当前位置:首页>文档>2021数学三解析公众号,西米研考_27考研真题_考研数学一、二、三历年真题+考研数学资料(1994-2026)_考研数学真题(1987-2026)_考研数学历年真题(1987-2024)_考研数学三真题1987-2024

2021数学三解析公众号,西米研考_27考研真题_考研数学一、二、三历年真题+考研数学资料(1994-2026)_考研数学真题(1987-2026)_考研数学历年真题(1987-2024)_考研数学三真题1987-2024

  • 2026-04-16 14:13:06 2026-04-16 14:04:49

文档预览

2021数学三解析公众号,西米研考_27考研真题_考研数学一、二、三历年真题+考研数学资料(1994-2026)_考研数学真题(1987-2026)_考研数学历年真题(1987-2024)_考研数学三真题1987-2024
2021数学三解析公众号,西米研考_27考研真题_考研数学一、二、三历年真题+考研数学资料(1994-2026)_考研数学真题(1987-2026)_考研数学历年真题(1987-2024)_考研数学三真题1987-2024
2021数学三解析公众号,西米研考_27考研真题_考研数学一、二、三历年真题+考研数学资料(1994-2026)_考研数学真题(1987-2026)_考研数学历年真题(1987-2024)_考研数学三真题1987-2024
2021数学三解析公众号,西米研考_27考研真题_考研数学一、二、三历年真题+考研数学资料(1994-2026)_考研数学真题(1987-2026)_考研数学历年真题(1987-2024)_考研数学三真题1987-2024
2021数学三解析公众号,西米研考_27考研真题_考研数学一、二、三历年真题+考研数学资料(1994-2026)_考研数学真题(1987-2026)_考研数学历年真题(1987-2024)_考研数学三真题1987-2024
2021数学三解析公众号,西米研考_27考研真题_考研数学一、二、三历年真题+考研数学资料(1994-2026)_考研数学真题(1987-2026)_考研数学历年真题(1987-2024)_考研数学三真题1987-2024
2021数学三解析公众号,西米研考_27考研真题_考研数学一、二、三历年真题+考研数学资料(1994-2026)_考研数学真题(1987-2026)_考研数学历年真题(1987-2024)_考研数学三真题1987-2024
2021数学三解析公众号,西米研考_27考研真题_考研数学一、二、三历年真题+考研数学资料(1994-2026)_考研数学真题(1987-2026)_考研数学历年真题(1987-2024)_考研数学三真题1987-2024
2021数学三解析公众号,西米研考_27考研真题_考研数学一、二、三历年真题+考研数学资料(1994-2026)_考研数学真题(1987-2026)_考研数学历年真题(1987-2024)_考研数学三真题1987-2024
2021数学三解析公众号,西米研考_27考研真题_考研数学一、二、三历年真题+考研数学资料(1994-2026)_考研数学真题(1987-2026)_考研数学历年真题(1987-2024)_考研数学三真题1987-2024
