当前位置:首页>文档>考点巩固卷05指对幂函数(十一大考点)(解析版)_02高考数学_新高考复习资料_2024年新高考资料_一轮复习资料_完2024年高考数学一轮复习考点通关卷(新高考)_考点巩固卷

考点巩固卷05指对幂函数(十一大考点)(解析版)_02高考数学_新高考复习资料_2024年新高考资料_一轮复习资料_完2024年高考数学一轮复习考点通关卷(新高考)_考点巩固卷

  • 2026-04-20 13:20:04 2026-04-20 13:20:04

文档预览

考点巩固卷05指对幂函数(十一大考点)(解析版)_02高考数学_新高考复习资料_2024年新高考资料_一轮复习资料_完2024年高考数学一轮复习考点通关卷(新高考)_考点巩固卷
考点巩固卷05指对幂函数(十一大考点)(解析版)_02高考数学_新高考复习资料_2024年新高考资料_一轮复习资料_完2024年高考数学一轮复习考点通关卷(新高考)_考点巩固卷
考点巩固卷05指对幂函数(十一大考点)(解析版)_02高考数学_新高考复习资料_2024年新高考资料_一轮复习资料_完2024年高考数学一轮复习考点通关卷(新高考)_考点巩固卷
考点巩固卷05指对幂函数(十一大考点)(解析版)_02高考数学_新高考复习资料_2024年新高考资料_一轮复习资料_完2024年高考数学一轮复习考点通关卷(新高考)_考点巩固卷
考点巩固卷05指对幂函数(十一大考点)(解析版)_02高考数学_新高考复习资料_2024年新高考资料_一轮复习资料_完2024年高考数学一轮复习考点通关卷(新高考)_考点巩固卷
考点巩固卷05指对幂函数(十一大考点)(解析版)_02高考数学_新高考复习资料_2024年新高考资料_一轮复习资料_完2024年高考数学一轮复习考点通关卷(新高考)_考点巩固卷
考点巩固卷05指对幂函数(十一大考点)(解析版)_02高考数学_新高考复习资料_2024年新高考资料_一轮复习资料_完2024年高考数学一轮复习考点通关卷(新高考)_考点巩固卷
考点巩固卷05指对幂函数(十一大考点)(解析版)_02高考数学_新高考复习资料_2024年新高考资料_一轮复习资料_完2024年高考数学一轮复习考点通关卷(新高考)_考点巩固卷
考点巩固卷05指对幂函数(十一大考点)(解析版)_02高考数学_新高考复习资料_2024年新高考资料_一轮复习资料_完2024年高考数学一轮复习考点通关卷(新高考)_考点巩固卷
考点巩固卷05指对幂函数(十一大考点)(解析版)_02高考数学_新高考复习资料_2024年新高考资料_一轮复习资料_完2024年高考数学一轮复习考点通关卷(新高考)_考点巩固卷
考点巩固卷05指对幂函数(十一大考点)(解析版)_02高考数学_新高考复习资料_2024年新高考资料_一轮复习资料_完2024年高考数学一轮复习考点通关卷(新高考)_考点巩固卷
考点巩固卷05指对幂函数(十一大考点)(解析版)_02高考数学_新高考复习资料_2024年新高考资料_一轮复习资料_完2024年高考数学一轮复习考点通关卷(新高考)_考点巩固卷
考点巩固卷05指对幂函数(十一大考点)(解析版)_02高考数学_新高考复习资料_2024年新高考资料_一轮复习资料_完2024年高考数学一轮复习考点通关卷(新高考)_考点巩固卷
考点巩固卷05指对幂函数(十一大考点)(解析版)_02高考数学_新高考复习资料_2024年新高考资料_一轮复习资料_完2024年高考数学一轮复习考点通关卷(新高考)_考点巩固卷
考点巩固卷05指对幂函数(十一大考点)(解析版)_02高考数学_新高考复习资料_2024年新高考资料_一轮复习资料_完2024年高考数学一轮复习考点通关卷(新高考)_考点巩固卷
考点巩固卷05指对幂函数(十一大考点)(解析版)_02高考数学_新高考复习资料_2024年新高考资料_一轮复习资料_完2024年高考数学一轮复习考点通关卷(新高考)_考点巩固卷
考点巩固卷05指对幂函数(十一大考点)(解析版)_02高考数学_新高考复习资料_2024年新高考资料_一轮复习资料_完2024年高考数学一轮复习考点通关卷(新高考)_考点巩固卷
考点巩固卷05指对幂函数(十一大考点)(解析版)_02高考数学_新高考复习资料_2024年新高考资料_一轮复习资料_完2024年高考数学一轮复习考点通关卷(新高考)_考点巩固卷
考点巩固卷05指对幂函数(十一大考点)(解析版)_02高考数学_新高考复习资料_2024年新高考资料_一轮复习资料_完2024年高考数学一轮复习考点通关卷(新高考)_考点巩固卷
