当前位置:首页>文档>2000考研数一真题解析公众号“考研小舟”持续更新中公众号:考研小舟_27考研真题_考研数学一、二、三历年真题+考研数学资料(1994-2026)_考研数学真题(1987-2026)_数学一

2000考研数一真题解析公众号“考研小舟”持续更新中公众号:考研小舟_27考研真题_考研数学一、二、三历年真题+考研数学资料(1994-2026)_考研数学真题(1987-2026)_数学一

  • 2026-04-16 11:25:33 2026-04-16 09:32:22

文档预览

2000考研数一真题解析公众号“考研小舟”持续更新中公众号:考研小舟_27考研真题_考研数学一、二、三历年真题+考研数学资料(1994-2026)_考研数学真题(1987-2026)_数学一
2000考研数一真题解析公众号“考研小舟”持续更新中公众号:考研小舟_27考研真题_考研数学一、二、三历年真题+考研数学资料(1994-2026)_考研数学真题(1987-2026)_数学一
2000考研数一真题解析公众号“考研小舟”持续更新中公众号:考研小舟_27考研真题_考研数学一、二、三历年真题+考研数学资料(1994-2026)_考研数学真题(1987-2026)_数学一
2000考研数一真题解析公众号“考研小舟”持续更新中公众号:考研小舟_27考研真题_考研数学一、二、三历年真题+考研数学资料(1994-2026)_考研数学真题(1987-2026)_数学一
2000考研数一真题解析公众号“考研小舟”持续更新中公众号:考研小舟_27考研真题_考研数学一、二、三历年真题+考研数学资料(1994-2026)_考研数学真题(1987-2026)_数学一
2000考研数一真题解析公众号“考研小舟”持续更新中公众号:考研小舟_27考研真题_考研数学一、二、三历年真题+考研数学资料(1994-2026)_考研数学真题(1987-2026)_数学一
2000考研数一真题解析公众号“考研小舟”持续更新中公众号:考研小舟_27考研真题_考研数学一、二、三历年真题+考研数学资料(1994-2026)_考研数学真题(1987-2026)_数学一
2000考研数一真题解析公众号“考研小舟”持续更新中公众号:考研小舟_27考研真题_考研数学一、二、三历年真题+考研数学资料(1994-2026)_考研数学真题(1987-2026)_数学一
2000考研数一真题解析公众号“考研小舟”持续更新中公众号:考研小舟_27考研真题_考研数学一、二、三历年真题+考研数学资料(1994-2026)_考研数学真题(1987-2026)_数学一
2000考研数一真题解析公众号“考研小舟”持续更新中公众号:考研小舟_27考研真题_考研数学一、二、三历年真题+考研数学资料(1994-2026)_考研数学真题(1987-2026)_数学一
2000考研数一真题解析公众号“考研小舟”持续更新中公众号:考研小舟_27考研真题_考研数学一、二、三历年真题+考研数学资料(1994-2026)_考研数学真题(1987-2026)_数学一
2000考研数一真题解析公众号“考研小舟”持续更新中公众号:考研小舟_27考研真题_考研数学一、二、三历年真题+考研数学资料(1994-2026)_考研数学真题(1987-2026)_数学一
2000考研数一真题解析公众号“考研小舟”持续更新中公众号:考研小舟_27考研真题_考研数学一、二、三历年真题+考研数学资料(1994-2026)_考研数学真题(1987-2026)_数学一
2000考研数一真题解析公众号“考研小舟”持续更新中公众号:考研小舟_27考研真题_考研数学一、二、三历年真题+考研数学资料(1994-2026)_考研数学真题(1987-2026)_数学一
2000考研数一真题解析公众号“考研小舟”持续更新中公众号:考研小舟_27考研真题_考研数学一、二、三历年真题+考研数学资料(1994-2026)_考研数学真题(1987-2026)_数学一
2000考研数一真题解析公众号“考研小舟”持续更新中公众号:考研小舟_27考研真题_考研数学一、二、三历年真题+考研数学资料(1994-2026)_考研数学真题(1987-2026)_数学一
