文档内容
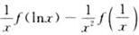
军队文职人员招聘《数学3》模拟试题四
即刻题库 www.jike.vip
1 、 单选题
A :
B :
C :
D :
2 、 单选题
A : 跳跃间断点
B : 可去间断点
C : 无穷间断点
D : 振荡间断点
3 、 单选题
A :
B :
C :
D :
4 、 单选题
A : 取得极大值
B : 取得极小值
C :
D :
5 、 单选题
若f(x)是以l为周期的连续函数,则其原函数()
A : 是以l为周期的函数
B : 是周期函数,但周期不是l
C : 不是周期函数
D : 不一定是周期函数
6 、 单选题
位于两圆r=2sinθ,r=4sinθ之间质量均匀的薄板的形心坐标是().
A :
B :
C :
D :
7 、 单选题
A : 必为(-l,l)内的奇函数
B : 必为(-l,l)内的偶函数
C : 必为(-l,l)内的非奇非偶函数
D : 可能是奇函数也可能是偶函数
8 、 单选题
A : Δz=dz
B :
C :
D :
9 、 单选题
下列结论正确的是().
A :
B :
C :
D :
10 、 单选题
函数y=f(x)在x点可微的充要条件是().
A :
B :
C :
D : 以上都不对
11 、 单选题
A :
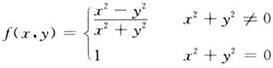
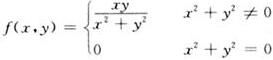
B :
C :
D :
12 、 单选题
下列n阶行列式,一定等于-1的是()。
A :
B :
C :
D :
13 、 单选题
A : 与△x同阶但不等价的无穷小
B : 与△x等价的无穷小
C : 比△x高阶的无穷小
D : 比△x低阶的无穷小
14 、 单选题
A :
B :
C :
D :
15 、 单选题
A :
B :
C :
D :
16 、 单选题
A : 0
B : 1
C : 2
D : ∞
17 、 单选题
A : f(2x)+C
B : f(x)+C
C :
D : 2f(2x)+C18 、 单选题
A :
B :
C :
D :
19 、 单选题
A :
B :
C :
D :
20 、 单选题
设z=x3-3x+y2,则它在点(1,0)处()
A : 取得极大值
B : 不取得极值
C : 取得极小值D : 不能确定是否取得极值
21 、 单选题
A :
B :
C :
D :
22 、 单选题
A :
B :
C :
D :
23 、 单选题
下列结论中正确的是()
A :
B :
C :
D :
24 、 单选题
A :
B :
C :
D :
25 、 单选题A :
B :
C :
D :
26 、 单选题
A : 1
B : 2
C : 3
D : 无穷多个
27 、 单选题
A :
B :
C :
D :
28 、 单选题
下列二次型中正定二次型是()。
A :
B :
C :
D :
29 、 单选题
A : -4/3
B : 4/3
C : -2/3
D : 不存在
30 、 单选题
A : -1
B : 0
C : 1
D : 2
31 、 单选题
A : a<-1
B : a≠-1
C : a≠1
D : a>132 、 单选题
A : 反对称矩阵
B : 正交矩阵
C : 对称矩阵
D : 对角矩阵
33 、 单选题
下列矩阵中不能相似对角化的为()。
A :
B :
C :
D :
34 、 单选题
A :
B :
C :
D :
35 、 单选题
A :
B :
C :
D :
36 、 单选题
A : π
B : -π
C : 2π
D : -2π
37 、 单选题
A : 0
B : 1
C : 不存在
D : -138 、 单选题
A :
B :
C :
D :
39 、 单选题
A : 0
B : 1
C : π
D : 2π
40 、 单选题
A :
B :
C :
D :
41 、 单选题
A : 1或2
B : -1或-2
C : 1或-2
D : -1或2.
