文档
办公文件
生活文档
学习资料
当前位置:
首页
>
文档
>87050804-重积分积分次序的交换-194203_军队文职(1)_01.军队文职真题-专业课_(全)版本一(历年真题+章节练习+模拟题)_数学2(军队文职)_章节练习_纯题目
87050804-重积分积分次序的交换-194203_军队文职(1)_01.军队文职真题-专业课_(全)版本一(历年真题+章节练习+模拟题)_数学2(军队文职)_章节练习_纯题目
2026-02-13 18:07:59
2026-01-29 13:20:14
文档预览
文档信息
文档格式
pdf
文档大小
0.066 MB
文档页数
1 页
上传时间
2026-01-29 13:20:14
下载文档
文档内容
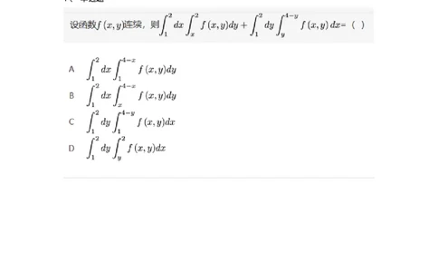
重积分积分次序的交换 即刻题库 www.jike.vip 1 、 单选题
本文档来自网络内容,如有侵犯您的权益请联系我们删除,联系邮箱:wyl860211@qq.com。
上一篇
87050804-重积分积分次序的交换-194117_军队文职(1)_01.军队文职真题-专业课_(全)版本一(历年真题+章节练习+模拟题)_数学1(军队文职)_章节练习_题目+解析
下一篇
87050804-重积分积分次序的交换-194203_军队文职(1)_01.军队文职真题-专业课_(全)版本一(历年真题+章节练习+模拟题)_数学2(军队文职)_章节练习_题目+解析
最新文档
专题14理解权利义务(考点通关)(原卷版)_02中考总复习(2026版更新中)_07-道法-中考总复习_2024年中考复习资料_一轮复习_备战2024年中考道德与法治一轮复习考点帮(全国通用)
专题14理解权利义务(原卷版)_02中考总复习(2026版更新中)_07-道法-中考总复习_2026年中考复习(更新中)_好题汇编三年(2023-2025)中考道德与法治真题分类汇编(全国通用)
专题14物质的检验和鉴别、分离和提纯(解析版)_02中考总复习(2026版更新中)_05-化学-中考总复习_2025年中考复习资料_备战2025年中考化学真题题源解密
专题14物质的检验和鉴别、分离和提纯(原卷版)_02中考总复习(2026版更新中)_05-化学-中考总复习_2025年中考复习资料_备战2025年中考化学真题题源解密
专题14燃烧及灭火化学与能源的开发利用(解析版)_02中考总复习(2026版更新中)_05-化学-中考总复习_2026年中考复习(更新中)
专题14燃烧及灭火化学与能源的开发利用(解析版)_02中考总复习(2026版更新中)_05-化学-中考总复习_2024年中考复习资料_专项复习资料_解析版(含答案解析,目录与原卷版一致)
专题14燃烧及灭火化学与能源的开发利用(解析版)-好题汇编三年(2022-2024)中考化学真题分类汇编(全国通用)_02中考总复习(2026版更新中)_05-化学-中考总复习
专题14燃烧及灭火化学与能源的开发利用(原卷版)_02中考总复习(2026版更新中)_05-化学-中考总复习_2026年中考复习(更新中)
专题14燃烧及灭火化学与能源的开发利用(原卷版)_02中考总复习(2026版更新中)_05-化学-中考总复习_2024年中考复习资料_专项复习资料
专题14燃烧及灭火化学与能源的开发利用(原卷版)-好题汇编三年(2022-2024)中考化学真题分类汇编(全国通用)_02中考总复习(2026版更新中)_05-化学-中考总复习
热门文档
专题14浮力的四种计算方法(解析版)_02中考总复习(2026版更新中)_04-物理-中考总复习_2024年中考复习资料_一轮复习_完备战2024年中考物理一轮复习考点帮(全国通用)
专题14浮力的四种计算方法(原卷版)_02中考总复习(2026版更新中)_04-物理-中考总复习_2024年中考复习资料_一轮复习_完备战2024年中考物理一轮复习考点帮(全国通用)
