当前位置:首页>文档>2023版新教材高考生物微专题小练习专练85种群数量的变化图像分析202208091256_通用版(老高考)复习资料_2023年复习资料_一轮复习_2023届高考生物一轮微专题100练

2023版新教材高考生物微专题小练习专练85种群数量的变化图像分析202208091256_通用版(老高考)复习资料_2023年复习资料_一轮复习_2023届高考生物一轮微专题100练

  • 2026-04-29 01:27:19 2026-04-29 01:22:49

文档预览

2023版新教材高考生物微专题小练习专练85种群数量的变化图像分析202208091256_通用版(老高考)复习资料_2023年复习资料_一轮复习_2023届高考生物一轮微专题100练
2023版新教材高考生物微专题小练习专练85种群数量的变化图像分析202208091256_通用版(老高考)复习资料_2023年复习资料_一轮复习_2023届高考生物一轮微专题100练
2023版新教材高考生物微专题小练习专练85种群数量的变化图像分析202208091256_通用版(老高考)复习资料_2023年复习资料_一轮复习_2023届高考生物一轮微专题100练
2023版新教材高考生物微专题小练习专练85种群数量的变化图像分析202208091256_通用版(老高考)复习资料_2023年复习资料_一轮复习_2023届高考生物一轮微专题100练
2023版新教材高考生物微专题小练习专练85种群数量的变化图像分析202208091256_通用版(老高考)复习资料_2023年复习资料_一轮复习_2023届高考生物一轮微专题100练
2023版新教材高考生物微专题小练习专练85种群数量的变化图像分析202208091256_通用版(老高考)复习资料_2023年复习资料_一轮复习_2023届高考生物一轮微专题100练
2023版新教材高考生物微专题小练习专练85种群数量的变化图像分析202208091256_通用版(老高考)复习资料_2023年复习资料_一轮复习_2023届高考生物一轮微专题100练
2023版新教材高考生物微专题小练习专练85种群数量的变化图像分析202208091256_通用版(老高考)复习资料_2023年复习资料_一轮复习_2023届高考生物一轮微专题100练

文档信息

文档格式
docx
文档大小
0.131 MB
文档页数
4 页
上传时间
2026-04-29 01:22:49

文档内容

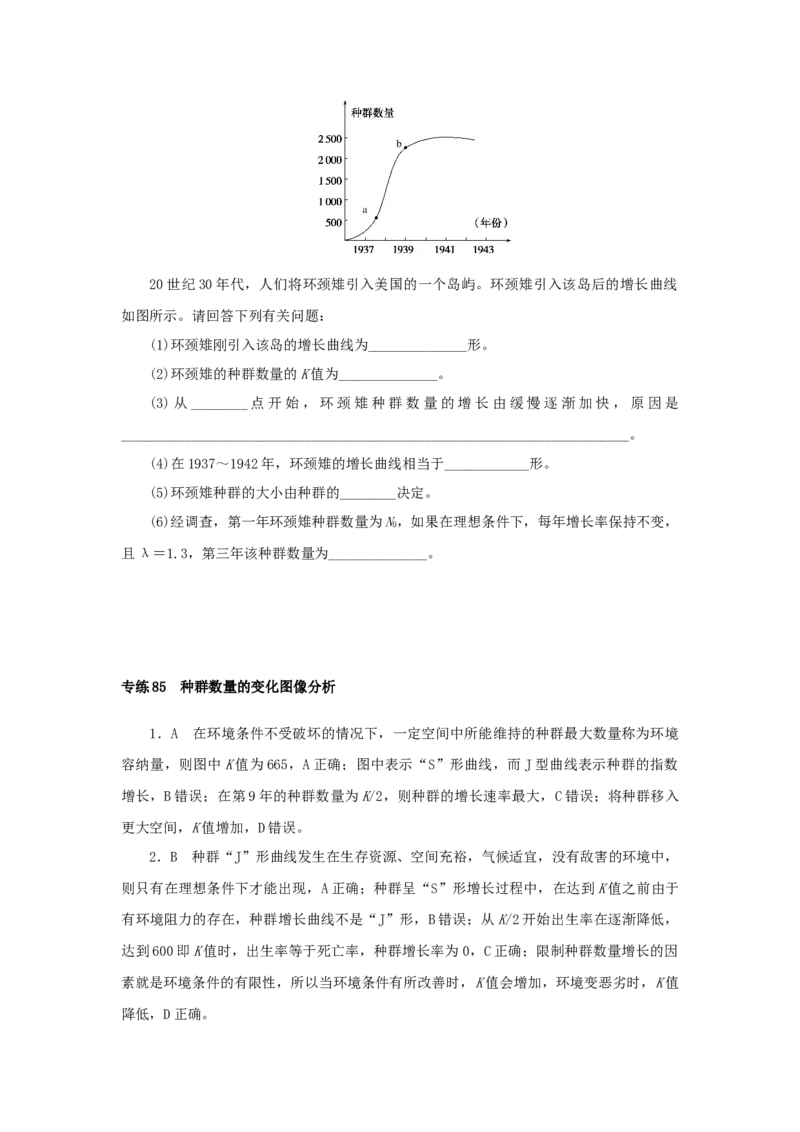
专练85 种群数量的变化图像分析 1.如图表示酵母种群在人工培养条件下的增长曲线。有关叙述正确的是( ) A.K值是该种群的环境容纳量 B.种群数量呈“J”形增长 C.在K值时,种群的增长速率最大 D.将种群移入更大空间,K值不变 2.关于图中种群数量变化说法错误的是( ) A.种群“J”形曲线只有在理想条件下才能出现 B.种群呈“S”形增长过程中,在达到K值之前就是“J”形增长 C.自然状态下种群数量达到600时,种群的增长速率为0 D.环境条件变化时,种群的K值也会发生相应变化 3.如图表示为理想状态下和自然环境中某生物的种群数量变化曲线,下列说法正确的 是( ) ①阴影部分表示环境中影响种群增长的阻力②a为“J”形曲线,b为“S”形曲线 ③阴影部分的个体数量表示通过生存斗争被淘汰的个体数 ④K值为环境容纳量 A.①②③ B.②③④ C.①②④ D.①②③④ 4.下图表示某海域大黄鱼种群数量与种群增长速率的变化曲线。下列有关说法正确的 是( ) A.图中a点种群年龄结构为增长型,c点为衰退型 B.a点和c点种群增长速率相同,所以种内竞争程度相同 C.在环境条件不受破坏的情况下,该海域大黄鱼种群的K值为2b D.用标记重捕法调查该种群密度时,若标记个体易于被捕食则估计值偏低 5. 如图所示为某一动物种群迁入一个适宜环境后的增长曲线图,下列说法正确的是( ) A.此图中的增长曲线上的b点表示“K”值 B.该种群增长速率最快的时间大约在第2年 C.第7年开始该种群的出生率小于死亡率 D.在第10年时该种群的出生率约等于死亡率 6.20世纪30年代,人们将环颈雉引入美国的一个岛屿。环颈雉引入该岛后的增长曲线 如图所示。请回答下列有关问题: (1)环颈雉刚引入该岛的增长曲线为______________形。 (2)环颈雉的种群数量的K值为______________。 (3)从________点开始,环颈雉种群数量的增长由缓慢逐渐加快,原因是 ________________________________________________________________________。 (4)在1937~1942年,环颈雉的增长曲线相当于____________形。 (5)环颈雉种群的大小由种群的________决定。 (6)经调查,第一年环颈雉种群数量为N,如果在理想条件下,每年增长率保持不变, 0 且λ=1.3,第三年该种群数量为______________。 专练85 种群数量的变化图像分析 1.A 在环境条件不受破坏的情况下,一定空间中所能维持的种群最大数量称为环境 容纳量,则图中K值为665,A正确;图中表示“S”形曲线,而J型曲线表示种群的指数 增长,B错误;在第9年的种群数量为K/2,则种群的增长速率最大,C错误;将种群移入 更大空间,K值增加,D错误。 2.B 种群“J”形曲线发生在生存资源、空间充裕,气候适宜,没有敌害的环境中, 则只有在理想条件下才能出现,A正确;种群呈“S”形增长过程中,在达到K值之前由于 有环境阻力的存在,种群增长曲线不是“J”形,B错误;从K/2开始出生率在逐渐降低, 达到600即K值时,出生率等于死亡率,种群增长率为 0,C正确;限制种群数量增长的因 素就是环境条件的有限性,所以当环境条件有所改善时,K值会增加,环境变恶劣时,K值 降低,D正确。3.D 在理想条件下,种群数量增长为“J”形曲线,在自然环境中,种群数量增长一 般为“S”形曲线;两曲线之间的数量差值就是由于环境阻力而淘汰掉的个体数。 4.C c点种群增长速率大于0,所以种群年龄结构为增长型,A错误;c点比a点种 群数量大,所以种内竞争程度较高,B错误;b点对应于种群的K/2,该海域大黄鱼种群的 K值为2b,C正确;根据标记重捕法的公式种群中的个体数=第一次捕获数×第二次捕获 数÷标记后重新捕获数,可得,若标记个体更易于被捕食,则第二次捕获中被标记的个体 数减小,故种群密度的估计值会偏高,D错误。 5.D 分析题图可知:该图是种群“S”形增长曲线的模式图,d点对应的值100,是 种群的环境容纳量,即K值;b点对应的种群数量是50,即为K/2,此时种群增长速率最 大;在0~10年之间,种群的增长速率先增大,后减小,在K值时增长速率下降至0,此时 出生率与死亡率相等。 6.(1)“J” (2)2 500 (3)a 环颈雉生活的空间条件、食物等充裕,气候适宜,也 没有敌害,因此环颈雉的种群数量增长迅速 (4)“S” (5)出生率和死亡率、迁入率和迁 出率 (6)1.69N 0 解析:(1)由题图可知环颈雉刚引入该岛的增长曲线为“J”形。(2)由题图可知环颈雉 的种群数量的最大值即K值为2 500。(3)从a点开始,环颈雉种群数量的增长由缓慢逐渐 加快,原因是环颈雉生活的空间条件、食物等充裕,气候适宜,也没有敌害,因此环颈雉 的种群数量增长迅速。(4)在1937~1942年,环颈雉的增长曲线相当于“S”形。(5)环颈 雉种群的大小由种群的出生率和死亡率、迁入率和迁出率直接决定。(6)由于每年增长率保 持不变,且λ=1.3,所以该种群是以“J”形增长曲线增长的,第三年该种群数量为 1.32N,即1.69N。 0 0