2000考研数一真题解析公众号“考研小舟”持续更新中公众号:考研小舟_27考研真题_考研数学一、二、三历年真题+考研数学资料(1994-2026)_考研数学真题(1987-2026)_数学一
2000考研数一真题解析公众号“考研小舟”持续更新中公众号:考研小舟_27考研真题_考研数学一、二、三历年真题+考研数学资料(1994-2026)_考研数学真题(1987-2026)_数学一
2000考研数一真题解析公众号“考研小舟”持续更新中公众号:考研小舟_27考研真题_考研数学一、二、三历年真题+考研数学资料(1994-2026)_考研数学真题(1987-2026)_数学一
2000考研数一真题解析公众号“考研小舟”持续更新中公众号:考研小舟_27考研真题_考研数学一、二、三历年真题+考研数学资料(1994-2026)_考研数学真题(1987-2026)_数学一
2000考研数一真题解析公众号“考研小舟”持续更新中公众号:考研小舟_27考研真题_考研数学一、二、三历年真题+考研数学资料(1994-2026)_考研数学真题(1987-2026)_数学一
2000考研数一真题解析公众号“考研小舟”持续更新中公众号:考研小舟_27考研真题_考研数学一、二、三历年真题+考研数学资料(1994-2026)_考研数学真题(1987-2026)_数学一

文档信息

文档格式
pdf
文档大小
0.418 MB
文档页数
18 页
上传时间
2026-04-16 09:32:22

文档内容

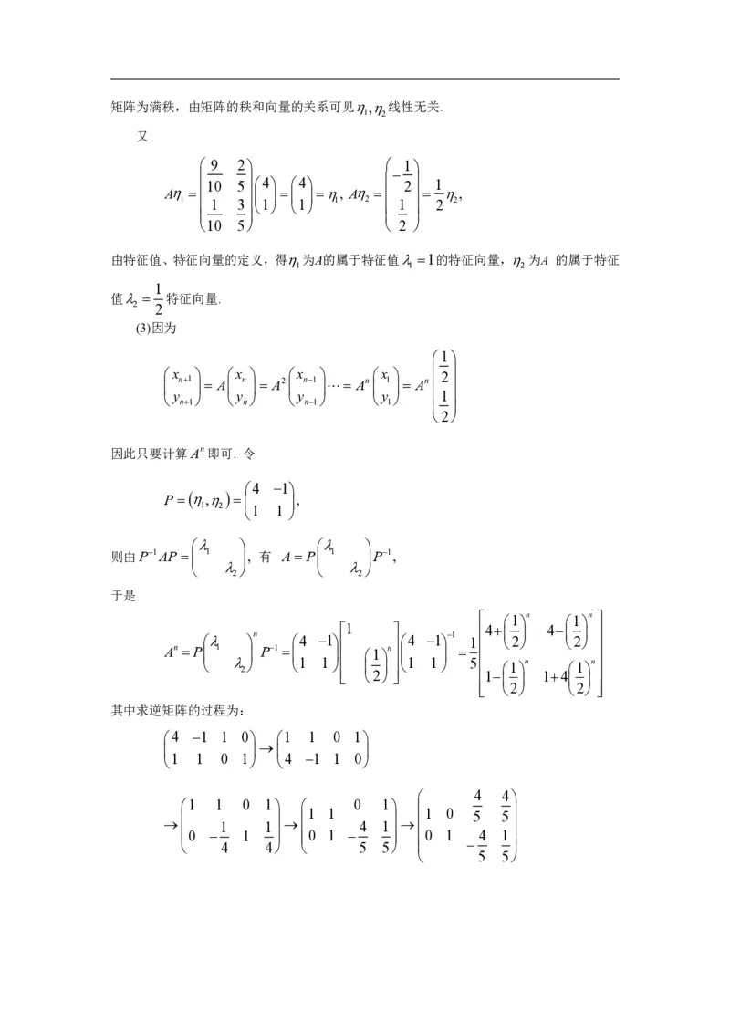
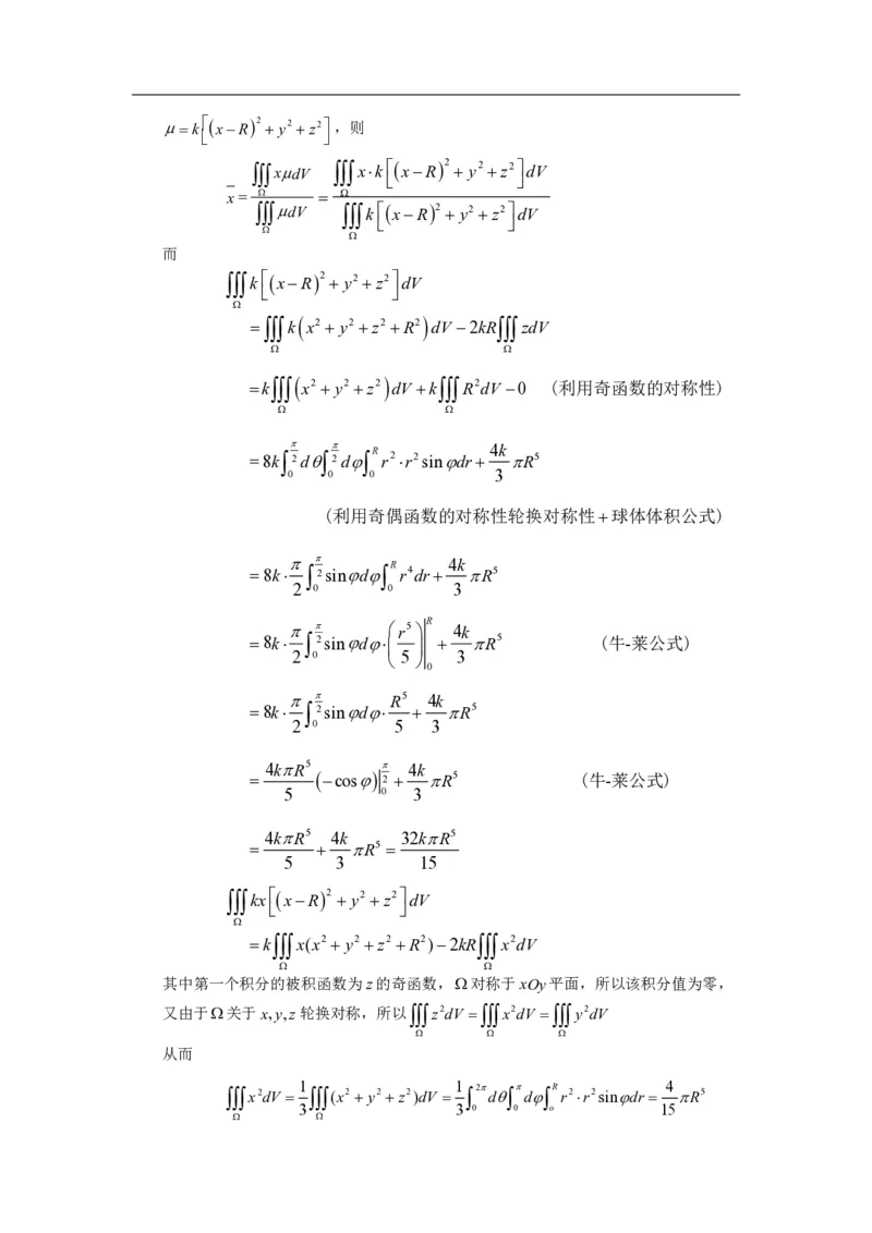
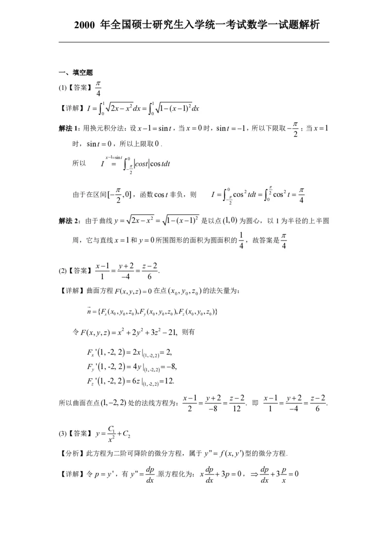
2000 年全国硕士研究生入学统一考试数学一试题解析 一、填空题  (1)【答案】 4 1 1 【详解】I  2xx2dx 1(x1)2dx 0 0  解法1:用换元积分法:设x1sint,当x0时,sint 1,所以下限取 ;当x1 2 时,sint 0,所以上限取0. x1sint 0 所以 I   cost costdt   2  0   由于在区间[ ,0],函数cost非负,则 I  cos2tdt 2cos2t   2  0 4 2 解法2:由于曲线y  2xx2  1(x1)2 是以点(1,0)为圆心,以1为半径的上半圆 1  周,它与直线x1和y 0所围图形的面积为圆面积的 ,故答案是 4 4 x1 y2 z2 (2)【答案】   . 1 4 6 【详解】曲面方程F(x,y,z)0在点(x ,y ,z )的法矢量为: 0 0 0  n{F (x ,y ,z ),F (x ,y ,z ),F (x ,y ,z )} x 0 0 0 y 0 0 0 z 0 0 0 令F(x,y,z) x2 2y2 3z2 21, 则有 F '1, -2, 22x| 2, x 1, -2, 2 F '1, -2, 24y| 8, y 1, -2, 2 F '1, -2, 26z| 12. z 1, -2, 2 x1 y2 z2 x1 y2 z2 所以曲面在点(1,2,2)处的法线方程为:   . 即   . 2 8 12 1 4 6 C (3)【答案】 y 1 C x2 2 【分析】此方程为二阶可降阶的微分方程,属于 y" f(x,y')型的微分方程. dp dp dp p 【详解】令 p y',有 y" .原方程化为:x 3p0, 3 0 dx dx dx xdp dx 分离变量: 3 p x dp dx 两端积分:  3 ln p 3ln x C 1 p x 1 从而 p e3lnxC 1 eC 1e3lnx eC 1 x 3 eC 1 3 x C 因记C eC 1 0是大于零的任意常数,上式可写成 p 2 ; 2 x3 C 记C C , p  3 ,便得方程的通解 pC x3, 3 2 x3 3 dy 即 C x3 dy C x3dx,其中C 是任意常数 dx 3 3 3 对上式再积分,得: C C  C  y C x3dx 3 x2 C  5 C , C  3   3 2 4 x2 4  5 2  所以原方程的通解为: C y 1 C x2 2 (4)【答案】1. 