文档
办公文件
生活文档
学习资料
当前位置:
首页
>
文档
>2022年考研数学(一)真题_27考研真题_考研数学一、二、三历年真题+考研数学资料(1994-2026)_考研数学真题(1987-2026)_考研数学真题(1987-2026)_数学一_1987-2024考研数学一真题和答案
2022年考研数学(一)真题_27考研真题_考研数学一、二、三历年真题+考研数学资料(1994-2026)_考研数学真题(1987-2026)_考研数学真题(1987-2026)_数学一_1987-2024考研数学一真题和答案
2026-04-16 14:17:27
2026-04-16 14:08:36
文档预览
文档信息
文档格式
pdf
文档大小
0.361 MB
文档页数
4 页
上传时间
2026-04-16 14:08:36
下载文档
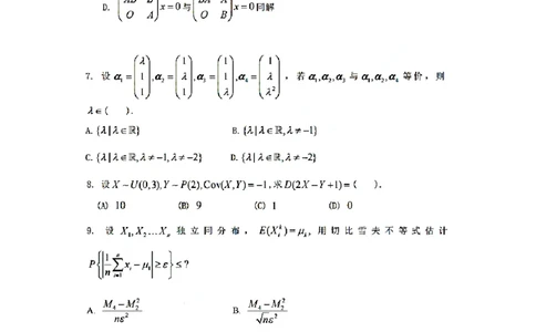
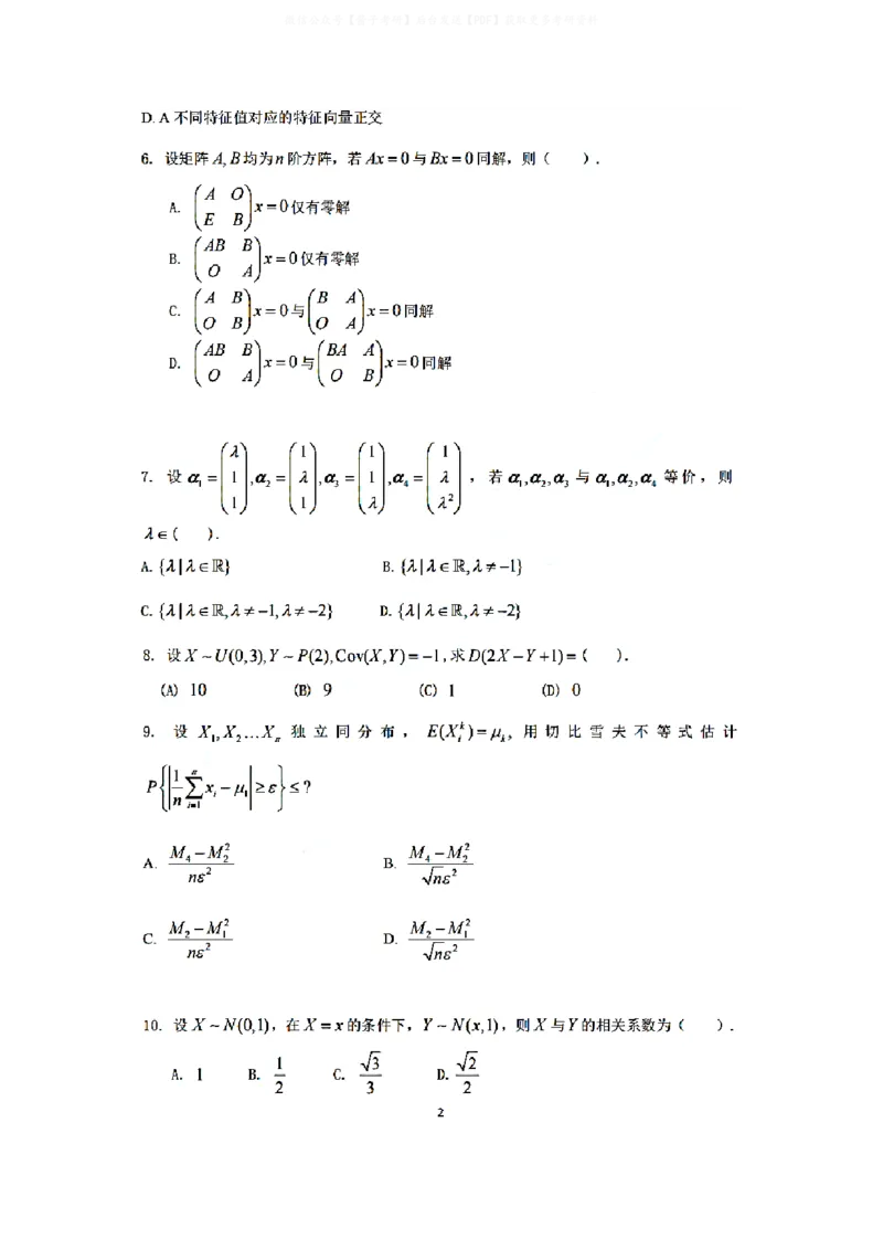
文档内容
微信公众号【酱子考研】后台发送【PDF】获取更多考研资料微信公众号【酱子考研】后台发送【PDF】获取更多考研资料
本文档来自网络内容,如有侵犯您的权益请联系我们删除,联系邮箱:wyl860211@qq.com。
上一篇
2022年考研数学(一)真题_27考研真题_考研数学一、二、三历年真题+考研数学资料(1994-2026)_考研数学真题(1987-2026)_考研数学历年真题(1987-2024)_考研数学一真题1987-2024
下一篇
公众号:鸡娃饲料精品四年级英语2018春季开学测A卷(原卷)∣人教PEP(2014秋)_奥数专题合集_H003小学奥数培训班课程+习题_1-6年级上下册奥数_四年级
最新文档
2023年考研数学(一)真题_27考研真题_考研数学一、二、三历年真题+考研数学资料(1994-2026)_考研数学真题(1987-2026)_考研数学真题(1987-2026)_数学一_1987-2024考研数学一真题和答案
第03讲幂函数与二次函数(八大题型)(练习)(解析版)_02高考数学_新高考复习资料_2025年新高考复习_2025年高考数学一轮复习讲练测(新教材新高考,含2024高考真题)
2023年考研数学(一)真题_27考研真题_考研数学一、二、三历年真题+考研数学资料(1994-2026)_考研数学真题(1987-2026)_考研数学历年真题(1987-2024)_考研数学一真题1987-2024
2023年考研数学三真题(公众号_考研小舟)公众号:考研小舟_27考研真题_考研数学一、二、三历年真题+考研数学资料(1994-2026)_考研数学真题(1987-2026)_考研数学真题(1987-2026)_数学三
