当前位置:首页>文档>专题26双曲线(七大题型模拟精练核心素养分析方法归纳)-(新高考专用)专题26双曲线(七大题型模拟精练)(解析版)_02高考数学_2025年新高考资料_一轮复习

专题26双曲线(七大题型模拟精练核心素养分析方法归纳)-(新高考专用)专题26双曲线(七大题型模拟精练)(解析版)_02高考数学_2025年新高考资料_一轮复习

  • 2026-04-13 06:08:14 2026-04-13 04:47:28

文档预览

专题26双曲线(七大题型模拟精练核心素养分析方法归纳)-(新高考专用)专题26双曲线(七大题型模拟精练)(解析版)_02高考数学_2025年新高考资料_一轮复习
专题26双曲线(七大题型模拟精练核心素养分析方法归纳)-(新高考专用)专题26双曲线(七大题型模拟精练)(解析版)_02高考数学_2025年新高考资料_一轮复习
专题26双曲线(七大题型模拟精练核心素养分析方法归纳)-(新高考专用)专题26双曲线(七大题型模拟精练)(解析版)_02高考数学_2025年新高考资料_一轮复习
专题26双曲线(七大题型模拟精练核心素养分析方法归纳)-(新高考专用)专题26双曲线(七大题型模拟精练)(解析版)_02高考数学_2025年新高考资料_一轮复习
专题26双曲线(七大题型模拟精练核心素养分析方法归纳)-(新高考专用)专题26双曲线(七大题型模拟精练)(解析版)_02高考数学_2025年新高考资料_一轮复习
专题26双曲线(七大题型模拟精练核心素养分析方法归纳)-(新高考专用)专题26双曲线(七大题型模拟精练)(解析版)_02高考数学_2025年新高考资料_一轮复习
专题26双曲线(七大题型模拟精练核心素养分析方法归纳)-(新高考专用)专题26双曲线(七大题型模拟精练)(解析版)_02高考数学_2025年新高考资料_一轮复习
专题26双曲线(七大题型模拟精练核心素养分析方法归纳)-(新高考专用)专题26双曲线(七大题型模拟精练)(解析版)_02高考数学_2025年新高考资料_一轮复习
专题26双曲线(七大题型模拟精练核心素养分析方法归纳)-(新高考专用)专题26双曲线(七大题型模拟精练)(解析版)_02高考数学_2025年新高考资料_一轮复习
专题26双曲线(七大题型模拟精练核心素养分析方法归纳)-(新高考专用)专题26双曲线(七大题型模拟精练)(解析版)_02高考数学_2025年新高考资料_一轮复习
专题26双曲线(七大题型模拟精练核心素养分析方法归纳)-(新高考专用)专题26双曲线(七大题型模拟精练)(解析版)_02高考数学_2025年新高考资料_一轮复习
专题26双曲线(七大题型模拟精练核心素养分析方法归纳)-(新高考专用)专题26双曲线(七大题型模拟精练)(解析版)_02高考数学_2025年新高考资料_一轮复习
专题26双曲线(七大题型模拟精练核心素养分析方法归纳)-(新高考专用)专题26双曲线(七大题型模拟精练)(解析版)_02高考数学_2025年新高考资料_一轮复习
专题26双曲线(七大题型模拟精练核心素养分析方法归纳)-(新高考专用)专题26双曲线(七大题型模拟精练)(解析版)_02高考数学_2025年新高考资料_一轮复习
专题26双曲线(七大题型模拟精练核心素养分析方法归纳)-(新高考专用)专题26双曲线(七大题型模拟精练)(解析版)_02高考数学_2025年新高考资料_一轮复习
专题26双曲线(七大题型模拟精练核心素养分析方法归纳)-(新高考专用)专题26双曲线(七大题型模拟精练)(解析版)_02高考数学_2025年新高考资料_一轮复习
专题26双曲线(七大题型模拟精练核心素养分析方法归纳)-(新高考专用)专题26双曲线(七大题型模拟精练)(解析版)_02高考数学_2025年新高考资料_一轮复习
专题26双曲线(七大题型模拟精练核心素养分析方法归纳)-(新高考专用)专题26双曲线(七大题型模拟精练)(解析版)_02高考数学_2025年新高考资料_一轮复习
专题26双曲线(七大题型模拟精练核心素养分析方法归纳)-(新高考专用)专题26双曲线(七大题型模拟精练)(解析版)_02高考数学_2025年新高考资料_一轮复习
专题26双曲线(七大题型模拟精练核心素养分析方法归纳)-(新高考专用)专题26双曲线(七大题型模拟精练)(解析版)_02高考数学_2025年新高考资料_一轮复习
专题26双曲线(七大题型模拟精练核心素养分析方法归纳)-(新高考专用)专题26双曲线(七大题型模拟精练)(解析版)_02高考数学_2025年新高考资料_一轮复习
专题26双曲线(七大题型模拟精练核心素养分析方法归纳)-(新高考专用)专题26双曲线(七大题型模拟精练)(解析版)_02高考数学_2025年新高考资料_一轮复习