【详解】化增广矩阵为阶梯形,有 1 2 1  1 1 2 1  1      2 3 a2  3  0 1 a  1     1 a 2  0 0 a2 3  1     1 2 1  1     0 1 a  1   0 0 (a3)(a1)  a3   当a=−1时,系数矩阵的秩为2,而增广矩阵的秩为3,根据方程组解的判定,其系数矩 阵与增广矩阵的秩不同,因此方程组无解. 当a=3时,系数矩阵和增光矩阵的秩均为2,由方程组解的判定,系数矩阵的秩等于增 广矩阵的秩,而且小于未知量的个数,所以方程组有无穷多解. (5)【答案】2 3(由A,B独立的定义:P(AB) P(A)P(B)) 1 【详解】由题设,有P(AB) ,P(AB) P(AB) 9 因为A和B相互独立,所以A与B,A与B也相互独立.于是由 P(AB) P(AB), 有P(A)P(B) P(A)P(B) 即有 P(A)1P(B)  1P(A)P(B), 可得 P(A) P(B),P(A) P(B) 从而 P(AB) P(A)P(B)P(A) 2 1P(A)2  1 ,   9 2 解得 P(A) . 3 二、选择题 (1)【答案】A 【分析】由选项答案可知需要利用单调性证明,关键在于寻找待证的函数. 题设中已知 f(x) f '(x)g(x) f(x)g'(x)0, 想到设函数为相除的形式 . g(x) 【详解】 f(x) f '(x)g(x) f(x)g'(x) 设F(x) ,则F(x)  0, g(x) g2(x) 则F(x)在a xb时单调递减,所以对a xb,F(a) F(x) F(b),即 f (a) f(x) f(b)   g(a) g(x) g(b) 得 f (x)g(b) f(b)g(x), a xb,(A)为正确选项. (2)【答案】C 【性质】第一类曲面积分关于奇偶性和对称性的性质有: 性质1:设 f(x,y,z)在分块光滑曲面S上连续,S关于yoz平面对称,则 0 若f(x,y,z)关于x为奇函数   f(x,y,z)dS 2 f(x,y,z)dS 若f(x,y,z)关于x为偶函数  S  S1 其中S S{x0}. 1 性质2:设 f(x,y,z)在分块光滑曲面S上连续,S关于xoz平面对称,则 0 若f(x,y,z)关于y为奇函数   f(x,y,z)dS 2 f(x,y,z)dS 若f(x,y,z)关于y为偶函数  S  S1 其中S S{y0}. 1性质3:设 f(x,y,z)在分块光滑曲面S上连续,S关于xoy平面对称,则 0 若f(x,y,z)关于z为奇函数   f(x,y,z)dS 2 f(x,y,z)dS 若f(x,y,z)关于z为偶函数  S  S1 其中S S{z0}. 1 【详解】 方法1:直接法: 本题中S在xoy平面上方,关于yoz平面和xoz平面均对称,而 f (x,y,z)z对x,y 均为偶函数,则 性质1 性质2 zdS  2  zdS  4zdS S S{x0} S1 又因为在S 上将x换为y,y换为z,z换为x,S 不变(称积分区域S 关于x,y,z 1 1 1 轮换对称),从而将被积函数也作此轮换变换后,其积分的值不变,即有 4zdS 4xdS 4 ydS . 选项(C)正确. S S S 1 1 1 方法2:间接法(排除法) 曲面S关于yoz平面对称,x为x的奇函数,所以xdS 0,而xdS中x0且 S S 1 仅在yoz面上x0,从而xdS 0,(A)不成立. S 1 曲面S关于zox平面对称,y为y的奇函数,所以ydS 0,而xdS 0,所 S S 1 以(B)不成立. 曲面S关于zox平面对称,xyz为y的奇函数,所以xyzdS 0,而xyzdS 0, S S 1 所以(D)不成立.  (3)设级数u 收敛,则必收敛的级数为 ( ) n n1  u  (A) 1n n. (B) u 2. n n n1 n1   (C) (u u ). (D) (u u ). 2n1 2n n n1 n1 n1 【答案】D 【详解】   方法1:直接法. 由u 收敛,所以u 也收敛.由收敛级数的性质(如果级数u 、 n n1 n n1 n1 n1   v 分别收敛于 s 、,则级数 u v  也收敛,且其和为 s). 知 n n n n1 n1    u u u u . 