2021数学三解析公众号,西米研考_27考研真题_考研数学一、二、三历年真题+考研数学资料(1994-2026)_考研数学真题(1987-2026)_考研数学历年真题(1987-2024)_考研数学三真题1987-2024

文档信息

文档格式
pdf
文档大小
3.720 MB
文档页数
7 页
上传时间
2026-04-16 14:04:49

文档内容

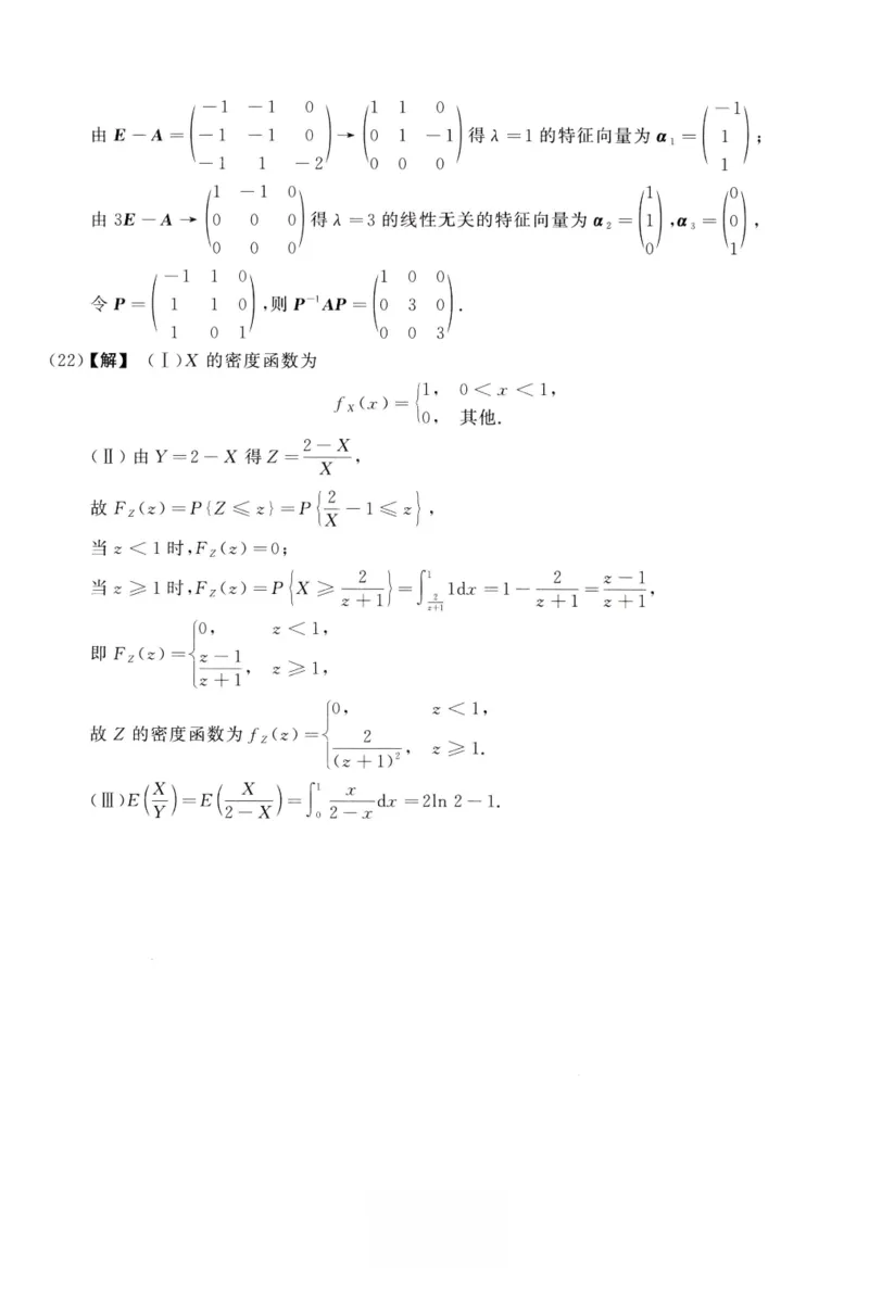
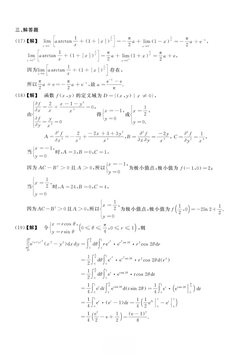
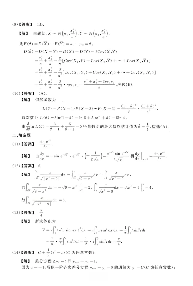
2021年数学(三)真题解析 一、选择题 (1) 【答案】(C). r^2 3 1 r~r2 3 【解】 由| (er — l)dr〜| Z3df = —jr8 (j; -* 0)得| (e‘ — l)d?为d的高阶无穷小, 4 J o Jo J o 应选(C). (2) 【答案】(D). eJ——1 【解】 因为lim/1 (工)=lim--------= 1 =/(0),所以/(^ )在z =0处连续; 由応空2二£02= 恤 ----- =[曲匚二[二工=Mm笃二得厂(0)=斗工0, x->o x*o- 工一0 x*o- Lx Z L jc jc jc 应选(D). ⑶【答案】(A). 【解】 因为f⑺ =g -61n工有两个零点,所以由罗尔定理,存在c E (0, +^),使得 /"'(c) = a------=0,从而 b = ac > 0. c 令 f'Q)=a—X= 0 得工=2, x a 因为/'"(•z)=£>0,所以工=色为函数/(J? ) =ax — 61n jc 的最小值点,最小值为 a jc f(^=b-b\n y =6(1 - In y), 又 /(0 + 0)=+oo,/(+oo)=+oo, 所以/(jc ) =ax — 61n j?有两个零点等价于b (1 — In —) V 0,即® > e,应选(A). \ a ' a (4) 【答案】(C). 【解】/(j: + l,eJ) —x{x +1)2两边对工求导得 /i (j: + 1 ,ex ) + eT f 2 (x + 1 ,e')=(工 + l)2 -\~2x{x + 1), 取 z = 0 得 /;(1,1)+兀(1,1)=1; f{jc ,jr2) — 2j;2ln x两边对z求导得 (jc ,x2 ) + f z (jc ,x2) = 4z In 工 + 2工, 取工=1 得九'(1,1) +2兀(1,1) = 2, 解得 /i( 1,1)= 0,形(1,1) =1,故 d/(l, 1) — dj/,应选(C). (5) 【答案】(B). 【解】 将二次型展开得f(JC I,攵2“3)= 2 +2n +2工1工3 +2工2広3, /° 1 其矩阵为A= 1 2 1 ,由 '1 1()/A 一 1 — 1 1 0 0 AE - A | = —1 A — 2 — 1 =(A +1) —1 A 一 2 — 2 =(入 +1)(入2 一3入)=0 -1 - 1 A —1 — 1 A — 1 得入1 = — 1,入2 = 0,入3 = 3,应选(E). (6) 【答案】(D). 