年八年级数学上册基础知识专项讲练(北师大版)_北师大初中数学_8上-北师大版初中数学_旧版_06专项讲练
专题2.18《实数》计算题(专项练习)(培优篇100题)-2021-2022学年八年级数学上册基础知识专项讲练(北师大版)_北师大初中数学_8上-北师大版初中数学_旧版_06专项讲练
专题2.18《实数》计算题(专项练习)(培优篇100题)-2021-2022学年八年级数学上册基础知识专项讲练(北师大版)_北师大初中数学_8上-北师大版初中数学_旧版_06专项讲练
专题2.18《实数》计算题(专项练习)(培优篇100题)-2021-2022学年八年级数学上册基础知识专项讲练(北师大版)_北师大初中数学_8上-北师大版初中数学_旧版_06专项讲练
专题2.18《实数》计算题(专项练习)(培优篇100题)-2021-2022学年八年级数学上册基础知识专项讲练(北师大版)_北师大初中数学_8上-北师大版初中数学_旧版_06专项讲练
专题2.18《实数》计算题(专项练习)(培优篇100题)-2021-2022学年八年级数学上册基础知识专项讲练(北师大版)_北师大初中数学_8上-北师大版初中数学_旧版_06专项讲练
专题2.18《实数》计算题(专项练习)(培优篇100题)-2021-2022学年八年级数学上册基础知识专项讲练(北师大版)_北师大初中数学_8上-北师大版初中数学_旧版_06专项讲练
专题2.18《实数》计算题(专项练习)(培优篇100题)-2021-2022学年八年级数学上册基础知识专项讲练(北师大版)_北师大初中数学_8上-北师大版初中数学_旧版_06专项讲练
专题2.18《实数》计算题(专项练习)(培优篇100题)-2021-2022学年八年级数学上册基础知识专项讲练(北师大版)_北师大初中数学_8上-北师大版初中数学_旧版_06专项讲练
专题2.18《实数》计算题(专项练习)(培优篇100题)-2021-2022学年八年级数学上册基础知识专项讲练(北师大版)_北师大初中数学_8上-北师大版初中数学_旧版_06专项讲练
专题2.18《实数》计算题(专项练习)(培优篇100题)-2021-2022学年八年级数学上册基础知识专项讲练(北师大版)_北师大初中数学_8上-北师大版初中数学_旧版_06专项讲练
专题2.18《实数》计算题(专项练习)(培优篇100题)-2021-2022学年八年级数学上册基础知识专项讲练(北师大版)_北师大初中数学_8上-北师大版初中数学_旧版_06专项讲练
专题2.18《实数》计算题(专项练习)(培优篇100题)-2021-2022学年八年级数学上册基础知识专项讲练(北师大版)_北师大初中数学_8上-北师大版初中数学_旧版_06专项讲练
专题2.18《实数》计算题(专项练习)(培优篇100题)-2021-2022学年八年级数学上册基础知识专项讲练(北师大版)_北师大初中数学_8上-北师大版初中数学_旧版_06专项讲练
专题2.18《实数》计算题(专项练习)(培优篇100题)-2021-2022学年八年级数学上册基础知识专项讲练(北师大版)_北师大初中数学_8上-北师大版初中数学_旧版_06专项讲练
专题2.18《实数》计算题(专项练习)(培优篇100题)-2021-2022学年八年级数学上册基础知识专项讲练(北师大版)_北师大初中数学_8上-北师大版初中数学_旧版_06专项讲练
专题2.18《实数》计算题(专项练习)(培优篇100题)-2021-2022学年八年级数学上册基础知识专项讲练(北师大版)_北师大初中数学_8上-北师大版初中数学_旧版_06专项讲练
专题2.18《实数》计算题(专项练习)(培优篇100题)-2021-2022学年八年级数学上册基础知识专项讲练(北师大版)_北师大初中数学_8上-北师大版初中数学_旧版_06专项讲练
专题2.18《实数》计算题(专项练习)(培优篇100题)-2021-2022学年八年级数学上册基础知识专项讲练(北师大版)_北师大初中数学_8上-北师大版初中数学_旧版_06专项讲练
