当前位置:首页>文档>第13讲基本不等式(解析版)_02高考数学_通用版(老高考)复习资料_2023年复习资料_一轮复习_通用版2023届数学高考一轮教案(Word版,含解析)

第13讲基本不等式(解析版)_02高考数学_通用版(老高考)复习资料_2023年复习资料_一轮复习_通用版2023届数学高考一轮教案(Word版,含解析)

  • 2026-04-18 00:33:00 2026-04-18 00:30:11

文档预览

第13讲基本不等式(解析版)_02高考数学_通用版(老高考)复习资料_2023年复习资料_一轮复习_通用版2023届数学高考一轮教案(Word版,含解析)
第13讲基本不等式(解析版)_02高考数学_通用版(老高考)复习资料_2023年复习资料_一轮复习_通用版2023届数学高考一轮教案(Word版,含解析)
第13讲基本不等式(解析版)_02高考数学_通用版(老高考)复习资料_2023年复习资料_一轮复习_通用版2023届数学高考一轮教案(Word版,含解析)
第13讲基本不等式(解析版)_02高考数学_通用版(老高考)复习资料_2023年复习资料_一轮复习_通用版2023届数学高考一轮教案(Word版,含解析)
第13讲基本不等式(解析版)_02高考数学_通用版(老高考)复习资料_2023年复习资料_一轮复习_通用版2023届数学高考一轮教案(Word版,含解析)
第13讲基本不等式(解析版)_02高考数学_通用版(老高考)复习资料_2023年复习资料_一轮复习_通用版2023届数学高考一轮教案(Word版,含解析)
第13讲基本不等式(解析版)_02高考数学_通用版(老高考)复习资料_2023年复习资料_一轮复习_通用版2023届数学高考一轮教案(Word版,含解析)
第13讲基本不等式(解析版)_02高考数学_通用版(老高考)复习资料_2023年复习资料_一轮复习_通用版2023届数学高考一轮教案(Word版,含解析)
第13讲基本不等式(解析版)_02高考数学_通用版(老高考)复习资料_2023年复习资料_一轮复习_通用版2023届数学高考一轮教案(Word版,含解析)
第13讲基本不等式(解析版)_02高考数学_通用版(老高考)复习资料_2023年复习资料_一轮复习_通用版2023届数学高考一轮教案(Word版,含解析)
第13讲基本不等式(解析版)_02高考数学_通用版(老高考)复习资料_2023年复习资料_一轮复习_通用版2023届数学高考一轮教案(Word版,含解析)
第13讲基本不等式(解析版)_02高考数学_通用版(老高考)复习资料_2023年复习资料_一轮复习_通用版2023届数学高考一轮教案(Word版,含解析)
第13讲基本不等式(解析版)_02高考数学_通用版(老高考)复习资料_2023年复习资料_一轮复习_通用版2023届数学高考一轮教案(Word版,含解析)
第13讲基本不等式(解析版)_02高考数学_通用版(老高考)复习资料_2023年复习资料_一轮复习_通用版2023届数学高考一轮教案(Word版,含解析)
第13讲基本不等式(解析版)_02高考数学_通用版(老高考)复习资料_2023年复习资料_一轮复习_通用版2023届数学高考一轮教案(Word版,含解析)
第13讲基本不等式(解析版)_02高考数学_通用版(老高考)复习资料_2023年复习资料_一轮复习_通用版2023届数学高考一轮教案(Word版,含解析)
第13讲基本不等式(解析版)_02高考数学_通用版(老高考)复习资料_2023年复习资料_一轮复习_通用版2023届数学高考一轮教案(Word版,含解析)
第13讲基本不等式(解析版)_02高考数学_通用版(老高考)复习资料_2023年复习资料_一轮复习_通用版2023届数学高考一轮教案(Word版,含解析)
第13讲基本不等式(解析版)_02高考数学_通用版(老高考)复习资料_2023年复习资料_一轮复习_通用版2023届数学高考一轮教案(Word版,含解析)
第13讲基本不等式(解析版)_02高考数学_通用版(老高考)复习资料_2023年复习资料_一轮复习_通用版2023届数学高考一轮教案(Word版,含解析)
第13讲基本不等式(解析版)_02高考数学_通用版(老高考)复习资料_2023年复习资料_一轮复习_通用版2023届数学高考一轮教案(Word版,含解析)
第13讲基本不等式(解析版)_02高考数学_通用版(老高考)复习资料_2023年复习资料_一轮复习_通用版2023届数学高考一轮教案(Word版,含解析)
第13讲基本不等式(解析版)_02高考数学_通用版(老高考)复习资料_2023年复习资料_一轮复习_通用版2023届数学高考一轮教案(Word版,含解析)
第13讲基本不等式(解析版)_02高考数学_通用版(老高考)复习资料_2023年复习资料_一轮复习_通用版2023届数学高考一轮教案(Word版,含解析)
第13讲基本不等式(解析版)_02高考数学_通用版(老高考)复习资料_2023年复习资料_一轮复习_通用版2023届数学高考一轮教案(Word版,含解析)
第13讲基本不等式(解析版)_02高考数学_通用版(老高考)复习资料_2023年复习资料_一轮复习_通用版2023届数学高考一轮教案(Word版,含解析)
第13讲基本不等式(解析版)_02高考数学_通用版(老高考)复习资料_2023年复习资料_一轮复习_通用版2023届数学高考一轮教案(Word版,含解析)
第13讲基本不等式(解析版)_02高考数学_通用版(老高考)复习资料_2023年复习资料_一轮复习_通用版2023届数学高考一轮教案(Word版,含解析)
第13讲基本不等式(解析版)_02高考数学_通用版(老高考)复习资料_2023年复习资料_一轮复习_通用版2023届数学高考一轮教案(Word版,含解析)
第13讲基本不等式(解析版)_02高考数学_通用版(老高考)复习资料_2023年复习资料_一轮复习_通用版2023届数学高考一轮教案(Word版,含解析)
第13讲基本不等式(解析版)_02高考数学_通用版(老高考)复习资料_2023年复习资料_一轮复习_通用版2023届数学高考一轮教案(Word版,含解析)
第13讲基本不等式(解析版)_02高考数学_通用版(老高考)复习资料_2023年复习资料_一轮复习_通用版2023届数学高考一轮教案(Word版,含解析)
第13讲基本不等式(解析版)_02高考数学_通用版(老高考)复习资料_2023年复习资料_一轮复习_通用版2023届数学高考一轮教案(Word版,含解析)
第13讲基本不等式(解析版)_02高考数学_通用版(老高考)复习资料_2023年复习资料_一轮复习_通用版2023届数学高考一轮教案(Word版,含解析)
第13讲基本不等式(解析版)_02高考数学_通用版(老高考)复习资料_2023年复习资料_一轮复习_通用版2023届数学高考一轮教案(Word版,含解析)
第13讲基本不等式(解析版)_02高考数学_通用版(老高考)复习资料_2023年复习资料_一轮复习_通用版2023届数学高考一轮教案(Word版,含解析)
第13讲基本不等式(解析版)_02高考数学_通用版(老高考)复习资料_2023年复习资料_一轮复习_通用版2023届数学高考一轮教案(Word版,含解析)
第13讲基本不等式(解析版)_02高考数学_通用版(老高考)复习资料_2023年复习资料_一轮复习_通用版2023届数学高考一轮教案(Word版,含解析)

文档信息

文档格式
docx
文档大小
0.818 MB
文档页数
34 页
上传时间
2026-04-18 00:30:11

文档内容

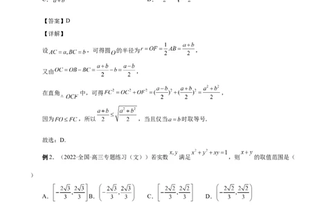
第13讲 基本不等式 【知识点总结】 1. 几个重要的不等式 (1) (2)基本不等式:如果 ,则 (当且仅当“ ”时取“ ”). 特例: 同号 . ) (3)其他变形: ① (沟通两和 与两平方和 的不等关系式) ② (沟通两积 与两平方和 的不等关系式) ③ (沟通两积 与两和 的不等关系式) ④重要不等式串: 即 调和平均值 几何平均值 算数平均值 平方平均值(注意等号成立的条件). 2. 均值定理 已知 . (1)如果 (定值),则 (当且仅当“ ”时取“=”).即“和为定值, 积有最大值”. (2)如果 (定值),则 (当且仅当“ ”时取“=”).即积为定值,和有 最小值”. 【典型例题】 例1.(2022·江苏·高三专题练习)《几何原本》卷2的几何代数法(以几何方法研究代数问题)成了 后世西方数学家处理问题的重要依据,通过这一原理,很多的代数的公理或定理都能够通过图形实现证明, 也称之为无字证明.现有如图所示图形,点 在半圆 上,点 在直径 上,且 ,设 , ,则该图形可以完成的无字证明为( )A. B. C. D. 【答案】D 【详解】 设 ,可得圆 的半径为 , 又由 , 在直角 中,可得 , 因为 ,所以 ,当且仅当 时取等号. 故选:D. 例2.(2022·全国·高三专题练习(文))若实数 满足 ,则 的取值范围是( ) A. B. C. D. 【答案】A 【详解】 解: , 又 , ,令 ,则 , ,即 ,当且仅当 时,取等号, 的取值范围是 , . 故选:A.例3.(2022·全国·高三专题练习)已知a,b,c均为正数,且abc=4(a+b),则a+b+c的最小值为 ( ) A.5 B.6 C.7 D.8 【答案】D 【详解】 由a,b,c均为正数,abc=4(a+b),得c= , 代入得a+b+c=a+b+ = + ≥2 +2 =8, 当且仅当a=b=2时,等号成立, 所以a+b+c的最小值为8. 故选:D 例4.(2022·全国·高三专题练习)若 , , ,则 的取值范围是( ) A. , B. C. , D. 【答案】A 【详解】 因为 , 所以 , 即 ,当且仅当 ,即 时取“ ”, 所以 的取值范围是 , . 故选:A. 例5.(2021·山西大同·高三阶段练习(理))已知点 在直线 上,则 的最小值 为( ) A.2 B. C. D.4 【答案】C 【详解】∵点 在直线 上, ∴ , 所以当且仅当 时,等号成立 故选:C. 例6.(2021·四川·乐山市教育科学研究所一模(文))已知 , ,且 ,则 的最小值为( ) A. B. C. D. 【答案】A 【详解】 由题可知 ,乘“ ”得 ,当且仅当 时,取等号,则 的最小值为 . 故选:A 例7.(2021·贵州遵义·高三阶段练习(文))已知a,b为正实数,且满足 ,则 的最 小值为( ) A.2 B. C.4 D. 【答案】C 【详解】 由 ,可得 , , 当且仅当 且 ,即 时等号成立. 故选:C. 例8.(2021·重庆·西南大学附中高三阶段练习)已知 ,则 的最大值为( ) A.1 B.2 C.3 D.4 【答案】C【详解】 解:因为 ,所以 , 即 ,则 , 所以 ,又 ,所以 ,所以 最大为3.故选:C. 例9.(2021·江西·高三阶段练习(理))已知 、 ,若 恒成立,则实数 的取 值范围为( ) A. B. C. D. 【答案】D 【详解】 因为 、 ,由已知可得 , 因为 ,当且仅当 时等号成立, 故实数 的取值范围为 , 故选:D. 【技能提升训练】 一、单选题 1.(2022·全国·高三专题练习(理))已知函数 在 时取得最小值,则 等于( ) A.6 B.8 C.16 D.36 【答案】D 【分析】 利用基本不等式“一正,二定,三相等”求解即可 【详解】 因为 ,故 ,当且仅当 ,即 时取等号, 故 故选:D 【点睛】均值不等式 : 一正: ,二定: 为定值,三相等:当且仅当 时等号成立 2.(2021·黑龙江·大庆实验中学高三阶段练习(文))三国时期赵爽所制的弦图由四个全等的直角三 角形构成,该图可用来解释下列哪个不等式( )A.如果 ,那么 ; B.如果 ,那么 ; C.对任意实数 和 ,有 ,当且仅当 时等号成立; D.如果 , ,那么 . 【答案】C 【分析】 设图中直角三角形的直角边长分别为 ,则斜边长为 ,进而可表示出阴影面积以及外围正 方形的面积,由图可得结果. 【详解】 设图中全等的直角三角形的直角边长分别为 ,则斜边长为 . 图中四个直角三角形的面积和为 ,外围正方形的面积为 . 由图可知,四个直角三角形的面积之和不超过外围正方形的面积,所以 ,当且仅当 时,等号成立. 故选:C. 3.(2020·广东·普宁市第二中学高三阶段练习)下列不等式一定成立的是( ) A. B. C. D. 【答案】C【分析】 应用特殊值法,即可判断A、B、D的正误,作差法有 ,即可确定C的正误. 【详解】A:当 时,有 ,故不等式不一定成立; B:当 ,即 时,有 ,故不等式不一定成立; C: 恒成立; D:当 时,有 ,故不等式不一定成立; 故选:C 4.(2022·全国·高三专题练习)函数 的最大值为( ) A.3 B.2 C.1 D.-1 【答案】D 【分析】 将函数的解析式进行变形,再利用基本不等式,即可得答案; 【详解】 , 当且仅当 ,即 等号成立. 故选:D. 【点睛】 本题考查基本不等式求最值,考查运算求解能力,求解时注意等号成立的条件. 5.(2022·全国·高三专题练习)若 ,则 有( ) A.最大值 B.最小值 C.最大值2 D.最小值2 【答案】D 【分析】构造基本不等式 即可得结果. 【详解】 ∵ ,∴ ,∴ , 当且仅当 ,即 时,等号成立,即 有最小值2. 故选:D. 【点睛】 本题主要考查通过构造基本不等式求最值,属于基础题. 6.(2022·浙江·高三专题练习)已知x>0,y>0,且x+2y=1,若不等式 m2+7m恒成立,则实 数m的取值范围是( ) A.﹣8≤m≤1 B.m≤﹣8或m≥1 C.﹣1≤m≤8 D.m≤﹣1或m≥8 【答案】A 【分析】 由题意可得 (x+2y)( ) 4≥4+2 8,不等式 m2+7m成立⇔m2+7m< ( ) ,即可求得实数m的取值范围. min 【详解】 解:∵x>0,y>0,x+2y=1, ∴ (x+2y)( ) 4≥4+2 8.(当 ,即x=2y 时取等号), ∵不等式 m2+7m成立, ∴m2+7m≤8, 求得﹣8≤m≤1. 故选:A. 7.(2022·全国·高三专题练习)已知非负数 满足 ,则 的最小值是( ) A.3 B.4 C.10 D.16 【答案】B 【分析】 根据基本不等式,结合“1”的妙用即可得解.【详解】 由 ,可得 ,当且仅当 取等号, 故选:B 8.(2022·全国·高三专题练习)设 均为正实数,且 ,则 的最小值为( ) A.8 B.16 C.9 D.6 【答案】A 【分析】 根据题中条件,将所求式子化为 ,展开后,再利用基本不 等式,即可得出结果. 【详解】 因为 均为正实数 , 所以 ,当且仅当 ,即 时取等 号. 因此 的最小值为 . 故选:A. 【点睛】 易错点睛: 利用基本不等式求最值时,要注意其必须满足的三个条件: (1)“一正二定三相等”“一正”就是各项必须为正数; (2)“二定”就是要求和的最小值,必须把构成和的二项之积转化成定值;要求积的最大值,则必须把构成积的因式的和转化成定值; (3)“三相等”是利用基本不等式求最值时,必须验证等号成立的条件,若不能取等号则这个定值 就不是所求的最值,这也是最容易发生错误的地方. 9.(2022·全国·高三专题练习)若正数 满足 ,则 的最小值为( )A. B. C. D. 【答案】D 【分析】 将已知条件化简得到 ,然后将 变换成 ,然后化简整理结合均值不等 式求解即可. 【详解】 由 ,有 ,所以 , 则 , 当且仅当 ,即 时,等号成立. 故选:D. 10.(2022·全国·高三专题练习)若对满足 的任意正数 及任意 ,不等式 恒成立,则实数 的取值范围是( ) A. B. C. D. 【答案】A 【分析】 利用基本不等式“1”的妙用求得 的最小值,即可转化为二次不等式恒成立问题,利用判别式求 得实数 的取值范围即可. 【详解】 ∵正数 满足 , ∴ , , 当且仅当 ,即 , 时,等号成立, ∴ ,即 对任意实数 恒成立, ∴ ,解得 .故选:A. 【点睛】在应用基本不等式求最值时,要把握不等式成立的三个条件,就是“一正——各项均为正;二定—— 积或和为定值;三相等——等号能否取得”,若忽略了某个条件,就会出现错误. 11.(2022·全国·高三专题练习)设 , 为正数,且 ,则 的最小值为( ) A. B. C. D. 【答案】D 【分析】 由 得 ,再利用基本等式“1”的代换进行求解. 【详解】 由 得 , , 当且仅当 ,即 时取等号, 故选:D. 【点睛】 在应用基本不等式求最值时,要把握不等式成立的三个条件,就是“一正——各项均为正;二定—— 积或和为定值;三相等——等号能否取得”,若忽略了某个条件,就会出现错误. 二、多选题 12.(2022·江苏·高三专题练习)已知 , ,且 ,则下列不等式中一定成立的是( ) A. B. C. D. 【答案】ACD 【分析】 利用基本不等式逐一判断四个选项的正误即可得正确答案. 【详解】对于选项A: ,所以 ,当且仅当 时等号成立,故选项A正确; 对于选项B: ,因为 ,所以 ,所以 , 当且仅当 时等号成立,故选项B不正确;对于选项C: ,故选项C正确; 对于选项D:因为 ,所以 ,,当且仅当 时等号成立,故选项D正 确; 故选:ACD 三、填空题 13.(2022·浙江·高三专题练习)若a>0,b>0,且a+b=4,则下列不等式恒成立的是________(填 序号). ① ;② ;③ ≥2;④a2+b2≥8. 【答案】④ 【分析】 结合基本不等式进行逐个判定,①③直接利用基本不等式可判定正误,②④通过变形可得正误. 【详解】 因为 (当且仅当a=b时,等号成立), 即 ≤2,ab≤4, ,故①③不成立; ,故②不成立; 故④成立. 故答案为:④. 14.(2022·全国·高三专题练习)若 ,则 的最大值是 _______ 【答案】 【分析】 即可求得最值.【详解】 ,故 ,则 , 当且仅当 即 时取“=”,故答案为: . 15.(2022·全国·高三专题练习)若正数 满足 ,则 的最大值是________. 【答案】2 【分析】 利用基本不等式进行转化即可得解. 【详解】 由 ,得 , 当且仅当 时等号成立, ∴ ,即 , ∴ 的最大值为 . 故答案为:2 16.(2022·全国·高三专题练习)函数 ( 且 )的图象恒过定点A,若点A在直线 上,其中 , ,则mn的最大值为___________. 【答案】 【分析】 根据指数函数的图像性质求出A点坐标,代入直线方程,利用均值不等式即可求解. 【详解】 解: 函数 ( 且 )的图象恒过定点A, , 点A在直线 上, , 又 , , ,,当且仅当 ,即 时等号成立, 所以mn的最大值为 , 故答案为: . 17.(2022·全国·高三专题练习)当 时, 的最小值为______.