选项(D)成立. n n1 n n1 n1 n1 n1 方法2:间接法. 找反例: 1   u  1 (A):取u (1)n ,级数u 收敛,但(1)n n (1)n n ln(1n) n n nln(1n) n1 n1 n1 是发散的;(关于上述结束的敛散,有下述结果:  1 收敛 当p1   ) (n1)lnp(1n) 发散 当p1 n1  (1)n    1 (B):取u  ,级数u 收敛,u 2  发散; n n n n n n1 n1 n1 (1)n1  (C):取u  ,级数u 收敛,但 n n n n1 1 1 4n1 1 u u     2n1 2n 2n1 2n 2n(2n1) n  由比较审敛法的极限形式知,级数(u u )发散. 2n1 2n n1 (4)【答案】(D) 【详解】用排除法. (A)为充分但非必要条件:若向量组,, 可由向量组,, 线性表示,则一定 1 m 1 m 可推导,, 线性无关,因为若,, 线性相关,则r,, m,于是,, 1 m 1 m 1 m 1 m 必线性相关,矛盾. 但反过来不成立,如当m=1时, (1,0)T, (0,1)T 均为单个非零 1 1 向量是线性相关的,但并不能用线性表示. 1 1 (B)为既非充分又非必要条件:如当m=1时,考虑 (1,0)T, (0,1)T 均线性无关, 1 1 但并不能由线性表示,必要性不成立;又如 (1,0)T, (0,0)T,可由线性表示, 1 1 1 1但并不线性无关,充分性也不成立. 1 (C)为充分但非必要条件:若向量组,, 与向量组,, 等价,由,, 线 1 m 1 m 1 m 性无关知,r,, r,, m, 因此,, 线性无关,充分性成立;当m 1 m 1 m 1 m =1时,考虑 (1,0)T,(0,1)T 均线性无关,但与并不是等价的,必要性不成立. 1 1 1 1 (D) 剩下(D)为正确选项. 事实上,矩阵A,, 与矩阵B ,, 等价 ⇔ 1 m 1 m r A =r B⇔r,, r,, m, 因此是向量组,, 线性无关的充要 1 m 1 m 1 m 条件. (5)【答案】B. 【详解】和不相关的充分必要条件是它们的相关系数 Cov,   0 Cov,0  D D 由协方差的性质:cov(aX bY,Z)acov(X,Z)bcov(Y,Z) 故 Cov,CovX Y,X Y CovX,XCovX,YCovY,XCovY,Y CovX,XCovY,Y  DXDY 可见 Cov,0 DXDY0 DX DY  E(X2)E(X)2  E(Y2)E(Y)2 (由方差定义DX EX2 (EX)2) 故正确选项为(B). 1 三【分析】由于极限中含有ex与 x ,故应分别求其左极限与右极限,若左极限与右极限相 等,则极限值存在且等于其极限值,否则极限不存在. 【详解】  1   1  2ex sinx 2ex sinx 2 lim   lim   11; x0   4 x   x0   4 x   1  1ex   1ex  1   1  2ex sinx 2ex sinx lim   lim  011; x0   4 x   x0   4 x    1ex   1ex  左极限与右极限相等,所以  1   2ex sinx lim  1. x0   4 x    1ex  四【详解】根据复合函数的求导公式,有 z 1  y   f 'y f ' g'    x 1 2 y  x2  2z   x    x  1 于是 fx f    y ffx f     xy  11 12  y2  1  21 22  y2  y  1  1  y   1  f   g   g        2  y2  x  x2   x2  1 x 1 y  f ' f 'xyf f  g' g" 1 y2 2 11 y3 22 x2 x3 五【详解】 方法1:(复连通条件下的封闭曲线积分) 设:(1)L 与L 是两条分段光滑的简单封闭曲线,具有相同的走向,(2)在L 与L 所包 1 2 1 2 围的有界闭区域D 与D 的内部除一些点外,P(x,y)与Q(x,y)连续并具有连续的一阶偏导 1 2 Q P 数,且  . 