当前位置:首页>文档>专题30圆锥曲线中的定值问题(解析版)_02高考数学_2024年新高考资料_3.2024专项复习_2024年新高考数学之圆锥曲线专项重难点突破练(新高考专用)

专题30圆锥曲线中的定值问题(解析版)_02高考数学_2024年新高考资料_3.2024专项复习_2024年新高考数学之圆锥曲线专项重难点突破练(新高考专用)

  • 2026-04-14 03:31:47 2026-04-13 09:24:22

文档预览

专题30圆锥曲线中的定值问题(解析版)_02高考数学_2024年新高考资料_3.2024专项复习_2024年新高考数学之圆锥曲线专项重难点突破练(新高考专用)
专题30圆锥曲线中的定值问题(解析版)_02高考数学_2024年新高考资料_3.2024专项复习_2024年新高考数学之圆锥曲线专项重难点突破练(新高考专用)
专题30圆锥曲线中的定值问题(解析版)_02高考数学_2024年新高考资料_3.2024专项复习_2024年新高考数学之圆锥曲线专项重难点突破练(新高考专用)
专题30圆锥曲线中的定值问题(解析版)_02高考数学_2024年新高考资料_3.2024专项复习_2024年新高考数学之圆锥曲线专项重难点突破练(新高考专用)
专题30圆锥曲线中的定值问题(解析版)_02高考数学_2024年新高考资料_3.2024专项复习_2024年新高考数学之圆锥曲线专项重难点突破练(新高考专用)
专题30圆锥曲线中的定值问题(解析版)_02高考数学_2024年新高考资料_3.2024专项复习_2024年新高考数学之圆锥曲线专项重难点突破练(新高考专用)
专题30圆锥曲线中的定值问题(解析版)_02高考数学_2024年新高考资料_3.2024专项复习_2024年新高考数学之圆锥曲线专项重难点突破练(新高考专用)
专题30圆锥曲线中的定值问题(解析版)_02高考数学_2024年新高考资料_3.2024专项复习_2024年新高考数学之圆锥曲线专项重难点突破练(新高考专用)
专题30圆锥曲线中的定值问题(解析版)_02高考数学_2024年新高考资料_3.2024专项复习_2024年新高考数学之圆锥曲线专项重难点突破练(新高考专用)
专题30圆锥曲线中的定值问题(解析版)_02高考数学_2024年新高考资料_3.2024专项复习_2024年新高考数学之圆锥曲线专项重难点突破练(新高考专用)
专题30圆锥曲线中的定值问题(解析版)_02高考数学_2024年新高考资料_3.2024专项复习_2024年新高考数学之圆锥曲线专项重难点突破练(新高考专用)
专题30圆锥曲线中的定值问题(解析版)_02高考数学_2024年新高考资料_3.2024专项复习_2024年新高考数学之圆锥曲线专项重难点突破练(新高考专用)
专题30圆锥曲线中的定值问题(解析版)_02高考数学_2024年新高考资料_3.2024专项复习_2024年新高考数学之圆锥曲线专项重难点突破练(新高考专用)
专题30圆锥曲线中的定值问题(解析版)_02高考数学_2024年新高考资料_3.2024专项复习_2024年新高考数学之圆锥曲线专项重难点突破练(新高考专用)
专题30圆锥曲线中的定值问题(解析版)_02高考数学_2024年新高考资料_3.2024专项复习_2024年新高考数学之圆锥曲线专项重难点突破练(新高考专用)
