当前位置:首页>文档>微专题与圆有关的轨迹问题学案——2023届高考数学一轮《考点·题型·技巧》精讲与精练_02高考数学_通用版(老高考)复习资料_2023年复习资料_一轮复习

微专题与圆有关的轨迹问题学案——2023届高考数学一轮《考点·题型·技巧》精讲与精练_02高考数学_通用版(老高考)复习资料_2023年复习资料_一轮复习

  • 2026-05-17 03:37:41 2026-04-15 07:28:22

文档预览

微专题与圆有关的轨迹问题学案——2023届高考数学一轮《考点·题型·技巧》精讲与精练_02高考数学_通用版(老高考)复习资料_2023年复习资料_一轮复习
微专题与圆有关的轨迹问题学案——2023届高考数学一轮《考点·题型·技巧》精讲与精练_02高考数学_通用版(老高考)复习资料_2023年复习资料_一轮复习
微专题与圆有关的轨迹问题学案——2023届高考数学一轮《考点·题型·技巧》精讲与精练_02高考数学_通用版(老高考)复习资料_2023年复习资料_一轮复习
微专题与圆有关的轨迹问题学案——2023届高考数学一轮《考点·题型·技巧》精讲与精练_02高考数学_通用版(老高考)复习资料_2023年复习资料_一轮复习
微专题与圆有关的轨迹问题学案——2023届高考数学一轮《考点·题型·技巧》精讲与精练_02高考数学_通用版(老高考)复习资料_2023年复习资料_一轮复习
微专题与圆有关的轨迹问题学案——2023届高考数学一轮《考点·题型·技巧》精讲与精练_02高考数学_通用版(老高考)复习资料_2023年复习资料_一轮复习
微专题与圆有关的轨迹问题学案——2023届高考数学一轮《考点·题型·技巧》精讲与精练_02高考数学_通用版(老高考)复习资料_2023年复习资料_一轮复习
微专题与圆有关的轨迹问题学案——2023届高考数学一轮《考点·题型·技巧》精讲与精练_02高考数学_通用版(老高考)复习资料_2023年复习资料_一轮复习
微专题与圆有关的轨迹问题学案——2023届高考数学一轮《考点·题型·技巧》精讲与精练_02高考数学_通用版(老高考)复习资料_2023年复习资料_一轮复习
微专题与圆有关的轨迹问题学案——2023届高考数学一轮《考点·题型·技巧》精讲与精练_02高考数学_通用版(老高考)复习资料_2023年复习资料_一轮复习
微专题与圆有关的轨迹问题学案——2023届高考数学一轮《考点·题型·技巧》精讲与精练_02高考数学_通用版(老高考)复习资料_2023年复习资料_一轮复习
微专题与圆有关的轨迹问题学案——2023届高考数学一轮《考点·题型·技巧》精讲与精练_02高考数学_通用版(老高考)复习资料_2023年复习资料_一轮复习
微专题与圆有关的轨迹问题学案——2023届高考数学一轮《考点·题型·技巧》精讲与精练_02高考数学_通用版(老高考)复习资料_2023年复习资料_一轮复习
微专题与圆有关的轨迹问题学案——2023届高考数学一轮《考点·题型·技巧》精讲与精练_02高考数学_通用版(老高考)复习资料_2023年复习资料_一轮复习
微专题与圆有关的轨迹问题学案——2023届高考数学一轮《考点·题型·技巧》精讲与精练_02高考数学_通用版(老高考)复习资料_2023年复习资料_一轮复习
微专题与圆有关的轨迹问题学案——2023届高考数学一轮《考点·题型·技巧》精讲与精练_02高考数学_通用版(老高考)复习资料_2023年复习资料_一轮复习
微专题与圆有关的轨迹问题学案——2023届高考数学一轮《考点·题型·技巧》精讲与精练_02高考数学_通用版(老高考)复习资料_2023年复习资料_一轮复习
微专题与圆有关的轨迹问题学案——2023届高考数学一轮《考点·题型·技巧》精讲与精练_02高考数学_通用版(老高考)复习资料_2023年复习资料_一轮复习
微专题与圆有关的轨迹问题学案——2023届高考数学一轮《考点·题型·技巧》精讲与精练_02高考数学_通用版(老高考)复习资料_2023年复习资料_一轮复习
微专题与圆有关的轨迹问题学案——2023届高考数学一轮《考点·题型·技巧》精讲与精练_02高考数学_通用版(老高考)复习资料_2023年复习资料_一轮复习
微专题与圆有关的轨迹问题学案——2023届高考数学一轮《考点·题型·技巧》精讲与精练_02高考数学_通用版(老高考)复习资料_2023年复习资料_一轮复习
微专题与圆有关的轨迹问题学案——2023届高考数学一轮《考点·题型·技巧》精讲与精练_02高考数学_通用版(老高考)复习资料_2023年复习资料_一轮复习
微专题与圆有关的轨迹问题学案——2023届高考数学一轮《考点·题型·技巧》精讲与精练_02高考数学_通用版(老高考)复习资料_2023年复习资料_一轮复习
微专题与圆有关的轨迹问题学案——2023届高考数学一轮《考点·题型·技巧》精讲与精练_02高考数学_通用版(老高考)复习资料_2023年复习资料_一轮复习
微专题与圆有关的轨迹问题学案——2023届高考数学一轮《考点·题型·技巧》精讲与精练_02高考数学_通用版(老高考)复习资料_2023年复习资料_一轮复习
微专题与圆有关的轨迹问题学案——2023届高考数学一轮《考点·题型·技巧》精讲与精练_02高考数学_通用版(老高考)复习资料_2023年复习资料_一轮复习
微专题与圆有关的轨迹问题学案——2023届高考数学一轮《考点·题型·技巧》精讲与精练_02高考数学_通用版(老高考)复习资料_2023年复习资料_一轮复习
微专题与圆有关的轨迹问题学案——2023届高考数学一轮《考点·题型·技巧》精讲与精练_02高考数学_通用版(老高考)复习资料_2023年复习资料_一轮复习
微专题与圆有关的轨迹问题学案——2023届高考数学一轮《考点·题型·技巧》精讲与精练_02高考数学_通用版(老高考)复习资料_2023年复习资料_一轮复习
