当前位置:首页>文档>0-军队文职人员招聘《数学3》模拟预测19-325698_军队文职(1)_01.军队文职真题-专业课_(全)版本一(历年真题+章节练习+模拟题)_数学3(军队文职)_预测模拟_题目+解析

0-军队文职人员招聘《数学3》模拟预测19-325698_军队文职(1)_01.军队文职真题-专业课_(全)版本一(历年真题+章节练习+模拟题)_数学3(军队文职)_预测模拟_题目+解析

  • 2026-04-08 06:47:33 2026-01-28 10:45:04

文档预览

0-军队文职人员招聘《数学3》模拟预测19-325698_军队文职(1)_01.军队文职真题-专业课_(全)版本一(历年真题+章节练习+模拟题)_数学3(军队文职)_预测模拟_题目+解析
0-军队文职人员招聘《数学3》模拟预测19-325698_军队文职(1)_01.军队文职真题-专业课_(全)版本一(历年真题+章节练习+模拟题)_数学3(军队文职)_预测模拟_题目+解析
0-军队文职人员招聘《数学3》模拟预测19-325698_军队文职(1)_01.军队文职真题-专业课_(全)版本一(历年真题+章节练习+模拟题)_数学3(军队文职)_预测模拟_题目+解析
0-军队文职人员招聘《数学3》模拟预测19-325698_军队文职(1)_01.军队文职真题-专业课_(全)版本一(历年真题+章节练习+模拟题)_数学3(军队文职)_预测模拟_题目+解析
0-军队文职人员招聘《数学3》模拟预测19-325698_军队文职(1)_01.军队文职真题-专业课_(全)版本一(历年真题+章节练习+模拟题)_数学3(军队文职)_预测模拟_题目+解析
0-军队文职人员招聘《数学3》模拟预测19-325698_军队文职(1)_01.军队文职真题-专业课_(全)版本一(历年真题+章节练习+模拟题)_数学3(军队文职)_预测模拟_题目+解析
0-军队文职人员招聘《数学3》模拟预测19-325698_军队文职(1)_01.军队文职真题-专业课_(全)版本一(历年真题+章节练习+模拟题)_数学3(军队文职)_预测模拟_题目+解析
0-军队文职人员招聘《数学3》模拟预测19-325698_军队文职(1)_01.军队文职真题-专业课_(全)版本一(历年真题+章节练习+模拟题)_数学3(军队文职)_预测模拟_题目+解析
0-军队文职人员招聘《数学3》模拟预测19-325698_军队文职(1)_01.军队文职真题-专业课_(全)版本一(历年真题+章节练习+模拟题)_数学3(军队文职)_预测模拟_题目+解析
0-军队文职人员招聘《数学3》模拟预测19-325698_军队文职(1)_01.军队文职真题-专业课_(全)版本一(历年真题+章节练习+模拟题)_数学3(军队文职)_预测模拟_题目+解析
0-军队文职人员招聘《数学3》模拟预测19-325698_军队文职(1)_01.军队文职真题-专业课_(全)版本一(历年真题+章节练习+模拟题)_数学3(军队文职)_预测模拟_题目+解析
0-军队文职人员招聘《数学3》模拟预测19-325698_军队文职(1)_01.军队文职真题-专业课_(全)版本一(历年真题+章节练习+模拟题)_数学3(军队文职)_预测模拟_题目+解析
0-军队文职人员招聘《数学3》模拟预测19-325698_军队文职(1)_01.军队文职真题-专业课_(全)版本一(历年真题+章节练习+模拟题)_数学3(军队文职)_预测模拟_题目+解析
0-军队文职人员招聘《数学3》模拟预测19-325698_军队文职(1)_01.军队文职真题-专业课_(全)版本一(历年真题+章节练习+模拟题)_数学3(军队文职)_预测模拟_题目+解析
0-军队文职人员招聘《数学3》模拟预测19-325698_军队文职(1)_01.军队文职真题-专业课_(全)版本一(历年真题+章节练习+模拟题)_数学3(军队文职)_预测模拟_题目+解析
0-军队文职人员招聘《数学3》模拟预测19-325698_军队文职(1)_01.军队文职真题-专业课_(全)版本一(历年真题+章节练习+模拟题)_数学3(军队文职)_预测模拟_题目+解析
0-军队文职人员招聘《数学3》模拟预测19-325698_军队文职(1)_01.军队文职真题-专业课_(全)版本一(历年真题+章节练习+模拟题)_数学3(军队文职)_预测模拟_题目+解析