考点巩固卷05指对幂函数(十一大考点)(解析版)_02高考数学_新高考复习资料_2024年新高考资料_一轮复习资料_完2024年高考数学一轮复习考点通关卷(新高考)_考点巩固卷
考点巩固卷05指对幂函数(十一大考点)(解析版)_02高考数学_新高考复习资料_2024年新高考资料_一轮复习资料_完2024年高考数学一轮复习考点通关卷(新高考)_考点巩固卷
考点巩固卷05指对幂函数(十一大考点)(解析版)_02高考数学_新高考复习资料_2024年新高考资料_一轮复习资料_完2024年高考数学一轮复习考点通关卷(新高考)_考点巩固卷
考点巩固卷05指对幂函数(十一大考点)(解析版)_02高考数学_新高考复习资料_2024年新高考资料_一轮复习资料_完2024年高考数学一轮复习考点通关卷(新高考)_考点巩固卷
考点巩固卷05指对幂函数(十一大考点)(解析版)_02高考数学_新高考复习资料_2024年新高考资料_一轮复习资料_完2024年高考数学一轮复习考点通关卷(新高考)_考点巩固卷
考点巩固卷05指对幂函数(十一大考点)(解析版)_02高考数学_新高考复习资料_2024年新高考资料_一轮复习资料_完2024年高考数学一轮复习考点通关卷(新高考)_考点巩固卷
考点巩固卷05指对幂函数(十一大考点)(解析版)_02高考数学_新高考复习资料_2024年新高考资料_一轮复习资料_完2024年高考数学一轮复习考点通关卷(新高考)_考点巩固卷
考点巩固卷05指对幂函数(十一大考点)(解析版)_02高考数学_新高考复习资料_2024年新高考资料_一轮复习资料_完2024年高考数学一轮复习考点通关卷(新高考)_考点巩固卷
考点巩固卷05指对幂函数(十一大考点)(解析版)_02高考数学_新高考复习资料_2024年新高考资料_一轮复习资料_完2024年高考数学一轮复习考点通关卷(新高考)_考点巩固卷
考点巩固卷05指对幂函数(十一大考点)(解析版)_02高考数学_新高考复习资料_2024年新高考资料_一轮复习资料_完2024年高考数学一轮复习考点通关卷(新高考)_考点巩固卷
考点巩固卷05指对幂函数(十一大考点)(解析版)_02高考数学_新高考复习资料_2024年新高考资料_一轮复习资料_完2024年高考数学一轮复习考点通关卷(新高考)_考点巩固卷
考点巩固卷05指对幂函数(十一大考点)(解析版)_02高考数学_新高考复习资料_2024年新高考资料_一轮复习资料_完2024年高考数学一轮复习考点通关卷(新高考)_考点巩固卷
考点巩固卷05指对幂函数(十一大考点)(解析版)_02高考数学_新高考复习资料_2024年新高考资料_一轮复习资料_完2024年高考数学一轮复习考点通关卷(新高考)_考点巩固卷
考点巩固卷05指对幂函数(十一大考点)(解析版)_02高考数学_新高考复习资料_2024年新高考资料_一轮复习资料_完2024年高考数学一轮复习考点通关卷(新高考)_考点巩固卷
考点巩固卷05指对幂函数(十一大考点)(解析版)_02高考数学_新高考复习资料_2024年新高考资料_一轮复习资料_完2024年高考数学一轮复习考点通关卷(新高考)_考点巩固卷
考点巩固卷05指对幂函数(十一大考点)(解析版)_02高考数学_新高考复习资料_2024年新高考资料_一轮复习资料_完2024年高考数学一轮复习考点通关卷(新高考)_考点巩固卷

文档信息

文档格式
docx
文档大小
1.881 MB
文档页数
31 页
上传时间
2026-04-20 13:20:04

文档内容

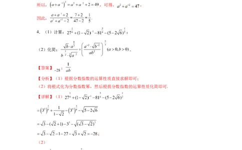
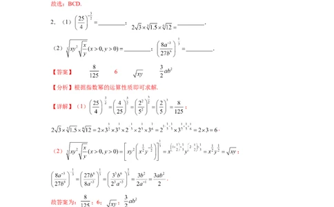
考点巩固卷 05 指对幂函数(十一大考点) 考点01:指数幂的运算 1.(多选)下列判断正确的有( ) A. B. (其中 ) C. D. (其中 , ) 【答案】BCD 【分析】根据根式的性质判断A,根据分数指数幂的运算性质判断B,C,D. 资料收集整理【淘宝店铺:向阳百分百】 1 学科网(北京)股份有限公司【详解】对于选项A, ,A错误; 对于选项B,因为 ,所以 ,B正确; 对于选项C, ,C正确; 对于选项D,因为 , ,所以 ,D正确; 故选:BCD. 2.(1) _________; _________. (2) _________; _________. 【答案】 6 【分析】根据指数幂的运算性质即可求解. 【详解】(1) ; . (2) ; . 故答案为: ;6; ; 3.计算: (1) ; (2)已知: ,求 的值. 