微专题与圆有关的轨迹问题学案——2023届高考数学一轮《考点·题型·技巧》精讲与精练_02高考数学_通用版(老高考)复习资料_2023年复习资料_一轮复习
微专题与圆有关的轨迹问题学案——2023届高考数学一轮《考点·题型·技巧》精讲与精练_02高考数学_通用版(老高考)复习资料_2023年复习资料_一轮复习
微专题与圆有关的轨迹问题学案——2023届高考数学一轮《考点·题型·技巧》精讲与精练_02高考数学_通用版(老高考)复习资料_2023年复习资料_一轮复习
微专题与圆有关的轨迹问题学案——2023届高考数学一轮《考点·题型·技巧》精讲与精练_02高考数学_通用版(老高考)复习资料_2023年复习资料_一轮复习
微专题与圆有关的轨迹问题学案——2023届高考数学一轮《考点·题型·技巧》精讲与精练_02高考数学_通用版(老高考)复习资料_2023年复习资料_一轮复习
微专题与圆有关的轨迹问题学案——2023届高考数学一轮《考点·题型·技巧》精讲与精练_02高考数学_通用版(老高考)复习资料_2023年复习资料_一轮复习
微专题与圆有关的轨迹问题学案——2023届高考数学一轮《考点·题型·技巧》精讲与精练_02高考数学_通用版(老高考)复习资料_2023年复习资料_一轮复习
微专题与圆有关的轨迹问题学案——2023届高考数学一轮《考点·题型·技巧》精讲与精练_02高考数学_通用版(老高考)复习资料_2023年复习资料_一轮复习
微专题与圆有关的轨迹问题学案——2023届高考数学一轮《考点·题型·技巧》精讲与精练_02高考数学_通用版(老高考)复习资料_2023年复习资料_一轮复习
微专题与圆有关的轨迹问题学案——2023届高考数学一轮《考点·题型·技巧》精讲与精练_02高考数学_通用版(老高考)复习资料_2023年复习资料_一轮复习
微专题与圆有关的轨迹问题学案——2023届高考数学一轮《考点·题型·技巧》精讲与精练_02高考数学_通用版(老高考)复习资料_2023年复习资料_一轮复习
微专题与圆有关的轨迹问题学案——2023届高考数学一轮《考点·题型·技巧》精讲与精练_02高考数学_通用版(老高考)复习资料_2023年复习资料_一轮复习
微专题与圆有关的轨迹问题学案——2023届高考数学一轮《考点·题型·技巧》精讲与精练_02高考数学_通用版(老高考)复习资料_2023年复习资料_一轮复习
微专题与圆有关的轨迹问题学案——2023届高考数学一轮《考点·题型·技巧》精讲与精练_02高考数学_通用版(老高考)复习资料_2023年复习资料_一轮复习
微专题与圆有关的轨迹问题学案——2023届高考数学一轮《考点·题型·技巧》精讲与精练_02高考数学_通用版(老高考)复习资料_2023年复习资料_一轮复习
微专题与圆有关的轨迹问题学案——2023届高考数学一轮《考点·题型·技巧》精讲与精练_02高考数学_通用版(老高考)复习资料_2023年复习资料_一轮复习
微专题与圆有关的轨迹问题学案——2023届高考数学一轮《考点·题型·技巧》精讲与精练_02高考数学_通用版(老高考)复习资料_2023年复习资料_一轮复习
微专题与圆有关的轨迹问题学案——2023届高考数学一轮《考点·题型·技巧》精讲与精练_02高考数学_通用版(老高考)复习资料_2023年复习资料_一轮复习

文档信息

文档格式
docx
文档大小
2.566 MB
文档页数
43 页
上传时间
2026-04-15 07:28:22

文档内容

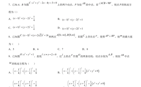
微专题:与圆有关的轨迹问题 【考点梳理】 求与圆有关的轨迹问题时,根据题设条件的不同常采用以下方法:①直接法:直接根据题目提供的条件列出 方程;②定义法:根据圆、直线等定义列方程;③几何法:利用圆的几何性质列方程;④相关点代入法:找到要 求点与已知点的关系,代入已知点满足的关系式. 【题型归纳】 题型一: 直接法 1.正三角形OAB的边长为1,动点C满足 ,且 ,则点C的轨迹是( ) A.线段 B.直线 C.射线 D.圆 2.已知平面向量 , ,且非零向量 满足 ,则 的最大值是( ) A.1 B. C. D.2 3.古希腊几何学家阿波罗尼斯证明过这样一个命题:平面内到两定点距离之比为常数 的点的轨迹是 圆,后人将这个圆称为阿波罗尼斯圆.在平面直角坐标系 中, , ,点 满足 ,则点 的轨迹方程为( ) A. B. C. D. 题型二: 定义法 4.已知 , 为圆 : 上两点,且 ,点 在直线 : 上,则 的 最小值为( ) A. B. C. D. 5.已知圆O:x2+y2=1,圆M:(x-a)2+(y-2)2=2.若圆M上存在点P,过点P作圆O的两条切线,切点为A, B,使得PA⊥PB,则实数a的取值范围为( ) A.[0, ] B.[-5 ,1] 第 1 页 学学科科网网((北北京京))股股份份有有限限公公司司C.[- , ] D.[-2,2] 6.由两个边长为 的等边三角形构成的菱形ABCD中(BD为两个等边三角形的公共边),若点Q满足 ,则 的取值范围为( ) A. B. C. D. 题型三: 几何法 7.已知A,B为圆 上的两个动点,P为弦 的中点,若 ,则点P的轨迹方 程为() A. B. C. D. 8.已知圆 和两点 ,若圆 上存在点 ,使得 ,则 的最大值 为( ) A.5 B.6 C.7 D.8 9.已知圆 ,直线 ,过 上的点 作圆 的两条切线,切点分别为 ,则弦 中点 的轨迹方程为( ) A. B. C. D. 题型四: 相关点代入法 10.在平面上,已知定点 ,动点 ,当 在区间 上变化时,动线段 所成图形的面 积为( ) A. B. C. D. 第 2 页 学学科科网网((北北京京))股股份份有有限限公公司司11.已知圆C: ,点 是圆上的动点, 与圆相切,且 ,则点 的轨迹方程是 ( ) A. B. C. D. 12.