专题2.18《实数》计算题(专项练习)(培优篇100题)-2021-2022学年八年级数学上册基础知识专项讲练(北师大版)_北师大初中数学_8上-北师大版初中数学_旧版_06专项讲练
专题2.18《实数》计算题(专项练习)(培优篇100题)-2021-2022学年八年级数学上册基础知识专项讲练(北师大版)_北师大初中数学_8上-北师大版初中数学_旧版_06专项讲练
专题2.18《实数》计算题(专项练习)(培优篇100题)-2021-2022学年八年级数学上册基础知识专项讲练(北师大版)_北师大初中数学_8上-北师大版初中数学_旧版_06专项讲练
专题2.18《实数》计算题(专项练习)(培优篇100题)-2021-2022学年八年级数学上册基础知识专项讲练(北师大版)_北师大初中数学_8上-北师大版初中数学_旧版_06专项讲练
专题2.18《实数》计算题(专项练习)(培优篇100题)-2021-2022学年八年级数学上册基础知识专项讲练(北师大版)_北师大初中数学_8上-北师大版初中数学_旧版_06专项讲练
专题2.18《实数》计算题(专项练习)(培优篇100题)-2021-2022学年八年级数学上册基础知识专项讲练(北师大版)_北师大初中数学_8上-北师大版初中数学_旧版_06专项讲练
专题2.18《实数》计算题(专项练习)(培优篇100题)-2021-2022学年八年级数学上册基础知识专项讲练(北师大版)_北师大初中数学_8上-北师大版初中数学_旧版_06专项讲练
专题2.18《实数》计算题(专项练习)(培优篇100题)-2021-2022学年八年级数学上册基础知识专项讲练(北师大版)_北师大初中数学_8上-北师大版初中数学_旧版_06专项讲练

文档信息

文档格式
docx
文档大小
1.814 MB
文档页数
69 页
上传时间
2026-04-13 04:39:05

文档内容

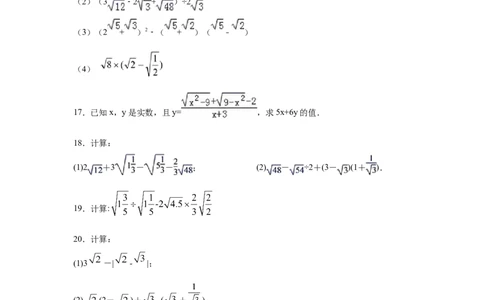
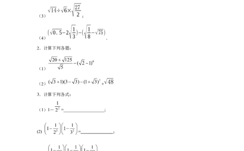
专题2.18 《实数》计算题(专项练习) (培优篇100题) 一、解答题 1.计算: 3√3−√8+√2−√27 (1) ; (4√6−6√2)÷2√2 (2) ; √27 √14÷√6× 2 (3) ; √1 √1 (√0.5−2 )−( −√75) 3 8 (4) . 2.计算下列各题: (1) √48 (2) + 3.计算下列各式: (1)1- =___________________; (2) = ; (3) = ; 你能根据所学知识找到计算上面的算式的简便方法吗?请你利用你找到的简便方法计算下 式: 4.计算:(1) (2) 5.计算:(1) (2) 6. (2)求x值: 7.计算:|﹣1|﹣ +(﹣2016)0. 8.计算:(1)√8+2√18−√2; (2)(√6+√2)(√6−√2). 9.解答题. (1) (2) 10.解关于x的方程: (1) ;(2) ;(3) 11.(π-1)0+ + - 12.计算: (1) (2)(3 ﹣ )﹣( + ) 13.计算:(1) ; (2) 14.计算: (1) (2) 15.计算:(共12分)(1)( - )-( +2 ) (2)( -3 )÷ (3)(2 +3)(2 -3) (4)(2 -3) 16.计算 (1) ﹣( )2+(π+ )0﹣ +| ﹣2| (2)(3 ﹣2 + )÷2 (3)(2 + )2﹣( + )( ﹣ ) (4) 17.已知x,y是实数,且y= ,求5x+6y的值. 18.计算: (1)2 +3 - - ; (2) - ÷2+(3- )(1+ ). 19.计算: 20.计算: (1)3 -| - |; (2) (2- )+ ( + ). 21.计算 (1) (2)( )(3) (4) 22.化简: (1)、实数a在数轴上的位置如图所示,化简 (2)、 23.