则 x y  P(x,y)dxQ(x,y)dy P(x,y)dxQ(x,y)dy L1 L 2 解:以点1,0为中心,R为半径的圆周的参数方程是:x 1Rcos,yRsin,逆 时针方向一周为从t 0到t 2,代入曲线积分 xdy ydx I  4x2  y2 L 由于分母很繁,计算不方便. 由曲线封闭,可以考虑使用格林公式,但在L所包围的区 域内部有点O(0,0),该点处分母为0,导致被积函数不连续,格林公式不能用.y x P y2 4x2 Q 记P  ,Q  ,且P(x,y)与Q(x,y)满足   , 4x2  y2 4x2  y2 x  4x2  y2 2 y (x,y)(0,0). 作足够小的椭圆:   x  cost L : 2 (t0,2,C取逆时针方向), 1   y sint 于是L与L 及函数P(x,y)与Q(x,y)满足“分析”中所述定理的一切条件,于是 1 xdy ydx xdy ydx I   4x2  y2 4x2  y2 L L1 而后一积分可用参数法计算   1 costcostsint (sint) 2 xdy ydx 22 2 22 I   dt  dt  4x2  y2 0 2 0 2 L 1 y x P Q 方法2:记P  ,Q  , 则  0,(x,y)(0,0). 在L内加L : 4x2  y2 4x2  y2 x y 1 椭圆4x2  y2 2的顺时针方向,则 xdy ydx xdy ydx I   LL1 4x2  y2 L 1 4x2  y2 xdy ydx 0dxdy (D由L与L 所围) L 4x2  y2 1 1 D 1 1   xdy ydx 2dxdy (D :4x2 y2 2) 2 L1 2 1 D1 2     2 2 六【详解】由题设条件,可以用高斯公式: 0 xf(x)dydzxyf(x)dzdxe2xzdxdy S xf '(x) f(x)xf(x)e2xdv    其中Ω为S所围成的有界闭区域,当S的法向量指向外时,“”中取“”;当S的法向量指 向内时,“”中取“”. 由S的任意性,知被积函数应为恒等于零的函数 即 xf '(x) f(x)xf(x)e2x 0,(x0)1  1 变形后得 f '(x)  1  f(x) e2x,(x0)  x  x 这是一阶线性非齐次微分方程, dy 利用一阶线性非齐次微分方程 P(x)yQ(x)的通解公式: dx P(x)dx P(x)dx  ye Q(x)e dxC   其通解为 (1 1 )dx  1   1 1 dx  ex  1  ex   f(x)e x  e2xe x  dxC  e2xxexdxC  ex C    x  x  x  x e2x Cex  由于lim f(x) lim 1, 故必有 lim  e2x Cex  0,(否则不能满足极 x0 x0 x  x0 限值为1),即C10, 从而C=−1. ex   因此 f (x) ex 1 . x  a  七【定义概念】幂级数a xn ,若lim n1 ,其中a ,a 是幂级数a xn 的相邻 n n a n n1 n n0 n n0 两项的系数,则该幂级数的收敛半径 1 0     R 0  0    开区间(R,R)叫做幂级数的收敛区间. 【详解】  2  1( )n n a   3n (2)n  n   3   1 lim n1 lim lim  n a x 3n1(2)n1(n1) x  2  3 n   3 1( )n1 (n1)    3  所以收敛半径为R=3,相应的收敛区间为-3,3 . 当x=3时,因为 3n 1 1 1 1     3n (2)n n 2 n n 2n 1    3  1 且 发散,由比较审敛法的极限形式,所以原级数在点x=3处发散; n n1 当x=−3 时, 由于  3n 1  3 n 2n 2n  1 1  2 n 1  n      1   , 3n (2)n n 3n (2)n 3n (2)n  n n 3n (2)n n   分别考虑两个级数,级数  1n 1 是收敛的. 又因lim  1    2  n   n ,从而 n1 n n  3  2 n 2n 1  3   1 2 n       3n (2)n n  2 n n 3 1     3  2 n   2n 1   3n 1 再由   收敛,根据比较审敛法知  收敛. 