专题30圆锥曲线中的定值问题(解析版)_02高考数学_2024年新高考资料_3.2024专项复习_2024年新高考数学之圆锥曲线专项重难点突破练(新高考专用)
专题30圆锥曲线中的定值问题(解析版)_02高考数学_2024年新高考资料_3.2024专项复习_2024年新高考数学之圆锥曲线专项重难点突破练(新高考专用)
专题30圆锥曲线中的定值问题(解析版)_02高考数学_2024年新高考资料_3.2024专项复习_2024年新高考数学之圆锥曲线专项重难点突破练(新高考专用)
专题30圆锥曲线中的定值问题(解析版)_02高考数学_2024年新高考资料_3.2024专项复习_2024年新高考数学之圆锥曲线专项重难点突破练(新高考专用)
专题30圆锥曲线中的定值问题(解析版)_02高考数学_2024年新高考资料_3.2024专项复习_2024年新高考数学之圆锥曲线专项重难点突破练(新高考专用)
专题30圆锥曲线中的定值问题(解析版)_02高考数学_2024年新高考资料_3.2024专项复习_2024年新高考数学之圆锥曲线专项重难点突破练(新高考专用)
专题30圆锥曲线中的定值问题(解析版)_02高考数学_2024年新高考资料_3.2024专项复习_2024年新高考数学之圆锥曲线专项重难点突破练(新高考专用)
专题30圆锥曲线中的定值问题(解析版)_02高考数学_2024年新高考资料_3.2024专项复习_2024年新高考数学之圆锥曲线专项重难点突破练(新高考专用)
专题30圆锥曲线中的定值问题(解析版)_02高考数学_2024年新高考资料_3.2024专项复习_2024年新高考数学之圆锥曲线专项重难点突破练(新高考专用)

文档信息

文档格式
docx
文档大小
1.184 MB
文档页数
20 页
上传时间
2026-04-13 09:24:22

文档内容

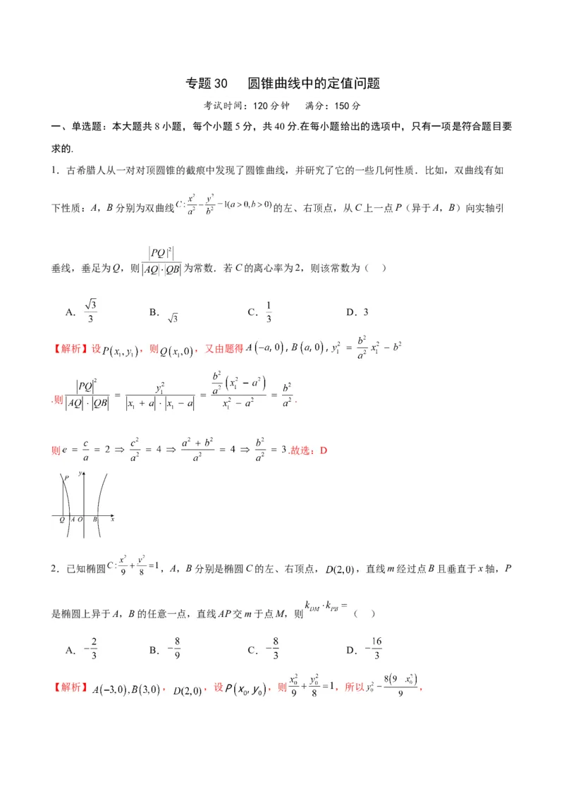
专题30 圆锥曲线中的定值问题 考试时间:120分钟 满分:150分 一、单选题:本大题共8小题,每个小题5分,共40分.在每小题给出的选项中,只有一项是符合题目要 求的. 1.古希腊人从一对对顶圆锥的截痕中发现了圆锥曲线,并研究了它的一些几何性质.比如,双曲线有如 下性质:A,B分别为双曲线 的左、右顶点,从C上一点P(异于A,B)向实轴引 垂线,垂足为Q,则 为常数.若C的离心率为2,则该常数为( ) A. B. C. D.3 【解析】设 ,则 ,又由题得 .则 . 则 .故选:D 2.已知椭圆 ,A,B分别是椭圆C的左、右顶点, ,直线m经过点B且垂直于x轴,P 是椭圆上异于A,B的任意一点,直线AP交m于点M,则 ( ) A. B. C. D. 【解析】 , ,设 ,则 ,所以 ,则 , 设 ,则 , 所以 . 故选:D. 3.已知F为抛物线C: 的焦点,O为坐标原点,过点F且斜率为1的直线l交抛物线C于 A、B两点,则直线OA、OB的斜率之和为( ) A.-2 B.-2P C.-4 D.-4P 【解析】抛物线 : 的焦点 坐标为 , 所以直线 的方程为 ,设 则 ,消去 得 , ,所以 , 则 .故选:C. 4.过抛物线 的焦点 作直线 交抛物线于M,N两点,弦MN的垂直平分线交x轴于点P. 