专题26双曲线(七大题型模拟精练核心素养分析方法归纳)-(新高考专用)专题26双曲线(七大题型模拟精练)(解析版)_02高考数学_2025年新高考资料_一轮复习
专题26双曲线(七大题型模拟精练核心素养分析方法归纳)-(新高考专用)专题26双曲线(七大题型模拟精练)(解析版)_02高考数学_2025年新高考资料_一轮复习
专题26双曲线(七大题型模拟精练核心素养分析方法归纳)-(新高考专用)专题26双曲线(七大题型模拟精练)(解析版)_02高考数学_2025年新高考资料_一轮复习
专题26双曲线(七大题型模拟精练核心素养分析方法归纳)-(新高考专用)专题26双曲线(七大题型模拟精练)(解析版)_02高考数学_2025年新高考资料_一轮复习
专题26双曲线(七大题型模拟精练核心素养分析方法归纳)-(新高考专用)专题26双曲线(七大题型模拟精练)(解析版)_02高考数学_2025年新高考资料_一轮复习
专题26双曲线(七大题型模拟精练核心素养分析方法归纳)-(新高考专用)专题26双曲线(七大题型模拟精练)(解析版)_02高考数学_2025年新高考资料_一轮复习
专题26双曲线(七大题型模拟精练核心素养分析方法归纳)-(新高考专用)专题26双曲线(七大题型模拟精练)(解析版)_02高考数学_2025年新高考资料_一轮复习
专题26双曲线(七大题型模拟精练核心素养分析方法归纳)-(新高考专用)专题26双曲线(七大题型模拟精练)(解析版)_02高考数学_2025年新高考资料_一轮复习
专题26双曲线(七大题型模拟精练核心素养分析方法归纳)-(新高考专用)专题26双曲线(七大题型模拟精练)(解析版)_02高考数学_2025年新高考资料_一轮复习
专题26双曲线(七大题型模拟精练核心素养分析方法归纳)-(新高考专用)专题26双曲线(七大题型模拟精练)(解析版)_02高考数学_2025年新高考资料_一轮复习
专题26双曲线(七大题型模拟精练核心素养分析方法归纳)-(新高考专用)专题26双曲线(七大题型模拟精练)(解析版)_02高考数学_2025年新高考资料_一轮复习
专题26双曲线(七大题型模拟精练核心素养分析方法归纳)-(新高考专用)专题26双曲线(七大题型模拟精练)(解析版)_02高考数学_2025年新高考资料_一轮复习
专题26双曲线(七大题型模拟精练核心素养分析方法归纳)-(新高考专用)专题26双曲线(七大题型模拟精练)(解析版)_02高考数学_2025年新高考资料_一轮复习
专题26双曲线(七大题型模拟精练核心素养分析方法归纳)-(新高考专用)专题26双曲线(七大题型模拟精练)(解析版)_02高考数学_2025年新高考资料_一轮复习
专题26双曲线(七大题型模拟精练核心素养分析方法归纳)-(新高考专用)专题26双曲线(七大题型模拟精练)(解析版)_02高考数学_2025年新高考资料_一轮复习

文档信息

文档格式
docx
文档大小
0.956 MB
文档页数
33 页
上传时间
2026-04-13 04:47:28

文档内容

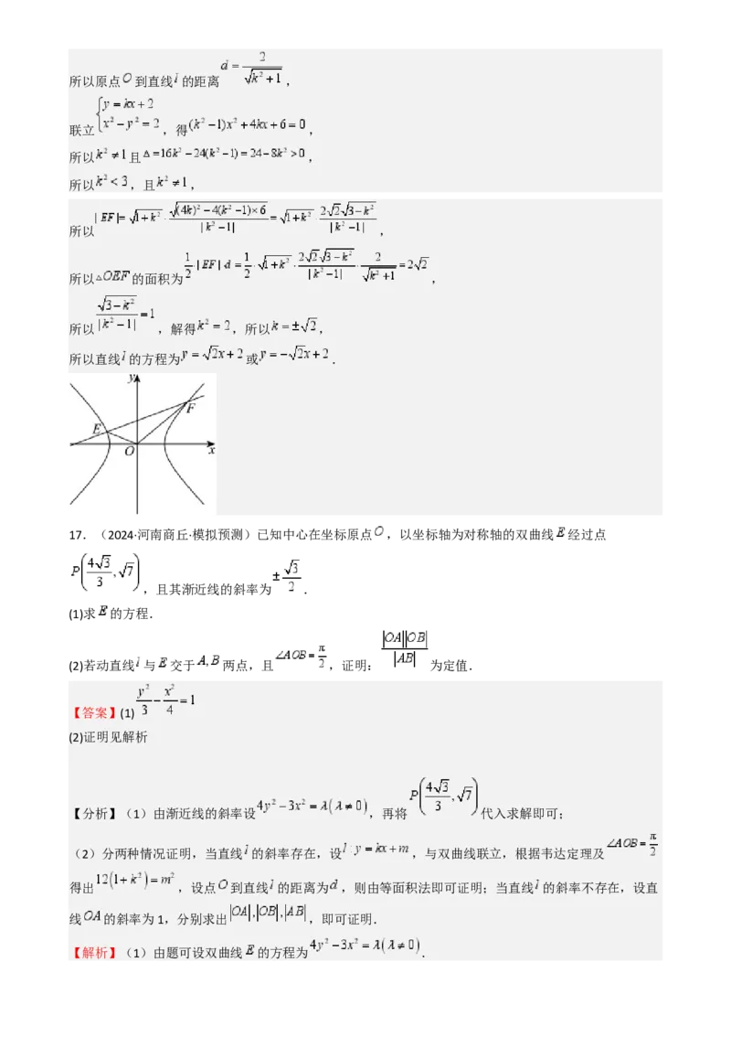
专题 26 双曲线(七大题型+模拟精练) 目录: 01 双曲线的的定义 02 双曲线的的标准方程 03 双曲线的的顶点,虚、实轴,渐近线方程等 04 双曲线的的离心率 05 等轴双曲线 06 双曲线的应用 07 解答综合题 01 双曲线的的定义 1.设 是双曲线 上一点, 分别是双曲线左右两个焦点,若 ,则 等于( ) A.1 B.17 C.1或17 D.5或13 【答案】B 【分析】先求出 ,然后根据双曲线的定义结合 可求得 . 【解析】双曲线 的 , 由双曲线的定义可得 . 因为 ,所以 ,得 或17, 若 ,则 在右支上,应有 ,不成立; 若 ,则 在左支上,应有 ,成立. 故选:B. 2.若点P是双曲线C: 上一点, , 分别为C的左、右焦点,则“ ”是“ ”的 ( ) A.既不充分也不必要条件 B.必要不充分条件 C.充要条件 D.充分不必要条件 【答案】D 【分析】首先求得焦半径的最小值,然后结合双曲线定义以及充要条件的定义即可得解. 【解析】 , 当点 在左支时, 的最小值为 , 当点 在右支时, 的最小值为 , 因为 ,则点 在双曲线的左支上,由双曲线的定义 ,解得 ; 当 ,点 在左支时, ;在右支时, ;推不出 ; 故为充分不必要条件, 故选:D. 3.已知双曲线的左、右焦点分别为F1 ,F2 ,在左支上过F1 的弦AB的长为5,若2a=8,那么 ABF2 的周 长是( ) △ A.16 B.18 C.21 D.26 【答案】D 【分析】如图,根据题意和双曲线的定义直接得出结果. 