0-军队文职人员招聘《数学3》模拟预测19-325698_军队文职(1)_01.军队文职真题-专业课_(全)版本一(历年真题+章节练习+模拟题)_数学3(军队文职)_预测模拟_题目+解析
0-军队文职人员招聘《数学3》模拟预测19-325698_军队文职(1)_01.军队文职真题-专业课_(全)版本一(历年真题+章节练习+模拟题)_数学3(军队文职)_预测模拟_题目+解析
0-军队文职人员招聘《数学3》模拟预测19-325698_军队文职(1)_01.军队文职真题-专业课_(全)版本一(历年真题+章节练习+模拟题)_数学3(军队文职)_预测模拟_题目+解析
0-军队文职人员招聘《数学3》模拟预测19-325698_军队文职(1)_01.军队文职真题-专业课_(全)版本一(历年真题+章节练习+模拟题)_数学3(军队文职)_预测模拟_题目+解析
0-军队文职人员招聘《数学3》模拟预测19-325698_军队文职(1)_01.军队文职真题-专业课_(全)版本一(历年真题+章节练习+模拟题)_数学3(军队文职)_预测模拟_题目+解析
0-军队文职人员招聘《数学3》模拟预测19-325698_军队文职(1)_01.军队文职真题-专业课_(全)版本一(历年真题+章节练习+模拟题)_数学3(军队文职)_预测模拟_题目+解析
0-军队文职人员招聘《数学3》模拟预测19-325698_军队文职(1)_01.军队文职真题-专业课_(全)版本一(历年真题+章节练习+模拟题)_数学3(军队文职)_预测模拟_题目+解析
0-军队文职人员招聘《数学3》模拟预测19-325698_军队文职(1)_01.军队文职真题-专业课_(全)版本一(历年真题+章节练习+模拟题)_数学3(军队文职)_预测模拟_题目+解析
0-军队文职人员招聘《数学3》模拟预测19-325698_军队文职(1)_01.军队文职真题-专业课_(全)版本一(历年真题+章节练习+模拟题)_数学3(军队文职)_预测模拟_题目+解析
0-军队文职人员招聘《数学3》模拟预测19-325698_军队文职(1)_01.军队文职真题-专业课_(全)版本一(历年真题+章节练习+模拟题)_数学3(军队文职)_预测模拟_题目+解析
0-军队文职人员招聘《数学3》模拟预测19-325698_军队文职(1)_01.军队文职真题-专业课_(全)版本一(历年真题+章节练习+模拟题)_数学3(军队文职)_预测模拟_题目+解析
0-军队文职人员招聘《数学3》模拟预测19-325698_军队文职(1)_01.军队文职真题-专业课_(全)版本一(历年真题+章节练习+模拟题)_数学3(军队文职)_预测模拟_题目+解析
0-军队文职人员招聘《数学3》模拟预测19-325698_军队文职(1)_01.军队文职真题-专业课_(全)版本一(历年真题+章节练习+模拟题)_数学3(军队文职)_预测模拟_题目+解析
0-军队文职人员招聘《数学3》模拟预测19-325698_军队文职(1)_01.军队文职真题-专业课_(全)版本一(历年真题+章节练习+模拟题)_数学3(军队文职)_预测模拟_题目+解析
0-军队文职人员招聘《数学3》模拟预测19-325698_军队文职(1)_01.军队文职真题-专业课_(全)版本一(历年真题+章节练习+模拟题)_数学3(军队文职)_预测模拟_题目+解析
0-军队文职人员招聘《数学3》模拟预测19-325698_军队文职(1)_01.军队文职真题-专业课_(全)版本一(历年真题+章节练习+模拟题)_数学3(军队文职)_预测模拟_题目+解析
0-军队文职人员招聘《数学3》模拟预测19-325698_军队文职(1)_01.军队文职真题-专业课_(全)版本一(历年真题+章节练习+模拟题)_数学3(军队文职)_预测模拟_题目+解析
0-军队文职人员招聘《数学3》模拟预测19-325698_军队文职(1)_01.军队文职真题-专业课_(全)版本一(历年真题+章节练习+模拟题)_数学3(军队文职)_预测模拟_题目+解析
0-军队文职人员招聘《数学3》模拟预测19-325698_军队文职(1)_01.军队文职真题-专业课_(全)版本一(历年真题+章节练习+模拟题)_数学3(军队文职)_预测模拟_题目+解析