已知 是一个定值,则该定值为( )A.2 B. C. D. 【解析】 ,设 , 依题意可知直线 的斜率存在,设其方程为 , 由 消去 并化简得 , 则 , 所以弦 的垂直平分线为 , 令 解得 ,所以 , 而 ,所以 .故选:D 5.已知点 , 在椭圆 上, 为坐标原点,记直线 , 的斜率分别为 , ,若 ,则 ( ) A.2 B.3 C.4 D.5 【解析】设直线 的斜率为 ,则直线 的斜率为 , 则直线 , 的方程分别为 , ,由 得, ,即 , 由 得, ,即 , 所以 ,故选:D6.双曲线 和椭圆 的右焦点分别为 , , , 分别为 上第一象限内不同于 的点,若 , ,则四条直线 的斜率之和为( ) A.1 B.0 C. D.不确定值 【解析】设 为原点,则 , , 而 ,得 ,所以 、 、 三点共线. 因为 ,所以 ,且 ,得 , 所以 ,即 .设 , ,分别代入双曲线 和 , 则 ,即 ,所以 , ,因为 、 、 三点共线, 所以 ,即 .故选:B. 7.双曲线 的左顶点为 ,右焦点为 ,离心率为 ,焦距为 .设 是双曲线 上 任意一点,且 在第一象限,直线 与 的倾斜角分别为 , ,则 的值为( ) A. B. C. D.与 位置有关 【解析】由 ,得 ,所以 ,所以双曲线 的方程为 . 所以左顶点 ,右焦点 .设 ,则 .当 时, ,此时 , , ,所以 ; 当 , , .因为 , 所以 , 又由点 在第一象限,易知 , ,所以 . 综上, 的值为 .故选:C 8.已知P为椭圆 上任意一点,点M,N分别在直线 与 上,且 , ,若 为定值,则椭圆的离心率为( ) A. B. C. D. 【解析】设 , ,则直线 的方程为 ,直线 的方程为 , 联立方程组 ,解得 , , 联立方程组 ,解得 , , , , 在椭圆上, , 为定值,, . .故选:D. 二、多选题:本大题共4小题,每个小题5分,共20分.在每小题给出的选项中,只有一项或者多项是符 合题目要求的. 9.已知抛物线 与圆 交于 、 两点,且 ,直线 过 的焦点 , 且与 交于 、 两点,则下列说法中正确的是( ) A. B. C.存在某条直线 ,使得 D.若点 ,则 周长的最小值为 【解析】由对称性得点 在抛物线 上,所以 ,解得 ,故A选项正确; 设直线 和双曲线交于 两点,设直线方程为 , 代入抛物线方程可得: , ,所以 , 所以: 故B选项正确; 则 , 当且仅当 时等号成立,故C错误; 如图,过点 作准线的垂线,垂足为 ,交 轴于 ,取 的中点为 ,过点 作 轴的垂线,过 作 垂直于准线,垂足为 , 所以 的周长为 , 当且仅当点 的坐标为 时取等号,故D选项正确. 故选:ABD. 10.已知 , 是椭圆 : 的左右顶点,过点 且斜率不为零的直线与 交于 , 两点, , , , 分别表示直线 , , , 的斜率,则下列结论中正确的是( ) A. B. C. D.直线 与 的交点的轨迹方程是 【解析】对于A:设交点 ,因为 在椭圆上,故 , 所以 .选项 正确; 对于B:设 , ,直线 : ,联立 ,消去 ,得 ,则 ①, ②, 所以 ,故选项B正确; 对于C:联立 和 ,相除得 ,故选项C错误; 对于D:设直线 方程: ③, 直线 方程: ④,联立③④,消 得, , 结合选项B中①②得 , 所以 .D正确; 故选:ABD. 11.