【答案】(1) (2) 资料收集整理【淘宝店铺:向阳百分百】 2 学科网(北京)股份有限公司【分析】(1)利用指数幂的运算性质可求得所求代数式的值; (2)在等式 两边平方可得出 ,再利用平方关系可求得 ,代入计算 可得出 的值. 【详解】(1)解:原式 . (2)解:因为 ,则 ,所以, , 所以, ,可得, , 因此, . 4.(1)计算: ; (2)化简: . 【答案】 ; 【分析】(1)根据分数指数的运算性质直接求解即可; (2)将根式化为分数指数幂,然后根据分数指数的运算性质化简即可. 【详解】(1) ; (2) . 5. ( ) 资料收集整理【淘宝店铺:向阳百分百】 3 学科网(北京)股份有限公司A. B. C. D.当 为奇数时, ;当 为偶数时, 【答案】D 【分析】当 为奇数时, ;当 为偶数时, ,即可求解. 【详解】当 为奇数时, ; 当 为偶数时, . 故选:D 考点02:对数的运算 6.( 2023·天津河西·统考三模)已知 , ,则 ( ) A. B. C.25 D.5 【答案】A 【分析】由指对互换,表示出 ,代入原式即可. 【详解】由 , . 故选:A. 7.求下列各式的值. (1) . (2)已知 , ,求 的值. 【答案】(1) (2) 【分析】根据对数运算规则以及换底公式计算即可. 【详解】(1) ; (2) .. 资料收集整理【淘宝店铺:向阳百分百】 4 学科网(北京)股份有限公司8.(多选)已知 , ,则( ) A. B. C. D. 【答案】ACD 【分析】根据对数的运算逐项分析判断. 【详解】对A: ,A正确; 对B: ,B错误; 对C: ,C正确; 对D: ,D正确. 故选:ACD. 9.求值: (1) ; (2) 的值. 【答案】(1) (2)6 【分析】根据对数的概念及运算性质求解. 【详解】(1)由题意可得 . (2)由题意可得: , 因为 , 资料收集整理【淘宝店铺:向阳百分百】 5 学科网(北京)股份有限公司所以 . 10.(多选)下列运算正确的是( ) A. B. C.若 ,则 D.若 ,则 【答案】BCD 【分析】根据对数的运算性质可判断A,C;根据根式和分数指数幂的运算判断B;根据指 数式和对数式的互化以及对数运算可判断D. 【详解】对于A, ,A错误; 对于B, ,B正确; 对于C,若 ,则 , 故 ,C正确; 对于D,若 ,则 , 则 ,D正确, 故选:BCD 考点03:指对幂函数的定义 11.幂函数 是偶函数,且在 上为增函数,则函数解析式为 _________. 【答案】 或 【分析】根据幂函数的定义和性质得到关于 的不等式组,解得即可求出 的值. 【详解】 是幂函数,也是偶函数, 且在 上为增函数, 且 为偶数, 解得 或 , 当 时, , 当 时, . 资料收集整理【淘宝店铺:向阳百分百】 6 学科网(北京)股份有限公司故答案为: 或 12.函数① ;② ;③ ;④ ;⑤ ;⑥ ;⑦ ; ⑧ 中,是指数函数的是_________. 【答案】①⑤ 【分析】根据指数函数的定义及解析式逐一对各个选项分析判断即可得出结果. 【详解】因为指数函数为 且 ,故①⑤正确; 由幂函数定义知, 是幂函数,故②不正确; 由指数函数的定义知,③④⑥⑦均不是指数函数; 对于⑧,当 时, ,不是指数函数. 故答案为:①⑤. 13.已知幂函数 ,其图像与坐标轴无交点,则实数m的值为 __________. 【答案】 【分析】根据幂函数定义,由 求得m,再根据函数图象与坐标轴无交点确定即 可. 【详解】由幂函数 知, 得 或 . 当 时, 图象与坐标轴有交点 , 当 时, 与坐标轴无交点, ∴ . 故答案为: 14.若函数f(x)=(a2+a-5)logax是对数函数,则a=________. 【答案】2 【分析】根据对数函数的定义知a2+a-5=1且 , ,求解即可. 【详解】因为函数f(x)=(a2+a-5)logax是对数函数,、 所以a2+a-5=1得 或a=2 又a>0且a≠1,所以a=2. 故答案为:2 【点睛】本题主要考查了对数函数的概念,属于容易题. 15.已知对数函数 的图像过点 ,则 _________. 【答案】3 【分析】首先求出对数函数表达式,再代入求值即可. 资料收集整理【淘宝店铺:向阳百分百】 7 学科网(北京)股份有限公司【详解】由题意可知,设 , 因为 在图像上,则 ,解得 , 则 ,则 . 故答案为: 16.已知幂函数 的图象过点 和 ,则实数m=______. 【答案】2 【分析】由幂函数的定义可设 ,代入运算即可得解. 【详解】由题意,设 , 因为幂函数 的图象经过点 , 所以 ,解得 , 所以 . 又幂函数 的图象经过点 , 所以 . 故答案为: . 考点04:定义域和值域 17.