已知矩形ABCD中, ,点M,N分别为线段AB,CD的中点,现将 沿DM翻转,直到与 △ 首次重合,则此过程中,线段AC的中点的运动轨迹长度为( ) A. B. C. D. 【双基达标】 13.已知 是圆 上一个动点,且直线 与直线 相交于点P,则 的取值范围是( ) A. B. C. D. 14.已知圆 ,过点P的直线l被圆C所截,且截得最长弦的长度与最短弦的长度比值为5∶4, 若O为坐标原点,则 最大值为( ). A.3 B.4 C.5 D.6 15.阿波罗尼斯(约公元前262-190年)证明过这样一个命题:在平面内到两定点距离之比为常数 的 点的轨迹是圆,后人将这个圆称为阿氏圆.若平面内两定点A,B间的距离为2,动点P满足 ,则 面积的最大值是( ) A. B.2 C. D.4 16.古希腊数学家阿波罗尼奥斯(约公元首262~公元前190年)的著作《圆锥曲线论》是古代世界光辉的科学成 果,著作中有这样一个命题:平面内与两定点距离的比为常数k( 且 )的点的轨迹是圆,后人将这个圆 第 3 页 学学科科网网((北北京京))股股份份有有限限公公司司称为阿波罗尼期圆.已知 , ,圆 上有且仅有一个点 P满足 ,则 r的取值可以为( ) A.1 B.2 C.3 D.4 17.若平面上两点 , ,则过点 的直线 上满足 的点 的个数为( ) A.0 B.1 C.2 D.与直线 的斜率有关 18.已知A、B是圆O: 上两个动点,点P的坐标为 ,若 ,则线段 长度的最大值为 ( ) A. B. C. D. 19.若两定点 , ,动点M满足 ,则动点M的轨迹围成区域的面积为( ). A. B. C. D. 20.阿波罗尼斯是古希腊著名数学家,与阿基米德、欧几里得并称为亚历山大时期数学三巨匠,他研究发现:如果 一个动点P到两个定点的距离之比为常数 ( ,且 ),那么点P的轨迹为圆,这就是著名的阿波罗尼斯 圆.若点C到 的距离之比为 ,则点C到直线 的距离的最小值为( ) A. B. C. D. 21.已知 是圆 的一条弦,且 , 是 的中点,当弦 在圆 上运动时, 直线 上存在两点 ,使得 恒成立,则线段 长度的最小值是( ) A. B. C. D. 22.在正三角形 中, 为 中点, 为三角形内一动点,且满足 ,则 最小值为( ) A. B. C. D. 23.在平面直角坐标系 中,已知点 .若动点M满足 ,则 的取值范围是 ( ) A. B. C. D. 第 4 页 学学科科网网((北北京京))股股份份有有限限公公司司24.已知 , , , ,则 面积的最大值为( ) A. B. C. D. 25.已知点A的坐标是(-1,0),点M满足|MA|=2,那么M点的轨迹方程是( ) A.x2+y2+2x-3=0 B.x2+y2-2x-3=0 C.x2+y2+2y-3=0 D.x2+y2-2y-3=0 26.已知直线 与直线 相交于点 ,线段 是圆 的 一条动弦,且 ,则 的最大值为( ) A. B. C. D. 27.在平面直角坐标系中,直线 与 轴和 轴分别交于 , 两点, ,若 ,则 当 , 变化时,点 到点 的距离的最大值为( ) A. B. C. D. 28.已知两定点 , ,若动点 满足 ,则 的轨迹为( ). A.直线 B.线段 C.圆 D.半圆 29.若两定点A,B的距离为3,动点M满足 ,则M点的轨迹围成区域的面积为( ) A. B. C. D. 30.已知圆 ,点 , 内接于圆,且 ,当 , 在圆上运动时, 中点的轨迹方程 是( ) A. B. C. D. 【高分突破】 一、单选题 31.已知点 , , ,动点P满足 ,则 的取值范围为( ) A. B. C. D. 第 5 页 学学科科网网((北北京京))股股份份有有限限公公司司32.已知 , 是椭圆 的两焦点, 是椭圆上任一点,从 引 外角平分线的垂线,垂 足为 ,则点 的轨迹为( ) A.圆 B.两个圆 C.椭圆 D.两个椭圆 33.阿波罗尼斯 约公元前 年 证明过这样一个命题:平面内到两定点距离之比为常数 且 的 点的轨迹是圆.后人将这个圆称为阿氏圆.若平面内两定点A,B间的距离为2,动点P与A,B距离之比满足: ,当P、A、B三点不共线时, 面积的最大值是( ) A. B.2 C. D. 34.如果圆 上总存在两个点到原点的距离均为 ,则实数 的取值范围是( ) A. B. C. D. 二、多选题 35.抛物线 的焦点为 ,动直线 与抛物线交于两点 且 ,直线 分 别与抛物线交于 两点,则下列说法正确的是( ) A.直线 恒过定点 B. C. D.若 于点 ,则点 的轨迹是圆 36.在平面直角坐标系xOy中,已知点A(﹣4,0),点B是圆C: 上任一点,点P为AB的中点,若 点M满足MA2+MO2=58,则线段PM的长度可能为( ) A.2 B.4 C.6 D.8 37.已知点A是圆C: 上的动点,O为坐标原点, ,且 , , , 三点顺时针排 列,下列选项正确的是( ) A.点 的轨迹方程为 第 6 页 学学科科网网((北北京京))股股份份有有限限公公司司B. 的最大距离为 C. 的最大值为 D. 的最大值为 38.已知圆 的方程为 ,则( ) A.若过点 的直线被圆 截得的弦长为 ,则该直线方程为 B.圆 上的点到直线 的最大距离为 C.在圆 上存在点 ,使得 到点 的距离为 D.圆 上的任一点 到两个定点 、 的距离之比为 三、填空题 39.平面直角坐标系 中,已知圆 ,点 为直线 上的动点,以 为直径的圆交圆 于 、 两点,点 在 上且满足 ,则点 的轨迹方程是________. 40.2020年11月,我国用长征五号遥五运载火箭成功发射探月工程嫦娥五号探测器,探测器在进入近圆形的环月 轨道后,将实施着陆器和上升器组合体与轨道器和返回器组合体分离.我们模拟以下情景:如图,假设月心位于坐 标原点 ,探测器在 处以 的速度匀速直线飞向距月心 的圆形轨道上的某一点 ,在点 处分离出着陆器和上升器组合体后,轨道器和返回器组合体立即以 的速度匀速直线飞至 ,这一过 程最少用时_______________s. 