于是   3 3n (2)n n 3n (2)n n n1 n1  n1  收敛,所以原级数在点x=−3处收敛. 所以收敛域为[3,3). 八【详解】本题为一物理应用题,由于重心坐标是相对某一些坐标系而言的,因此本题的关 键是建立适当的坐标系,一般来说,可考虑选取球心或固定点P 作为坐标原点,相应的有 0 两种求解方法. 方法1:记所考虑的球体为Ω,以Ω的球心为坐标原点O, 射线OP 为正x轴建立直角坐标系, 0 则球面方程为: x2  y2 z2  R2,点 P 的坐标为R,0,0,设Ω的重心位置为 0 (x,y,z) ,由对称性,得 y 0,z 0, 设为 上点 (x,y,z) 处的密度,按题设k  xR 2  y2z2,则   xdV xk xR 2  y2z2dV   x    dV k xR 2  y2 z2dV     而 kxR2  y2z2dV    k  x2  y2 z2 R2 dV 2kRzdV   k  x2 y2 z2 dV kR2dV 0 (利用奇函数的对称性)   8k  2d  2d R r2r2sindr 4k R5 0 0 0 3 (利用奇偶函数的对称性轮换对称性球体体积公式) 8k    2sind R r4dr 4k R5 2 0 0 3 R   r5 4k 8k 2sind   R5 (牛-莱公式) 2 0  5  3 0   R5 4k 8k 2sind  R5 2 0 5 3 4kR5  4k  cos 2  R5 (牛-莱公式) 5 0 3 4kR5 4k 32kR5   R5  5 3 15 kxxR2  y2 z2dV    kx(x2 y2 z2 R2)2kRx2dV   其中第一个积分的被积函数为z的奇函数,对称于xOy平面,所以该积分值为零, 又由于关于x,y,z轮换对称,所以z2dV x2dV y2dV    从而 1 1 2  R 4 x2dV  (x2  y2 z2)dV   d d r2r2sindr  R5 3 3 0 0 o 15  于是 kxxR2  y2 z2dV 2kR 4 R5 8k R6   15 15  R R 故x . 因此,球体Ω的重心位置为( ,0,0) 4 4 方法2:   用Ω表示所考虑的球体,O表示球心,以点P 选为原点,射线PO为正z轴建立直 0 0 角坐标系,则球面的方程为x2 y2 z2 2Rz,设Ω的重心位置为(x,y,z),由对称 性,得x0,y 0,设为上点(x,y,z)处的密度,按题设kx2 y2 z2   zdV kz  x2 y2 z2 dV 所以 z     dV k  x2  y2 z2 dV   因为   x2 y2 z2 dV 4  2d  2d 2Rcos r2r2sindr  32 R5 0 0 0 15    z  x2  y2 z2 dV 42d2d 2Rcos r5sincosdr 0 0 0  64  8  R62cos7sind R6 3 0 3 5 5R 故z  R. 因此,球体Ω的重心位置为(0,0, ). 4 4 九【证明】x 方法1:令F(x) f(t)dt,0 x,有F(0)0,由题设有F()0. 0  又由题设 f (x)cosxdx 0,用分部积分,有 0   0 f(x)cosxdx cosxdF(x) 0 0   F(x)cosx  F(x)sinxdx  F(x)sinxdx 0 0 0 由积分中值定理知,存在(0,)使  0  F(x)sinxdx F()sin(0) 0 因为(0,),sin0,所以推知存在(0,), 使得F()0 . 再在区间 [0,] 与 [,] 上 对 F(x) 用 罗 尔 定 理 , 推 知 存 在 (0,) , (,) 使 1 2 F()0,F()0,即 f()0, f()0 1 2 1 2  方法2:由 f (x)dx 0及积分中值定理知,存在(0,),使 f()0. 若在区间(0,) 1 1 0 内 f(x)仅有一个零点,则在区间(0,)与(,)内 f(x)异号. 不妨设在(0,)内 1 1 1 1   f(x)0,在(,)内 f(x)0. 