文档
办公文件
生活文档
学习资料
当前位置:
首页
>
文档
>91280801-重积分的概念与性质-194286_军队文职(1)_01.军队文职真题-专业课_(全)版本一(历年真题+章节练习+模拟题)_数学3(军队文职)_章节练习_纯题目
91280801-重积分的概念与性质-194286_军队文职(1)_01.军队文职真题-专业课_(全)版本一(历年真题+章节练习+模拟题)_数学3(军队文职)_章节练习_纯题目
2026-03-11 05:33:44
2026-01-29 13:41:08
文档预览
文档信息
文档格式
pdf
文档大小
0.063 MB
文档页数
1 页
上传时间
2026-01-29 13:41:08
下载文档
文档内容
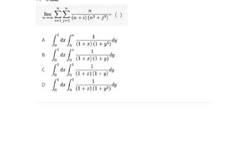
重积分的概念与性质 即刻题库 www.jike.vip 1 、 单选题
本文档来自网络内容,如有侵犯您的权益请联系我们删除,联系邮箱:wyl860211@qq.com。
上一篇
2341二上语文期中名校真题测试卷(含答案5页)(19)_二年级上下册资料_二年级上册小红书同款资料_二年级
下一篇
91280801-重积分的概念与性质-194286_军队文职(1)_01.军队文职真题-专业课_(全)版本一(历年真题+章节练习+模拟题)_数学3(军队文职)_章节练习_题目+解析
最新文档
专题01:语法填空之有提示词梳理(原题版)-2023年高考英语二轮复习讲练测(新高考专用)_3.2025英语总复习_2023年新高考资料_二轮复习_2023年高考英语二轮复习讲练测(新高考专用)
第08讲宾语从句(练习)-2024年中考英语一轮复习讲练测(全国通用)(原卷版)_02中考总复习(2026版更新中)_03-英语-中考总复习_2024年中考复习资料_一轮复习
2020年0822云南公务员考试《行测》真题_34省+国考真题_此文件夹为word版,不推荐使用_此word版为,不推荐使用_此word版为,不推荐使用_云南公务员考试真题word版
第08讲图文转换(讲义)-2024年中考语文一轮复习讲练测(全国通用)(解析版)_02中考总复习(2026版更新中)_01-语文-中考总复习_2024年中考资料_一轮复习_2024一轮复习课件+讲义+练习
专题02+劳动光荣(考教结合+强化巩固+学写时评)-2025年高考语文百日冲刺之教材主题作文预测++_1.2025语文总复习_2025年新高考资料_一轮复习_必修上册
2020年0822云南公务员考试《行测》真题_34省+国考真题_34省考+国考pdf版推荐用这个版本_34省行测+申论真题pdf推荐用这个版本_云南公务员考试真题pdf版_题目
第08讲图文转换(讲义)-2024年中考语文一轮复习讲练测(全国通用)(原卷版)_02中考总复习(2026版更新中)_01-语文-中考总复习_2024年中考资料_一轮复习_2024一轮复习课件+讲义+练习
专题01高频语法之名词、代词、冠词、介词与语法填空(解析版)_3.2025英语总复习_2024年新高考资料_2.2024二轮复习_2024年高考英语二轮热点题型归纳与变式演练(新高考通用)
2020年0809广东省公务员考试《申论》真题(县级卷)参考答案及解析_34省+国考真题_此文件夹为word版,不推荐使用_此word版为,不推荐使用_此word版为,不推荐使用
2020年0809广东省公务员考试《申论》真题(县级卷)参考答案及解析_34省+国考真题_34省考+国考pdf版推荐用这个版本_34省行测+申论真题pdf推荐用这个版本
热门文档
第08讲图文转换(练习)-2024年中考语文一轮复习讲练测(全国通用)(解析版)_02中考总复习(2026版更新中)_01-语文-中考总复习_2024年中考资料_一轮复习_2024一轮复习课件+讲义+练习
2020年0809广东省公务员考试《申论》真题(乡镇卷)参考答案及解析_34省+国考真题_此文件夹为word版,不推荐使用_此word版为,不推荐使用_此word版为,不推荐使用
2020年0809广东省公务员考试《申论》真题(乡镇卷)参考答案及解析_34省+国考真题_34省考+国考pdf版推荐用这个版本_34省行测+申论真题pdf推荐用这个版本
2020年0809广东公务员考试《行测》真题(县级以上)(7道题暂缺)_34省+国考真题_此文件夹为word版,不推荐使用_此word版为,不推荐使用_此word版为,不推荐使用
2020年0809广东公务员考试《行测》真题(县级以上)(7道题暂缺)_34省+国考真题_34省考+国考pdf版推荐用这个版本_34省行测+申论真题pdf推荐用这个版本_广东公务员考试真题pdf版
第08讲图文转换(练习)-2024年中考语文一轮复习讲练测(全国通用)(原卷版)_02中考总复习(2026版更新中)_01-语文-中考总复习_2024年中考资料_一轮复习_2024一轮复习课件+讲义+练习
2020年0809广东公务员考试《行测》真题(县级以上)参考答案及解析_34省+国考真题_34省考+国考pdf版推荐用这个版本_34省行测+申论真题pdf推荐用这个版本_答案及解析
专题01:赏析小说故事情节(解析版)-上好课2025年高考语文一轮复习知识清单_1.2025语文总复习_2025年新高考资料_一轮复习_2025年高考语文一轮复习知识清单
第08讲图形的几何变化(讲练,2考点+13种题型+命题预测)(解析版)_02中考总复习(2026版更新中)_02-数学-中考总复习_2025中考复习资料_2025中考二轮课件ppt+讲义+练习数学_讲义+练习
2020年0809广东公务员考试《行测》真题(乡镇)参考答案及解析_34省+国考真题_34省考+国考pdf版推荐用这个版本_34省行测+申论真题pdf推荐用这个版本_广东公务员考试真题pdf版
随机文档
2020年0809广东公务员考试《行测》真题(乡镇)_34省+国考真题_此文件夹为word版,不推荐使用_此word版为,不推荐使用_此word版为,不推荐使用_题目
2020年0809广东公务员考试《行测》真题(乡镇)_34省+国考真题_34省考+国考pdf版推荐用这个版本_34省行测+申论真题pdf推荐用这个版本_广东公务员考试真题pdf版_题目
2020年0726浙江公务员考试《行测》真题(B卷)参考答案及解析__34省+国考真题_34省考+国考pdf版推荐用这个版本_34省行测+申论真题pdf推荐用这个版本_浙江公务员考试真题pdf版
2020年0726浙江公务员考试《行测》真题(B卷)参考答案及解析_34省+国考真题_此文件夹为word版,不推荐使用_此word版为,不推荐使用_此word版为,不推荐使用
2020年0726浙江公务员考试《行测》真题(B卷)_34省+国考真题_此文件夹为word版,不推荐使用_此word版为,不推荐使用_此word版为,不推荐使用_题目
专题01高频语法之名词、代词、冠词、介词与语法填空(解析版)_3.2025英语总复习_2023年新高考资料_二轮复习
2020年0726浙江公务员考试《行测》真题(B卷)_34省+国考真题_34省考+国考pdf版推荐用这个版本_34省行测+申论真题pdf推荐用这个版本_浙江公务员考试真题pdf版_题目
2020年0726浙江公务员考试《行测》真题(A卷)(缺2题)_34省+国考真题_此文件夹为word版,不推荐使用_此word版为,不推荐使用_此word版为,不推荐使用_题目
2020年0726浙江公务员考试《行测》真题(A卷)(缺2题)_34省+国考真题_34省考+国考pdf版推荐用这个版本_34省行测+申论真题pdf推荐用这个版本_浙江公务员考试真题pdf版_题目
2020年0726浙江公务员考试《行测》真题(A卷)参考答案及解析_34省+国考真题_此文件夹为word版,不推荐使用_此word版为,不推荐使用_此word版为,不推荐使用