【解析】如图所示,由双曲线的定义知, ,(1) ,(2) 又 ,(3) 所以由(1),(2),(3)得 , 故 的周长为 . 故选:D. 4.已知双曲线 的两个焦点分别为 , , 为坐标原点,若 为 上异于顶点的任 意 一点,则 与 的周长之差为( ) A.8 B.16 C. 或8 D. 或16 【答案】D 【分析】将双曲线转化成标准方程,得到 ,根据双曲线的定义得出结论. 【解析】 的方程可化为 ,所以 , 易知 与 周长差的绝对值为 , 故 与 的周长之差为 或16. 故选:D. 02 双曲线的的标准方程 5.已知双曲线C: 的焦点为 ,则C的方程为( )A. B. C. D. 【答案】D 【分析】根据双曲线的标准方程计算即可. 【解析】因为双曲线C的焦点为 在纵轴上,所以 , 且双曲线C方程 满足 , 故 ,则C的方程为 . 故选:D. 6.若曲线 表示双曲线,则k的取值范围是( ) A. B. C. D. 【答案】C 【分析】根据双曲线方程的特征得到不等式,求出答案. 【解析】根据题意,若曲线 表示双曲线,则有 , 解得 . 故选:C 7.若双曲线的渐近线方程为 ,实轴长为 ,且焦点在x轴上,则该双曲线的标准方程为 ( ) A. 或 B. C. D. 【答案】C 【分析】根据双曲线的性质求解. 【解析】由题可得 ,解得 , 因为焦点在x轴上,所以双曲线的标准方程为 . 故选:C. 03 双曲线的的顶点,虚、实轴,渐近线方程等 8.已知双曲线 的左顶点为 ,右焦点为 ,虚轴长为 ,离心率为 ,则( ) A. B. C. D. 【答案】D【分析】由双曲线的方程可求得 ,计算可判断每个选项的正确性. 【解析】由双曲线 ,可得 ,所以 , 所以双曲线的左顶点 ,右焦点 ,故AB错误; 虚轴长 ,故C错误; 离心率 ,故D正确. 故选:D. 9.已知抛物线 的焦点与双曲线 的一个焦点重合,则该双曲线的渐近线方程为 ( ) A. B. C. D. 【答案】B 【分析】根据已知先求得参数 ,进一步即可得解. 【解析】已知抛物线 的焦点 与双曲线 的一个焦点重合, 所以 ,解得 , 所以双曲线 的渐近线方程为 . 故选:B. 10.已知双曲线 的焦距为 ,则 的渐近线方程是( ) A. B. C. D. 【答案】C 【分析】根据焦距可求 ,从而可求渐近线的方程. 【解析】因为焦距为 ,故 ,故 ,故 故渐近线方程为 , 故选:C. 11.已知双曲线 的焦距为 ,则双曲线 的焦点到渐近线的距离为( ) A. B. C. D. 【答案】B【分析】由题意可得, ,由 ,解得 ,可得 ,求出渐近线方程,再由点到直线的距离 公式计算即可得到. 【解析】由题意可得, ,焦点为 , 则 ,解得 ,又 , 则双曲线的渐近线方程为 , 则焦点到渐近线的距离为 . 故选:B. 12.已知双曲线 : 与 : ,则( ) A. 与 的实轴长相等 B. 与 的渐近线相同 C. 与 的焦距相等 D. 与 的离心率相等 【答案】C 【分析】根据给定条件,求出两条双曲线实半轴长、虚半轴长、半焦距,渐近线方程及离心率即可判断得 解. 【解析】双曲线 的实半轴长 ,虚半轴长 ,半焦距 ,渐近线方程为 ,离心率 , 双曲线 的实半轴长 ,虚半轴长 ,半焦距 ,渐近线方程为 ,离 心率 , 因此 与 的焦距都是 ,只有C正确,ABD错误. 故选:C 13.已知双曲线 的右焦点为 ,直线 过点 ,且与双曲线只有一个 公共点,则下列说法正确的是( ) A.双曲线 的方程为 B.双曲线 的离心率为 C.双曲线 的实轴长为 D.双曲线 的顶点坐标为 【答案】A【分析】根据直线与曲线有且只有一个公共点可知渐近线方程,再根据焦点坐标可得双曲线方程,进而判 断各选项. 【解析】由直线 过点 , 得 , , 所以 , 又直线 与双曲线只有一个公共点, 当直线 与双曲线渐近线平行时, , 可得 ,双曲线方程为 , 当直线与双曲线渐近线不平行时, 联立直线与双曲线 ,得 , ,即 , 又 ,则 ,无解, 所以双曲线方程为 ,A选项正确; 离心率 ,B选项错误; 顶点坐标为 ,D选项错误; 实轴长为 ,C选项错误; 故选:A. 04 双曲线的的离心率 14.双曲线 的一条渐近线为 ,则C的离心率为( ) A. B. C.2 D.4 【答案】C 【分析】利用双曲线的性质计算即可. 【解析】由双曲线方程易知C的渐近线为 , 所以 ,则 . 故选:C 15.设双曲线 ,椭圆 的离心率分别为 ,若 ,则 ( )A. B. C. D. 