计算: (1) (2) 24.计算: 25.计算:( +2 )× ﹣6 . 26.已知数 满足 ,求 . 27.已知等式|a-2 018|+ =a成立,求a-2 0182的值. 28.计算(1) (2) 29.求下列各数的立方根: (1)-125; (2)0.027; (3)(53)2.30.已知x+y=-3,xy=2,求 的值. 31.设 , , ,…, .若 ,求S(用含n的代数式表示,其 中n为正整数). 32.计算:( )﹣1﹣( ﹣2)0﹣|﹣3|+ . 33.计算:(2 ﹣1)0+|﹣6|﹣8×4﹣1+ . 34.(1)计算: +( )0+|﹣1|; (2)先化简,再求值:(x+2)2+x(2﹣x),其中x= . 35.计算: ﹣ ﹣ +| |. 36.计算:(﹣ )﹣2+ ﹣|1﹣ | 37.计算: ÷2﹣1+ •[2+(﹣ )3]. 38.计算:|﹣3|﹣ ﹣( )0+4sin45°. 39.计算:(﹣2)2+(﹣3)×2﹣ . 40.若 ,求 的值.41.在 , , -1, , 0中,求所有有理数的和及所有无理数的积. 42.已知实数 , 满足: ,且 ,求 的值. 43.计算: + ﹣| |. 44.(1)当 ,求 的值. (2)当00,x+1>0, =|x-3|-|2x+1|+|x+1| =-(x-3)-(2x+1)+(x+1) = -2x+3. 45.9 【解析】 试题分析:根据二次根式的性质和二次根式的混合运算进行计算即可. 试题解析: = - =12-3 =9 46.(1) (3) 【解析】 【分析】(1)利用已知数据变化规律直接得出答案; (2)利用分母有理化的规律将原式化简进而求出即可. 解:(1) (2)利用上面提供的信息请化简: ﹣1. 【点拨】考核知识点:实数运算.47.7-2 解:试题分析:利用乘法公式展开,化简后合并同类二次根式即可. 试题解析: +( ﹣2)2﹣ ( ﹣ ) =2+3﹣4 +4﹣2+2 =7﹣2 48. 【分析】根据二次根式的性质,被开方数大于等于0可知:1﹣4x≥0且4x﹣1≥0,解得 x= ,此时y= .即可代入求解. 解:要使y有意义,必须 ,即 ∴ x= .当x= 时,y= . √ x y √ x y +2+ −2+ 又∵ - = - y x y x =| |-| | ∵x= ,y= ,∴ < . ∴ 原式= - =2当x= ,y= 时,原式=2 = . 【点拨】主要考查了二次根式的意义和性质.概念:式子 (a≥0)叫二次根式.性 质:二次根式中的被开方数必须是非负数,否则二次根式无意义. 49.7- 【解析】 试题分析:根据绝对值、负整数指数幂、零指数幂可以解答本题,解题时注意运算顺 序. 试题解析: =2+3×2﹣ ﹣1 =2+6﹣ ﹣1 =7﹣ . 50.-2. 【解析】 试题分析:根据零指数幂的性质,负整指数幂的性质,二次根式及绝对值的性质计算 即可. 试题解析: =1+3-2×3 =4-6 =-2. 51.-7 【解析】 试题分析:根据平方根性质、立方根以及零指数幂的性质依次计算即可.试题解析: =9÷(-3)-5+1 =-3-5+1 =-7. 点睛:此题主要考查了实数的运算,利用实数的运算法则和运算顺序依次计算即可, 关键是注意算术平方根和立方根的应用. 52.(1)4;(2)﹣1﹣ . 【解析】 试题分析:(1)根据平方根性质、立方根以及零指数幂的性质依次计算即可. (2)根据负整指数幂、零次幂的性质和绝对值的意义直接可求解. 试题解析:(1) + ﹣( )2 =6+3-5 =4 (2) =-4+1+2- =-1- . 53.1 【分析】根据已知和二次根式的性质求出x、y的值,把原式根据二次根式的性质进行 化简,把x、y的值代入化简后的式子计算即可. 解:1-8x≥0,x≤ 8x-1≥0,x≥ ,∴x= ,y= ,∴原式= . 【点拨】本题考查的是二次根式的化简求值,把已知条件求出x、y,把要求的代数式 进行正确变形是解题的关键,注意因式分解在化简中的应用. 