当前位置:首页>文档>专练73 种群数量的变化图像分析_通用版(老高考)复习资料_2023年复习资料_专项复习_2023《微专题·小练习》·生物

专练73 种群数量的变化图像分析_通用版(老高考)复习资料_2023年复习资料_专项复习_2023《微专题·小练习》·生物

  • 2026-04-29 17:37:08 2026-04-29 17:36:44

文档预览

专练73 种群数量的变化图像分析_通用版(老高考)复习资料_2023年复习资料_专项复习_2023《微专题·小练习》·生物
专练73 种群数量的变化图像分析_通用版(老高考)复习资料_2023年复习资料_专项复习_2023《微专题·小练习》·生物
专练73 种群数量的变化图像分析_通用版(老高考)复习资料_2023年复习资料_专项复习_2023《微专题·小练习》·生物
专练73 种群数量的变化图像分析_通用版(老高考)复习资料_2023年复习资料_专项复习_2023《微专题·小练习》·生物
专练73 种群数量的变化图像分析_通用版(老高考)复习资料_2023年复习资料_专项复习_2023《微专题·小练习》·生物
专练73 种群数量的变化图像分析_通用版(老高考)复习资料_2023年复习资料_专项复习_2023《微专题·小练习》·生物

文档信息

文档格式
docx
文档大小
0.160 MB
文档页数
3 页
上传时间
2026-04-29 17:36:44

文档内容

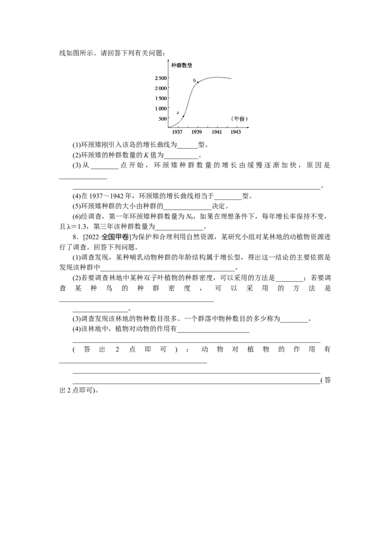
专练 73 种群数量的变化图像分析 1.如图表示酵母种群在人工培养条件下的增长曲线。有关叙述正确的是( ) A.K值是该种群的环境容纳量 B.种群数量呈“J”型增长 C.在K值时,种群的增长速率最大 D.将种群移入更大空间,K值不变 2.关于图中种群数量变化说法错误的是( ) A.种群“J”型曲线只有在理想条件下才能出现 B.种群呈“S”型增长过程中,在达到K值之前就是“J”型增长 C.自然状态下种群数量达到600时,种群的增长速率为0 D.环境条件变化时,种群的K值也会发生相应变化 3.如图表示为理想状态下和自然环境中某生物的种群数量变化曲线,下列说法正确的 是( ) ①阴影部分表示环境中影响种群增长的阻力 ②a为“J”型曲线,b为“S”型曲线 ③ 阴影部分的个体数量表示通过生存斗争被淘汰的个体数 ④K值为环境容纳量 A.①②③ B.②③④ C.①②④ D.①②③④ 4.下图表示某海域大黄鱼种群数量与种群增长速率的变化曲线。下列有关说法正确的 是( )A.图中a点种群年龄组成为增长型,c点为衰退型 B.a点和c点种群增长速率相同,所以种内斗争程度相同 C.在环境条件不受破坏的情况下,该海域大黄鱼种群的K值为2b D.用标志重捕法调查该种群密度时,若标志个体易于被捕食则估计值偏低 5.某实验小组用细菌甲(异养生物)作为材料来探究不同条件下种群增长的特点,设计 了三个实验组,每组接种相同数量的细菌甲后进行培养,培养过程中定时更新培养基,三 组的更新时间间隔分别为3 h、10 h、23 h,得到a、b、c三条种群增长曲线,如图所示。 下列叙述错误的是( ) A.细菌甲能够将培养基中的有机物分解成无机物 B.培养基更换频率的不同,可用来表示环境资源量的不同 C.在培养到23 h之前,a组培养基中的营养和空间条件都是充裕的 D.培养基更新时间间隔为23 h时,种群增长不会出现J型增长阶段 6.某草原生态系统中植物和食草动物两个种群数量的动态模型如图所示。下列叙述错 误的是( ) A.食草动物进入早期,其种群数量增长大致呈“J”型曲线 B.图中点a的纵坐标值代表食草动物的环境容纳量 C.该生态系统的相对稳定与植物和食草动物之间的负反馈调节有关 D.过度放牧会降低草原生态系统的抵抗力稳定性 7.20世纪30年代,人们将环颈雉引入美国的一个岛屿。环颈雉引入该岛后的增长曲线如图所示。请回答下列有关问题: (1)环颈雉刚引入该岛的增长曲线为______型。 (2)环颈雉的种群数量的K值为__________。 (3)从________点开始,环颈雉种群数量的增长由缓慢逐渐加快,原因是 ______________ ________________________________________________________________________。 (4)在1937~1942年,环颈雉的增长曲线相当于________型。 (5)环颈雉种群的大小由种群的______________决定。 (6)经调查,第一年环颈雉种群数量为N ,如果在理想条件下,每年增长率保持不变, 0 且λ=1.3,第三年该种群数量为______________。 8.[2022·全国甲卷]为保护和合理利用自然资源,某研究小组对某林地的动植物资源进 行了调查。回答下列问题。 (1)调查发现,某种哺乳动物种群的年龄结构属于增长型,得出这一结论的主要依据是 发现该种群中_______________________________________。 (2)若要调查林地中某种双子叶植物的种群密度,可以采用的方法是________;若要调 查 某 种 鸟 的 种 群 密 度 , 可 以 采 用 的 方 法 是 _____________________________________________ ________________。 (3)调查发现该林地的物种数目很多。一个群落中物种数目的多少称为________。 (4)该林地中,植物对动物的作用有_____________________ ________________________________________________________________________ ( 答 出 2 点 即 可 ) ; 动 物 对 植 物 的 作 用 有 ___________________________________________ ________________________________________________________________________ ________________________________________________________________________(答 出2点即可)。