当前位置:首页>文档>专题4.4换元法与主元法(解析版)_北师大初中数学_8下-北师大版初中数学_旧版-可参考_06专项讲练_八年级数学下册单元题型精练(基础题型+强化题型)(北师大版)

专题4.4换元法与主元法(解析版)_北师大初中数学_8下-北师大版初中数学_旧版-可参考_06专项讲练_八年级数学下册单元题型精练(基础题型+强化题型)(北师大版)

  • 2026-04-16 06:16:48 2026-04-13 13:37:03

文档预览

专题4.4换元法与主元法(解析版)_北师大初中数学_8下-北师大版初中数学_旧版-可参考_06专项讲练_八年级数学下册单元题型精练(基础题型+强化题型)(北师大版)
专题4.4换元法与主元法(解析版)_北师大初中数学_8下-北师大版初中数学_旧版-可参考_06专项讲练_八年级数学下册单元题型精练(基础题型+强化题型)(北师大版)
专题4.4换元法与主元法(解析版)_北师大初中数学_8下-北师大版初中数学_旧版-可参考_06专项讲练_八年级数学下册单元题型精练(基础题型+强化题型)(北师大版)
专题4.4换元法与主元法(解析版)_北师大初中数学_8下-北师大版初中数学_旧版-可参考_06专项讲练_八年级数学下册单元题型精练(基础题型+强化题型)(北师大版)
专题4.4换元法与主元法(解析版)_北师大初中数学_8下-北师大版初中数学_旧版-可参考_06专项讲练_八年级数学下册单元题型精练(基础题型+强化题型)(北师大版)
专题4.4换元法与主元法(解析版)_北师大初中数学_8下-北师大版初中数学_旧版-可参考_06专项讲练_八年级数学下册单元题型精练(基础题型+强化题型)(北师大版)
专题4.4换元法与主元法(解析版)_北师大初中数学_8下-北师大版初中数学_旧版-可参考_06专项讲练_八年级数学下册单元题型精练(基础题型+强化题型)(北师大版)
专题4.4换元法与主元法(解析版)_北师大初中数学_8下-北师大版初中数学_旧版-可参考_06专项讲练_八年级数学下册单元题型精练(基础题型+强化题型)(北师大版)
专题4.4换元法与主元法(解析版)_北师大初中数学_8下-北师大版初中数学_旧版-可参考_06专项讲练_八年级数学下册单元题型精练(基础题型+强化题型)(北师大版)
专题4.4换元法与主元法(解析版)_北师大初中数学_8下-北师大版初中数学_旧版-可参考_06专项讲练_八年级数学下册单元题型精练(基础题型+强化题型)(北师大版)
专题4.4换元法与主元法(解析版)_北师大初中数学_8下-北师大版初中数学_旧版-可参考_06专项讲练_八年级数学下册单元题型精练(基础题型+强化题型)(北师大版)
专题4.4换元法与主元法(解析版)_北师大初中数学_8下-北师大版初中数学_旧版-可参考_06专项讲练_八年级数学下册单元题型精练(基础题型+强化题型)(北师大版)
专题4.4换元法与主元法(解析版)_北师大初中数学_8下-北师大版初中数学_旧版-可参考_06专项讲练_八年级数学下册单元题型精练(基础题型+强化题型)(北师大版)
专题4.4换元法与主元法(解析版)_北师大初中数学_8下-北师大版初中数学_旧版-可参考_06专项讲练_八年级数学下册单元题型精练(基础题型+强化题型)(北师大版)
专题4.4换元法与主元法(解析版)_北师大初中数学_8下-北师大版初中数学_旧版-可参考_06专项讲练_八年级数学下册单元题型精练(基础题型+强化题型)(北师大版)
专题4.4换元法与主元法(解析版)_北师大初中数学_8下-北师大版初中数学_旧版-可参考_06专项讲练_八年级数学下册单元题型精练(基础题型+强化题型)(北师大版)
专题4.4换元法与主元法(解析版)_北师大初中数学_8下-北师大版初中数学_旧版-可参考_06专项讲练_八年级数学下册单元题型精练(基础题型+强化题型)(北师大版)

