文档
办公文件
生活文档
学习资料
当前位置:
首页
>
文档
>87050804-重积分积分次序的交换-194117_军队文职(1)_01.军队文职真题-专业课_(全)版本一(历年真题+章节练习+模拟题)_数学1(军队文职)_章节练习_纯题目
87050804-重积分积分次序的交换-194117_军队文职(1)_01.军队文职真题-专业课_(全)版本一(历年真题+章节练习+模拟题)_数学1(军队文职)_章节练习_纯题目
2026-02-13 11:29:06
2026-01-29 13:20:08
文档预览
文档信息
文档格式
pdf
文档大小
0.066 MB
文档页数
1 页
上传时间
2026-01-29 13:20:08
下载文档
文档内容
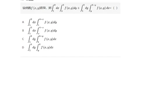
重积分积分次序的交换 即刻题库 www.jike.vip 1 、 单选题
本文档来自网络内容,如有侵犯您的权益请联系我们删除,联系邮箱:wyl860211@qq.com。
上一篇
87050803-极坐标下二重积分的定限与计算-194202_军队文职(1)_01.军队文职真题-专业课_(全)版本一(历年真题+章节练习+模拟题)_数学2(军队文职)_章节练习_题目+解析
下一篇
87050804-重积分积分次序的交换-194117_军队文职(1)_01.军队文职真题-专业课_(全)版本一(历年真题+章节练习+模拟题)_数学1(军队文职)_章节练习_题目+解析
最新文档
专题14课外文言文阅读(全国通用)(解析版)_02中考总复习(2026版更新中)_01-语文-中考总复习_2026年中考复习(更新中)
专题14课外文言文阅读(全国通用)(原卷版)_02中考总复习(2026版更新中)_01-语文-中考总复习_2026年中考复习(更新中)
专题14读写综合(讲练)(解析版)_02中考总复习(2026版更新中)_03-英语-中考总复习_2025中考复习资料_2025中考二轮课件ppt+讲义+练习英语_讲义+练习
专题14读写综合(讲练)(原卷版)_02中考总复习(2026版更新中)_03-英语-中考总复习_2025中考复习资料_2025中考二轮课件ppt+讲义+练习英语_讲义+练习
专题14说明文阅读-2024年中考语文一轮复习知识点全覆盖+考查趋势+思维导图+复习要点+解题方法_02中考总复习(2026版更新中)_01-语文-中考总复习_2024年中考资料_一轮复习
专题14记承天寺夜游(原卷版)-备战2024年中考语文之文言文对比阅读(全国通用)_02中考总复习(2026版更新中)_01-语文-中考总复习_2024年中考资料_专项复习资料
专题14解直角三角形知识点梳理及专项练习(含解析)_02中考总复习(2026版更新中)_02-数学-中考总复习_2025中考复习资料_2025年中考数学一轮复习知识点梳理及专项练习
专题14科普阅读题(解析版)_02中考总复习(2026版更新中)_05-化学-中考总复习_2024年中考复习资料_二轮复习资料_2024年中考化学二轮专项复习核心考点讲解与必刷题型
专题14科普阅读题(原卷版)_02中考总复习(2026版更新中)_05-化学-中考总复习_2024年中考复习资料_二轮复习资料_2024年中考化学二轮专项复习核心考点讲解与必刷题型
专题14电路基础(知识梳理+典例+练习)-2024物理中考一轮复习精品资料(教师版)_02中考总复习(2026版更新中)_04-物理-中考总复习_2024年中考复习资料_一轮复习_配套练习
热门文档
专题14电路基础(知识梳理+典例+练习)-2024物理中考一轮复习精品资料(学生版)_02中考总复习(2026版更新中)_04-物理-中考总复习_2024年中考复习资料_一轮复习_配套练习