第 7 页 学学科科网网((北北京京))股股份份有有限限公公司司41.已知平面向量 满足: ,当 与 所成角 最大时,则 ______ 42.线段 是圆 的一条动弦,且 ,直线 恒过定点 ,则 的最小值为________. 43.已知点 和圆 上两个不同的点 , ,满足 , 是弦 的中点, 给出下列四个结论: ① 的最小值是4; ②点 的轨迹是一个圆; ③若点 ,点 ,则存在点 ,使得 ; ④△ 面积的最大值是 . 其中所有正确结论的序号是________. 44.已知平面向量 , , 满足: , ,则 的最小值是_________. 四、解答题 45.设圆 的半径为 ,圆心 是直线 与直线 的交点. (1)若圆 过原点 ,求圆 的方程; (2)已知点 ,若圆 上存在点 ,使 ,求 的取值范围. 46.已知点 ,曲线C上任意一点P满足 . (1)求曲线C的方程; (2)设点 ,问是否存在过定点Q的直线l与曲线C相交于不同两点E,F,无论直线l如何运动,x轴都平 分∠EDF,若存在,求出Q点坐标,若不存在,请说明理由. 第 8 页 学学科科网网((北北京京))股股份份有有限限公公司司47.已知圆 过三个点 . (1)求圆 的方程; (2)过原点 的动直线 与圆 相交于不同的 两点,求线段 的中点 的轨迹. 48.已知点 与两个定点 , 的距离的比为 . (1)记点 的轨迹为曲线 ,求曲线 的轨迹方程. (2)过点 作两条与曲线 相切的直线,切点分别为 , ,求直线 的方程. (3)若与直线 垂直的直线 与曲线 交于不同的两点 , ,若 为钝角,求直线 在 轴上 的截距的取值范围. 49.双曲线 , 、 为其左右焦点, 是以 为圆心且过原点的圆. (1)求 的轨迹方程; (2)动点 在 上运动, 满足 ,求 的轨迹方程. 第 9 页 学学科科网网((北北京京))股股份份有有限限公公司司参考答案 1.D 【解析】 【分析】 可以利用平面向量数量积的运算性质得 ,即 ,来确定动点C的轨迹;或者可以利用 三角形的特点合理建系,结合向量的坐标运算,设动点C的坐标,利用已知条件计算轨迹方程,来确定C的轨迹. 【详解】 解:方法一:由题可知: , 又 所以 ,即 所以点C的轨迹是圆. 方法二:由题可知: , 如图,以O为原点OB为x轴,过O点与OB垂直的直线为y轴建立平面直角坐标系, 所以 设 , 又 所以 整理得: 所以点C的轨迹是圆. 第 10 页故选:D. 2.B 【解析】 【分析】 设 ,由 得 ,将 转化为 和圆上点 之间的距离,即可求出最 大值. 【详解】 设 ,则 , , 整理得 ,则点 在以 为圆心, 为半径的圆上,则 表示 和圆上点 之间的距离, 又 在圆 上,故 的最大值是 . 故选:B. 3.B 【解析】 【分析】 直接设 ,根据两点间距离公式 代入运算整理. 【详解】 ∵ ,即 设 ,则 ,整理得 故选:B. 4.A 【解析】 【分析】 先求得线段 中点 的轨迹,结合向量的模、圆与直线的位置关系等知识求得 的最小值. 【详解】 第 11 页设线段 的中点为 , 圆 的圆心为 ,半径为 . 到直线 的距离为 , 所以 ,故 点的轨迹是以 为圆心,半径为 的圆,设 点的轨迹为圆 , 圆 上的点到直线 的最短距离为 . 所以 . 故选:A 5.D 【解析】 【分析】 由题意得四边形PAOB为正方形,得 点轨迹,转化为交点问题 【详解】 由题意可知四边形PAOB为正方形, , ∴点P在以O为圆心,以 为半径的圆上, 又P也在圆M上,即两圆有交点 ∴ , ∴a2+4≤8,-2≤a≤2. 故选:D 6.B 【解析】 【分析】 根据平面向量数量积的运算性质,结合平面向量减法的运算法则、圆的性质进行求解即可. 【详解】 , 所以 .故 . 所以点Q在以点D为圆心,9为半径的圆上,又 ,所以 的最大值为 ; 的最小值为 , 故选:B. 7.B 【解析】 【分析】 在直角三角形中利用几何关系即可获解 第 12 页【详解】 圆 即 ,半径 因为 ,所以 又 是 的中点,所以 所以点 的轨迹方程为 故选:B 8.C 【解析】 【分析】 根据题意,求得点 的轨迹方程,结合圆与圆的位置关系,即可求得参数 的范围,从而进行选择. 【详解】 因为两点 ,点 满足 ,故点 的轨迹 是以 为直径的圆(不包含 ), 故其轨迹方程为 , 又圆 上存在点 ,故两圆有交点, 又 ,则 , 解得 ,则 的最大值为 . 故选:C. 9.B 【解析】 【分析】 根据弦 中点 为直线 和 的交点,可设 ,求得直线 的方程,再利用以 为直径的圆与圆 的方程作差,求得直线 的方程,再消去 即可求得 的轨迹方程 【详解】 易得弦 中点 为直线 和 的交点,设 ,则直线 的方程为 ,又 均与 圆 相切,故 ,故 四点共圆,且 为以 为直径的圆与圆 的公共弦.又 以 为直径的圆的方程为 ,即 ,故 的方程为 第 13 页相减,即 .又 ,所以 ,代入 有 ,化简得 .当 时, ;当 时, 均满足 方程. 又当 时, 不满足题意. 综上有点 的轨迹方程为 故选:B 10.D 【解析】 【分析】 作出图形,确定点 的轨迹图形,结合图象可求得线段 所形成图形的面积. 【详解】 解:因为 ,所以点 在单位圆 上, 由于 , , 所以, 是其与 轴正方向的有向角为 , ,则 , 记点 , ,所以,点 的轨迹是劣弧 , 所以,动线段 所形成图形为阴影部分区域, 因为 ,因此,阴影部分区域的面积为 . 故选:D. 11.B 【解析】 【分析】 第 14 页依题意可得 ,设 ,根据平面直角坐标系上两点的距离公式得到方程,即可得解; 【详解】 解:因为圆C: ,所以圆心 ,半径 ,因为点 是圆上的动点,所以 ,又 与圆相切,且 ,则 ,设 ,则 ,即 ,所以点 的轨迹方程为 ; 故选:B 12.C 【解析】 【分析】 由点 的轨迹为以 为圆心, 为半径的半圆,其半径为 ,分析出线段 的中点 的轨迹为以 为圆心, 为半径的半圆,其半径为 ,即可求出轨迹的长度. 