【答案】B 【分析】先求得椭圆的离心率,进而可求得双曲线的离心率,可求 的值. 【解析】由椭圆 ,可得 , 所以 ,所以椭圆的离心率 , 又 ,所以双曲线的离心率为 , 又双曲线 ,所以 , 所以 ,解得 . 故选:B. 16.已知双曲线 的一条渐近线经过点 ,则该双曲线的离心率为( ). A. B. C. D. 【答案】A 【分析】根据渐近线方程及离心率公式可得解. 【解析】双曲线 的渐近线方程为 , 又渐近线过点 ,即 ,则 , 所以离心率 , 故选:A. 17.已知双曲线方程为 , , 是双曲线的两个焦点,点A是双曲线上任意一点,若A点关 于 的对称点为点 ,点 关于 的对称点为点 ,线段 的长度是8,则双曲线的离心率是( ) A. B.2 C. D.4 【答案】B 【分析】分析可知 ,即可得 , ,进而可得离心率. 【解析】由题意可知: 、 分别为 、 的中点,则 ,即半焦距 , 由方程可知: ,则 , 所以离心率 . 故选:B. 18.已知双曲线 的左、右焦点分别为 ,过点 且与实轴垂直的直线交双曲线 于 两点.若 为等边三角形,则双曲线 的离心率为( ) A. B. C.2 D. 【答案】A 【分析】设 ,则 , ,再根据双曲线的定义求出 ,从而求出 离心率. 【解析】设 ,因为 为等边三角形,则 , , 又 , 所以双曲线 的离心率 . 故选:A 05 等轴双曲线 19.已知等轴双曲线的中心在原点,焦点在y轴上,与直线 交于A,B两点,若 ,则 该双曲线的方程为( ) A. B. C. D. 【答案】C 【分析】设出双曲线方程,联立直线,求出交点坐标,即可求解【解析】由题意可设双曲线方程为 , , 由 得 ,则 , , 不妨假设 ,则 , 由图象的对称性可知, 可化为 , 即 ,解得 , 故双曲线方程为: , 故选:C 20.已知双曲线 ,点 、 为其两个焦点,点P为双曲线上一点,若 ,则 的值为 . 【答案】 【分析】首先根据定义得到 ,再结合勾股定理求出 ,最后平方即可求解. 【解析】双曲线 化为标准方程为 , 由定义知 ①, 又因为 ,由勾股定理可知, ②, ①式平方得 ③, 联立②③得 ,则 , 则 . 故答案为: 21.已知双曲线 的左、右焦点分别为 ,过原点 的直线 与 交 于 两点.若 ,且 的面积为2,则 的焦距为 . 【答案】 【分析】由题意可知双曲线为等轴双曲线,四边形 为矩形,设双曲线的半焦距为 ,利用双曲线 的定义和勾股定理,及 的面积为2,求出 与 的值即可得双曲线的焦距. 【解析】双曲线 为等轴双曲线,设双曲线的半焦距为 ,则 由双曲线的对称性可知四边形 为平行四边形,因为 ,所以四边形 为矩形, , 不妨设点 在 的右支上, ,则 , 所以 ,得 , 所以 ,得 , 又 ,所以 的焦距为 . 故答案为: . 22.已知反比例函数 的图象 是以 轴与 轴为渐近线的等轴双曲线.设 、 为双曲线 的两个顶 点,点 、 是双曲线 上不同的两个动点.则直线 与 交点的轨迹 的方程为 ; 【答案】 【分析】设直线 与 交点为 ,通过 和 可构造等式,将 代入等式 且进行消 即可求解 【解析】由题意可得双曲线 的两个顶点 , , 因为点 、 是双曲线 上不同的两个动点,则 且 , 设直线 与 交点为 , ,且 , , 所以, ①, ,且 , , 所以, ②, 因为点 在双曲线 上,则 ,且 , 将 代入①式化简可得 ③, 将 代入②式化简可得 ④, ③式与④式相乘可得 ,可得 , 因此,轨迹 的方程为 .故答案为: 06 双曲线的应用 23.阿波罗尼斯(约公元前262年~约公元前190年),古希腊著名数学家﹐主要著作有《圆锥曲线 论》、《论切触》等.尤其《圆锥曲线论》是一部经典巨著,代表了希腊几何的最高水平,此书集前人之 大成,进一步提出了许多新的性质.其中也包括圆锥曲线的光学性质,光线从双曲线的一个焦点发出,通 过双曲线的反射,反射光线的反向延长线经过其另一个焦点.已知双曲线C: ( , ) 的左、右焦点分别为 , ,其离心率 ,从 发出的光线经过双曲线C的右支上一点E的反射, 反射光线为EP,若反射光线与入射光线垂直,则 ( ) A. B. C. D. 【答案】B 【分析】设 , ,利用双曲线的定义、勾股定理可得方程,解得 ,进而得出结论. 【解析】设 , , ,由题意知 , , , 所以 , , ,所以 , 又 ,所以 ,解得 , 所以 . 故选:B. 24.在天文望远镜的设计中,人们利用了双曲线的光学性质:从双曲线的一个焦点射出的光线,经过双曲 线反射后,反射光线的反向延长线都汇聚到双曲线的另一个焦点上.