【答案】 【分析】 将所求代数式变形为 ,利用基本不等式即可求解. 【详解】 因为 ,所以 , 所以 , 当且仅当 即 时等号成立, 所以 的最小值为 , 故答案为: . 18.(2022·全国·高三专题练习)已知 , ,且满足 ,则 的最小值为 _________ 【答案】 【分析】 将 展开利用基本不等式即可求解. 【详解】 因为 , 所以 , 当且仅当 即 时等号成立,所以 的最小值为 . 故答案为: . 19.(2022·全国·高三专题练习)已知 , ,且 ,则 的最小值为______. 【答案】18 【分析】等式 变形为 ,则 根据基本不等式即可得到答案. 【详解】 解:已知 , ,且 . ,即: . 则 , 当且仅当 , 时取等号, 所以 的最小值为18. 故答案为:18. 20.(2022·全国·高三专题练习)已知 ,且 ,则 的最小值为___________. 【答案】 【分析】 首先根据题意得到 ,再利用基本不等式求解即可. 【详解】 由 得 , 所以 , 当且仅当 ,即 , 时取等号. 故答案为: 21.(2022·上海·高三专题练习)若 ,则 的最小值为____________. 【答案】 【分析】 两次利用基本不等式即可求出. 【详解】 ,, 当且仅当 且 ,即 时等号成立,所以 的最小值为 . 故答案为: . 22.(2022·全国·高三专题练习)已知 ,则 的最小值是________. 【答案】 【分析】 将函数 的解析式变形为 ,然后利用基本不等式可求得该函数的最小值. 【详解】 当 时, , , 当且仅当 ,即当 时,等号成立, 因此,函数 的最小值为 . 故答案为: . 【点睛】 本题考查利用基本不等式求解函数的最小值,解答的关键就是对函数解析式进行化简变形,考查计算 能力,属于基础题. 23.(2022·全国·高三专题练习)设 , , 为正实数,满足 ,则 的最小值是 __________. 【答案】8 【详解】 解:由题意可得: ,则: , 当且仅当 时等号成立,即: 的最小值是8. 点睛:应用基本不等式要有两个防范意识:一是在应用基本不等式求最值时,要把握不等式成立的三 个条件,就是“一正——各项均为正;二定——积或和为定值;三相等——等号能否取得”,若忽略了某个条件,就会出现错误.对于公式a+b≥2 , ,要弄清它们的作用、使用条件及内在联系, 两个公式也体现了ab和a+b的转化关系.二是在利用不等式求最值时,一定要尽量避免多次使用基本不等式.若必须多次使用, 则一定要保证它们等号成立的条件一致. 24.(2022·全国·高三专题练习)函数 的值域是_______. 【答案】 【分析】 将函数 进行化简,得到 ,分别对 和 ,利用基 本不等式,得到答案. 【详解】 函数 , 当 ,由基本不等式得 , 当且仅当 ,即 时,等号成立, 当 时,由基本不等式得 , 当且仅当 ,即 时,等号成立, 所以函数的值域为 , 故答案为 . 【点睛】 本题考查求具体函数的值域,属于简单题. 25.(2021·四川·成都七中一模(文))已知实数 满足 ,则 的最大值为 ___________.【答案】 【分析】 利用基本不等式,即可求解. 【详解】 解: ,即 ,(当且仅当 ,即 时,取等号) 故答案为: 26.(2020·辽宁·开原市第二高级中学三模)如图,将一矩形花坛 扩建成一个更大的矩形花 坛 ,要求点 在 上,点 在 上,且对角线 过点 ,已知 , ,那么当 _______时,矩形花坛的 面积最小,最小面积为______. 【答案】4 48 【分析】 设 ,则 ,则 ,结合基本不等式即可得解. 【详解】 解:设 ,则 ,则 , 则 , 当且仅当 ,即 时等号成立,故矩形花坛的 面积最小值为 . 即当 时,矩形花坛的 面积最小,最小面积为48. 故答案为:4;48.