下列函数中,定义域和值域不相同的是( ) A. B. C. D. 【答案】D 【分析】根据一次函数、反比例函数、幂函数和分段函数的性质,逐个选项进行判断即可 得到答案. 【详解】对于A:函数 的定义域为 ,值域也为 ,不符合题意; 对于B:函数 的定义域和值域都为 ,不符合题意; 对于C: 的定义域和值域都为 ,不符合题意; 对于D: 的定义域为 ; 当 时, ;当 时, ; 所以值域为 ,定义域和值域不相同,符合题意; 故选:D. 18.已知函数 的值域是 ,则实数m的取值范围是______. 资料收集整理【淘宝店铺:向阳百分百】 8 学科网(北京)股份有限公司【答案】 . 【分析】分别求出 和 时 的取值范围,然后由值域可得集合的关系,从而得参 数范围. 【详解】 时, 且 ,即 , 因此 时, 的取值范围应包含 , 又 时, ,所以 . 故答案为: . 19.已知函数 , ,则其值域为_______. 【答案】 【分析】令 ,将问题转化为求二次函数在区间 上的值域问题,结合二次函数单 调性,即可求解. 【详解】令 ,∵ ,∴ , ∴ , 又 关于 对称,开口向上, 所以 在 上单调递减,在 上单调递增, 且 , 时,函数取得最小值,即 , 时,函数取得最大值,即 , . 故答案为: . 20.函数 的定义域为( ) A. B. C. D. 【答案】A 【分析】根据被开方数大于等于零,分母不等于零列不等式组求解结果. 【详解】由已知可得 ,解得 , 当 时,解得不等式组 ,所以函数的定义域为 . 故选:A. 21.函数 的值域是__________. 资料收集整理【淘宝店铺:向阳百分百】 9 学科网(北京)股份有限公司【答案】 【分析】利用换元法,令 ,则 ,然后先求出内层函数的值域,再求 外层函数的值域即可 【详解】令 ,则 , 因为 , 所以 的值域为 , 因为 在 是减函数, 所以 , 所以 的值域为 , 故答案为: 22.(多选)已知函数 ,下列说法正确的是( ) A.若 定义域为R,则 B.若 值域为R,则 C.若 最小值为0,则 D.若 最大值为2,则 【答案】BCD 【分析】根据对数函数的单调性以及二次函数的性质逐项分析计算即可. 【详解】对于A,若函数 定义域为R,则 恒成立, 当 时, 恒成立,满足题意, 当 时,则有 ,解得 , 所以实数 的取值范围为 ,故选项A错误; 对于B,若函数 值域为R,则 能取尽大于零的所有实数, 当 时, ,不满足题意, 当 时,则有 ,解得 , 所以若 值域为R,则 ,故选项B正确; 对于C,若函数 最小值为0,则 有最小值1, 由二次函数的图象和性质得 ,解得 ,故选项C正确; 对于D,若函数 最大值为2,则 有最大值4, 资料收集整理【淘宝店铺:向阳百分百】 10 学科网(北京)股份有限公司由二次函数的图象和性质得 ,解得 ,故选项D正确. 故选:BCD. 考点05:图象的问题 23.已知 ,且 ,则函数 与 的图象只可能是( ) A. B. C. D. 【答案】C 【分析】根据对数函数的性质结合条件分析即得. 【详解】当 时,函数 为增函数,且直线 与y轴的交点的纵坐标大于 1; 当 时,函数 为减函数,且直线 与y轴的交点的纵坐标在0到1之 间,只有C符合, 故选:C. 24.已知函数 的大致图象如下图,则幂函数 在第一象限的图象可能是 ( ) A. B. 资料收集整理【淘宝店铺:向阳百分百】 11 学科网(北京)股份有限公司C. D. 【答案】B 【分析】根据对数函数的图象,求得参数范围;再根据幂函数的图象,即可容易判断. 【详解】由 的图象可知, , 所以 ,得 , , 所以 ,所以幂函数 在第一象限的图象可能为 . 故选:B. 【点睛】本题考查由对数函数的图象求参数范围,涉及幂函数图象的应用,属综合基础题. 25.图中曲线是对数函数 的图象,已知 取 , , , 四个值,则相应于 , , , 的 值依次为 A. , , , B. , , , C. , , , D. , , , 【答案】A 【分析】在第一象限,对数函数图象越接近 轴底数越大,进而可得答案. 【详解】解:由已知中曲线是对数函数 的图象, 由对数函数的图象和性质,可得 , , , 的 值从小到大依次为: , , , , 资料收集整理【淘宝店铺:向阳百分百】 12 学科网(北京)股份有限公司由 取 , , , 四个值, 故 , , , 的 值依次为 , , , , 故选: . 【点睛】本题考查的知识点是函数的图象,数形结合思想,对数函数的图象和性质,属于 基础题. 26.若 的图像如图,( , 是常数),则( ) A. , B. , C. , D. , 【答案】D 【分析】根据指数函数的性质得到 , ,即可求出 的取值范围. 