42 、 单选题
A : -z
B : z
C : -y
D : y
43 、 单选题
A : 取得极小值0
B : 取得极大值0
C : 无极值
D : 以上都不对
44 、 单选题
A :
B :
C :
D :
45 、 单选题
A : △y>dy>0
B : △y<dy<1
C : △y<dy<-1
D : △y>dy<2
46 、 单选题
A : 0
B : 1
C : 2
D : 3
47 、 单选题
A :
B :
C :
D :
48 、 单选题
A :
B :
C :
D :
49 、 单选题
A : 当n为偶数时,x=0是f(x)的极大值点
B : 当n为奇数时,x=0是f(x)的极小值点
C : 当n为奇数时,x=0是f(x)的极大值点
D : 当n为偶数时,x=0是f(x)的极小值点
50 、 单选题
A : A是对称矩阵
B : A是实矩阵
C : A有正特征值
D : A不能对角化
51 、 单选题A : 没有实根
B : 有两个实根
C : 有无穷多个实根
D : 有且仅有一个实根
52 、 单选题
A : 1个
B : 2个
C : 3个
D : 4个
53 、 单选题
A : a=b=3
B : a=2/3,b=5/2
C : a=3/2,b=1/2
D : a=-2,b=-3
54 、 单选题
设雨滴为球体状,若雨滴聚集水分的速率与表面积成正比,则在雨滴形成过程中(一直保
持球体状),雨滴半径增加的速率()
A : 与体积的立方根成正比
B : 与球体半径成正比
C : 与体积成正比
D : 为一常数
55 、 单选题
A :
B :
C :
D :
56 、 单选题
横断面积为S、深为h的水池中装满了水,把池中的水全部抽到距地面高为H的水塔中所
作的功w=()
A :
B :
C :
D :
57 、 单选题
A :
B :
C :
D :
58 、 单选题
下列矩阵中,()不是初等矩阵。
A :
B :
C :
D :
59 、 单选题
下列二元函数中,在全平面上连续的是()
A :
B :
C :
D :
60 、 单选题A :
B :
C :
D :
61 、 单选题
A : 2
B : 4
C : 6
D : 8
62 、 单选题
A :
B :
C :
D :
63 、 单选题
设函数u(x,y),v(x,y)在点(x,y)的某邻域可微分,则在点(x,y)处有grad(uv)=()
A : gradu·gradv
B : ugradv+vgradu
C : ugradv
D : vgradu
64 、 单选题
A : Φ(x)是奇函数
B : Φ(x)是偶函数
C : Φ(x)是非奇非偶函数
D : Φ(x)是奇偶性不确定
65 、 单选题
A :
B :
C :
D :
66 、 单选题A : -4
B : 0
C : 1
D : 4
67 、 单选题
A : k=0
B : k=1
C : k=-1
D : k=2
68 、 单选题
A : xy
B : 2xy
C :
D : xy+1
69 、 单选题
奇函数f(x)在闭区间[-1,1]上可导,且f′(x)≤M(M为正常数),则必有()
A : f(x)≥M
B : f(x)>M
C : f(x)≤M
D : f(x)<M
70 、 单选题
A :
B :
C :
D :
71 、 单选题
A : (-1,0)
B : (0,1)
C : (1,2)
D : (2,3)
72 、 单选题
A :
B :
C :
D :
73 、 单选题
A :
B :
C :
D :
74 、 单选题
A : 0或1
B : ±1
C : 都是0
D : 都是1
75 、 单选题
“对任意给定的ε∈(0,1),总存在正整数N,当n≥N时,恒有xn-a≤2ε”是数列{xn}收敛
于a的()
A : 充分条件但非必要条件
B : 必要条件但非充分条件
C : 充分必要条件
D : 既非充分又非必要条件
76 、 单选题
A : 极限不存在
B : 极限存在但不连续
C : 连续但不可导
D : 可导
77 、 判断题
若A是实对称矩阵,则若|A|>O,则A为正定的
A : 对
B : 错78 、 判断题
A : 对
B : 错
79 、 判断题
A : 对
B : 错
80 、 判断题
A : 对
B : 错
81 、 判断题
方阵A可逆的充分必要条件是A的特征值不全为零
A : 对
B : 错
82 、 判断题
若A是m×n矩阵,且m≠n,则当R(A)=n时,齐次线性方程组AX=0只有零解
A : 对
B : 错
B :
C :
D :
2 、 单选题
A : 跳跃间断点
B : 可去间断点
C : 无穷间断点
D : 振荡间断点
3 、 单选题
A :
B :
C :
D :
4 、 单选题
A : 取得极大值
B : 取得极小值
C :
D :
5 、 单选题
若f(x)是以l为周期的连续函数,则其原函数()
A : 是以l为周期的函数
B : 是周期函数,但周期不是l
C : 不是周期函数
D : 不一定是周期函数
6 、 单选题
位于两圆r=2sinθ,r=4sinθ之间质量均匀的薄板的形心坐标是().