【解】 因为A=(a】 ,a2,a3,a4)为正交矩阵,所以a, ,a2,a3,a4两两正交且为单位向量, 因为a! ,a2 »«3线性无关,所以r(B) 3 < 4, 1卜0,得 由 B (a! + a2 + a.3) +a2 +a3为方程组BX=P的一个特解, 再由Ba, =0得g为BX=0的基础解系, 故方程组BX =p的通解为X = a! + a2 + a3 + 4,应选(D). (7) 【答案】(C) 卜)不对 【解】(A)选项:2 1 1 0 (B)选项:2 -1 ,(B)不对 3 2 0 /I 0 -1 1 0 1 (C)选项:2 -1 0 1 -3 0 1 3 \一 3 2 0 0 0 0 0 1 1 0 0 0 1 0 0 0 0 应选(C). (8)【答案】(D). 【解】由P(A | B) =P(A)得 P(AB) =P(A)P(B),即事件 独立, P(AB) P(A)P(B) 于是P(A | B) ==-------=——=P (A), (A)正确; P(B) P(B) 由 P(A | B) > P(A)得 P(AB) > P(A)P(B), rl - , -x P(A 巨)1-P(A)-F(B)+P(AB) 从而P(A | B)=——— 1 -P(B) P(B) 1-P(A)-P(B)+P(A)P(B) i Q—、 小、工询 >----------- ; ”,•&-----------------= 1 — P(A)=F(A),(E)正确; 1 - P(B) 由 P(A|B)>P(A!B)得需〉—P(AE) ,整理得 P(AB) >P(A)F(B), 1 -P(B) 则 P(A|B)=^2>^2£^2 = P(A),(C)正确,应选(D). 人」 1 P(B) P(B)(9)【答案】(B). 【解】由题知,X〜N ,Y〜N ,— 、 n 则 E(0) =E(X) —E(Y) =“1 2 =0 D@) =D(X - Y) = D(X) + D(Y) - 2Cov(X ,Y) (y\ 2 r — _ — =—+ ———[c°v(X] ,y)+ Cov(x2,y)4-------卜 Cov(xn ,y)] n n n (71 o\ 2 r =」+ 丄一—[CovCXi ,Y]) + Cov(X2 ,Y2) -------F Cov(X„ n n n 2 2 D o 九 2 62 十I 恥2 ―ZQCg宀w/门、 =6--- --I1------------r • npa! a2 =------------------------,应选(匕). n n n n (10)【答案】(A). 【解】似然函数为 / -i _ n \ 3 (1+0)5 L(9) =P{X =1}P{X =3}・“P{X =2}= : 8 45 取对数 In L(0) = 31n( 1 — 3) — In 8 + 51n( 1 + 0) — 51n 4, 由 2】nL(0) 3 +' 拜53 =o得参数e的最大似然估计值为心右应选(A). dC7 e — i 二、填空题 sin e 1 (ii)[答案】 2e 由学——sin 1 已一77sin尹 L sin e_1 【解】 e —*J~X • e— 得譽 】 djc 2 -fx 2 \J~x 2e (12)【答案】 6. 工 '5 '3 5 X 【解】 ....... ..............djc ------....