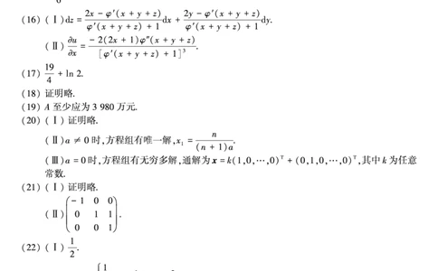
当前位置:首页>文档>2008年考研数三真题答案速查.公众号:西米研考_27考研真题_考研数学一、二、三历年真题+考研数学资料(1994-2026)_考研数学真题(1987-2026)_考研数学历年真题(1987-2024)

2008年考研数三真题答案速查.公众号:西米研考_27考研真题_考研数学一、二、三历年真题+考研数学资料(1994-2026)_考研数学真题(1987-2026)_考研数学历年真题(1987-2024)

  • 2026-04-16 11:11:46 2026-04-16 10:16:15

文档预览

2008年考研数三真题答案速查.公众号:西米研考_27考研真题_考研数学一、二、三历年真题+考研数学资料(1994-2026)_考研数学真题(1987-2026)_考研数学历年真题(1987-2024)
2008年考研数三真题答案速查.公众号:西米研考_27考研真题_考研数学一、二、三历年真题+考研数学资料(1994-2026)_考研数学真题(1987-2026)_考研数学历年真题(1987-2024)

文档信息

文档格式
pdf
文档大小
0.157 MB
文档页数
1 页
上传时间
2026-04-16 10:16:15