【详解】由图可知函数在定义域上单调递减,所以 ,则 , 所以 在定义域上单调递增, 又 ,即 ,所以 . 故选:D 27.如图是指数函数(1) ,(2) ,(3) ,(4) 的图象,则 , , , 与 的大小关系是__________ 资料收集整理【淘宝店铺:向阳百分百】 13 学科网(北京)股份有限公司【答案】 【分析】作直线 ,由图可知 , , , 与 的大小关系. 【详解】 作直线 ,由图可得 ,即 . 故答案为: . 28.给定一组函数解析式: ① ;② ;③ ;④ ;⑤ ;⑥ ;⑦ . 如图所示一组函数图象.图象对应的解析式号码顺序正确的是( ) A.⑥③④②⑦①⑤ B.⑥④②③⑦①⑤ C.⑥④③②⑦①⑤ D.⑥④③②⑦⑤① 【答案】C 资料收集整理【淘宝店铺:向阳百分百】 14 学科网(北京)股份有限公司【分析】根据幂函数的图象的性质判断各图象对应解析式的形式,即可得答案. 【详解】图象(1)关于原点对称,为奇函数,且不过原点、第一象限递减,故 满 足; 图象(2)关于 轴对称,为偶函数,且不过原点、第一象限递减,故 满足; 图象(3)非奇非偶函数,且不过原点、第一象限递减,故 满足; 图象(4)关于 轴对称,为偶函数,且过原点、第一象限递增,故 满足; 图象(5)关于原点对称,为奇函数,且过原点、第一象限递增,故 满足; 图象(6)非奇非偶函数,且过原点、第一象限递增,而增长率随 增大递减,故 满 足; 图象(7)非奇非偶函数,且过原点、第一象限递增,而增长率随 增大递增,故 满 足; 故图象对应解析式顺序为⑥④③②⑦①⑤. 故选:C 考点06:定点问题 29.(多选)下列函数的图象过定点 的有( ) A. B. C. D. 【答案】AD 【分析】在每个选项中令 ,计算函数值,即可判断答案. 【详解】根据题意,在每个选项中令 , 选项A中, ,故函数图象过点 ,A正确. 选项B中, ,故函数图象不过定点 ,B错误. 选项C中, , ,故 ,故图象不过定点 ,C错误. 选项D中, ,故函数图象过点 ,D正确. 故选:AD. 30.已知函数 且 的图象恒过定点 ,点 在幂函数 的图象上,则 ( ) A. B.2 C.1 D. 资料收集整理【淘宝店铺:向阳百分百】 15 学科网(北京)股份有限公司【答案】B 【分析】令 便可得到函数 图象恒过点 ,将点 代入 幂函数 中,解得 的解析式,然后计算 的值. 【详解】函数 中,令 ,解得 ,此时 , 所以函数y的图象恒过定点 ,又点P在幂函数 的图象上, 所以 ,解得 ,所以 , . 故选:B. 31.已知函数 ( 且 )的图像过定点 ,且角 的终边过点 , 则 ( ) A. B. C. D. 【答案】A 【分析】根据对数型函数过定点求得 ,利用三角函数的定义求出 , ,再利用 诱导公式和二倍角公式求解即可. 【详解】解:由题意 在 中, 且 , 当 时, , ∴ 过定点 , ∵角 的终边过点 ∴由三角函数的定义可得 , , , ∴ , 故选:A 32.函数 的图象恒过定点A,若点A在直线 上,其中 ,则 的最小值为_________. 【答案】 / 资料收集整理【淘宝店铺:向阳百分百】 16 学科网(北京)股份有限公司【分析】根据指数函数图象的特点,求出点顶点 ,得到 ,再由 ,利用基本不等式即可求解. 【详解】令 ,可得 ,此时 , 所以函数图象恒过定点 , 因为点A在直线 上,所以 ,所以 , 所以 , 当且仅当 ,即 时等号成立. 综上, 的最小值为 . 故答案为: . 考点07:比较大小 33.设 , , ,则 , , 的大小关系是( ) A. B. C. D. 【答案】A 【分析】根据指数幂以及对数的运算性质,可得 , ,进而根据指数函数以 及对数函数的性质,即可得出答案. 【详解】因为 , , 所以, . 故选:A. 34.( 23·广东佛山·校联考模拟预测)设 , , ,则( ) A. B. C. D. 【答案】A 【分析】分别由指数、对数、幂函数的性质可得 , , ,即可得出答案. 【详解】由题知, , , ,所以 . 故选:A. 资料收集整理【淘宝店铺:向阳百分百】 17 学科网(北京)股份有限公司35.( 23·河北·统考模拟预测)已知 , , ,则( ) A. B. C. D. 【答案】D 【分析】利用指、对数函数的性质,得出 ,再利用对数的运算性质,得出 ,从而得出结果. 【详解】易知, , ,而 ,故 , 又因为 , ,故 ,即 , 所以 , 故选:D. 36.( 23·湖南·校联考模拟预测)已知 ,则下列结论正确的是( ) A. B. C. D. 【答案】A 【分析】对数函数的单调性可比较a、b,再根据基本不等式及换底公式比较b与c的大小 关系,由此可得出结论. 【详解】因为 , 所以 . 因为 ,所以 ,所以 ,所以 ,所以 . 故选:A. 【点睛】方法点睛:对于比较实数大小方法:(1)利用基本函数的单调性,根据函数的单 调性判断,(2)利用中间值“1”或“0”进行比较,(3)构造函数利用函数导数及函数单 调性进行判断. 37.( 23春·广西·高二校联考阶段练习)已知 , , ,则( ) A. B. C. D. 【答案】B 【分析】先证明当 , 时,有 .进而根据对数的运算性质以及换底 公式,即可得出答案. 资料收集整理【淘宝店铺:向阳百分百】 18 学科网(北京)股份有限公司【详解】当 , 时,有 , 则 , 所以 . 所以 , 所以 ,即 . 故选:B. 38.( 23·重庆·高二统考学业考试)已知 , , ,则( ) A. B. C. 【答案】B 【分析】根据指数函数、对数函数的性质,将 , , 与 和 进行比较即可. 【详解】由已知 , ∵指数函数 在 上单调递增,且值域为 , ∴ , ∴ ,即 又∵对数函数 在区间 单调递减, ∴ ,即 ,即 . 综上所述, , , 的大小关系为 . 故选:B. 考点08:解不等式 39.函数 , ,则 的定义域是_________. 【答案】 【分析】由 即可求解. 【详解】 的定义域需要满足 ,解得 , 故 的定义域为 , 故答案为: 资料收集整理【淘宝店铺:向阳百分百】 19 学科网(北京)股份有限公司40.已知 , , ,则实数a的取值范围是______. 【答案】 【分析】先根据 求出 ,分 , , 三种情况,结合 求 出实数a的取值范围,利用 来验证,最终求出答案. 【详解】 ,而 单调递减, 故 , 若 ,由 可得 ,故 , 此时 ,满足要求, 若 ,此时 ,不合要求, 若 ,由 可得 ,故 ,此时 ,不合要求. 故答案为: 41.已知集合 , ,则 ( ). A. B. C. D. 【答案】C 【分析】根据对数函数和指数函数的性质分别解得集合 ,再由交集定义写出 . 【详解】解 ,得 ,所以 , 解 ,得 ,所以 , 所以 . 故选:C. 42.解关于 的不等式 . 【答案】 资料收集整理【淘宝店铺:向阳百分百】 20 学科网(北京)股份有限公司【分析】转化为 ,再解不等式可得答案. 【详解】由 得 , 即 ,解得 或 , 可得 或 . 所以不等式的解集为 . 43.不等式 的解集为:_________. 【答案】 【分析】不等式变形为 ,即 ,构造函数 ,判断出函数得单调性,再根据 函数的单调性解不等式即可. 【详解】不等式变形为 , 所以 , 令 ,则有 , 因为函数 在R上单调递增, 所以 在R上单调递增, 则 ,解得 , 故不等式的解集为 . 故答案为: . 44.已知 ,则实数a的取值范围为( ) A. B. 资料收集整理【淘宝店铺:向阳百分百】 21 学科网(北京)股份有限公司C. D. 【答案】D 【分析】利用指数函数,幂函数,对数函数的单调性即可解出 的范围. 【详解】 ,根据指数函数 在 上单调递减得 , ,根据幂函数 在 上单调递增知 ,则 , ,根据对数函数 在 上单调递减得 , 综上 . 故选:D. 考点09:已知单调性求参数 45.已知函数 在区间 上单调递增,则实数a的取值范围是( ) A. B. C. D. 【答案】B 【分析】将函数 在区间 上单调递增,转化为 且 在区间 上恒成立可求解. 【详解】因为函数 在区间 上单调递增, 所以 且 在区间 上恒成立, 所以 ,解得 或 . 故选:B 46.已知 在 上单调递减,则 的取值范围是__________. 【答案】 【分析】利用函数的单调性的性质,求得 的范围,即得所求. 【详解】若函数 在 上是单调减函数, 资料收集整理【淘宝店铺:向阳百分百】 22 学科网(北京)股份有限公司则 ,解得 , 即 , 故答案为: . 47.若函数 在 上是减函数,则实数a的取值范围是 __________. 【答案】 【分析】根据函数的单调性结合对数函数的定义域可直接列式求解. 【详解】令 ,则 在 上单调递增,若 在 上是 减函数, 则 在 上是减函数且恒大于0,从而有 , 解得 . 故答案为: . 48.函数 与 在 均单调递减的一个充分不必要条件是( ) A. B. C. D. 【答案】C 【分析】分别求出函数 与 在 均单调递减时,a的取值区间结 合选项可得答案. 【详解】函数 在 均单调递减可得 即 ; 函数 在 均单调递减可得 ,解得 , 若函数 与 均单调递减,可得 , 由题可得所求区间真包含于 , 结合选项,函数 与 均单调递减的一个充分不必要条件是C 故选:C 资料收集整理【淘宝店铺:向阳百分百】 23 学科网(北京)股份有限公司49.幂函数 在区间 上单调递减,则下列说法正确的是( ) A. B. 是减函数 C. 是奇函数 D. 是偶函数 【答案】C 【分析】根据幂函数的定义及单调性可判断AB,再由奇函数的定义判断CD. 【详解】函数 为幂函数,则 ,解得 或 . 当 时, 在区间 上单调递增,不满足条件,排除A; 当 时, 在区间 上单调递减,满足题意. 函数 在 和 上单调递减,但不是减函数,排除B; 因为函数定义域关于原点对称,且 , 所以函数 是奇函数,不是偶函数,故C正确,D错误. 故选:C. 50.已知函数 ( 且 )在区间 上单调递减,则实数a的取 值范围是___________. 【答案】 或 【分析】将复合函数看做 , ,然后分 和 两种情况讨论 内外函数的单调性,根据单调性列不等式求解即可. 【详解】复合函数 可以看做 , , 当 时,外函数 单调递增,所以内函数 在 上单调递减, 则 ,解得 ; 当 时,外函数 单调递减,所以内函数 在 上单调递增, 则 ,解得 ; 综上所述, 或 . 故答案为: 或 . 考点10:函数的实际应用 资料收集整理【淘宝店铺:向阳百分百】 24 学科网(北京)股份有限公司51.企业在生产中产生的废气要经过净化处理后才可排放,某企业在净化处理废气的过程 中污染物含量P(单位: )与时间t(单位:h)间的关系为 (其中 ,k 是正的常数).如果在前10h消除了20%的污染物,则20h后废气中污染物的含量是未处 理前的( ) A.40% B.50% C.64% D.81% 【答案】C 【分析】由 ,得污染物含量的初始值为 ,根据 得 ,得 , 代入 ,即可求出答案. 【详解】当 时, ;当 时, , 即 ,得 ,所以 ; 当 时, . 故选:C 52.基本再生数 与世代间隔 是新冠肺炎的流行病学基本参数,基本再生数指一个感染 者传染的平均人数,世代间隔指相邻两代间传染所需的平均时间.在新冠肺炎疫情初始阶段, 可以用指数模型: (其中 是自然对数的底数)描述累计感染病例 数 随时间 (单位:天)的变化规律,指数增长率 与 , 近似满足 .有学 者基于已有数据估计出 , ,据此,在新冠肺炎疫情初始阶段,累计感染病例 数增加 倍需要的时间约为( )(参考数据: , ) A. 天 B. 天 C. 天 D. 天 【答案】B 【分析】根据所给模型求得 ,令 ,求得 ,根据条件可得方程 ,然 后解出 即可. 【详解】把 , 代入 ,可得 , , 当 时, ,则 ,两边取对数得 ,解得 . 故选:B. 53.测量地震级别的里氏是地震强度(即地震释放的能量)的常用对数值.显然级别越高, 地震的强度也越高,如日本1923年地震是 级,旧金山1906年地震是 级,问日本 1923年地震强度是 级的_________倍. 【答案】4 【分析】设地震强度为x,则地震级别为 ,由此可结合对数的运算求得答案. 资料收集整理【淘宝店铺:向阳百分百】 25 学科网(北京)股份有限公司【详解】设地震强度为x,则地震级别为 , 由题意可令 , 则 , 由于 ,故 , 即日本1923年地震强度是 级的4倍, 故答案为:4 54.某池塘里原有一块浮萍,浮萍蔓延后的面积 (单位:平方米)与时间 (单位:月) 的关系式为 ( 且 )图象如图所示. 则下列结论: ①浮萍蔓延每个月增长的面积都相同; ②浮萍蔓延 个月后的面积是浮萍蔓延 个月后的面积的 ; ③浮萍蔓延每个月增长率相同,都是 ; ④浮萍蔓延到 平方米所经过的时间与蔓延到 平方米所经过的时间的和比蔓延到 平方 米所经过的时间少. 其中正确结论的序号是_____. 【答案】②④ 【分析】由 , 可求得 的值,可得出 ,计算出萍蔓延 月至 月份增长的 面积和 月至 月份增长的面积,可判断①的正误;计算出浮萍蔓延 个月后的面积和浮萍 蔓延 个月后的面积,可判断②的正误;计算出浮萍蔓延每个月增长率,可判断③的正误; 利用指数运算可判断④的正误. 【详解】由已知可得 ,则 . 对于①,浮萍蔓延 月至 月份增长的面积为 (平方米), 浮萍蔓延 月至 月份增长的面积为 (平方米),①错; 对于②,浮萍蔓延 个月后的面积为 (平方米), 浮萍蔓延 个月后的面积为 (平方米), 资料收集整理【淘宝店铺:向阳百分百】 26 学科网(北京)股份有限公司所以,浮萍蔓延 个月后的面积是浮萍蔓延 个月后的面积的 ,②对; 对于③,浮萍蔓延第 至 个月的增长率为 , 所以,浮萍蔓延每个月增长率相同,都是 ,③错; 对于④,浮萍蔓延到 平方米所经过的时间、蔓延到 平方米所经过的时间的和蔓延到 平方米的时间分别为 、 、 , 则 , , ,所以, , 所以,浮萍蔓延到 平方米所经过的时间与蔓延到 平方米所经过的时间的和比蔓延到 平方米所经过的时间少,④对. 