在平面直角坐标系 中,已知双曲线 的离心率为 ,且双曲线 的左焦 点在直线 上, 、 分别是双曲线 的左、右顶点,点 是双曲线 的右支上位于第一象限 的动点,记 、 的斜率分别为 、 ,则下列说法正确的是( ) A.双曲线 的渐近线方程为 B.双曲线 的方程为 C. 为定值 D.存在点 ,使得【解析】对于A选项, ,则 , 所以,双曲线 的渐近线方程为 ,A错; 对于B选项,由题意可得 ,可得 , , , 所以,双曲线 的方程为 ,B对; 对于C选项,设点 ,则 ,可得 , 易知点 、 ,所以, ,C对; 对于D选项,由题意可知 , ,则 , ,且 , 所以, ,D错. 故选:BC. 12.点 分别为椭圆 的左、右焦点且 .点P为椭圆上任意一点, 的面积的最大值是1,点M的坐标为 ,过点 且斜率为k的直线L与椭圆C相交于A,B两 点,则下列结论成立的是( ) A.椭圆的离心率 B. 的值与k相关 C. 的值为常数 D. 的值为常数-1【解析】由已知得 ,解得 ,则离心率 ,A正确; 又椭圆方程为 , 设过点 且斜率为k的直线L的方程为 ,与椭圆方程联立消去 得: ,设 ,则 , , ,C正确. 故选:AC. 三、填空题:本大题共4小题,每小题5分,共20分.把答案填在答题卡中的横线上. 13.已知抛物线 的焦点为 ,准线 交 轴于点 ,过点 的直线交该抛物线于 两点,则直线 与直线 的斜率之和为 . 【解析】如图,过 作 的垂线 ,垂足为 ,作准线 的垂线 ,垂足为 ,过 作 的垂线 ,垂足为 ,作准线 的垂线 ,垂足为 ,连接 ,则 , , 因为 ,所以 ,即 . 14.已知椭圆 的左顶点为A,O为坐标原点,直线 与椭圆C交于M,N 两点,射线 与椭圆C交于点P,设直线 , 的斜率分别为 , ,则 . 【解析】设 , ,直线 过定点 . 设 ,即 ,则 , . 因为 ,所以 ,两式作差得 , 即 ,所以 ,结合 ,得 , ,由于 ,即 ,而射线 与椭圆C交于点P,故 , 又 ,故 , 所以 , 15.已知点M、N分别是椭圆 上两动点,且直线 的斜率的乘积为 ,若椭圆上任一 点P满足 ,则 的值为 . 【解析】设 , , ,又P在椭圆上, , , , , , , . 16.已知A,B是双曲线 上的两个动点,动点P满足 ,O为坐标原点,直线OA 与直线OB斜率之积为2,若平面内存在两定点 、 ,使得 为定值,则该定值为 . 【解析】设 ,则由 ,得 , 则 , , 点 , 在双曲线 上, ,则 ,设 分别为直线 , 的斜率,根据题意,可知 ,即 , ,即 在双曲线 上,设该双曲线的左、右焦点分别为 , 由双曲线定义可知|| 为定值,该定值为 . 四、解答题:本大题共6小题,共70分.解答应写出必要的文字说明、证明过程或演算步骤. 17.已知双曲线 ,渐近线方程为 ,点 在 上; (1)求双曲线 的方程; (2)过点 的两条直线 , 分别与双曲线 交于 , 两点(不与 点重合),且两条直线的斜率 , 满足 ,直线 与直线 , 轴分别交于 , 两点,求证: 的面积为定值. 【解析】(1) , ,依题意, ,所以双曲线 的方程为 . (2)依题意可知 斜率存在,设方程为 , , , , , ①,, 整理得 . 1) , ,过 舍去, 2) , ,过点 , 此时,将 代入①得 , 与 交于点 ,故 (定值) 18.