0-军队文职人员招聘《数学3》模拟预测19-325698_军队文职(1)_01.军队文职真题-专业课_(全)版本一(历年真题+章节练习+模拟题)_数学3(军队文职)_预测模拟_题目+解析
0-军队文职人员招聘《数学3》模拟预测19-325698_军队文职(1)_01.军队文职真题-专业课_(全)版本一(历年真题+章节练习+模拟题)_数学3(军队文职)_预测模拟_题目+解析
0-军队文职人员招聘《数学3》模拟预测19-325698_军队文职(1)_01.军队文职真题-专业课_(全)版本一(历年真题+章节练习+模拟题)_数学3(军队文职)_预测模拟_题目+解析
0-军队文职人员招聘《数学3》模拟预测19-325698_军队文职(1)_01.军队文职真题-专业课_(全)版本一(历年真题+章节练习+模拟题)_数学3(军队文职)_预测模拟_题目+解析
0-军队文职人员招聘《数学3》模拟预测19-325698_军队文职(1)_01.军队文职真题-专业课_(全)版本一(历年真题+章节练习+模拟题)_数学3(军队文职)_预测模拟_题目+解析
0-军队文职人员招聘《数学3》模拟预测19-325698_军队文职(1)_01.军队文职真题-专业课_(全)版本一(历年真题+章节练习+模拟题)_数学3(军队文职)_预测模拟_题目+解析
0-军队文职人员招聘《数学3》模拟预测19-325698_军队文职(1)_01.军队文职真题-专业课_(全)版本一(历年真题+章节练习+模拟题)_数学3(军队文职)_预测模拟_题目+解析
0-军队文职人员招聘《数学3》模拟预测19-325698_军队文职(1)_01.军队文职真题-专业课_(全)版本一(历年真题+章节练习+模拟题)_数学3(军队文职)_预测模拟_题目+解析
0-军队文职人员招聘《数学3》模拟预测19-325698_军队文职(1)_01.军队文职真题-专业课_(全)版本一(历年真题+章节练习+模拟题)_数学3(军队文职)_预测模拟_题目+解析
0-军队文职人员招聘《数学3》模拟预测19-325698_军队文职(1)_01.军队文职真题-专业课_(全)版本一(历年真题+章节练习+模拟题)_数学3(军队文职)_预测模拟_题目+解析
0-军队文职人员招聘《数学3》模拟预测19-325698_军队文职(1)_01.军队文职真题-专业课_(全)版本一(历年真题+章节练习+模拟题)_数学3(军队文职)_预测模拟_题目+解析
0-军队文职人员招聘《数学3》模拟预测19-325698_军队文职(1)_01.军队文职真题-专业课_(全)版本一(历年真题+章节练习+模拟题)_数学3(军队文职)_预测模拟_题目+解析
0-军队文职人员招聘《数学3》模拟预测19-325698_军队文职(1)_01.军队文职真题-专业课_(全)版本一(历年真题+章节练习+模拟题)_数学3(军队文职)_预测模拟_题目+解析
0-军队文职人员招聘《数学3》模拟预测19-325698_军队文职(1)_01.军队文职真题-专业课_(全)版本一(历年真题+章节练习+模拟题)_数学3(军队文职)_预测模拟_题目+解析
0-军队文职人员招聘《数学3》模拟预测19-325698_军队文职(1)_01.军队文职真题-专业课_(全)版本一(历年真题+章节练习+模拟题)_数学3(军队文职)_预测模拟_题目+解析
0-军队文职人员招聘《数学3》模拟预测19-325698_军队文职(1)_01.军队文职真题-专业课_(全)版本一(历年真题+章节练习+模拟题)_数学3(军队文职)_预测模拟_题目+解析
0-军队文职人员招聘《数学3》模拟预测19-325698_军队文职(1)_01.军队文职真题-专业课_(全)版本一(历年真题+章节练习+模拟题)_数学3(军队文职)_预测模拟_题目+解析
0-军队文职人员招聘《数学3》模拟预测19-325698_军队文职(1)_01.军队文职真题-专业课_(全)版本一(历年真题+章节练习+模拟题)_数学3(军队文职)_预测模拟_题目+解析
0-军队文职人员招聘《数学3》模拟预测19-325698_军队文职(1)_01.军队文职真题-专业课_(全)版本一(历年真题+章节练习+模拟题)_数学3(军队文职)_预测模拟_题目+解析