54.(1) ; (2) ; 解:【试题分析】 (1)先进行二次根式的化简,然后求解; (2)直接进行二次根式的化简即可. 【试题解析】 (1)原式= = ; (2)原式= . 55.(1) ;(2) 解:【试题分析】 (1)先进行二次根式的化简,然后求解即可; (2)先进行二次根式的除法运算,然后化简求解. 【试题解析】 (1)原式=﹣4 × =﹣ ; (2)原式= = . 56.(1) ;(2)a2﹣ +2+a 【分析】根据二次根式的性质,先化简各二次根式为最简二次根式,然后合并同类二 次根式即可. 解:(1)( ﹣4 )﹣(3 ﹣2 )=4 ﹣ ﹣ + =3 ; (2) = +2+ =a2﹣ +2+a. 【点拨】本题考查了二次根式的混合运算,解得关键是根据相关法则进行运算. 57.(1) ;(2) ;(3) ;(4)x=-6 解:试题分析:(1)根据题意,先把带分数化为假分数,然后再根据立方根的意义求 解即可; (2)先计算被开方数,然后根据立方根的意义求解; (3)通过移项,系数化为1,再利用立方根求解即可; (4)把x+3看做一个整体,然后移项后利用立方根求解. 试题解析:(1) (2) (3) (4) 58.(1) (2) (3) 【解析】 试题分析:(1)根据二次根式的加减,合并同类二次根式的进行计算即可;(2)根据绝对值的意义化简,然后合并同类项即可; (3)根据近似值计算即可(用计算器),注意取4个有效数字的近似值作为结果. 试题解析:(1) =(2-5) +(3-3) =-3 ; (2) =2- + -1 =1; (3) ≈2×2.2361-3.8730+3.1416÷2 =2.16995 ≈2.170 59.(1) ;(2)7;(3) ;(4)-36;(5)-15;(6)8 【分析】(1)根据合并同类二次根式的性质,可直接求解; (2)根据二次根式的混合运算计算即可; (3)根据平方差公式和完全平方公式计算即可; (4)根据平方根和立方根的性质计算即可; (5)根据乘方的意义、绝对值、零次幂的性质、负整指数幂的性质计算即可; (6)根据幂的乘方的逆运算计算即可. 解:(1) =(6+8-5) =9 (2)= =5+2 =7 (3) = + =5-7+5-2 +7 =10-2 (4) =-8×4-4× -3 =-32-1-3 =-36 (5) =-16+ +1- =-15 (6) = =0.3 +23-0.3 =8. 【点拨】本题主要考查了实数的综合运算能力,是各地中考题中常见的计算题型.解 决此类题目的关键是熟练掌握负整数指数幂、零指数幂、绝对值等考点的运算.60. 【解析】 整体分析: 逆用积的乘方法则,即ambm=(ab)m,结合平方差公式计算. 解: = =[ ]2017× =(-1)2017× = . 61.108 【解析】 试题分析:先根据x,y都是正整数,得出 和 也是正整数,再设出 x﹣116=m2,x+100=n2,利用平方差公式进行整理,求出m+n的最大值,即可求出y的最大 值. 试题解析:解:∵x,y都是正整数,∴ 就是正整数,设x﹣ 116=m2,x+100=n2,(n>m,m、n为正整数),则n2﹣m2=216,(n+m)(n﹣m) =216,(n﹣m)(n+m)=23×33.∵(n+m)与(n﹣m)同奇偶,∴(m+n) =108,即y max 的最大值是108. 点睛:本题考查了二次根式的化简求值.解题时根据题意得出 和 是正整数,再设出未知数是解题的关键,注意平方差公式的运用. 62.(1)2 ,(2)3 【解析】 分析:(1)根据平方差公式和二次根式的性质,进行二次根式的求和运算求解即可; (2)根据完全平方公式,零次幂的性质,绝对值的性质求解即可.详解:(1) + =9-7+2 -2 =2 ; (2) - -| | =2+2 +1-1-2+ =3 点睛:此题主要考查了实数的运算,关键是利用乘方公式、二次根式的性质、零次幂 的性质和绝对值的性质进行计算. 