如图,已知双曲线的离心率为2,则 当入射光线 和反射光线 互相垂直时(其中 为入射点), 的值为( ) A. B. C. D. 【答案】D 【分析】由题意可得 , ,不妨设双曲线的标准方程为 , ,结合双曲线的 定义和勾股定理求出m,即可求解. 【解析】因为 ,所以 ,得 ,不妨设双曲线的标准方程为 ,设 ,则 . 所以 ,解得 或 (舍去). 所以 . 故选:D. 25.从椭圆的一个焦点发出的光线,经过椭圆反射后,反射光线经过椭圆的另一个焦点;从双曲线的一个 焦点发出的光线,经过双曲线反射后,反射光线的反向延长线经过双曲线的另一个焦点.如图①,一个光 学装置由有公共焦点 、 的椭圆 与双曲线 构成,现一光线从左焦点 发出,依次经 与 反射,又 回到了点 ,历时 秒;若将装置中的 去掉,如图②,此光线从点 发出,经 两次反射后又回到了 点 ,历时 秒:若 ,则 的长轴长与 的实轴长之比为( ) A. B. C. D. 【答案】C 【分析】设出椭圆方程和双曲线方程,由椭圆定义和双曲线定义得到相关方程,求出 的周长和 的周长,进而根据题意得到方程,求出 ,得到答案. 【解析】设椭圆方程为 ,双曲线方程为 , 由图①可得 , 其中 ,故上面两式相减得 , 由图②可得 , 故 , 由题意得 ,即 , 即 ,解得 , 故 的长轴长与 的实轴长之比为 . 故选:C 07 解答综合题 26.求下列各曲线的标准方程(1)抛物线的焦点是双曲线 的左顶点,求抛物线标准方程. (2)已知椭圆 与圆 ,双曲线 与椭圆 有相同焦点,它的两条渐近线恰好与 圆 相切,求双曲线 的标准方程. 【答案】(1) (2) 【分析】(1)根据双曲线的性质求出抛物线的焦点坐标,可得抛物线的标准方程. (2)利用椭圆和双曲线的几何性质,得到双曲线的焦点,然后,列出 的相关方程进行求解即可. 【解析】(1)对双曲线: ,其左顶点为 . 对抛物线,焦点为 ,所以抛物线的标准方程为: . (2)椭圆 : 的焦点坐标为: , . 如图: 直线 与圆 : 相切, 设直线 的倾斜角为 ,则 . 所以对双曲线 焦点在 轴上,且 . 所以双曲线 的标准方程为: . 27.已知双曲线 的焦距为 为双曲线的右焦点,且点 到渐近线的距离为 4. (1)求双曲线 的方程; (2)若点 ,点 为双曲线 左支上一点,求 的最小值.【答案】(1) (2)23 【分析】(1)利用点到直线的距离公式列方程得到 ,根据焦距得到 ,然后根据 得到 即可 得到双曲线的方程; (2)根据双曲线的定义将 的最小值转化为 的最小值,然后根据两点之间线段最 短求最小值即可. 【解析】(1) 的一条渐近线的方程为 ,即 , 点 到 的距离 , 又因为 ,所以 , 所以 ,所以双曲线 的方程为 . (2) 记双曲线 的左焦点为 ,则 , , 当 三点共线时, 最小,且最小值为 . 故 的最小值为 . 28.已知在平面直角坐标系 中,双曲线 : 过 和 两点. (1)求双曲线 的标准方程; (2)若 , 为双曲线 上不关于坐标轴对称的两点, 为 中点,且 为圆 的一条非直径的弦,记 斜率为 , 斜率为 ,证明: 为定值. 【答案】(1) (2)证明见解析 【分析】(1)根据双曲线上两点,代入方程解方程组即可得解; (2)利用“点差法”可得直线 斜率与 斜率关系,再由圆的性质可得 斜率的关系,化简即可得证. 【解析】(1)代入双曲线上两点得 , , 故 ,解得 , , 故双曲线C标准方程为: . (2)如图, 设 , , 由题知 , 相减得 , 又 , 所以 , 由 为圆 的一条非直径的弦, 为 中点得 ,故 , 因此 为定值. 一、单选题 1.(2024·福建福州·模拟预测)以 为渐近线的双曲线可以是( ) A. B. C. D. 【答案】B 【分析】利用渐近线的求法,直接求出各个选项的渐近线方程,即可求解.【解析】对于选项A,由 得渐近线方程为 ,所以选项A错误, 对于选项B,由 得渐近线方程为 ,所以选项B正确, 对于选项C,由 得渐近线方程为 ,所以选项C错误, 对于选项D,由 得渐近线方程为 ,所以选项D错误, 故选:B. 2.(2024·四川成都·模拟预测)双曲线 的一条渐近线为 ,则其离心率为 ( ). A. B. C. D. 【答案】A 【分析】根据渐近线方程解得 ,再由离心率公式求解即可. 【解析】解:因为双曲线 的一条渐近线为 ( ), 即 , 所以渐近线的斜率为 , 即 , 解得 , 所以双曲线的离心率 . 故选:A. 3.(2024·广西桂林·模拟预测)已知 是双曲线 的左、右焦点,过 作双曲线一条渐 近线的垂线,垂足为 ,且 ,则双曲线 的离心率为( ) A. B. C. D. 