于是由 f(x)dx 0, f(x)cosxdx0,有 1 0 0    0 f(x)cosxdx f(x)cosdx f(x)(cosxcos)dx 1 1 0 0 0  1 f(x)(cosxcos)dx  f(x)(cosxcos)dx 1 1 0 1 当 0x 时, cosxcos , f(x)(cosxcos)0 ;当x时, 1 1 1 1 cosxcos,仍有 f(x)(cosxcos)0,得到:00. 矛盾,此矛盾证明了 f(x) 1 1 在(0,)仅有1个零点的假设不正确,故在(0,)内 f(x)至少有2个不同的零点. 十【分析】本题为解矩阵方程问题,相当于是未知矩阵,其一般原则是先简化,再计算,根 据题设等式,可先右乘A ,再左乘A*,尽量不去计算A1 【详解】方法1:由 AA*  A*A A E, 知 A*  A n1 , 因此有8 A*  A 3 , 于是 A 2 ,所以 A*A2 等式ABA1  BA13E两边先右乘 A,得 ABA1A BA1A3EA 再左乘A*,得 A*ABA1A A*BA1A A*3EA化简 | A|BE  A*BE3A*A 2B A*B3| A|E 2B A*B6E   2EA* B6E, 于是 B  2EA*1 1 1 0 0 0   1 0 0 0  6 0 0 0      0 1 0 0   0 1 0 0   0 6 0 0 6  61 0 1 0    1 0 1 0  6 0 6 0      1 1    0 3 0 6  0 0   0 3 0 1  2 6 (由初等变换法求得) 方法2: A 2(同解1),由 AA*  A*A A E, 得  1 0 0 0  2 0 0 0     0 1 0 0 0 2 0 0     A A  A*1 2  A*1 21 0 1 0 2 0 2 0,     3 1 3 1  0 0   0 0   8 8  4 4 (由初等变换法求得),可见 A−E 为逆矩阵. 于是,由AEBA1 3E, 有B3AE1A,而  1 0 0 0  1 1 0 0 0      0 1 0 0 0 1 0 0     AE1 2 0 1 0  2 0 1 0 ,     3 3 3     0 0  0 1 0   4 4  4 因此 1 0 0 0  2 0 0 0 6 0 0 0     0 1 0 0 0 2 0 0      0 6 0 0 B32 0 1 0 2 0 2 0   6 0 6 0     3 3 1    0 1 0   0 0  0 3 0 1  4 4 4 方法3:由题设条件ABA1  BA13E,得AEBA1 3E. 知:AE,B均是可逆矩阵,且 1 B3AE1 A3A1AE 1 3  EA11 3  E A*      A  由 A*  A n1 ,其中n4, A* 8,得 A 2故 1 1 B3  E A*   3   2EA*   6  2EA*1  2   2  其中 1 0 0 0  1 0 0 0      0 1 0 0 2EA*  0 1 0 0 ,  2EA*1   1 0 1 0  , 1 0 1 0      1 1    0 3 0 6 0 0   2 6  1 0 0 0  6 0 0 0      0 1 0 0 0 6 0 0 所以 B6  2EA*1 6    1 0 1 0  6 0 6 0       0 3 0 6 0 3 0 1 1 21  十一【详解】(1)由题意, x  y 是非熟练工人数,  x  y 是年终由非熟练工人 6 n n 56 n n  5 变成的熟练工人数, x 是年初支援其他部门后的熟练工人数,根据年终熟练工的人数列 6 n 出等式(1),根据年终非熟练工人人数列出等式(2)得  5 21   5 1 2   x n1  6 x n  5  6 x n  y n   (1)   x n1  6 x n  15 x n  5 y n    31   1 3 y  x  y (2) y  x  y   n1 5  6 n n    n1 10 n 5 n  9 2  9 2 x  x  y   n1 10 n 5 n x   10 5 x   ,即  n1   n   y  1 x  3 y  y n1    1 3   y n   n1 10 n 5 n 10 5 可见  9 2   10 5 A .  