63.(1) (2)7- 【解析】 (1)解:原式= = = = (2)解:原式=﹣ +2 +8﹣1 =﹣3 +2 +7 =7﹣ . 64.±2解:【分析】根据非负数的性质可得关于x、y的二元一次方程组,解方程组后把x、 y的值代入式子 进行求解即可得. 【详解】由题意,得: , 解得: , ∴ = =4, 则 的平方根为±2. 【点睛】本题考查了非负数的性质、解二元一次方程组、求平方根等,熟知几个非负 数的和为0,那么每个非负数都为0是解题的关键. 65.(1)– (2)-5(3) 【解析】 (1)原式=(1+3–5) =– ; (2)原式=1–6=–5; (3)原式= +2– +2= . 66.(1) ; (2) ; (3) ;(4) . 解:试题分析:(1)根据二次根式的乘除法,先化简二次根式,然后按照乘除法的公 式计算即可; (2)根据二次根式的乘除法,先化简二次根式,然后按照乘除法的公式计算即可; (3)根据二次根式的乘除法,先根据a的范围,由二次根式的性质化简二次根式,然 后按照乘除法的公式计算即可; (4)根据二次根式的乘除法,先化简二次根式,然后按照乘除法的公式计算即可. 试题解析:(1)原式. (2) . (3)原式 (4)原式 . 67.(1)2 (2) (3)- 【解析】 分析:(1)根据二次根式的运算,先把各二次根式化为最简二次根式,再合并同类二 次根式即可; (2)根据乘法的分配律以及二次根式的性质进行计算即可;(3)根据异分母的分式的加减,先因式分解,再通分,然后按同分母的分式进行加减 计算,再约分即可. 详解:(1) =2 - + =2 (2) = × +2 × = +6 (3) = = = = 点睛:此题主要考查了二次根式的运算和分式的加减运算,熟练应用运算法则和运算 律以及二次根式的性质进行计算是解题关键. 68.12. 【分析】先根据二次根式的运算,分别求出x+y、xy的值,然后把分式变形求解即可.解:∵ ∴x+y= ,xy= , ∴原式= =12,. 【点拨】此题主要考查了分式的化简求值,利用二次根式的性质求出x+y、xy的值, 然后根据配方法化简分式,再整体代入求解,注意完全平方公式的应用. 69.-3 【解析】 【分析】根据二次根式的被开方数为非负数,得到相应的关系式求出a、b的值,然后 代入求解. 解:因为a,b为实数,且a2-1≥0,1-a2≥0,所以a2-1=1-a2=0. 所以a=±1.又因为a+1≠0,所以a=1.代入原式,得b= . 所以 =-3. 【点拨】此题主要考查了二次根式的性质和意义,关键是利用被开方数为非负数的性 质求出a、b的值. 70.(1) ;(2) ;(3) ;(4) 【分析】(1)根据平方根的意义,立方根的意义,绝对值的性质求解即可; (2)根据乘法分配律和二次根式的性质其解即可; (3)根据平方差公式,负整指数幂的的性质,绝对值的性质,零次幂的性质,二次根 式的性质化简计算即可; (4)根据二次根式的性质,和分母有理化简计算即可求解. 解:(1)原式 .(2)原式 . (3)原式 . (4)原式 . 【点拨】此题主要考查了实数的混合运算,关键是灵活利用绝对值、平方差公式,负 整指数幂的的性质,绝对值的性质,零次幂的性质,二次根式的性质等进行化简. 71. (1) , ;(2) ① ;②3- ;(3)9. 【分析】(1)根据分母有理化常常是乘二次根式本身(分母只有一项)或与原分母组 成平方差公式,所以, 的有理化因式是 ; +2的有理化因式是 −2; (2)①分子、分母同乘以 ;②分子、分母同乘以3- ;计算解答出即可; (3)先对每个分式分母有理化,然后再相加减. 解:(1)∵ × =3;( +2)×( −2)=3; ∴ 的有理化因式是 ; +2的有理化因式是 −2; (2)① = = ;② = =3- ;(3) + +…+ + . = + +…+ + . = -1+ - +…+ - + - . =9. 