专题14电路基础(真题训练)-2024物理中考一轮复习精品资料(解析版)_02中考总复习(2026版更新中)_04-物理-中考总复习_2024年中考复习资料_一轮复习_配套练习_教师版(含答案解析)
专题14电路基础(真题训练)-2024物理中考一轮复习精品资料(原卷版)_02中考总复习(2026版更新中)_04-物理-中考总复习_2024年中考复习资料_一轮复习_配套练习
专题14电学基础(6大模块知识清单+5个易混易错+7种方法技巧+典例真题精析)(解析版)_02中考总复习(2026版更新中)_04-物理-中考总复习_2025年中考复习资料_2025年中考物理一轮知识梳理
专题14电学基础(6大模块知识清单+5个易混易错+7种方法技巧+典例真题精析)(原卷版)_02中考总复习(2026版更新中)_04-物理-中考总复习_2025年中考复习资料_2025年中考物理一轮知识梳理
2019年11月9日天津市事业单位联考试题《职业能力倾向测试》(网友回忆版)_26事业职测+综合_闲鱼2026事业单位职测+综合_职测+综合真题合集ABCDE_A类-综合管理_天津
专题14生物遗传和变异、生命起源和进化(解析版)_02中考总复习(2026版更新中)_08-生物-中考总复习_2024年中考复习资料_专项复习_备战2024年中考生物真题题源解密
专题14生物遗传和变异、生命起源和进化(原卷版)_02中考总复习(2026版更新中)_08-生物-中考总复习_2024年中考复习资料_专项复习_备战2024年中考生物真题题源解密
专题14理解权利义务(解析版)_02中考总复习(2026版更新中)_07-道法-中考总复习_2026年中考复习(更新中)_好题汇编三年(2023-2025)中考道德与法治真题分类汇编(全国通用)
专题14理解权利义务(考点通关)(解析版)_02中考总复习(2026版更新中)_07-道法-中考总复习_2024年中考复习资料_一轮复习_备战2024年中考道德与法治一轮复习考点帮(全国通用)
随机文档
专题14理解权利义务(考点通关)(原卷版)_02中考总复习(2026版更新中)_07-道法-中考总复习_2024年中考复习资料_一轮复习_备战2024年中考道德与法治一轮复习考点帮(全国通用)
专题14理解权利义务(原卷版)_02中考总复习(2026版更新中)_07-道法-中考总复习_2026年中考复习(更新中)_好题汇编三年(2023-2025)中考道德与法治真题分类汇编(全国通用)
专题14物质的检验和鉴别、分离和提纯(解析版)_02中考总复习(2026版更新中)_05-化学-中考总复习_2025年中考复习资料_备战2025年中考化学真题题源解密
专题14物质的检验和鉴别、分离和提纯(原卷版)_02中考总复习(2026版更新中)_05-化学-中考总复习_2025年中考复习资料_备战2025年中考化学真题题源解密
专题14燃烧及灭火化学与能源的开发利用(解析版)_02中考总复习(2026版更新中)_05-化学-中考总复习_2026年中考复习(更新中)
专题14燃烧及灭火化学与能源的开发利用(解析版)_02中考总复习(2026版更新中)_05-化学-中考总复习_2024年中考复习资料_专项复习资料_解析版(含答案解析,目录与原卷版一致)
专题14燃烧及灭火化学与能源的开发利用(解析版)-好题汇编三年(2022-2024)中考化学真题分类汇编(全国通用)_02中考总复习(2026版更新中)_05-化学-中考总复习
专题14燃烧及灭火化学与能源的开发利用(原卷版)_02中考总复习(2026版更新中)_05-化学-中考总复习_2026年中考复习(更新中)
专题14燃烧及灭火化学与能源的开发利用(原卷版)_02中考总复习(2026版更新中)_05-化学-中考总复习_2024年中考复习资料_专项复习资料
专题14燃烧及灭火化学与能源的开发利用(原卷版)-好题汇编三年(2022-2024)中考化学真题分类汇编(全国通用)_02中考总复习(2026版更新中)_05-化学-中考总复习