【详解】 由已知得: 四边形 是正方形, 沿DM翻转的过程中,点 的轨迹为 以 为圆心, 为半径的半圆,其半径为 , 设线段 的中点 ,线段 的中点 ,则点 的轨迹为 以 为圆心, 为半径的半圆,其半径为 , 线段AC的中点的运动轨迹长度为 . 故选: . 13.B 【解析】 【分析】 根据给定条件确定出点P的轨迹,再借助圆与圆的位置关系及圆的几何性质计算作答. 【详解】 依题意,直线 恒过定点 ,直线 恒过定点 , 显然直线 ,因此,直线 与 交点P的轨迹是以线段AB为直径的圆, 第 15 页其方程为: ,圆心 ,半径 ,而圆C的圆心 ,半径 ,如图: ,两圆外离,由圆的几何性质得: , , 所以 的取值范围是: . 故选:B 【点睛】 思路点睛:判断两圆的位置关系常用几何法,即用两圆圆心距与两圆半径和与差之间的关系,一般不采用代数法. 14.C 【解析】 【分析】 由题意,点P在圆C内,且最长弦的长度为直径长10,则最短弦的长度为8, 进而可得 ,所以点P的轨迹为以C 为圆心,半径为3的圆,从而即可求解. 【详解】 解:由题意,圆 ,所以圆C是以 为圆心,半径为5的圆, 因为过点P的直线l被圆C所截,且截得最长弦的长度与最短弦的长度比值为5∶4, 所以点P在圆C内,且最长弦的长度为直径长10,则最短弦的长度为8, 所以由弦长公式有 , 所以点P的轨迹为以C 为圆心,半径为3的圆, 所以 , 故选:C. 15.C 【解析】 【分析】 设经过点A,B的直线为x轴, 的方向为x轴正方向,线段AB的垂直平分线为y轴,建立平面直角坐标系,利 用坐标法计算. 【详解】 设经过点A,B的直线为x轴, 的方向为x轴正方向,线段AB的垂直平分线为y轴,线段AB的中点O为原点, 建立平面直角坐标系.则 , . 第 16 页设 ,∵ ,∴ , 两边平方并整理得 ,即 . 要使 的面积最大,只需点P到AB(x轴)的距离最大时, 此时面积为 . 故选:C. 16.A 【解析】 【分析】 设动点P的坐标,利用已知条件列出方程,化简可得点P的轨迹方程,由点P是圆C: 上 有且仅有的一点,可得两圆相切,进而可求得r的值. 【详解】 设动点 ,由 ,得 ,整理得 , 又点 是圆 : 上有且仅有的一点,所以两圆相切. 圆 的圆心坐标为 ,半径为2, 圆C: 的圆心坐标为 ,半径为r,两圆的圆心距为3, 当两圆外切时, ,得 , 当两圆内切时, , ,得 . 故选:A. 【点睛】 结论点睛:本题考查阿波罗尼斯圆,考查两圆相切的应用,判断圆与圆的位置关系几何法:圆心距d与r,r 的关 1 2 系:(1)外离 ;(2)外切 ;(3)相交 ;(4)内切 ; (5)内含 ,考查学生的数形结合思想和逻辑推理能力,属于中档题. 17.C 【解析】 【分析】 第 17 页利用向量的减法运算可得 ,从而求出点轨迹方程为 ,从而可得点 的个 数即为 与圆的交点个数,由直线 过定点 即可判断. 【详解】 解:由 , 则 , 可得 , 即 ,可得点 轨迹为圆, 设 ,则 , 整理可得方程为: ,故点 的个数即为 与圆的交点个数. 由于直线 过定点 ,且在圆内,所以直线与圆有两个交点, 故选:C. 18.D 【解析】 【分析】 先根据题意设出Q的坐标,根据勾股定理得到Q的轨迹方程,求出 的最大值,根据 即可求解. 【详解】 解:如图所示: 取 的中点Q,连 、 , 由圆的性质可知 , 由 可知: , 设点Q的坐标为 , 在 中, , 第 18 页即 ,整理为 , 可化为 , 故Q的轨迹为以 为圆心, 为半径的圆, 的最大值为 , 故 . 故选:D. 19.D 【解析】 【分析】 根据给定条件求出动点M的轨迹方程,再确定轨迹即可计算作答. 【详解】 设 ,依题意, ,化简整理得: , 因此,动点M的轨迹是以原点为圆心,2为半径的圆, 所以动点M的轨迹围成区域的面积为 . 故选:D 20.A 【解析】 【分析】 设 ,依题意 ,根据两点的距离公式求出动点 的轨迹方程,再求出圆心到直线的距离,即可求出 点 到直线距离的最小值; 【详解】 解:设 ,则 ,即 ,化简得 , 所以点 的轨迹为以 为圆心, 的圆,则圆心 到直线 的距离 , 所以点C到直线 的距离的最小值为 ; 故选:A 21.B 【解析】 【分析】 根据已知条件先确定出点 的轨迹方程,然后将问题转化为“以 为直径的圆要包括圆 ”, 由此利用圆心 到直线 的距离结合点 的轨迹所表示圆的半径可求解出 的最小值. 【详解】 第 19 页由题可知: ,圆心 ,半径 , 又 , 是 的中点,所以 , 所以点 的轨迹方程 ,圆心为点 ,半径为 , 若直线 上存在两点 ,使得 恒成立, 则以 为直径的圆要包括圆 , 点 到直线 的距离为 , 所以 长度的最小值为 , 故选:B. 【点睛】 关键点点睛:解答本题的关键在于点 轨迹方程的求解以及转化思想的运用,根据弦中点以及线段长度可求点 轨 迹方程,其次“ 恒成立”转化为“以 为直径的圆包括 的轨迹”,结合圆心到直线的距离加上半径 可分析 的最小值. 22.D 【解析】 【分析】 以 为坐标原点建立平面直角坐标系,设 边长为 ,由向量坐标运算可表示出 点轨迹,利用两点间距离 公式可得 ;当 时,可求得 ;当 时,令 ,根据 的几何 意义,利用直线与圆的位置关系可求得 的范围,进而得到最小值;综合两种情况可得结果. 【详解】 以 为坐标原点, 正方向为 轴,可建立如图所示平面直角坐标系, 不妨设正三角形 的边长为 ,则 , , , 第 20 页设 ,则 , , , , ,即 ; 点轨迹为: , ; 当 时, , ; 当 时,令 ,则 表示 与 连线的斜率, 设直线 与圆 相切, 则圆心到直线距离 ,解得: 或 , , 则当 时, 取得最小值 , ; 综上所述: 最小值为 . 