文档信息

文档格式
pdf
文档大小
1.407 MB
文档页数
51 页
上传时间
2026-01-28 10:45:04

文档内容

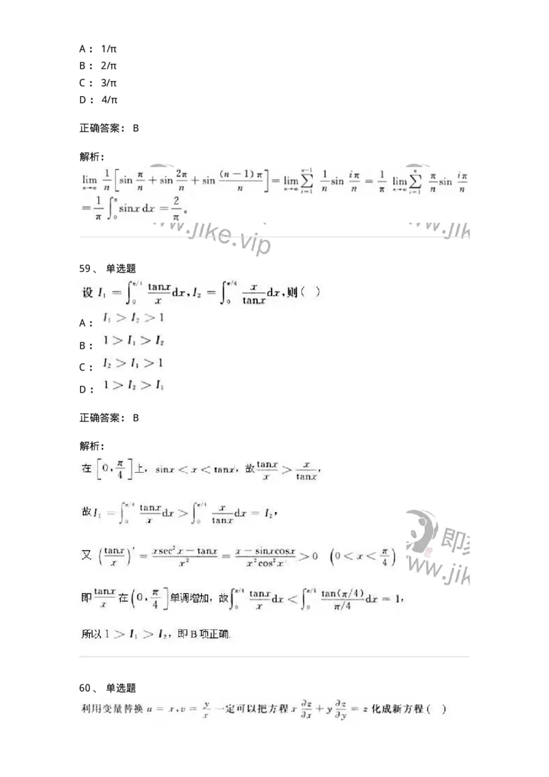
军队文职人员招聘《数学3》模拟预测19 即刻题库 www.jike.vip 1 、 单选题 A : 32 B : 48 C : 64 D : 16 正确答案: C 解析: 2 、 单选题 已知f(x)在[a,b]上二阶可导,且f′(x)≠0,问在下列的哪个条件下,能保证至少存在一 个ξ∈(a,b),使f″(ξ)+f(ξ)=0.() A : f′(a)f(b)=f′(b)f(a) B : f′(a)f(b)=f′(b)f(b) C : D :正确答案: D 解析: 3 、 单选题 A : y=-3(x+4) B : y=3(x+4) C : y=-1/3(x+4) D : y=1/3(x+4) 正确答案: C 解析: 4 、 单选题 A : B : C : D : 正确答案: B 解析:5 、 单选题 A : 仅与a有关 B : 仅与a无关 C : 与a及k均无关 D : 与a和k都有关 正确答案: C 解析: 6 、 单选题 A : B : C : D : 正确答案: D 解析: 7 、 单选题A : 0 B : 1 C : 2 D : 3 正确答案: A 解析: 8 、 单选题 A : 处处可导 B : 恰有一个不可导点 C : 恰有两个不可导点 D : 至少有三个不可导点 正确答案: C 解析:9 、 单选题 A : 仅有水平渐近线 B : 仅有铅垂渐近线 C : 既有铅直又有水平渐近线 D : 既有铅直又有斜渐近线 正确答案: D 解析: 10 、 单选题 n阶矩阵A可逆的充分必要条件是 A : 任一行向量都是非零向量 B : 任一列向量都是非零向量 C : D :正确答案: D 解析: 11 、 单选题 A : 定义域相同,值域相同 B : 定义域不同,值域不同 C : 定义域相同,值域不同 D : 定义域不同,值域相同 正确答案: B 解析: 12 、 单选题 设4阶矩阵A与B仅有第3行不同,且|A|=1,|B|=2,则|A+B|=()。 A : 3 B : 6 C : 12 D : 24 正确答案: D 解析:13 、 单选题 A : B : C : D : 正确答案: A 解析: 14 、 单选题 A : 2 B : 1 C : 0 D : 不存在 正确答案: A 解析:15 、 单选题 A : B : C : D : 0 正确答案: A 解析: 16 、 单选题 A : a=1,b=1/6B : a=-1,b=1/6 C : a=-1,b=-1/6 D : a=1,b=-1/6 正确答案: D 解析: 17 、 单选题 设2n阶行列式D的某一列元素及其余子式都等于a,则D=()。 A : 0 B : C : D : 正确答案: A 解析: 18 、 单选题 A : 充分条件 B : 必要条件 C : 充要条件 D : 以上都不是 正确答案: A解析: 19 、 单选题 A : 1 B : 2 C : 3 D : 个数与q有关 正确答案: A 解析: 20 、 单选题 A : 合同,且相似 B : 合同,但不相似 C : 不合同,但相似 D : 既不合同,也不相似 正确答案: B 解析: 21 、 单选题A : B : C : D : 正确答案: D 解析: 22 、 单选题 A : -2 B : -4 C : 0 D : π/2-2 正确答案: D 解析: 23 、 单选题 A : 连续点B : 无穷型间断点 C : 跳跃间断点 D : 可去间断点 正确答案: C 解析: 24 、 单选题 设A和B均为n阶矩阵,则必有()。 A : |A+B|=|A|+|B| B : AB=BA C : |AB|=|BA| D : 正确答案: C 解析: 25 、 单选题 A : 极限不存在 B : 极限存在但不连续 C : 连续但不可导 D : 可导 正确答案: D 解析:26 、 单选题 A : 2f(2) B : f(2) C : -f(2) D : 0 正确答案: B 解析: 27 、 单选题 函数厂(x)具有连续的二阶导数,且f″(0)≠0,则x=0()。 