【答案】D 【分析】先根据点到直线得距离公式求出 ,在 和 中,求出 , 利用余弦相反构造 的齐次式,即可得解. 【解析】 ,点 到渐近线 的距离为 ,即 ,因为 ,所以 , , 在 中,由余弦定理得: . 在 中,由余弦定理得: . 因为 ,所以 , 所以 ,又 ,所以 , 所以 . 故选:D 4.(2024·湖南·三模)双曲线 的上焦点 到双曲线一条渐近线的距离为 ,则双曲线 两条渐近线的斜率之积为( ) A. B.4 C. D.2 【答案】A 【分析】由点到直线的距离公式、焦点、渐近线以及 的关系即可求解. 【解析】由对称性,不妨设 ,双曲线的渐近线是 , 则由题意 ,解得 ,故所求为 . 故选:A. 5.(2024·河南濮阳·模拟预测)在平面直角坐标系 中,点F的坐标为 ,以线段FP为直径的圆 与圆 相切,则动点P的轨迹方程为( ) A. B. C. D. 【答案】B 【分析】分两圆外切和内切两种情况,根据两圆位置关系结合双曲线的定义分析求解. 【解析】由题意可知:圆 的圆心为 ,半径 , 设 ,以线段FP为直径的圆的圆心为M,半径为 ,若圆 与圆 外切,则 , , 可得 ; 若圆 与圆 内切,则 , , 可得 ; 综上所述: , 可知动点P的轨迹是以 为焦点的双曲线,且 ,则 , 所以动点P的轨迹方程为 . 故选:B. 6.(2024·陕西榆林·模拟预测)设 , 是双曲线 的左,右焦点,过 的直线与 轴和 的右支分别交于点 , ,若 是正三角形,则 ( ) A.2 B.4 C.8 D.16 【答案】B 【分析】根据双曲线的定义及等边三角形的性质计算可得. 【解析】对于双曲线 ,则 , 根据双曲线定义有 , 又 , ,故 . 故选:B7.(2024·河南·二模)双曲线 的左、右焦点分别为 ,过 作 圆: 的切线,切点为 ,该切线交双曲线 的一条渐近线于点 ,若 ,则双曲 线 的离心率为( ) A. B. C. D. 【答案】B 【分析】如图,连接 ,则 , ,由 ,得 , ,进 而可求得点 的坐标,结合点 在渐近线上求解即可. 【解析】如图,连接 ,则 , , , 为 的中点, , , , 设 , , , , , 点 在渐近线 上, , 离心率 . 故选:B. 8.(2024·福建泉州·二模)双曲线 ,左、右顶点分别为A,B,O为坐标原点, 如 图,已知动直线l与双曲线C左、右两支分别交于P,Q两点,与其两条渐近线分别交于R,S两点,则下 列命题正确的是( )A.存在直线l,使得 B.当且仅当直线l平行于x轴时, C.存在过 的直线l,使得 取到最大值 D.若直线l的方程为 ,则双曲线C的离心率为 【答案】D 【分析】根据与渐近线平行的直线不可能与双曲线有两个交点可对A项判断;设直线 分别与双 曲线联立,渐近线联立,分别求出和坐标,从而可对B、C项判断;根据 ,求出 ,从而 可对D项判断. 【解析】解:对于A项:与渐近线平行的直线不可能与双曲线有两个交点,故A项错误; 对于B项:设直线 ,与双曲线联立 ,得: ,其中 , 设 ,由根与系数关系得: , 所以线段PQ中点 , 将直线 ,与渐近线 联立得点S坐标为 , 将直线 与渐近线 联立得点R坐标为 , 所以线段RS中点 , 所以线段PQ与线段RS的中点重合.所以,对任意的直线l,都有 ,故B项不正 确; 对于C项:因为 为定值,当k越来越接近渐近线 的斜率 时, 趋向于无穷, 所以 会趋向于无穷,不可能有最大值,故C项错误;对于D项:联立直线l与渐近线 ,解得 , 联立直线l与渐近线 ,解得 由题可知, , ,解得 ,所以 ,故D项正确. 故选:D. 【点睛】方法点睛:求解椭圆或双曲线的离心率的三种方法: ①定义法:通过已知条件列出方程组,求得 得值,根据离心率的定义求解离心率 ; ②齐次式法:由已知条件得出关于 的二元齐次方程,然后转化为关于 的一元二次方程求解; ③特殊值法:通过取特殊值或特殊位置,求出离心率. 二、多选题 9.(2024·河南新乡·模拟预测)已知 ,则双曲线 与 有相同的 ( ) A.焦点 B.焦距 C.离心率 D.渐近线 【答案】CD 【分析】由双曲线的几何性质逐一判断即可; 【解析】对于选项A、B:设 ,易知 的左、右焦点坐标分别为 和 , 而 的标准方程为 ,故其左、右焦点坐标分别为 和 , 显然 和 的焦点和焦距均不相同,故A,B错误; 对于选项C、D: 和 的离心率均为 ,渐近线方程均为 ,故C,D正确. 故选:CD. 10.(2024·河北保定·三模)已知双曲线 : 的左、右焦点分别为 , ,过点 的 直线与 的左支相交于 , 两点,若 ,且 ,则( ) A. B. C. 