-djr + ______dx 站丿&2—9| 岳丿9_工 2 3 Jx2 — 9 '3 x 厂|3 =2, '5 5 而 -dx = Jx2 — 9 =4, 兵丿9 一 乂 2 3 JX 2 — 9 3 ”5 X 故 (13) 【答案】手. 4 【解】所求体积为 V = K ( J~x sin tcjt )2 djr = tc | x sin2 nx dx = — | Zsin2^ dz J 0 J 0 7T J 0 =—• sinSdt = £ • 2「sinLck =兰. 兀 2 J o 2 J o 4 (14) 【答案】C-hj(t2 ~t)(C为任意常数). 【解】 差分方程厶%=/即 %+1 — y t =t 今 因为a = —1,所以一阶齐次差分方程x+i — % =0的通解为yt =C(C为任意常数);令j^r+i — yt =t的特解为y* =at“ + bt,代入得 a (t + 1 )2 + b(t + 1) 一 at2 — bt = t, 则 2a = 1 ,a + b = 0 ,解得 a = * =----, 故差分方程的通解为y =c + *a 2 -n(c为任意常数). (15)【答案】 一5. J? X 1 0 0 0 1 0 1 X 2 -3 1 — JC —x 2 — 3 【解】于(工)= 2 1 X -3 1 1 — x2 x 一 3 2 -1 1 x 一 4 3 —1 一 3C 1 X — 4 1 — JC —x 一 3 1 —x 0 1 1 _ X2 -3 = X2 1 _ x2 3x2 — 3 3 —1 一 X x — 4 4 +工 —1 一 X 4工+8 =(1 —j;2)(4jc + 8) + (1 + j7)(3j?2 — 3) + 工[/(4工 + 8)—(工 + 4) (3j:2 — 3)], 整理得工3项的系数为一5. (16)[答案】 g. 0 【解】(X,Y)的可能取值为(0,0),(0,1),(1,0),(1,1), 13 3 p{x=o,y = o}=—X —, Z 0 10 12 1 P{x=o,y = i} =-X- = -, 12 1 P{X=l,y = 0}=—X —=—, Zoo 1 Q 3 P{X^l,Y = l}^-X-=-, ;得… *,e(x“*, d(x)=4; 由 X 2 2 ' I 0 1 \ 由 Y 〜 丄 丄 得 E(Y) =y,E(Y2) = j,D(Y) ;|^(xy)=A,Cov(x,y)=E(xy)_£(x)E(y)=A 1 _ 1 T_20 'io io, 1 则 20 pXY 1 1 Tx7三、解答题 (17)【解】lim a arctan- 1 - ---p (1 + | x \ ) 1 J ' -ya + Iim(l—工)+ 7T 十I e -1 , x •zf 0 ] 1' + lim(l+^)^ =£a + lim a arctan-----F (1+ | x |)" =尹 e, r*0- + - x Z2 •Z-*•()+ i 因为lim a arctan -----F (1+ | x |)T 存在, Hf 0 JC 7T 訴+「,故 q 6 1 _e 所以—ci + e =— / Z 7t (18)【解】 函数,y)的定义域为D = {(z,y) | x HO}, -a -f =--2 - --j:- -— 1 — y2 =0, 丄 3x x JC § X = 一 1, 由』 得 3f y n y =0 =飞=° 9 =0. 