专题14法国和澳大利亚(背记帮)-备战2024年中考地理一轮复习考点帮(全国通用)(答案版)_02中考总复习(2026版更新中)_09-地理-中考总复习_2024年中考复习资料_一轮复习
专题14法国和澳大利亚(背记帮)-备战2024年中考地理一轮复习考点帮(全国通用)(挖空版)_02中考总复习(2026版更新中)_09-地理-中考总复习_2024年中考复习资料_一轮复习
专题14法国和澳大利亚(好题帮)-备战2024年中考地理一轮复习考点帮(全国通用)(解析版)_02中考总复习(2026版更新中)_09-地理-中考总复习_2024年中考复习资料_一轮复习_配套练习
2019年11月30日浙江省宁波市直属事业单位招聘考试《综合应用能力》_26事业职测+综合_闲鱼2026事业单位职测+综合_职测+综合真题合集ABCDE_A类-综合管理_浙江
专题14法国和澳大利亚(好题帮)-备战2024年中考地理一轮复习考点帮(全国通用)(原卷版)_02中考总复习(2026版更新中)_09-地理-中考总复习_2024年中考复习资料_一轮复习_配套练习
专题14机械效率(测试)(解析版)_02中考总复习(2026版更新中)_04-物理-中考总复习_2024年中考复习资料_一轮复习_课件+讲义+练习2024年中考物理一轮复习讲练测(全国通用)
2019年11月30日天津市东疆保税港区管委会政府雇员招聘《行政职业能力测验》精选题(网友回忆版)_26事业职测+综合_闲鱼2026事业单位职测+综合_职测+综合真题合集ABCDE_天津
专题14机械效率(测试)(原卷版)_02中考总复习(2026版更新中)_04-物理-中考总复习_2024年中考复习资料_一轮复习_课件+讲义+练习2024年中考物理一轮复习讲练测(全国通用)
随机文档
专题14机械效率(6题型)(练习)(解析版)_02中考总复习(2026版更新中)_04-物理-中考总复习_2024年中考复习资料_一轮复习_配套练习(原卷版+解析版)
专题14机械效率(6题型)(练习)(原卷版)_02中考总复习(2026版更新中)_04-物理-中考总复习_2024年中考复习资料_一轮复习_配套练习(原卷版+解析版)
专题14机械效率(2考点+6考向)(讲义)(解析版)_02中考总复习(2026版更新中)_04-物理-中考总复习_2024年中考复习资料_一轮复习_配套讲义(原卷版+解析版)
专题14机械效率(2考点+6考向)(讲义)(原卷版)_02中考总复习(2026版更新中)_04-物理-中考总复习_2024年中考复习资料_一轮复习_配套讲义(原卷版+解析版)
专题14文言文阅读测试(测试)-2024年中考语文二轮复习讲练测(全国通用)(解析版)_02中考总复习(2026版更新中)_01-语文-中考总复习_2024年中考资料_二轮复习_讲义
专题14文言文阅读测试(测试)-2024年中考语文二轮复习讲练测(全国通用)(原卷版)_02中考总复习(2026版更新中)_01-语文-中考总复习_2024年中考资料_二轮复习_讲义
专题14文学文化常识(解析版)_02中考总复习(2026版更新中)_01-语文-中考总复习_2025年中考资料_备战2025年中考语文一轮复习考点突破(全国通用)
专题14文学文化常识(原卷版)_02中考总复习(2026版更新中)_01-语文-中考总复习_2025年中考资料_备战2025年中考语文一轮复习考点突破(全国通用)
2019年11月24日湖北省宜昌市事业单位《职业能力测验》笔试试题(网友回忆版)_20211022_090012_26事业职测+综合_闲鱼2026事业单位职测+综合_职测+综合真题合集ABCDE_A类-综合管理_湖北
专题14探究凸透镜成像规律实验问题(解析版)_02中考总复习(2026版更新中)_04-物理-中考总复习_2024年中考复习资料_二轮复习