的离心率为 D.直线 的斜率为 【答案】ACD 【分析】设 , ,结合双曲线的定义与勾股定理可以求得 的值,即可判断出A,B选 项;再结合勾股定理可以求得 的关系,再求出离心率;求直线的斜率,在直角三角形中,用斜率的定义求正切值可以求得直线的斜率. 【解析】如图,由 ,可设 , . 因为 ,所以 . 设 , ,则 , , ,解得 , 则 , , 所以 ,故A选项正确; ,故B选项错误; 在 中,由 ,得 ,则 , 从而 的离心率为 ,故C选项正确. 又 ,所以直线 的斜率为 ,故D选项正确. 故选:ACD. 11.(2025·安徽·一模)已知双曲线 的左、右焦点分别为 .过 的直线 交双曲线 的右支于 两点,其中点 在第一象限. 的内心为 与 轴的交点为 ,记 的内切圆 的半径为 的内切圆 的半径为 ,则下列说法正确的有( ) A.若双曲线渐近线的夹角为 ,则双曲线的离心率为2或 B.若 ,且 ,则双曲线的离心率为 C.若 ,则 的取值范围是 D.若直线 的斜率为 ,则双曲线的离心率为 【答案】ABD 【分析】根据基本量运算直接得出离心率判断A,结合双曲线定义判断B,结合内切圆性质判断C,结合定 义及余弦定理计算可得离心率判断D. 【解析】对于A,双曲线渐近线的夹角为 ,则 或者 故 或. 对于B,设 ,则 . 故 ,解得 .又 ,故 . 对于C, 令圆 切 分别为点 ,则 , ,令点 ,而 , 因此 ,解得 ,又 ,则点 横坐标为 ,同理点 横坐标为 , 即直线 的方程为 , 设直线 的倾斜角为 ,那么 , 在 中, 在 中, ,渐近线的斜率为 . 因为 均在右支上,故 . 如图所求, . 对于D, ,故 ,而 . 故 , 由余弦定理可知 ,故 . 故选:ABD. 【点睛】关键点点睛: 1.根据几何性质确定 的横坐标都是 ,2.设倾斜角为 ,将 表示为 的 三角函数. 三、填空题12.(2024·贵州·模拟预测)我们把离心率为 的双曲线称为“黄金双曲线”.已知“黄金双曲线” ,则 的虚轴长为 . 【答案】 【分析】根据条件及离心率的定义,得到 ,即可求解. 【解析】因为 ,即 ,解得 ,所以 的虚轴 长为 , 故答案为: . 13.(2024·山西长治·模拟预测)已知抛物线 、 分别是双曲线 的 左、右焦点,抛物线的准线过双曲线的左焦点 ,且与双曲线的一条渐近线交于点A,若 , 则b= . 【答案】 【分析】根据题意可知 , ,根据题意 ,列出方程求解即 可. 【解析】如图所示,因为抛物线 所以 , 因为抛物线的准线过双曲线的左焦点 ,所以 , 所以 , 又因为双曲线的一条渐近线 , 所以 , 因为 ,所以即 ,化简得 , 又因为 ,联立解得 故答案为: . 14.(2024·云南·模拟预测)已知椭圆 与双曲线 的 左、右焦点相同,分别为 , , 与 在第一象限内交于点 ,且 , 与 的离心率分别 为 , .则 , 的取值范围是 . 【答案】 【分析】利用椭圆以及双曲线定义联立方程组可得 ,因此可求得 ;求出 的表 达 式再根据三角形三边关系可求得 ,利用函数单调性即可求得结果. 【解析】如下图所示: 根据椭圆定义以及双曲线定义可得 ,解得 ; 显然 ,可得 ; 又 且 ,其中 ; 可得 ,所以 ,即 ; 所以 . 令 ,则 . 因为 ,所以 .又 ,所以有 ,所以有 ; 又 ,所以有 ,所以有 , 所以可得 . 设函数 ,则 ,函数 在区间 上单调递增, 所以 ,所以 . 即可得 的取值范围是 . 故答案为: ; . 【点睛】易错点点睛:在求解椭圆以及双曲线离心率问题时,最容易忽略利用它们的定义来求得线段长度 表达式,再进行相关问题求解. 四、解答题 15.(2024·海南·模拟预测)已知双曲线 的实轴长为 ,点 在双曲 线 上. (1)求双曲线 的标准方程; (2)过点 且斜率为 的直线与双曲线 的另一个交点为 ,求 . 【答案】(1) (2) 【分析】(1)将点 代入双曲线 方程即可求解; (2)写出直线方程,与双曲线方程联立,由弦长公式可得结果. 【解析】(1)因为双曲线的实轴长为 ,所以 ,解得: ; 又因为点 在双曲线 上,所以 ,解得: , 所以双曲线的标准方程为: (2)设 ,由题可得过点 且斜率为 的直线方程为: ,即 , 联立 ,消去 可得: , 所以 , , 所以 16.(2024·山东·二模)已知双曲线的中心为坐标原点 ,点 在双曲线上,且其两条渐近线相 互垂直. (1)求双曲线的标准方程; (2)若过点 的直线 与双曲线交于 , 两点, 的面积为 ,求直线 的方程. 【答案】(1) (2) 或 . 