A :
B :
C :
D :
7 、 单选题
A : 必为(-l,l)内的奇函数
B : 必为(-l,l)内的偶函数
C : 必为(-l,l)内的非奇非偶函数
D : 可能是奇函数也可能是偶函数
8 、 单选题
A : Δz=dz
B :
C :
D :
9 、 单选题
下列结论正确的是().
A :
B :
C :
D :
10 、 单选题
函数y=f(x)在x点可微的充要条件是().
A :
B :
C :
D : 以上都不对
11 、 单选题
A :
B :
C :
D :
12 、 单选题
下列n阶行列式,一定等于-1的是()。
A :
B :
C :
D :
13 、 单选题
A : 与△x同阶但不等价的无穷小
B : 与△x等价的无穷小
C : 比△x高阶的无穷小
D : 比△x低阶的无穷小
14 、 单选题
A :
B :
C :
D :
15 、 单选题
A :
B :
C :
D :
16 、 单选题
A : 0
B : 1
C : 2
D : ∞
17 、 单选题
A : f(2x)+C
B : f(x)+C
C :
D : 2f(2x)+C18 、 单选题
A :
B :
C :
D :
19 、 单选题
A :
B :
C :
D :
20 、 单选题
设z=x3-3x+y2,则它在点(1,0)处()
A : 取得极大值
B : 不取得极值
C : 取得极小值D : 不能确定是否取得极值
21 、 单选题
A :
B :
C :
D :
22 、 单选题
A :
B :
C :
D :
23 、 单选题
下列结论中正确的是()
A :
B :
C :
D :
24 、 单选题
A :
B :
C :
D :
25 、 单选题A :
B :
C :
D :
26 、 单选题
A : 1
B : 2
C : 3
D : 无穷多个
27 、 单选题
A :
B :
C :
D :
28 、 单选题
下列二次型中正定二次型是()。
A :
B :
C :
D :
29 、 单选题
A : -4/3
B : 4/3
C : -2/3
D : 不存在
30 、 单选题
A : -1
B : 0
C : 1
D : 2
31 、 单选题
A : a<-1
B : a≠-1
C : a≠1
D : a>132 、 单选题
A : 反对称矩阵
B : 正交矩阵
C : 对称矩阵
D : 对角矩阵
33 、 单选题
下列矩阵中不能相似对角化的为()。
A :
B :
C :
D :
34 、 单选题
A :
B :
C :
D :
35 、 单选题
A :
B :
C :
D :
36 、 单选题
A : π
B : -π
C : 2π
D : -2π
37 、 单选题
A : 0
B : 1
C : 不存在
D : -138 、 单选题
A :
B :
C :
D :
39 、 单选题
A : 0
B : 1
C : π
D : 2π
40 、 单选题
A :
B :
C :
D :
41 、 单选题
A : 1或2
B : -1或-2
C : 1或-2
D : -1或2.