A : 不是函数f(x)的驻点 B : 一定是函数f(x)的极值点 C : 一定不是函数f(x)的极值点 D : 是否为函数f(x)的极值点,还不能确定 正确答案: D 解析: 由极值的必要条件可知,若f(x)在x=0处可导,且x=0是f(x)的极值点,则必有f′(0)=0。由 题干无法确定f′(0)是否等于0,因此不能确定x=0是否为函数f(x)的极值点。 28 、 单选题 f(x)是在(一∞,+∞)内以T为周期的函数,下列函数中以T为周期的函数是() A :B : C : D : 正确答案: C 解析: 29 、 单选题 A : 极限不存在 B : 极限存在但不连续 C : 连续但不可导 D : 可导 正确答案: D 解析: 30 、 单选题 设函数f(x)连续,则下列函数中必为偶函数的是()A : B : C : D : 正确答案: D 解析: 31 、 单选题 设两函数f(x)及g(x)都在x=a处取得极大值,则F(x)=f(x)g(x)在x=a处() A : 必取极大值 B : 必取极小值 C : 不可能取极值 D : 是否取得极值不能确定 正确答案: D 解析: 32 、 单选题设A为三阶方阵,|A|=3,则|-2A|=()。 A : 24 B : -24 C : 6 D : -6 正确答案: B 解析: 33 、 单选题 设A,B是n阶方阵,A≠0且AB=0,则(). A : |B|=0或|A|=0: B : B=0; C : BA=O: D : 正确答案: A 解析: 34 、 单选题 A : 1 B : 2 C : 3 D : 4 正确答案: C 解析: 35 、 单选题 A :B : C : D : 正确答案: B 解析: 36 、 单选题 以下四个命题中,正确的是() A : f′(x)在(0,1)内连续,则f′(x)在(0,1)内有界 B : f(x)在(0,1)内连续,则f(x)在(0,1)内有界 C : f′(x)在(0,1)内连续,则f(x)在(0,1)内有界 D : f(x)在(0,1)内连续,则f′(x)在(0,1)内有界 正确答案: C 解析: 37 、 单选题 设4阶矩阵A与B仅有第3行不同,且|A|=1,|B|=2,则|A+B|=()。 A : 3 B : 6 C : 12 D : 24 正确答案: D 解析:38 、 单选题 下列矩阵中A与B合同的是()。 A : B : C : D : 正确答案: C 解析: 39 、 单选题A : B : C : D : 不存在 正确答案: A 解析: 40 、 单选题 A : 仅有水平渐近线 B : 仅有铅垂渐近线 C : 既有铅直又有水平渐近线 D : 既有铅直又有斜渐近线 正确答案: D 解析: 41 、 单选题 A : B : C : D : 正确答案: C 解析:42 、 单选题 A : 3 B : 2 C : 1 D : 0 正确答案: B 解析: 43 、 单选题 A : B : C : D : 正确答案: A 解析: 44 、 单选题 A : F(x)在x=0点不连续 B : F(x)在(-∞,+∞)内连续,在x=0点不可导 C : F(x)在(-∞,+∞)内可导,且满足F′(x)=f(x) D : F(x)在(-∞,+∞)内可导,但不一定满足F′(x)=f(x)正确答案: B 解析: 45 、 单选题 A : B : C : D : 正确答案: C 解析:46 、 单选题 设函数f(x)在点x=a处可导,则函数|f(x)|在点x=a处不可导的充分条件是() A : f(a)=0且f′(a)=0 B : f(a)=0且f′(a)≠0 C : f(a)>0且f′(a)> D : f(a)<0且f′(a)< 正确答案: B 解析: 47 、 单选题 设A,B是n阶方阵,A≠0且AB=0,则(). A : |B|=0或|A|=0: B : B=0; C : BA=O: D : 正确答案: A 解析: 48 、 单选题 A : B : C : D : 正确答案: A 解析:49 、 单选题 A : 0 B : 1 C : D : 正确答案: D 解析: 50 、 单选题 A : 4π B : 8π C : 16π D : 32π 正确答案: C 解析:51 、 单选题 A : B : C : D : 不存在 正确答案: A 解析: 52 、 单选题 A : a=1,b=1/6 B : a=-1,b=1/6 C : a=-1,b=-1/6 D : a=1,b=-1/6 正确答案: D 解析:53 、 单选题 设A为三阶方阵,|A|=3,则|-2A|=()。 