【分析】(1)设所求双曲线方程为 , ,把点 代入,即可得出答案. (2)根据题意设直线 的方程为 ,联立直线与双曲线的方程,分别用点到直线的距离公式,弦 长公式,三角形面积公式,建立方程,即可得出答案. 【解析】(1)因为双曲线 的两条渐近线互相垂直, 所以双曲线 为等轴双曲线, 所以设所求双曲线方程为 , , 又双曲线 经过点 , 所以 ,即 , 所以双曲线的方程为 ,即 . (2)根据题意可知直线 的斜率存在,又直线 过点 , 所以直线 的方程为 ,所以原点 到直线 的距离 , 联立 ,得 , 所以 且 , 所以 ,且 , 所以 , 所以 的面积为 , 所以 ,解得 ,所以 , 所以直线 的方程为 或 . 17.(2024·河南商丘·模拟预测)已知中心在坐标原点 ,以坐标轴为对称轴的双曲线 经过点 ,且其渐近线的斜率为 . (1)求 的方程. (2)若动直线 与 交于 两点,且 ,证明: 为定值. 【答案】(1) (2)证明见解析 【分析】(1)由渐近线的斜率设 ,再将 代入求解即可; (2)分两种情况证明,当直线 的斜率存在,设 ,与双曲线联立,根据韦达定理及 得出 ,设点 到直线 的距离为 ,则由等面积法即可证明;当直线 的斜率不存在,设直 线 的斜率为1,分别求出 ,即可证明. 【解析】(1)由题可设双曲线 的方程为 .因为 经过点 , 所以 ,解得 , 故 的方程为 . (2)若直线 的斜率存在,设 , 由 ,消去 得 , 则 ,即 , 设 ,则 , 因为 ,所以 ,即 , 所以 ,整理得 , 设点 到直线 的距离为 ,则由等面积法得 ,所以 , 又 ,所以 ; 若直线 的斜率不存在,则直线 的斜率为 , 不妨设直线 的斜率为1,则 , 将点 的坐标代入方程 ,得 , 所以 , 所以 . 综上, 为定值 . 18.(2025·广东·模拟预测)在平面直角坐标系 中,等轴双曲线 和 的中心均为O,焦点分别在x 轴和y轴上,焦距之比为2, 的右焦点F到 的渐近线的距离为2.(1)求 , 的方程; (2)过F的直线交 于A,B两点,交 于D,E两点, 与 的方向相同. (ⅰ)证明: ; (ⅱ)求 面积的最小值. 【答案】(1) (2)(ⅰ)证明见解析;(ⅱ) 【分析】(1)根据双曲线特征设 ,结合已知列方程求解; (2)(ⅰ)先设直线再联立方程应用两根的和结合中点M,即可证明;(ⅱ)先把面积转化为 再设函数 借助导函数正负得出函数的单调性进而求出最小值. 【解析】(1)由题设可设 ,这里 . 易知 渐近线为 ,焦距为 , 的右焦点 , 由题设可知 , 解得 . 所以 的方程为 , 的方程为 . (2)(ⅰ)设直线 , 联立直线 和 的方程 ,得 . 为使直线 和 均有2个交点,必须有 , , 解得 且 . 由韦达定理可得 注意到 ,因此线段 和线段 具有相同的中点. 记上述中点为 ,注意到 ,所以 . (ⅱ)由( i )可知 和 的面积相等. 记 的面积为 , 的面积为 , 的面积为 . 由 与 的方向相同可知 .因为 , 同理 所以 , , 设 , 则 , 当 时, 单调递增, 当 时, 单调递减, 因此 , 当且仅当 时,等号成立, 因此, 面积的最小值为 . 【点睛】关键点点睛:解题的关键点时把面积转化为 ,设函数借助导函数正负得出函数的单调性进而求出最小值. 19.(2024·内蒙古赤峰·二模)已知点P为圆 上任意一点, 线段PA的垂直 平分线交直线PC于点M,设点M 的轨迹为曲线H. (1)求曲线H的方程; (2)若过点M 的直线l与曲线H的两条渐近线交于S,T两点,且M 为线段ST的中点. (i)证明:直线l与曲线H有且仅有一个交点; (ii)求 的取值范围. 【答案】(1) (2)( i )证明见解析,( ii) 【分析】(1) 由双曲线的定义进行求解; (2) ( i ) 设 ,求出 ,由直线l与曲线H方程进行求解; (ii)由 ,则 利用基本不等 式求解. 【解析】(1)M为 的垂直平分线上一点, 则 , 则 点M的轨迹为以 为焦点的双曲线, 且 , ∴ 故点M的轨迹方程为 (2)( i ) 设 ,双曲线的渐近线方程为: , 如图所示: 则 ①, ②, ①+②得, ,①-②得, , 则 ,得 由题可知 ,则 , 得 ,即 , 直线 的方程为 ,即 , ∴又 点M在曲线H上,则 ,得 , ∵ 将方程联立 ,得 , 得 , 由 ,可知方程有且仅有一个解, 得直线l与曲线H有且仅有一个交点. (ii)由(i)联立 ,可得 ,同理可得, , 则 , 故 , 当且仅当 ,即 时取等号. 故 的取值范围为 . 【点睛】关键点点睛:第二问中的第2小问中,先要计算 ,再由基本不等式求解范围.