已知双曲线 : 实轴 长为4( 在 的左侧),双曲线 上第一象限内的一点 到两渐 近线的距离之积为 . (1)求双曲线 的标准方程; (2)设过 的直线与双曲线交于 , 两点,记直线 , 的斜率为 , ,请从下列的结论中选 择一个正确的结论,并予以证明. ① 为定值; ② 为定值; ③ 为定值 【解析】(1)设 是 上的一点, 与 是 的两条渐近线, 到两条渐近线的距离之积 , 依题意, ,故 ,双曲线 的标准方程为 ;(2)正确结论:③ 为定值. 证明如下:由(1)知 , ,设 , , 因为 , 不与 , 重合,所以可设直线 : , 与 联立: ,消去 整理可得: 故 , , , 所以 , , , ① ,不是定值, ② ,不是定值, ③ ,所以 是定值. 19.已知椭圆 的左、右焦点为 ,离心率为 .点 是椭圆 上不同于顶点的任 意一点,射线 分别与椭圆 交于点 , 的周长为8. (1)求椭圆 的标准方程; (2)设 , , 的面积分别为 .求证: 为定值.【解析】(1)因为 的周长为 ,即 所以 ,可得 ,由椭圆的离心率 ,可得 ,从而 , 所以椭圆 的标准方程为 . (2)证明:设 ,则 , 可设直线PA的方程为 ,其中 ,联立方程 ,整理得 , 则 , 同理可得, . 因为 , 所以 所以 是定值. 20.如图3所示,点 , 分别为椭圆 的左焦点和右顶点,点 为抛物线 的焦点,且 ( 为坐标原点).(1)求椭圆 的方程; (2)过点 作直线 交椭圆 于 , 两点,连接 , 并延长交抛物线的准线于点 , ,求证: 为定值. 【解析】(1)因为点 为抛物线 的焦点,所以 ,即 , 因为 ,所以 , ,所以 , , , 所以椭圆 的方程为 . (2)证明:由(1)可知: , , 设 , , , ,显然直线 的斜率不为0,故可设为 . 由 得: , , , . , , 三点共线, . 同理: , , , 故 ,即: .21.已知抛物线 的焦点为 ,抛物线 的焦点为 ,且 . (1)求 的值; (2)若直线l与 交于M,N两点,与 交于P,Q两点,M,P在第一象限,N,Q在第四象限,且 ,证明: 为定值. 【解析】(1)由题意知 , ,所以 ,解得 . (2)由(1)知 , . 设直线 , , , , , 根据题意结合图形可知 ,且 . 联立 ,得 ,则 , 同理联立 ,得 ,则 . 由 可得, ,又 , , 所以 ,即 ,化简得 ,即 , 又因为 , ,所以 , 再由 ,得 .联立 ,解得 , 所以 , , .故 ,所以 为定值. 22.设点F为抛物线C: 的焦点,过点F且斜率为 的直线与C交于A,B两点 (O为坐标原点) (1)求抛物线C的方程; (2)过点 作两条斜率分别为 , 的直线 , ,它们分别与抛物线C交于点P,Q和R,S.已知 ,问:是否存在实数 ,使得 为定值?若存在,求 的值,若不存在,请说明 理由. 【解析】(1)抛物线C: 的焦点 ,直线 的方程为 , 由 消去y并整理得: ,设 , 则 , , 因此 ,而 ,解得 , 所以抛物线C的方程为 .(2)存在 ,使得 为定值. 依题意,直线 ,直线 , 由 消去y并整理得 ,设 , 则 , , , 设 ,同理 ,且有 , 由 ,得 ,即 ,而 ,则 , 所以存在 ,使得 为定值0.