故选:D. 23.D 【解析】 【分析】 设 ,求出动点轨迹方程,然后用三角换元法表示出 ,计算 ,并由两角和的正弦公式变形,由 正弦函数性质求得范围. 【详解】 设 ,则由 ,得M的方程为 ,设 , 则 . 第 21 页故选:D. 24.B 【解析】 【分析】 设点 ,即可求出 的轨迹方程,求出直线 ,以及 ,利用圆心到直线的距离加上半径求出高的最 大值,即可求出面积的最大值; 【详解】 解:设点 ,因为 ,所以 , 点的轨迹是以 为圆心, 为半径的圆, 又直线 的方程为 : , ,圆心 到直线 的距离 ,所 以 到直线 的距离最大值为 则 面积的最大值为 . 故选: . 25.A 【解析】 【分析】 设出 点的坐标,利用已知条件列出方程化简求解即可. 【详解】 解:设 ,点 的坐标是 ,点 满足 , 可得: , 即: , 所以M点的轨迹方程是 . 故选:A. 26.D 【解析】 由已知可得点 的轨迹为 ,将 转化为点 到弦 的中点 的距离的两倍,利用图形 即可得解. 【详解】 由题意得圆 的圆心为 ,半径 , 易知直线 恒过点 ,直线 恒过 ,且 , 点 的轨迹为 ,圆心为 ,半径为 , 若点 为弦 的中点,位置关系如图: 第 22 页. 连接 ,由 易知 . , . 故选:D. 【点睛】 本题考查了直线的方程、圆的方程、直线与圆的位置关系以及向量的线性运算,考查了转化化归思想和数形结合 的思想,属于难题. 27.B 【解析】 【分析】 先求得A, 两点坐标,根据 得到 ,再结合 可得到C轨迹为动圆,求得该动圆 圆心的方程,即可求得答案. 【详解】 由 得 , 故 由 得 , 由 得 ,设 ,则 , 即 ,即点C轨迹为一动圆, 设该动圆圆心为 ,则 , 整理得 ,代入到 中, 第 23 页得: ,即C轨迹的圆心在圆 上, 故点(1,1)与该圆上的点 的连线的距离加上圆的半径即为点 到点 的距离的最大值,最大值为 , 故选:B 28.C 【解析】 【分析】 先设点 的坐标,再根据两点间距离公式化简条件,解得结果. 【详解】 设点 的坐标为 , ∵ , ,动点 满足 , ∴ ,两边平方得 , 即 . ∴ 的轨迹为圆. 故选:C 【点睛】 本题考查动点轨迹方程,考查基本求解能力,属基础题. 29.D 【解析】 【分析】 以点A为坐标原点,射线AB为x轴的非负半轴建立直角坐标系,求出点M的轨迹方程即可计算得解. 【详解】 以点A为坐标原点,射线AB为x轴的非负半轴建立直角坐标系,如图,设点 , 则 ,化简并整理得: , 于是得点M的轨迹是以点 为圆心,2为半径的圆,其面积为 , 所以M点的轨迹围成区域的面积为 . 故选:D 30.D 【解析】 将圆周角为定值转化为圆心角为定值,结合圆心距构成的直角三角形得 ,从而得 中点的轨迹方程. 【详解】 第 24 页设 中点为 , 圆心角等于圆周角的一半, , , 在直角三角形 中,由 , 故中点 的轨迹方程是: , 如图,由 的极限位置可得, . 故选:D 【点睛】 本题考查了动点的轨迹方程问题,考查了数形结合的思想,属于基础题. 31.C 【解析】 【分析】 由题设分析知 的轨迹为 ( 不与 重合),要求 的取值范围,只需求出 到圆 上 点的距离范围即可. 【详解】 由题设, 在以 为直径的圆上,令 ,则 ( 不与 重合), 所以 的取值范围,即为 到圆 上点的距离范围, 又圆心 到 的距离 ,圆的半径为2, 所以 的取值范围为 ,即 . 故选:C 32.A 【解析】 【分析】 设 的延长线交 的延长线于点 ,由椭圆性质推导出 ,由题意知 是△ 的中位线,从而得 到 点的轨迹是以 为圆心,以 为半径的圆. 第 25 页【详解】 是焦点为 、 的椭圆 上一点 为 的外角平分线, , 设 的延长线交 的延长线于点 ,如图, , , , 由题意知 是△ 的中位线, , 点的轨迹是以 为圆心,以 为半径的圆. 故选:A 33.C 【解析】 【分析】 根据给定条件建立平面直角坐标系,求出点P的轨迹方程,探求点P与直线AB的最大距离即可计算作答. 【详解】 依题意,以线段AB的中点为原点,直线AB为x轴建立平面直角坐标系,如图, 则 , ,设 , 第 26 页因 ,则 ,化简整理得: , 因此,点P的轨迹是以点 为圆心, 为半径的圆,点P不在x轴上时,与点A,B可构成三角形, 当点P到直线 ( 轴)的距离最大时, 的面积最大, 显然,点P到 轴的最大距离为 ,此时, , 所以 面积的最大值是 . 故选:C 34.A 【解析】 【分析】 根据条件转化为圆 与圆 有两个交点,利用圆与圆的位置关系,即可求 的取 值范围. 【详解】 到原点的距离为 的点的轨迹为圆 , 因此圆 上总存在两个点到原点的距离均为 转化为圆 与圆 有两个交点, ∵两圆的圆心和半径分别为 , , , , ∴ ,∴ , 解得实数 的取值范围是 . 故选:A. 35.ABD 【解析】 【分析】 由题意, ,若 , ,则 ,联立直线与抛物线求 , ,进而求 ,即 可得 ,可知A的正误;若 , , , ,由 、 求关于 、 表示 的坐标,进而确定 、 的数量关系;设A中定点为 ,易知 在以 为直径的圆上, 即 的轨迹是圆. 【详解】 由题意, ,若 , ,则 , , ∵ ,即 ,又联立直线与抛物线有 , ∴ , ,则 , ∴ ,而 ,即 ,故 过定点 ,A正确; 第 27 页若 , , , , 由 : ,可得 ,则 ; 由 : ,可得 ,则 ; ∴ ,而 且 ,故 ,B正确; , , ∴ ,C错误; ∵ 在直线 上,又 过定点 且 , ∴ ,故 在以 为直径的圆上,D正确; 故选:ABD 【点睛】 关键点点睛:设 , ,联立直线与椭圆方程,应用韦达定理求 , , ,求 的数量关 系;设点坐标,利用斜率的点斜式求 、 的数量关系;若 ,由垂直可得 在以 为直径的圆 上. 36.BC 【解析】 【分析】 首先求出点PP的轨迹方程,再设点M求出其轨迹方程,再利用两圆的位置关系判断即可 【详解】 设 ,点P为AB的中点,所以 ,代入圆C: , 可得: ,整理得:点P的轨迹方程为: 设 则 , 则易知当两圆心和PM共线时取得最大值和最小值 故选:BC. 