2023年考研数三真题答案速查公众号,西米研考_27考研真题_考研数学一、二、三历年真题+考研数学资料(1994-2026)_考研数学真题(1987-2026)_考研数学历年真题(1987-2024)
第03讲幂函数与二次函数(八大题型)(练习)(解析版)_02高考数学_2025年新高考资料_一轮复习_2025年高考数学一轮复习讲练测(新教材新高考,含2024高考真题)
2023年政治真题及解析_27考研真题_1994-2026考研政治历年真题_考研政治真题(1994-2024)_2022-2024年政治真题及解析
2022年英语二真题解析_27考研真题_考研英语一、二真题+解析(1994-2026)_考研英语真题阅读手译本_真题解析_英二_2010-2025考研英语解析
第03讲幂函数与二次函数(八大题型)(练习)(原卷版)_02高考数学_新高考复习资料_2025年新高考复习_2025年高考数学一轮复习讲练测(新教材新高考,含2024高考真题)
六上作业本_小学1-6年级《黄冈小状元》含测评卷和作业本_25秋黄冈小状元作业本3-6英语人教版
热门文档
第03讲幂函数与二次函数(五大题型)(讲义)(解析版)_02高考数学_新高考复习资料_2024年新高考资料_一轮复习资料_完2024年高考数学一轮复习讲练测(课件+讲义+练习)(新高考)
第03讲幂函数与二次函数(五大题型)(讲义)(原卷版)_02高考数学_新高考复习资料_2024年新高考资料_一轮复习资料_完2024年高考数学一轮复习讲练测(课件+讲义+练习)(新高考)
2022年英语二真题解析_27考研真题_考研英语一、二真题+解析(1994-2026)_0.考研英语二真题与解析(1980-2026)_2.2010-2023年英语二真题及解析_2010-2023年解析
第03讲导数与函数的极值、最值(七大题型)(讲义)(解析版)_02高考数学_新高考复习资料_2025年新高考复习_2025年高考数学一轮复习讲练测(新教材新高考,含2024高考真题)
2022年英语二真题_27考研真题_考研英语一、二真题+解析(1994-2026)_0.考研英语二真题与解析(1980-2026)_2.2010-2023年英语二真题及解析_2010-2023年真题
2022年考研英语二真题_27考研真题_考研英语一、二真题+解析(1994-2026)_0.考研英语二真题与解析(1980-2026)_2.2010-2023年英语二真题及解析_2010-2023年真题_WORD版本
2022年考研英语一真题解析_27考研真题_考研英语一、二真题+解析(1994-2026)_考研英语真题阅读手译本_真题解析_英一_2010-2025考研英语解析
