当前位置:首页>文档>热点专题2-4指数与指数函数(解析版)-2025年高考数学热点题型追踪与重难点专题突破(新高考专用)_2025年新高考资料_二轮复习

热点专题2-4指数与指数函数(解析版)-2025年高考数学热点题型追踪与重难点专题突破(新高考专用)_2025年新高考资料_二轮复习

  • 2026-04-15 14:03:30 2026-04-15 14:03:30

文档预览

热点专题2-4指数与指数函数(解析版)-2025年高考数学热点题型追踪与重难点专题突破(新高考专用)_2025年新高考资料_二轮复习
热点专题2-4指数与指数函数(解析版)-2025年高考数学热点题型追踪与重难点专题突破(新高考专用)_2025年新高考资料_二轮复习
热点专题2-4指数与指数函数(解析版)-2025年高考数学热点题型追踪与重难点专题突破(新高考专用)_2025年新高考资料_二轮复习
热点专题2-4指数与指数函数(解析版)-2025年高考数学热点题型追踪与重难点专题突破(新高考专用)_2025年新高考资料_二轮复习
热点专题2-4指数与指数函数(解析版)-2025年高考数学热点题型追踪与重难点专题突破(新高考专用)_2025年新高考资料_二轮复习
热点专题2-4指数与指数函数(解析版)-2025年高考数学热点题型追踪与重难点专题突破(新高考专用)_2025年新高考资料_二轮复习
热点专题2-4指数与指数函数(解析版)-2025年高考数学热点题型追踪与重难点专题突破(新高考专用)_2025年新高考资料_二轮复习
热点专题2-4指数与指数函数(解析版)-2025年高考数学热点题型追踪与重难点专题突破(新高考专用)_2025年新高考资料_二轮复习
热点专题2-4指数与指数函数(解析版)-2025年高考数学热点题型追踪与重难点专题突破(新高考专用)_2025年新高考资料_二轮复习
热点专题2-4指数与指数函数(解析版)-2025年高考数学热点题型追踪与重难点专题突破(新高考专用)_2025年新高考资料_二轮复习
热点专题2-4指数与指数函数(解析版)-2025年高考数学热点题型追踪与重难点专题突破(新高考专用)_2025年新高考资料_二轮复习
热点专题2-4指数与指数函数(解析版)-2025年高考数学热点题型追踪与重难点专题突破(新高考专用)_2025年新高考资料_二轮复习
热点专题2-4指数与指数函数(解析版)-2025年高考数学热点题型追踪与重难点专题突破(新高考专用)_2025年新高考资料_二轮复习
热点专题2-4指数与指数函数(解析版)-2025年高考数学热点题型追踪与重难点专题突破(新高考专用)_2025年新高考资料_二轮复习
热点专题2-4指数与指数函数(解析版)-2025年高考数学热点题型追踪与重难点专题突破(新高考专用)_2025年新高考资料_二轮复习
热点专题2-4指数与指数函数(解析版)-2025年高考数学热点题型追踪与重难点专题突破(新高考专用)_2025年新高考资料_二轮复习
热点专题2-4指数与指数函数(解析版)-2025年高考数学热点题型追踪与重难点专题突破(新高考专用)_2025年新高考资料_二轮复习
热点专题2-4指数与指数函数(解析版)-2025年高考数学热点题型追踪与重难点专题突破(新高考专用)_2025年新高考资料_二轮复习
热点专题2-4指数与指数函数(解析版)-2025年高考数学热点题型追踪与重难点专题突破(新高考专用)_2025年新高考资料_二轮复习
热点专题2-4指数与指数函数(解析版)-2025年高考数学热点题型追踪与重难点专题突破(新高考专用)_2025年新高考资料_二轮复习
热点专题2-4指数与指数函数(解析版)-2025年高考数学热点题型追踪与重难点专题突破(新高考专用)_2025年新高考资料_二轮复习
热点专题2-4指数与指数函数(解析版)-2025年高考数学热点题型追踪与重难点专题突破(新高考专用)_2025年新高考资料_二轮复习
热点专题2-4指数与指数函数(解析版)-2025年高考数学热点题型追踪与重难点专题突破(新高考专用)_2025年新高考资料_二轮复习
热点专题2-4指数与指数函数(解析版)-2025年高考数学热点题型追踪与重难点专题突破(新高考专用)_2025年新高考资料_二轮复习
热点专题2-4指数与指数函数(解析版)-2025年高考数学热点题型追踪与重难点专题突破(新高考专用)_2025年新高考资料_二轮复习
热点专题2-4指数与指数函数(解析版)-2025年高考数学热点题型追踪与重难点专题突破(新高考专用)_2025年新高考资料_二轮复习
热点专题2-4指数与指数函数(解析版)-2025年高考数学热点题型追踪与重难点专题突破(新高考专用)_2025年新高考资料_二轮复习
热点专题2-4指数与指数函数(解析版)-2025年高考数学热点题型追踪与重难点专题突破(新高考专用)_2025年新高考资料_二轮复习