【点睛】 本题考查圆的轨迹方程,考查两圆间的位置关系,考查两点间的距离最值,求得P与M的轨迹方程是解题关键, 是中档题 37.BD 第 28 页【解析】 【分析】 如图,过O点作 ,设点 ,利用相关点代入法,可求得轨迹方程为 , 可判断A;根据点到圆上距离的最值求解,可判断B;设 ,将向量的数量积表示成关于 的函 数,可判断C,D; 【详解】 如图,过O点作 则点 ,设点 ,设 ,则 ,设 , 所以, , , 所以, , , 即点 , 因为 , 设点 ,可得 ,解得 , 因为点 在圆 上,所以 , 将 代入方程 可得 , 整理可得 ,所以A是错的, 所以 的最大距离为 ,B是对的, 设 , 所以 的最大值为2,D是对的. 故选:BD 第 29 页38.BD 【解析】 【分析】 根据勾股定理结合点到直线的距离公式求出直线的方程,可判断A选项;求出圆 上的点到直线 的 最大距离,可判断B选项;求出圆 上的点到点 的距离的取值范围,可判断C选项;求出点 的轨迹方程, 可判断D选项. 【详解】 圆 的圆心为 ,半径为 . 对于A选项,若过点 的直线的斜率不存在,则该直线的方程为 , 由勾股定理可知,圆心 到直线 的距离为 , 而圆心 到直线 的距离为 ,合乎题意. 若所求直线的斜率存在,设直线的方程为 , 则圆心 到直线 的距离为 ,解得 , 此时直线的方程为 . 综上所述,满足条件的直线的方程为 或 ,A错; 对于B选项,圆心 到直线 的距离为 , 因此,圆 上的点到直线 的最大距离为 ,B对; 对于C选项,记点 , ,即点 在圆 内, 且 ,如下图所示: 当 、 、 三点不共线时,根据三角形三边关系可得 ,即 , 当 、 、 三点共线且当点 在线段 上时, , 当 、 、 三点共线且当点 在线段 上时, . 综上所述, ,C错; 对于D选项,设点 ,则 ,即 , 第 30 页整理可得 ,即点 的轨迹为圆 ,D对. 故选:BD. 39. 【解析】 延长 交 于点 ,设 ,利用三角形全等证明出 ,可得出 为线段 的垂直平分线, 设点 ,求出以 为直径的圆的方程,可求得两圆的公共弦 所在直线的方程,求出直线 所过定点 的坐标,利用垂直平分线的性质可得出 ,由此可求得动点 的轨迹方程. 【详解】 延长 交 于点 ,则 ,设 , 以 为直径的圆交圆 于点 、 ,所以, , 则 ,可得 , 在 和 中, , , , , , , , , , ,则 为 的中点,且 , , , ,则 为 的中点, 设点 ,则 , , 的中点坐标为 , 以线段 为直径的圆的方程为 , 即 , 将圆 与圆 的方程相减得 , 即直线 的方程为 ,即 , 第 31 页由 ,解得 ,所以,直线 过定点 , 由于 为线段 的垂直平分线,则 , 所以,点 的轨迹方程为 . 故答案为: . 【点睛】 求与圆有关的轨迹方程时,常用以下方法: (1)直接法:根据题设条件直接列出方程; (2)定义法:根据圆的定义写出方程; (3)几何法:利用圆的性质列方程; (4)代入法:找出要求点与已知点的关系,代入已知点满足的关系式. 40. 【解析】 【分析】 设 ,飞行过程所用时间 ,再令 ,则问题转化为求两条线段 最小即可 作答. 【详解】 设 ,飞行过程所用时间 ,令 ,即 , 设点C(0,m)在圆形轨道内,取点P坐标(0,2000),而 ,由 得 , , 即 ,设动点 ,当 时,即 , 化简整理得 ,即满足 的动点M的轨迹就是给定的圆形轨道, 所以距月心 的圆形轨道上的任意点 均有 成立,如图,连PC, 第 32 页于是有 ,当且仅当P为线段AC与圆形轨道交点时取“=”, 即有 , 所以这一过程最少用时 s. 故答案为: 41. 【解析】 【分析】 方法一:记 , , ,由条件可得 ,由此确定点C的轨迹,则 与 的夹角为 ,证明当C为过 , 两点的圆 与圆 相外切时的切点时, 最大,设圆 的半径为 ,再由正弦定 理可得 ,利用余弦定理求得 ,由此可得 ,方法二:以O为原点,OA,OB为x,y轴建立坐 标系,求点C的轨迹,则 与 的夹角为 ,证明当C为过 , 两点的圆 与圆 相外切时的切点时, 最大,由 求点E的坐标,由此可求 . 【详解】 解:记 , , , 则 , 即点 的轨迹是以 为圆心,半径为1的圆.过 , 两点的圆 与圆 相外切,记切点为 ,此时 最大 (如图). 第 33 页下证上述结论:取圆 上不同于切点 的 点,因为 在圆 的外面, 所以 . 下面求当 最大时, 的值. 记圆 的半径为 ,则 . 所以只需求出圆 的半径为 即可. 法一:如右图, 为弦 的中点, 在 中,由余弦定理求得 , ,则 . 在 中, , , , , 由余弦定理得, . 即 . 法二:如图建系, , , ,点 在以 为圆心,1为半径的圆上. 以 为弦长作圆 ,当圆 与圆 外切时 最大. 圆心 在弦 的中垂线 上,设 , 则 , 即 , 第 34 页化简得 ,即 或 (舍去), 此时 ,得 . 故答案为: . 42. 【解析】 【分析】 过圆心 作 于点 ,根据几何法求出 的长,进而可得点 的轨迹为圆 ,求出直线 恒过定 点 ,由圆的性质可得 ,再由 即可求解. 【详解】 因为线段 是圆 的一条动弦,过圆心 作 于点 , 则 为 中点,又 ,则 , 即点 的轨迹为圆 , 直线 可化为 ,则直线 恒过定点 , 因为 ,由可知 , 所以 . 故答案为: . 43.①②④ 【解析】 【分析】 ①可以通过设出圆的参数方程,进行求解;②设出 ,找到等量关系,建立方程,求出点 的轨迹方程,即可 说明;③转化为两圆是否有交点,说明是否存在点 ;④当 斜率分别为1和-1时,且点P,M在y轴左侧, 此时 面积最大,求出最大值. 