第03讲导数与函数的极值、最值(七大题型)(讲义)(原卷版)_02高考数学_新高考复习资料_2025年新高考复习_2025年高考数学一轮复习讲练测(新教材新高考,含2024高考真题)
六上五星学霸英语人教答案解析_25秋上册语数英《五星学霸》各版本🈴集_🔰25秋上册语数英《五星学霸》各版本🈴集。已分享_25秋《五星学霸》人教pep英语+译林英语3-6年级。已核对
第03讲导数与函数的极值、最值(七大题型)(练习)(解析版)_02高考数学_新高考复习资料_2025年新高考复习_2025年高考数学一轮复习讲练测(新教材新高考,含2024高考真题)
随机文档
2022年考研英语一真题解析_27考研真题_考研英语一、二真题+解析(1994-2026)_0.考研英语一真题与解析(1980-2026)_2.2010-2024年英语一真题及解析_2010-2023答案解析
六一儿童节活动方案_小学1-6年级常用的上册资源汇总_六年级上册资料(1)_七彩课堂人教版数学六年级上册教学资源包_教师工作包_6班队会活动_班级队会活动
公众号:鸡娃饲料精品四年级英语2018春季开学测B卷(原卷)∣外研社(三起)_奥数专题合集_H003小学奥数培训班课程+习题_1-6年级上下册奥数_四年级
公众号:鸡娃饲料精品四年级英语2018春季开学测A卷(解析卷)∣译林版(三起)_奥数专题合集_H003小学奥数培训班课程+习题_1-6年级上下册奥数_四年级
公众号:鸡娃饲料精品四年级英语2018春季开学测A卷(解析卷)∣人教PEP(2014秋)_奥数专题合集_H003小学奥数培训班课程+习题_1-6年级上下册奥数_四年级
2022年考研英语一真题_27考研真题_考研英语一、二真题+解析(1994-2026)_0.考研英语一真题与解析(1980-2026)_2.2010-2024年英语一真题及解析_2010-2023真题_word版(2010-2022)
2022年考研英语一真题_27考研真题_考研英语一、二真题+解析(1994-2026)_0.考研英语一真题与解析(1980-2026)_2.2010-2024年英语一真题及解析_2010-2023真题
公众号:鸡娃饲料精品四年级英语2018春季开学测A卷(原卷)∣译林版(三起)_奥数专题合集_H003小学奥数培训班课程+习题_1-6年级上下册奥数_四年级
第03讲导数与函数的极值、最值(七大题型)(练习)(原卷版)_02高考数学_新高考复习资料_2025年新高考复习_2025年高考数学一轮复习讲练测(新教材新高考,含2024高考真题)
公众号:鸡娃饲料精品四年级英语2018春季开学测A卷(原卷)∣人教PEP(2014秋)_奥数专题合集_H003小学奥数培训班课程+习题_1-6年级上下册奥数_四年级