42 、 单选题
A : -z
B : z
C : -y
D : y
43 、 单选题
A : 取得极小值0
B : 取得极大值0
C : 无极值
D : 以上都不对
44 、 单选题
A :
B :
C :
D :
45 、 单选题
A : △y>dy>0
B : △y<dy<1
C : △y<dy<-1
D : △y>dy<2
46 、 单选题
A : 0
B : 1
C : 2
D : 3
47 、 单选题
A :
B :
C :
D :
48 、 单选题
A :
B :
C :
D :
49 、 单选题
A : 当n为偶数时,x=0是f(x)的极大值点
B : 当n为奇数时,x=0是f(x)的极小值点
C : 当n为奇数时,x=0是f(x)的极大值点
D : 当n为偶数时,x=0是f(x)的极小值点
50 、 单选题
A : A是对称矩阵
B : A是实矩阵
C : A有正特征值
D : A不能对角化
51 、 单选题A : 没有实根
B : 有两个实根
C : 有无穷多个实根
D : 有且仅有一个实根
52 、 单选题
A : 1个
B : 2个
C : 3个
D : 4个
53 、 单选题
A : a=b=3
B : a=2/3,b=5/2
C : a=3/2,b=1/2
D : a=-2,b=-3
54 、 单选题
设雨滴为球体状,若雨滴聚集水分的速率与表面积成正比,则在雨滴形成过程中(一直保
持球体状),雨滴半径增加的速率()
A : 与体积的立方根成正比
B : 与球体半径成正比
C : 与体积成正比
D : 为一常数
55 、 单选题
A :
B :
C :
D :
56 、 单选题
横断面积为S、深为h的水池中装满了水,把池中的水全部抽到距地面高为H的水塔中所
作的功w=()
A :
B :
C :
D :
57 、 单选题
A :
B :
C :
D :
58 、 单选题
下列矩阵中,()不是初等矩阵。
A :
B :
C :
D :
59 、 单选题
下列二元函数中,在全平面上连续的是()
A :
B :
C :
D :
60 、 单选题A :
B :
C :
D :
61 、 单选题
A : 2
B : 4
C : 6
D : 8
62 、 单选题
A :
B :
C :
D :
63 、 单选题
设函数u(x,y),v(x,y)在点(x,y)的某邻域可微分,则在点(x,y)处有grad(uv)=()
A : gradu·gradv
B : ugradv+vgradu
C : ugradv
D : vgradu
64 、 单选题
A : Φ(x)是奇函数
B : Φ(x)是偶函数
C : Φ(x)是非奇非偶函数
D : Φ(x)是奇偶性不确定
65 、 单选题
A :
B :
C :
D :
66 、 单选题A : -4
B : 0
C : 1
D : 4
67 、 单选题
A : k=0
B : k=1
C : k=-1
D : k=2
68 、 单选题
A : xy
B : 2xy
C :
D : xy+1
69 、 单选题
奇函数f(x)在闭区间[-1,1]上可导,且f′(x)≤M(M为正常数),则必有()
A : f(x)≥M
B : f(x)>M
C : f(x)≤M
D : f(x)<M
70 、 单选题
A :
B :
C :
D :
71 、 单选题
A : (-1,0)
B : (0,1)
C : (1,2)
D : (2,3)
72 、 单选题
A :
B :
C :
D :
73 、 单选题
A :
B :
C :
D :
74 、 单选题
A : 0或1
B : ±1
C : 都是0
D : 都是1
75 、 单选题
“对任意给定的ε∈(0,1),总存在正整数N,当n≥N时,恒有xn-a≤2ε”是数列{xn}收敛
于a的()
A : 充分条件但非必要条件
B : 必要条件但非充分条件
C : 充分必要条件
D : 既非充分又非必要条件
76 、 单选题
A : 极限不存在
B : 极限存在但不连续
C : 连续但不可导
D : 可导
77 、 判断题
若A是实对称矩阵,则若|A|>O,则A为正定的
A : 对
B : 错78 、 判断题
A : 对
B : 错
79 、 判断题
A : 对
B : 错
80 、 判断题
A : 对
B : 错
81 、 判断题
方阵A可逆的充分必要条件是A的特征值不全为零
A : 对
B : 错
82 、 判断题
若A是m×n矩阵,且m≠n,则当R(A)=n时,齐次线性方程组AX=0只有零解
A : 对
B : 错