文档信息

文档格式
docx
文档大小
1.397 MB
文档页数
24 页
上传时间
2026-04-15 14:03:30

文档内容

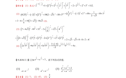
热点专题 2-4 指数与指数函数 近3年考情 考题示例 考点分析 关联考点 2024年新高考I卷,第6题,5 分 从近五年的高考情况来看,指 2024年北京卷,第7题,5分 数运算与指数函数是高考的一 个重点也是一个基本点,常与 2023年新高考I卷第4题,5分 幂函数、二次函数 、对数函 (1)指数幂的运算性质 数、三角函数综合,考查数值 (2)指数函数的图像与 2023年乙卷第4题,5分 大小的比较和函数方程问题.在 性质 利用指数函数的图像与性质应 2022年甲卷第12题,5分 用上,体现了逻辑推理与数学 2020年新高考II卷第11题,5 运算素养. 分 模块一 【题型1】指数幂的运算 【方法技巧】 (1)灵活运用指数的运算性质进行指数运算,根式形式需要化为分数指数幂形式去求解. (2)运算的最终结果不能同时含有根号和分数指数,也不能既有负指数又有分母. 指数与根式的概念 1、n次方根的定义 (1)定义:一般地,如果 ,那么x叫做a的n次方根,其中 ,且 (2)偶次方根的被开方数热要点为题非型负解数读(目录) 2、根式 (1)定义:式子 叫做根式,这里n叫做根指数,a叫做被开方数. (2)性质:( ,且 ) a; 3、分数指数幂的意义 (1)分数指数幂的意义 正分数指数幂:规定: 负分数指数幂:规定:(3)性质:0的正分数指数幂等于0,0的负分数指数幂没有意义 4、分数指数幂的注意事项: (1)分数指数幂是指数概念的又一推广,分数指数幂 不可理解为 个 相乘,它是根式的一 种新的写法. 在这样的规定下,根式与分数指数幂是表示相同意义的量,只是形式不同而已. (2)把根式 化成分数指数幂的形式时,不要轻易对 进行约分. (3)在保证相应的根式有意义的前提下,负数也存在分数指数幂, 如 有意义,但 就没有意义. 5、无理数指数幂 一般地,无理数指数幂 ( , 为无理数)是一个确定的实数. 有理数指数幂的运算性质同样适用于无理数指数幂. 【注意】(1)对于无理数指数幂,我们只需要了解两点: ①它是一个确定的实数;②它是有理数指数幂无限逼近的结果. (2)定义了无理数指数幂之后,幂的指数就由原来的有理数范围扩充到了实数范围. 6、实数指数幂的运算性质 ① . ② . ③ . 1.(1) ; (2)已知 , ,求 的值. 【解析】(1)原式 (2)因为 , , 所以 , , 所以 . 【巩固练习1】化简或求值:(1) ; (2) ; (3) ; (4) ( 且 ). 【答案】(1)112;(2)21;(3)4;(4) 【解析】(1)原式= . (2) =21. (3) . (4) . 【巩固练习2】已知 ,求下列各式的值. (1) ; (2) ; (3) . 【答案】(1)7;(2)47;(3) 【解析】(1)将 两边平方,得 , 所以 . (2)将 两边平方,得 , 所以 . (3)∵ , , , ∴ ,∴ . 1 1 【巩固练习3】计算(−64)3+[(−3) 4 ]4−(√2−1) 0+ √ 33 3 =( ) 8 13 11 1 1 A.− B.− C.− D. 2 2 2 2 【解题思路】利用指数运算及根式运算计算即得. 【 解 答 过 程 】 (−64)3 1 +[(−3) 4 ]4 1 −(√2−1) 0+ √ 33 3 =(−43 )3 1 +(34 )4 1 −1+[( 3 ) 3 ]3 1 =−4+3−1+ 3 =− 1 . 8 2 2 2 故选:C. 【题型2】 指数函数过定点问题 指数函数图象都经过点 , 恒过定点 . 2.已知函数 ( 且 )的图象恒过定点 ,则点 的坐标为 . 【答案】 【解析】令 ,得 ,则 . 所以函数 ( 且 )的图象恒过定点 . 【巩固练习1】函数 ( 且 )的图象恒过定点 ,则 等于 . 