故答案为:②④. 55.现代研究结果显示,饮茶温度最好不要超过 .一杯茶泡好后置于室内, 分钟、 分钟后测得这杯茶的温度分别为 、 ,给出三个茶温 (单位: )关于茶泡 好后置于室内时间 (单位:分钟)的函数模型:① ;② ;③ .根据生活常识,从这三个函数模型中选择一个,模拟茶温 (单位: )关于茶泡好后置于室内时间 (单位:分钟)的关系,并依此计算该杯茶泡 好后到饮用至少需要等待的时间为( )(参考数据: , ) A. 分钟 B. 分钟 C. 分钟 D. 分钟 【答案】C 【分析】根据生活常识,选择模型③较为合适,根据题意求出 、 的值,然后解不等式 ,解此不等式即可得解. 【详解】根据生活常识,茶温一般不低于室温,若选择模型①或模型②,茶温 在一定时 间后会低于室温,不合乎题意, 故选择模型③较为合适,则 ,解得 ,此时 , 由 可得 . 故选:C. 56.( 2023年新课标全国Ⅰ卷数学真题)(多选)噪声污染问题越来越受到重视.用声 压级来度量声音的强弱,定义声压级 ,其中常数 是听觉下限阈值, 是实际声压.下表为不同声源的声压级: 资料收集整理【淘宝店铺:向阳百分百】 27 学科网(北京)股份有限公司声源 与声源的距离 声压级 燃油汽车 10 混合动力汽 10 车 电动汽车 10 40 已知在距离燃油汽车、混合动力汽车、电动汽车 处测得实际声压分别为 ,则 ( ). A. B. C. D. 【答案】ACD 【分析】根据题意可知 ,结合对数运算逐项分析判断. 【详解】由题意可知: , 对于选项A:可得 , 因为 ,则 ,即 , 所以 且 ,可得 ,故A正确; 对于选项B:可得 , 因为 ,则 ,即 , 所以 且 ,可得 , 当且仅当 时,等号成立,故B错误; 对于选项C:因为 ,即 , 可得 ,即 ,故C正确; 对于选项D:由选项A可知: , 且 ,则 , 资料收集整理【淘宝店铺:向阳百分百】 28 学科网(北京)股份有限公司即 ,可得 ,且 ,所以 ,故D正确; 故选:ACD. 考点11:反函数的应用 57.下列各图象表示的函数中,存在反函数的只能是( ) A. B. C. D. 【答案】D 【分析】根据反函数的定义即可判断各选项. 【详解】根据反函数的定义,存在反函数的函数应满足一个y至多对应一个x. 对于A,当y为正数时,一个y对应两个x,不满足反函数的定义,A错; 对于B,当y为正数时,一个y对应两个x,不满足反函数的定义,B错; 对于C,当y为正数时,一个y对应两个x,不满足反函数的定义,C错; 对于D,满足反函数的定义,D对. 故选:D 58.函数 的反函数是( ) A. B. C. D. 【答案】C 【分析】先从原函数式中反解出 ,再进行 互换,即可求出反函数. 【详解】因为 , 所以 , , 所以 , 资料收集整理【淘宝店铺:向阳百分百】 29 学科网(北京)股份有限公司所以 ,所以 , 所以函数 的反函数是 , 故选:C 59.函数 的反函数图象大致是( ) A. B. C. D. 【答案】B 【分析】先求已知函数的反函数,再结合反比例函数的图象及图象变换性质判断其图象. 【详解】因为 ,所以 ,所以 , 所以函数 的反函数为 , 函数 的图象可由反比例函数 的图象向左平移一个单位得到,从选项 得知B满足, 故选:B. 60.已知函数 与函数 的图象关于直线 对称,则不等式 的解集 为___________. 【答案】 【分析】根据反函数的性质可知 ,再利用对数函数的单调性解不等式. 【详解】解: 函数 与函数 的图象关于直线 对称, , . 资料收集整理【淘宝店铺:向阳百分百】 30 学科网(北京)股份有限公司又 在 上单调递增 . ∴不等式的解集为 . 故答案为: . 61.若函数 ,函数 与函数 图象关于 对称,则 的单调 增区间是( ) A. B. C. D. 【答案】A 【分析】由题意可知 是 的反函数,即可求出 ,进而得出 的解析 式,由复合函数单调性的性质求解即可. 【详解】∵函数 与 的图象关于直线 对称, ∴函数 是 的反函数,则 , ∴ , 由 ,解得 , 令 , , 在 上单调递增,在 上单调递减, 又 在 上单调递减, ∴ 的单调增区间为 . 故选:A. 资料收集整理【淘宝店铺:向阳百分百】 31 学科网(北京)股份有限公司