1 3   10 5 (2) 把, 作为列向量写成矩阵的形式(,),因为其行列式 1 2 1 2 4 1 (,)  50 1 2 1 1矩阵为满秩,由矩阵的秩和向量的关系可见,线性无关. 1 2 又  9 2  1   10 5  4 4  2  1 A 1   1 3    1     1    1 , A 2   1    2  2 ,     10 5  2  由特征值、特征向量的定义,得为A的属于特征值1的特征向量,为A 的属于特征 1 1 2 1 值  特征向量. 2 2 (3)因为 1 x  x  x  x   2   n1  A n  A2  n1  An  1  An   y   y   y   y  1 n1 n n1 1   2 因此只要计算An即可. 令 4 1 P, ,   1 2 1 1      则由P1AP  1 , 有 A P  1  P1,     2 2 于是  1 n 1 n  n 1  1 4   4    An P     1  2    P1   1 4  1 1          1 2    n       1 4  1 1    1 5   1    1 2    n 14    2 1    n     2 2  其中求逆矩阵的过程为: 4 1 1 0 1 1 0 1      1 1 0 1 4 1 1 0  4 4 1 1 0 1  0 1    1 1  1 0 5 5   1 1  4 1   0  1   0 1    0 1 4 1  4 4  5 5     5 5 4 4 4 1 1  5 5  1 4 4 所以         1 1   4 1  54 1 -  5 5 因此 1  1 n 83      x n1   An   2   1  2   y n1    1  10 23 1 n  2    2  十二【分析】此分布为一典型分布——几何分布. 【详解】显然X 是一个离散型随机变量. 取值范围为1,2,3,……现在关键在于建立X 的 分布律. 生产线上每个产品的生产可理解为一个试验. 各个产品合格与否是相互独立的,可 以看成是各次试验是相互独立的.生产了个产品停机,应该理解为第 X 个产品是不合格产 品,而前X 1个产品则必为合格产品,这就不难写出分布律. 记q 1 p,X 的概率分布为PX kqk1p,(k 1,2). 由离散型随机变量的数 学期望定义得,X 的数学期望为   E(X)  kPX k  kqk1p p   qk  p    qk   p  q   1     k1 k1 k1  k1   1q p 因为          q   2p E(X2)k2PX kk2qk1p pq  qk    p   k1 k1    k1     1q2  p2 (因为幂级数在其收敛区间内可逐项求导的性质,上面求E(X)和E(X2)时都用到了先求导 化为易求和的级数,再积分还原的过程.) 故 X 的方差为 2 p 1 1 p D(X) E(X2)E(X)2    p2 p2 p2 十三【概念】最大似然估计,实质上就是找出使似然函数最大的那个参数,问题的关键在于 构造似然函数. 似然函数的定义: 设x ,x ,...,x 是相应于样本X ,X ,...,X 的一组观测值,则似然函数为: 1 2 n 1 2 n n L() f(x ,x ,,x ;) f(x;) f(x ;)f(x ;) f(x ;) 1 2 n i 1 2 n i1 【详解】似然函数为 n n  2x i  L() L(x ,x ,,x ,) f(x;) 2ne i1 ,x(i 1,2,,n) 1 2 n i i1  0, 其他 n 当x (i 1,2,,n)时,L()0, 所以lnL() nln22x . i i i1 (由于lnL是单调递增函数,L取最大与lnL取最大取到的是一致的,而加对数后能把连 乘转换成累加,这样求导,找极值比较方便) 而 dlnL() 2n0, d 所以L()单调增加. 要使得L()值最大,是越大越好. 又由于必须满足x (i 1,2,,n),因此当取x ,x ,,x 中的最小值时, i 1 2 n x (i 1,2,,n)恒成立,且此时L()取最大值,所以的最大似然估计值为 i  min(x ,x ,,x ) 1 2 n