【答案】2 【解析】由 ,即 ,得 ,所以 ,所以 【巩固练习2】(2024·山东济宁·一模)已知函数 且 的图象过定点A,且点A在直线 上,则 的最小值是 . 【答案】 【解析】函数 且 的图象过定点 , 则 ,所以 , 由 ,得 , 则 令 ,则 , 则 , 当且仅当 ,即 ,即 时,取等号, 所以 的最小值是 . 【题型3】求指数函数的解析式 y y 图 a (1,a) 象 1 (1,a) 1 a O 1 x O 1 x ①定义域 ,值域 ② ,即时 , ,图象都经过 点 性 ③ ,即 时, 等于底数质 ④在定义域上是单调减函数 在定义域上是单调增函数 ⑤ 时, ; 时, 时, ; 时, ⑥既不是奇函数,也不是偶函数 3.已知 是指数函数,若 ,则 ___________. 【答案】 【解析】设 , 因为 ,即 ,解得 ,所以 ,即 . 【巩固练习1】已知函数 ,若 为偶函数,且在 是增函数,求 的解析式 【答案】 【解析】 在 上增函数, ,解得 又 , , 由 为偶函数知 , ; 【巩固练习2】已知函数 是奇函数,且当 时, ,那么当 时, 的解析式是( ) A. B. C. D. 【答案】B 【解析】当 时,则 ,所以 , 又因为函数 是奇函数,所以 , 所以当 时 . 【题型4】指数函数的图象及应用 对于有关指数型函数的图象问题,一般是从最基本的指数函数的图象入手,通过伸缩、平移、对称 等变换得到,当 时,指数函数 的图像呈上升趋势;当 时,指数函数 的 图像呈下降趋势.4.(2024·黑龙江·二模)已知函数 的图象经过原点,且无限接近直线 ,但又不 与该直线相交,则 ( ) A. B. C. D. 【答案】C 【解析】因为函数 图象过原点,所以 , 得 ,又该函数图象无限接近直线 ,且不与该直线相交, 所以 ,则 ,所以 . 5.函数① ;② ;③ ;④ 的图象如图所示,a,b,c,d分别是下列四个数: , , , 中的一个,则a,b,c,d的值分别是( ) A. , , , B. , , , C. , , , D. , , , 【答案】C 【解析】直线 与函数图象的交点的纵坐标从上到下依次为c,d,a,b,而 , 所以a,b,c,d的值分别是 , , , ,故选:C. 【巩固练习1】函数 的图像如图所示,其中 为常数,则下列结论正确的是( ) A. , B. , C. , D. , 【答案】D【解析】由函数 的图像可知, 函数 在定义域上单调递减, ,排除AB选项; 函数 图像是由 向左平移所得, , .故D选项正确. 【巩固练习 2】若函数 的图象如图所示,且 ,则实数 , 的值可能为 ( ) A. , B. , C. , D. , 【答案】C 【解析】由函数 的图像,可得函数 为单调递增函数,所以 , 又由 ,可得 ,可得 , 结合选项,只有C项适合.故选:C. 【巩固练习3】如图,曲线①②③④分别是指数函数 , , , 的图像,则实 数a、b、c、d的大小关系满足( ) A. B. C. ; D. .【答案】B 【解析】作出直线 ,此时与各函数的交点的纵坐标即为对应的底数,如图, 所以 ,故选:B 【题型5】比较指数幂的大小 比较指数幂的大小 常用方法有: (1)对于底数相同,指数不同的两个幂的大小比较,可以利用指数函数的单调性来判断; (2)对于底数不同,指数相同的两个幂的大小比较,可以利用指数函数图象的变化规律来判断; (3)对于底数不同,且指数也不同的幂的大小比较,可先化为同底的两个幂,或者通过中间值来 比较. 6.若 ,则a、b、c的大小关系是( ) A. B. C. D. 【答案】A 【解析】因为 在 上单调递增,且 , 所以 ,即 , 因为 在 上单调递减,且 , 所以 ,即 , 所以 ,即 ,故选:A 7.(2024·四川·模拟预测)设a=0.50.4,b=0.41.1,c=1.10.5,则( ) A.a0.51.1>0.41.1, 又因为指数函数y=1.1x是单调增函数,所以1.10.5>1.10=1, 综上可得:b