A : 24 B : -24 C : 6 D : -6 正确答案: B 解析: 54 、 单选题 以下关于二元函数的连续性的说法正确是() A : 若f(x,y)沿任意直线y=kx在点x=0处连续,则f(x,y)在(0,0)点连续 B : C : D : 以上说法都不对 正确答案: B 解析: 55 、 单选题 A : a=1 B : a=2 C : a=3 D : a=1/2 正确答案: B 解析:56 、 单选题 A : 1 B : 2 C : 3 D : 个数与q有关 正确答案: A 解析: 57 、 单选题 若方阵A与B相似,则有(). A : B : |A|=|B|: C : 对于相同的特征值λ,矩阵A与B有相同的特征向量: D : A与B均与同一个对角矩阵相似. 正确答案: B 解析: 58 、 单选题A : 1/π B : 2/π C : 3/π D : 4/π 正确答案: B 解析: 59 、 单选题 A : B : C : D : 正确答案: B 解析: 60 、 单选题A : B : C : D : 正确答案: A 解析: 61 、 单选题 A : B : C : D : 正确答案: C 解析: 62 、 单选题 A : 无界 B : 单调减少 C : 不连续D : 连续 正确答案: D 解析: 63 、 单选题 A : B : C : D : 正确答案: D 解析: 64 、 单选题 A : 合同,且相似 B : 合同,但不相似 C : 不合同,但相似 D : 既不合同,也不相似 正确答案: B解析: 65 、 单选题 A : B : C : D : 正确答案: C 解析: 66 、 单选题 A : 1/2 B : 2 C : 1 D : 0正确答案: C 解析: 67 、 单选题 A : 0 B : 1 C : D : 正确答案: D 解析: 68 、 单选题 A : 连续点 B : 第一类间断点 C : 可去间断点 D : 第二类间断点 正确答案: D 解析:69 、 单选题 设2n阶行列式D的某一列元素及其余子式都等于a,则D=()。 A : 0 B : C : D : 正确答案: A 解析: 70 、 单选题 A : B : C : D : 正确答案: C 解析: 71 、 单选题 A : 连续的奇函数 B : 连续的偶函数 C : 在x=0间断的奇函数 D : 在x=0间断的偶函数正确答案: B 解析: 72 、 单选题 A : B : C : D : 正确答案: A 解析: 73 、 单选题 A : 1/2 B : 2C : 1 D : 0 正确答案: C 解析: 74 、 单选题 A : y(x)有极小值,但无极大值 B : y(x)有极大值,但无极小值 C : y(x)既有极大值又有极小值 D : 无极值 正确答案: B 解析: 75 、 单选题 A : 连续点 B : 第一类间断点 C : 可去间断点 D : 第二类间断点 正确答案: D解析: 76 、 单选题 设A和B均为n阶矩阵,则必有()。 A : |A+B|=|A|+|B| B : AB=BA C : |AB|=|BA| D : 正确答案: C 解析: 77 、 单选题 A : 处处可导 B : 恰有一个不可导点 C : 恰有两个不可导点 D : 至少有三个不可导点 正确答案: C 解析:78 、 单选题 A : 0 B : C : D : 1 正确答案: B 解析:79 、 单选题 方程x-lnx-2=0在区间(0,+∞)内()。 A : 没有实根 B : 只有一个实根 C : 有两个相异的实根 D : 有两个以上相异实根 正确答案: C 解析: 80 、 单选题 A : 3 B : 2 C : 1 D : 0 正确答案: B 解析: 81 、 单选题 方程x-lnx-2=0在区间(0,+∞)内()。 