【点拨】本题考查了分母有理化,两个含二次根式的代数式相乘时,它们的积不含二 次根式,这样的两个代数式成互为有理化因式;一个二次根式的有理化因式不止一个. 72.401. 【分析】由二次根式有意义的条件可得出a的范围为a≥401,对方程去绝对值,整理 得出a﹣3002=401. 解:由题意得:a﹣401≥0, ∴a≥401, ∴原方程可化为a﹣300+ =a, ∴3002=a﹣401, ∴a﹣3002=401. 【点拨】本题主要考查二次根式有意义的条件、绝对值的化简以及方程的变形. 73. . 【分析】用完全平方公式将原方程配方,由平方的非负性求出a、b的值,化简要求的 式子,将a、b的值代入化简后的式子计算出结果即可. 解:原方程可化为2a+b+5﹣4 ﹣4 =0, 即(2a﹣2﹣4 +4)+(b﹣1﹣4 +4)=0,∴( ﹣2)2+( ﹣2)2=0, ∴ ﹣2=0, ﹣2=0, 解得a=3,b=5, ∴ - = ﹣ = ﹣ = ﹣ = = = , 将a、b的值代入得:原式= . 【点拨】本题主要考查完全平方公式、平方的非负性. 74.(Ⅰ)方程①无解, 方程②有解,理由见解析;(Ⅱ)2 【分析】(Ⅰ)①根据二次根式的有意义的条件求出x 2016,等式左边最小值为 , 故方程无解;②根据二次根式的有意义的条件求出 ,等式左边最小值为 , 故方程有解;(Ⅱ)设 ,将它与 左右两边分别相乘进行变形,即可求出y. 解:(Ⅰ)方程①无解,理由如下: 由 得 , 当 时, 的最小值为 , 方程①无解. 方程②有解,理由如下: 由 得 , 当 时, 的最小值为 <3, 方程②有解. (Ⅱ) ……(1) 设 ……(2) 由(1) (2)得到: 即: 的值为2. 故答案为(Ⅰ)方程①无解,方程②有解;(Ⅱ)2. 【点拨】本题考查了二次根式有意义的条件,关键是利用被开方数的非负性进行解题. 75.(1) ;(2)3+ ;(3) ;(4)2;(5)4 -8 . 【解析】 【分析】根据根式的运算性质即可解题.解:(1) ÷ - × ÷ =4 ÷ - × ÷ =4- = ; (2) × + =3 × +3-2 =3 2 +3 =3+ ; (3) - ÷ × =3 × × =3 = ; (4)(3 + -4 )÷ =(9 + -2 )÷=8 ÷ =2; (5) = =2+2 -[2-2 ] =4 =4 -8 【点拨】本题考查了根式的运算,中等难度,熟悉根式的运算性质是提关键. 76. 【分析】先将分式的分子提取公因式 ,可将分子分母中的( + )约去, 再把所得的分式化成最简二次根式的形式. 解:原式= = = = . 【点拨】此题主要考察无理数的化简计算. 77.(1)10;(2)±2 . 【分析】(1)已知已经给出了关于b的关系式,只需按照要求进行计算即可.(2) 先对 进行化简,然后利用(1)的结论,即可完成解答 解:(1)∵b= + -a+10, ∴ab=10,b=-a+10, 则a+b=10;(2)∵a、b满足x , ∴x2= , ∴x2= = =8, ∴x=±2 . 【点拨】本题第一问比较简单,第二问略难,第二问的解答关键在于将x 化简成为含有ab和a+b的形式 78. 【解析】 【分析】由a小于0,则原式一定小于0,因此将a移至根号内后,必须给原式加上 “-”,使原式保持不变,然后再按照二次根式的性质运算即可. 解: , , . 【点拨】本题考查了二次根式的性质,其中a小于0,当a移至根号内后,原式要加上 “-”是解答本题的关键. 79. . 【分析】设 , , ,则 , ,再把原 式变形后代入求值即可. 解:设 , , ,则 , . 原式. 【点拨】本题考查了二次根式的混合运算,将原式变为分式,再进行变形求解是解决 此题的关键. 80. . 【分析】已知条件比较复杂,将已知条件变形得出所求式子的结构求值即可. 解: , . . . , . 【点拨】本题考查了二次根式的化简求值,式子较复杂需要先化简条件. 81. . 【分析】将根据题意 , ,原式 两边同时平方,可 得 ,故 ,进而即可求得最大值与最小值之差. 解: , , , ., . 的最大值与小值的差为 . 【点拨】本题考查了二次根式的求值问题,解本题的关键是通过y2为媒介求得y的取 值范围从而找出最大最小值. 82. 【解析】 【分析】先对代数式的每一部分分母有理化,然后再进行运算 解: = = = = = 【点拨】本题看似计算繁杂,但只要找到分母有理化这个突破口,就会化难为易。 83.(1)−√3;(2)−√3 【解析】 【分析】(2)根据开立方、绝对值、负整数指数幂,零指数幂进行化简,然后根据实 数的运算法则求得计算结果. (3)本题涉及开立方、绝对值、二次根式化简3个考点.在计算时,需要针对每个考点分别进行计算,然后根据实数的运算法则求得计算结果. 1 −1 解:(1)|√3−2|+( ) −(π−3.14) 0−√327 2 =2−√3+2−1−3 =−√3 (2)√(−3) 2+√3−64−|1−√3| =3−4−(√3−1) =−1−√3+1 =−√3 【点拨】此题考查实数的运算,解题关键在于掌握运算法则. 84.(1)当a=0时,方程没有实数根;当a≠0时, ;(2)当 时,方程没有实数 根;当 时, . 【解析】 【分析】(1)把a看作已知数,按照去括号、移项、合并同类项、系数化为1即可求 得.注意对a值的范围进行分类讨论; (2)把b看作已知数,按照移项、合并同类项、系数化为1,再开方即可求得.注意对 b值的范围进行分类讨论; 解:(1) 去括号得 移项合并同类项得 ∴当a=0时,方程没有实数根; 当a≠0时, . (2)移项合并同类项得 ∵ ∴ ∴ ∴当 时,方程没有实数根; 当 时, . 【点拨】本题考查了含字母系数的整式方程的解法.方法是把字母系数看作常数,按照 数字系数的方程的解法步骤去解即可,但要注意对字母的范围进行分类讨论,这点很容易 忽视. 85. 【分析】经观察可得所求的式子满足完全平方公式,利用完全平方式可将所求的式子 化为最简,代入a的值后可得结果. 解: . 当 时,原式 . 【点拨】本题考查整式的混合运算—化简求值,熟练掌握化简二次根式是解决本题的 关键. 86. -9 【分析】先按照二次根式、零次幂、负指数幂等知识对原式进行化简,然后再进行运 算即可.解: = +1-5-4 = -9 【点拨】本题主要考查了二次根式、零次幂、负指数幂等知识,考查知识点多,容易 出错,需引起足够关注. 87.-5 【分析】根据平方根的定义,以及立方根的定义即可求得 , 的值,然后代入所求 的代数式化简求值即可. 解: , , 则 或 , 又 ,即 . 则 . , , . 则 , , , ,【点拨】本题考查了平方根、立方根的定义,正确对根式化简是关键. 88.2019. 【分析】先由 变形可得 ,再对 进行变形为 ,然后用整体代入的方法即可求出结果. 解:∵ ,∴ , ∴ ,即 , ∴原式 【点拨】本题是代入求值题,考查了二次根式的运算,本题要注意观察式子的特点, 对式子进行有目的的变形,然后采用整体代入的方法求值是一种比较简便的方法. 89. 【分析】利用二次根式的被开方数的非负性建立不等式解得x、y的值再带入求出即可. 解: 【点拨】本题利用二次根式的被开方数的非负性建立不等式解得x、y的值是突破口, 然后带入运算即可. 90.(1)1;(2)21:(3)8. 【分析】按照新规定的运算法则进行计算即可. 解:(1) = (2) = (3) = ; 【点拨】本题考查了有理数的混合运算,属于新定义的题型,解这种关于定义一种新 运算的题目,关键是搞清楚新的运算规则,按规则解答计算. 91.(1)0;(2)x=1;(3)【分析】(1)利用规定的运算方法直接代入计算即可; (2)利用规定的运算方法得出方程,求得方程的解即可; (3)利用规定的运算方法得出m、n,再进一步作差比较即可. 解:(1)∵ ∴ = ; (2)∵ =32, ∴可列方程为 ; 解方程得:x=1; (3)∵ = , ; ∴ ; ∴ 【点拨】此题考查有理数的混合运算,理解运算方法是解决问题的关键. 92.(1) ;(2)6 【分析】(1)先计算出x+y,xy的值,再把x2-xy+y2变形为(x+y)2-3xy,然后利用 整体代入的方法计算; (2)把 + +2变形为 +2,然后利用整体代入的方法计算. 解:(1)∵x= ,y= , ∴x+y= ,xy= , ∴x2-xy+y2=(x+y)2-3xy=( )2-3× = ;(2) + +2= +2= = =6. 【点拨】本题考查了二次根式的化简求值,这类题一定要先化简再代入求值.另外明 确二次根式的乘除运算要与加减运算区分也是解答本题的关键. 93. ; . 【分析】(1)由绝对值非负、平方数的值非负与开平方数的值非负可得,它们当且仅 当分别等于零时才可满足题意,即 ,可解. (2)由第(1)中求得a,b,c的值按运算定义 ,代入 中可计 算得解. 解:(1)解: , , , (2) , , ,, , . 【点拨】本题考查了有理数运算中绝对值、平方值、开方值的非负性,这种创新题目 理解这个运算定义是关键,一般不会太难,只需要按定义代入所求的数值即可求解. 94. 【分析】根据已知条件可知,x,y是负数,再由二次根式的性质化简,把原式用x+y 和xy表示即可求解. 解:∵x+y=-8,xy=8, ∴x<0,y<0, ∴ . 【点拨】本题主要考查了二次根式的乘除法法则和加减法法则,先要根据式子,找出 题目中的隐含条件,判断所含字母或式子的符号,再结合二次根式的定义和运算法则,把 式子用x+y和xy表示,再整体代入求值. 95.(1) ;(2)1;(3)0;(4) ;(5) 【分析】(1)先由二次根式的性质进行化简,然后合并同类项,即可得到答案; (2)先化简绝对值,计算立方根和乘方运算,然后合并同类项,即可得到答案; (3)先计算幂的乘方和同底数幂乘法,再合并同类项,即可得到答案; (4)由多项式除以单项式,即可得到答案; (5)先利用完全平方公式、平方差公式进行计算,然后计算整式除法,即可得到答案. 解:(1)= = ; (2) = =1; (3) = = =0; (4) = = ; (5) = = = ; 【点拨】本题考查了二次根式的混合运算,二次根式的性质,整式的混合运算,完全 平方公式和平方差公式,解题的关键是熟练掌握运算法则进行解题. 96. ﹣ . 【分析】首先根据二次根式有意义求出x 、y的值,再化简后面的代数式,最后代入求值即可. 解:∵x,y是实数,且y= , ∴4x﹣1≥0且1﹣4x≥0, 解得:x= , ∴y= , ∴ x )﹣( )的值. =2x +2 ﹣x ﹣5 =x ﹣3 = ﹣3 = . 【点拨】本题主要考查含字母的二次根式化简求值,需要注意利用二次根式有意义的 情况求未知数的值. 97.(1) (2)0 【分析】(1)先化简二次根式,再合并同类二次根式即可; (2)根据平方差公式化简,再化简、合并同类二次根式即可. 解:(1) = =(2) = =5-4-3+2 =0 98. 【分析】利用完全平方公式将 转化为 ,利用平方差公式分 别计算出a+b、ab的值,代入 中计算即可. 解:a+b= + = = , ab= × = , = = =5- = . 【点拨】本题主要考查完全平方公式、平方差公式以及二次根式的化简求值,在解答 此类问题时,有时候利用公式、整体代入计算会更为简便. 99.(1) ;(2)【分析】(1)分别化简二次根式,再合并同类二次根式即可得到答案; (2)先将 变形为 ,然后利用平方差公式计算 求解. 解:(1) (2) 故答案为(1) ;(2) . 【点拨】本题考查的是二次根式的混合运算,积的乘方,平方差公式,合并同类二次 根式,掌握以上知识是解题的关键. 100. 【分析】先根据二次根式的乘除法法则计算乘除法,同时分别化简各加数中的二次根 式,最后计算加减法. 解: ==