【详解】 △ 第 35 页点 在圆 上,设 ,则 ,当 时, 取得最小值,最小值为4,①正确; 设点 ,则由题意得: ,则 ,整理得: , 所以点 的轨迹是一个圆,②正确; 为以 为直径的圆,圆心为 ,半径为1,方程为: ,下面判断此圆与点 的轨迹方程 是否有交点,由于 ,两圆相离,故不存在点 ,使得 , ③错误; 当 斜率分别为1和-1时,且点P,M在y轴左侧,此时△ 为等腰直角三角形,面积最大,此时 , ,④正确. 故答案为:①②④ 【点睛】 轨迹方程问题,一般处理思路,直接法,定义法,相关点法以及交轨法,要能结合题目特征选择合适的方法进行 求解. 44. ## 【解析】 【分析】 建立直角坐标系,根据已知条件求出 终点的轨迹方程,由此即可求解. 【详解】 如图在直角坐标系中, 设 , ∵ ,∴A的轨迹是以C为圆心,1为半径的圆, 设 , 第 36 页由 可知 , 设 , 则 , , 设 ,则 , , ∴ ① ② ①+②得: , 则B的轨迹是以G(-1, )为圆心,1为半径的圆, 则 . 故答案为: . 【点睛】 本题的关键是建立合理的坐标系,求出向量 终点的轨迹方程,将最短距离转化为定点到圆上一点距离的最值问题, 综合考察向量的线性运算法则和动点轨迹的求解,属于难题. 45.(1) ;(2) . 【解析】 (1)联立两直线方程,可求得圆心 的坐标,求出圆 的半径,由此可得出圆 的方程; (2)设点 ,由 可求得点 的轨迹为圆 ,利用圆 与圆 有公共点可得出关于 的不等式, 由此可解得 的取值范围. 【详解】 (1)由 ,得 ,所以圆心 . 又 圆 过原点 , , 圆 的方程为: ; (2)设 ,由 ,得: ,化简得 . 点 在以 为圆心,半径为 的圆上. 又 点 在圆 上, , 第 37 页即 , . 【点睛】 结论点睛:圆与圆的位置关系:设圆 与圆 的半径长分别为 和 . (1)若 ,则圆 与圆 内含; (2)若 ,则圆 与圆 内切; (3)若 ,则圆 与圆 相交; (4)若 ,则圆 与圆 外切; (5)若 ,则圆 与圆 外离. 46.(1) ;(2)存在, . 【解析】 【分析】 (1)设 点的坐标为 ,根据 ,结合两点间的距离公式,列出方程,即可求解; (2)①当斜率不存在,得到这些直线都是平行的,②设直线 的方程为 ,联立方程组求得 ,结合 ,列出方程求得 ,代入直线方程,根据直线方程,求 得定点 ,进而得到答案. 【详解】 (1)设 点的坐标为 , 因为 ,可得 ,整理得 , 即曲线 的方程为 . (2)①如果斜率不存在,直线垂直于x轴,此时与圆交于两点, 可得这些直线都是平行的,不可能经过同一点,不符合题意. ②设存在定点Q满足条件,设直线 的方程为 , 设 ,联立方程组 ,整理得 , 可得 , 无论直线 如何运动, 轴都平分∠EDF,可得 , 所以 ,可得 , 所以 , 所以 ,整理得 ,可得 , 第 38 页所以 ,可得直线经过定点 , 所以存在过定点 的直线 与曲线C相交于不同两点E,F,无论直线l如何运动, 轴都平分∠EDF. 【点睛】 直线与圆锥曲线的综合问题的求解策略: 对于直线与圆锥曲线的位置关系的综合应用问题,通常联立直线方程与圆锥曲线方程,应用一元二次方程根与系 数的关系,以及弦长公式等进行求解,此类问题易错点是复杂式子的变形能力不足,导致错解,能较好的考查考 生的逻辑思维能力、运算求解能力. 47.(1) (2) 【解析】 【分析】 (1)设圆 的方程为 ,列出方程组,求得 的值,即可求得圆 的方程; (2)根据题意得到 ,得出 在以 为直径的圆上,得到以 为直径的圆的方程,再联立两圆的方 程组,求得交点坐标,即可得到点 的轨迹方程. (1) 解:设圆 的方程为 , 因为圆 过三个点 , 可得 ,解得 , 所以圆 的方程为 ,即 . (2) 解:因为 为线段 的中点,且 ,所以 在以 为直径的圆上, 以 为直径的圆的方程为 , 第 39 页联立方程组 ,解得 或 , 所以点 的轨迹方程为 . 48.(1) ;(2) ;(3) 【解析】 (1)设点 点坐标为 ,则 ,利用两点间的距离公式得到方程,整理即可得解; (2)连接 , ,求出以 为圆心, 为半径的圆的方程,再跟圆 求公共弦,即切点弦方程; (3)设直线的方程为: , , ,利用根与系数的关系可得 , 两点横坐标的和与积, 结合 为钝角,得 ,即 ,从而可得直线 的纵截距的取值范围. 【详解】 解:(1)设点 点坐标为 ,则 得 整理得: 曲线 的方程是 . (2)过 点 作两条与曲线 相切的直线, 点在圆外, 连接 , ,由题意知 , , 以 为圆心, 为半径的圆的方程为 ①, 又圆 的方程为 ②, 由① ②得直线 的方程是 ; 第 40 页(3)设直线的方程为: ,联立 得: , 设直线 与圆的交点 , 由 ,得 , . 因为 为钝角,所以 , 即 ,且 与 不是反向共线, 又 , , 所以 , 得 ,即 , 当 与 反向共线时,直线 过原点,此时 ,不满足题意, 故直线 在 轴上的截距的取值范围是 ,且 . 【点睛】 本题考查直线与圆的位置关系的应用,训练了利用圆系方程求两圆公共弦所在的直线方程,考查了平面向量的数 量积运算,对于过圆 外一点 的切点弦方程为 . 49.(1) (2) 【解析】 【分析】 (1)由双曲线的右焦点作为圆心,以半焦距为半径的圆,可以直接写出圆的标准方程即可. (2)求解轨迹方程求谁设谁,设 , 用点M的坐标表示点P的坐标,带入方程即可得到答案. (1) 由已知得 , ,故 ,所以 、 , 因为 是以 为圆心且过原点的圆,故圆心为 ,半径为4, 所以 的轨迹方程为 ; (2) 设动点 , , 则 , , 由 ,得 , , , 第 41 页即 ,解得 , 因为点 在 上,所以 , 代入得 , 化简得 . 第 42 页第 43 页