文档信息

文档格式
docx
文档大小
0.473 MB
文档页数
13 页
上传时间
2026-04-13 13:37:03

文档内容

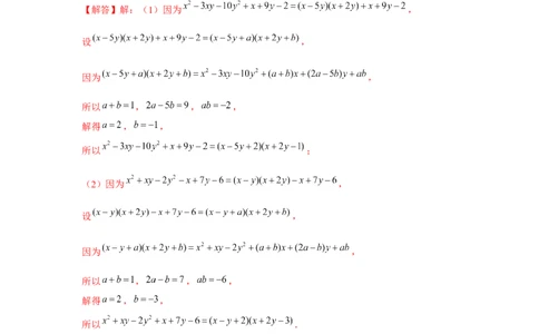
专题 4.4 换元法与主元法 1.主元法分解因式: (1) ; (2) . 【解答】解:(1)因为 , 设 , 因为 , 所以 , , , 解得 , , 所以 ; (2)因为 , 设 , 因为 , 所以 , , , 解得 , , 所以 . 2.把下列各式因式分解: (1) ; (2) . 【解答】解:(1); (2) . 3.因式分解: . 【解答】解: . 4.先阅读,再分解因式参考上述做法,将下列多项式因式分解 (1) (2) . 【解答】解:(1)原式 ; (2)原式 . 5. . 【解答】解:6. . 【解答】解: . . 7.用换元法因式分解: (1) ; (2) . 【解答】解:(1)设 ,则 原式 . (2)原式 . 8.用换元法分解因式: . 【解答】解:设 ,则有 , 原式. 9.如果设 ,利用换元的方法,你能对多项式 进 行因式分解吗?请你试 试. 【解答】解:设 , 多 项 式 10.试用换元法将 分解因式. 【解答】解:设 , 则原式 . 11.你会对多项式 分解因式吗?对结构较复杂的多项式,若把 其中某些部分看成一个整体,用新字母代替(即换元),能使复杂的问题简单化、明朗化 从换元的个数看,有一元代换、二元代换等. 对于 . 解法一:设 , 则原式 . 解法二:设 ,则原式 . 解法三:设 , , 则原式 . 按照上面介绍的方法对下列多项式分解因式: (1) ; (2) ; (3) . 【解答】解:(1)设 , 则原式 ; (2)设 , 原式; (3)设 , 12.阅读下列材料: 在因式分解中,把多项式中某些部分看作一个整体,用一个新的字母代替(即换元),不 仅可以简化要分解的多项式的结构,而且能使式子的特点更加明显,便于观察如何进行因 式分解,我们把这种因式分解的方法称为“换元法”.下面是小涵同学用换元法对多项式 进行因式分解的过程. 解:设 原式 (第一步) (第二步) (第三步) (第四步)请根据上述材料回答下列问题: (1)小涵同学的解法中,第二步到第三步运用了因式分解的 ; .提取公因式法 .平方差公式法 .完全平方公式法 (2)老师说,小涵同学因式分解的结果不彻底,请你写出该因式分解的最后结果: ; (3)请你用换元法对多项式 进行因式分解. 【解答】解:(1)故选: ; (2) , 设 , 原式 , , , , ; 故答案为: ; (3)设 , 原式 , , , , .13.你会对多项式 分解因式吗?对结构较复杂的多项式,若把 其中某些部分看成一个整体,用新字母代替(即换元),能使复杂的问题简单化、明朗化 从换元的个数看,有一元代换、二元代换等. 对于 . 解 法 一 : 设 , 则 原 式 解 法 二 : 设 , 则 原 式 解法三:设 , ; 则 原 式 请按照上面介绍的方法对下列多项式分解因式: (1) ; (2) ; 【解答】解:(1)设 , 则原式 ;(2)设 , 原式 . 14.阅读下列材料: 在因式分解中,把多项式中某些部分看作一个整体,用一个新的字母代替(即换元),不 仅可以简化要分解的多项式的结构,而且能使式子的特点更加明显,便于观察处如何进行 因式分解,这种方法就是换元法. 例如:分解因式 时,可以先将原式中的 、 分别计算,得: , ,观察后设 ,则原式 又如:分解因式 时,考虑到系数的对称性,如果提取中间项的字 母及指数后,就可以使用换元法,具体过程如下: 令 ,则原式 ,请参照 阅读材料中的换元对下列各式进行因式分解: (1) (2) (3) .【解答】解:(1)设 ,则原式 ; (2) , , 设 , 原式 ; (3)原式 , 设 , 则原式 . 15.阅读:材料1:只含有一个未知数,并且未知数的最高次数是2次,最高次项的系数 不为零,这样的整式方程叫做一元二次方程.一元二次方程有一种解法是利用因式分解来 解的.如解方程: ,左边分解因式得 ,所以 或 ,所以原方程的解是 或 . 材料2:立方和公式用字母表示为: , (1)请利用材料1的方法解方程: ; (2)请根据材料2类比写出立方差公式: ;(提示:可 以用换元方法) (3)结合材料1和2,请你写出方程 所有根中的两个根. 【解答】解:(1) , , 或 , 解得: 或 ;(2) , ; (3) , , , 或 , 或