3y JC a2 f -A + -2x+3 + 3y2 D_ d2f _ -2y 32f 1 A -」 3jc 2 X 4 ,~ djcdy _ 工3,U~dy2 工~2 x = _ ] 9 当 时,A =3 ,B = 0,C=l, V =0 =一] 因为AC-B2 > 0且A >0,所以 _0 '为极小值点,极小值为/(-1,0) =2 y "丄, 当 2 时,A =24: B = 0,C = 4, V =0 因为AC-B2> 0且A>0,所以 "为极小值点,极小值为/(y,0) =一21n 2 + —. J =0 x = r cos 9, (19)[解】令 0<^Cy,0=C^~^ =Cz"+i 由夕”⑴ 鼎刁得 C 看 E ] T 故片⑺=我 3吕C n • 00 卄 云+1】 (U)对于级数工广丄■,、,由lim 1得收敛半径R =1, 当工=土 1时9级数工 (士 1)”+1 ( 刍\=1,故收敛域为[一1,叮. n(72 + 1) Z2(72 + 1 ) n = l n = 1 x "+i 令 S (工) =Y ,则 肓"("+ 1) 8 x 卄 "十1 °° 8 卄] 00 n 00 n (工)=工—~~ 1 =工 S /丄 -1 2 /丿 /丿 ' + 1) n 铝 "I +1 ” =1 „ = 1 ”=1 " ”=1 " =(1 一 x )ln(l — jr) + (— VI), 1, •Z = 1, 故S (攵)= (1 — x )ln(l 一 x ) + 厂 -K 工V 1. A — 2 -1 0 (21)[解】由 |AE-A|= -1 A — 2 0 =(廿一 4入+3)(入一小=0得 —1 一 a X-b 矩阵的特征值为A ! =1,入2 = 3,入3 =b. 情形一:b = 1 因为A相似于对角矩阵,所以r(E-A)=l, -1 °\ r1 -1 °\ 4 0 而 E —A = T -1 0 - a — 1 0 | ,故 a = 1, J ' 0 1 —a o' 0 1 1 花十线性无关蹄征向量和 由E — A 0 0 0 0 Q' 1 1 一1 (] 0 — 由 3E — A = — 11。 hl 0 1 -1 得入=3的特征向量为 1 - 1 2 丿 'o 0 / 0 1 -1 0 /I 0 °\ J 令卩=1 0 】 ,则 P ^AP = 0 1 J 'o 3/ ' 0 1 0 情形—: b =3 因为A相似于对角矩阵,所以厂(3E —A) =1, / 1 -1 0 1 -1 [故 而 3E - A = _ 1 1 0 0 —a 一 1 a = — 1. 1 一 a 0 0 0/ ■ -1 _ 1 0 \ I1 1 J得"】的待征向量为 由 E _ A =--1 -1 0 亠° 1 \_ —2丿 'o -1 1 0 卩 -1 0 由 3E — A — 0 0 0 得 入=3 E勺纟 '0 0 0 1 /! 0 0 令 1 0 ,则 P lAP = ° 3 0 ' 1 1' 'o 0 0 3 (22)【解】(I)X的密度函数为 0 Vh V 1, 其他. (U)由丫 = 2 — X 得乙=—— 故 Fz(z)=P{Z£z}=P 恃, 当 z < 1 时,Fz(z) =0; 吕 = ^ 当z 上1 时,Fz(z)=P(X U ld^ =1—— I Z + 1) J 缶 Z + 1 z + 1 [0, z < 1, 即 Fz (?) =( z — 1 trr z>1, [0, z < 1, 故Z的密度函数为fz(z) =< 2 、 : 土山 (ni)E(9=E(M)= ] =21n2 —1.