A : 没有实根 B : 只有一个实根 C : 有两个相异的实根 D : 有两个以上相异实根 正确答案: C 解析:82 、 单选题 已知f(x)在[a,b]上二阶可导,且f′(x)≠0,问在下列的哪个条件下,能保证至少存在一 个ξ∈(a,b),使f″(ξ)+f(ξ)=0.() A : f′(a)f(b)=f′(b)f(a) B : f′(a)f(b)=f′(b)f(b) C : D : 正确答案: D 解析: 83 、 单选题 A : B : C : D : 正确答案: D 解析:84 、 单选题 A : B : C : D : 正确答案: A 解析: 85 、 单选题 A : B : C : D : 正确答案: D 解析:86 、 单选题 A : 32 B : 48 C : 64 D : 16 正确答案: C 解析: 87 、 单选题 设函数f(x)连续,则下列函数中必为偶函数的是() A : B : C :D : 正确答案: D 解析: 88 、 单选题 以下关于二元函数的连续性的说法正确是() A : 若f(x,y)沿任意直线y=kx在点x=0处连续,则f(x,y)在(0,0)点连续 B : C : D : 以上说法都不对 正确答案: B 解析: 89 、 单选题 A : 2 B : 1 C : 0 D : 不存在 正确答案: A 解析:90 、 单选题 A : B : C : D : 正确答案: D 解析: 91 、 单选题 A : B : C : D : 正确答案: A 解析:92 、 单选题 A : a B : 1/a C : D : 正确答案: C 解析: 93 、 单选题 A : xy B : 2xy C : xy+1/8 D : xy+1 正确答案: C 解析: 94 、 单选题 A : a=1B : a=2 C : a=3 D : a=1/2 正确答案: B 解析: 95 、 单选题 A : a=25,b=-20 B : a=b=25 C : a=1,b=3 D : a=1,b=2 正确答案: A 解析: 96 、 单选题 下列反常(广义)积分发散的是() A : B :C : D : 正确答案: A 解析: 97 、 单选题 A : B : C : D : 正确答案: B 解析: 98 、 单选题 A : α,β,γ B : α,γ,β C : β,α,γ D : β,γ,α正确答案: B 解析: 99 、 单选题 A : xy B : 2xy C : xy+1/8 D : xy+1 正确答案: C 解析: 100 、 单选题 A : 无间断点 B : 有间断点 C : 有断点 D : 无断点 正确答案: B 解析:101 、 单选题 下列反常(广义)积分收敛的是() A : B : C : D : 正确答案: C 解析: 102 、 单选题 A : π/4 B : 0 C : -π/4 D : π/2 正确答案: A 解析:103 、 单选题 下列说法正确的是(). A : 两个无穷大量之和一定是无穷大 B : 有界函数与无穷大量的乘积一定是无穷大 C : 无穷大与无穷大之积一定是无穷大 D : 不是无穷大量一定是有界的 正确答案: C 解析: 104 、 单选题 A : a>b B : a<b C : a=b D : a≥b 正确答案: C 解析: 105 、 单选题 A :B : C : D : 正确答案: D 解析: 106 、 单选题 A : π/4 B : 0 C : -π/4 D : π/2 正确答案: A 解析: 107 、 判断题 A : 对 B : 错 正确答案: B 解析:108 、 判断题 若A是m×n矩阵,且m≠n,则当A的列向量组线性无关时,A的行向量组也线性无关 A : 对 B : 错 正确答案: B 解析: 109 、 判断题 方阵A可逆的充分必要条件是A的特征值不全为零 A : 对 B : 错 正确答案: B 解析: 110 、 判断题 A : 对 B : 错 正确答案: A 解析: 111 、 判断题 若A是实对称矩阵,则若|A|>O,则A为正定的 A : 对 B : 错 正确答案: B 解析:112 、 判断题 对称矩阵A正定的充分必要条件是|A|>O A : 对 B : 错 正确答案: B 解析: