【MATLAB源码-第415期】基于MATLAB的等效电路与电热耦合的锂离子电池CC-CV充电控制、SOC估计及BMS保护与故障诊断仿真
MATLAB 2024a
1、算法描述
基于等效电路与电热耦合的锂离子电池CC-CV充电控制及BMS保护仿真研究
摘要
锂离子电池作为电动汽车、储能系统与便携式电子设备中的核心储能单元,其充电过程不仅关系到能量补给效率,还直接影响安全性、寿命保持能力以及整机控制系统的可靠性。围绕锂离子电池充电控制问题,本文构建了一套面向工程应用的充电控制仿真模型。模型以等效电路为电学基础,以电热耦合为热学支撑,在此之上引入恒流—恒压充电策略、阶段切换逻辑、电压电流约束、BMS保护条件、荷电状态估计、效率统计、寿命应力评价以及过充保护、异常断开和接触不良判定等功能模块,从而形成了较完整的闭环充电仿真框架。现有研究普遍认为,等效电路模型在计算复杂度、参数辨识便利性与工程可部署性之间具有较好的平衡,适用于BMS算法开发、状态估计与控制策略验证;同时,温度、老化和故障诊断已成为锂离子电池建模与管理研究的重要延伸方向。
本文在建模过程中重点处理了电芯端电压与充电口电压的区分问题,使得故障工况下的充电控制闭环更加符合实际充电器行为;在SOC估计部分,引入基于等效模型的滤波估计思想,并结合噪声和参数失配因素提升估计过程的工程真实性;在热安全部分,通过设置热限流阈值与过温切断阈值,使高温工况下的降额和保护具有明确的物理含义;在故障诊断部分,通过端口电压偏差反演附加接触电阻,实现了接触不良与异常断开的识别。仿真结果表明,该模型能够较好地反映正常工况、高温工况和故障工况下锂离子电池充电过程中的状态演化规律,适合用于锂离子电池充电控制策略研究、BMS逻辑验证以及相关教学与工程分析。
关键词: 锂离子电池;等效电路模型;CC-CV充电;SOC估计;电热耦合;BMS保护;故障诊断
1 引言
随着新能源汽车与新型储能产业的快速发展,锂离子电池对高比能、高比功率和长循环寿命的要求不断提升,而与此相伴随的是对充电安全、热安全、状态估计精度和故障可诊断性的更高要求。锂离子电池的充电过程并非单一的能量输入过程,而是电化学极化、热量产生、参数漂移、老化累积和安全约束共同作用的动态过程。若仅从端电压或充电时间角度出发设计控制策略,往往难以兼顾充电速度、安全性与寿命保持,因此建立一个能够同时描述电学行为、热学行为、控制逻辑与保护逻辑的统一仿真模型,具有重要的研究意义与工程价值。近年来,围绕电池安全、热管理、状态估计与故障诊断的综述研究明显增多,这也反映出电池管理问题已从单纯的电性能研究转向多物理场、多状态量和多故障模式协同分析。
在锂离子电池的实际应用中,恒流—恒压充电策略因结构清晰、实现成熟和兼容性强而得到广泛采用。其基本思想是在前期以受控电流快速充电,待端电压逼近上限后转入恒压阶段,并通过电流衰减实现充电终止。然而,传统CC-CV策略若脱离温升约束、寿命影响和故障条件单独讨论,其结论往往偏理想化。针对这一问题,近年来研究一方面关注多阶段恒流、模型预测控制与最优控制等快充方法,另一方面也持续强调热管理、安全边界和寿命退化对充电策略设计的约束作用。换言之,充电控制已不再是简单的给定电流与给定电压切换,而是一种在电压、电流、温度、状态估计和故障信息共同作用下的综合决策过程。
基于上述背景,本文围绕锂离子电池充电建模问题,构建了面向BMS应用的仿真体系,重点研究以下内容:首先建立适用于充电过程分析的等效电路模型,随后引入CC-CV充电控制与阶段切换机制;在此基础上叠加电压、电流、温度等约束条件,建立BMS保护判据;进一步通过SOC估计、效率分析和寿命应力指标,对充电过程的性能进行综合评价;最后通过接触不良、异常断开与过充风险等工况,实现故障诊断与保护逻辑的联合验证。本文的目标不是追求复杂的机理电化学细节,而是在工程可实现性、模型可解释性与控制逻辑完整性之间取得平衡,从而为锂离子电池充电控制研究提供一种结构清晰、可扩展性较强的实现路径。
2 充电控制仿真模型总体结构
本文构建的仿真模型由电学模型、热学模型、控制模型、状态估计模型、保护逻辑模型和故障诊断模型组成。电学部分以二阶等效电路为主体,用以表征欧姆内阻、快速极化和慢速极化对端电压动态的影响;热学部分采用集中参数思想,对芯体温度与表面温度进行描述,并考虑充电过程中由内阻损耗和极化损耗引起的热量生成;控制部分采用具有预充、恒流、恒压和完成四个主要阶段的状态机结构;估计部分根据充电电流与端电压信息对SOC进行在线推断;保护部分针对过压、过流、热限流和过温切断设置判定条件;诊断部分则针对接触不良和异常断开等故障模式建立检测逻辑。整体上,该模型体现了从“电芯行为”到“系统控制”再到“安全诊断”的逐级展开关系。现有研究表明,等效电路模型在BMS实现中具有较好的实时性和可辨识性,而多状态量联合管理已成为电池管理方案的重要发展趋势。
之所以采用等效电路而非更复杂的机理模型,主要原因在于本文的研究对象是充电控制与BMS逻辑验证。对于该类任务而言,模型需要同时具备足够的动态表达能力、便于参数设定、可直接与控制和估计算法耦合等特点。近年来关于SOC估计和状态管理的相关综述普遍指出,等效电路模型特别适合嵌入BMS,用于SOC、SOH、温度等状态量的实时估计,以及充放电控制策略的开发与验证。二阶结构相较于单纯内阻模型和一阶极化模型,可以更好地反映充电阶段中由极化效应带来的端电压变化,使得CC向CV切换的判定更加自然,也有利于后续故障工况下口电压与芯体电压的分离建模。
3 锂离子电池等效模型与CC-CV充电策略
在电学建模方面,本文以开路电压与SOC关系作为静态主线,以欧姆电阻和两组极化支路作为动态补偿。开路电压用于刻画电池内部可逆平衡电势随荷电状态变化的趋势,欧姆电阻用于描述瞬态压降,极化支路则用于模拟由电荷转移、扩散与浓差过程引起的动态迟滞。通过这种方式,电池端电压可以同时反映静态储能水平与动态极化程度,从而为控制器提供更可信的状态依据。近年来关于ECM方法的研究与综述普遍认为,开路电压映射、极化支路设计和参数辨识质量,是影响SOC估计与充电控制结果可信度的关键因素。
在充电策略上,本文采用预充、恒流、恒压和完成四阶段控制结构。预充阶段用于应对低SOC和低电压初始条件,避免在亏电状态下直接以高电流施加充电应力;恒流阶段以受约束的给定电流实现快速补能,是充电时间的主要贡献区间;恒压阶段则在接近上限电压时通过维持目标端口电压、允许电流自然衰减的方式减缓极化与副反应风险;当电流下降到终止阈值以下时进入完成阶段。这样的结构既符合工程中广泛采用的CC-CV思想,也便于引入热限流、异常断开恢复和过充保护等附加逻辑。近年来关于充电技术的研究指出,CC-CV虽然实现简单、应用广泛,但其实际性能会受到切换阈值、电流等级和热管理条件的明显影响;多阶段恒流策略则是为缩短时间和改善寿命而提出的改进方向。
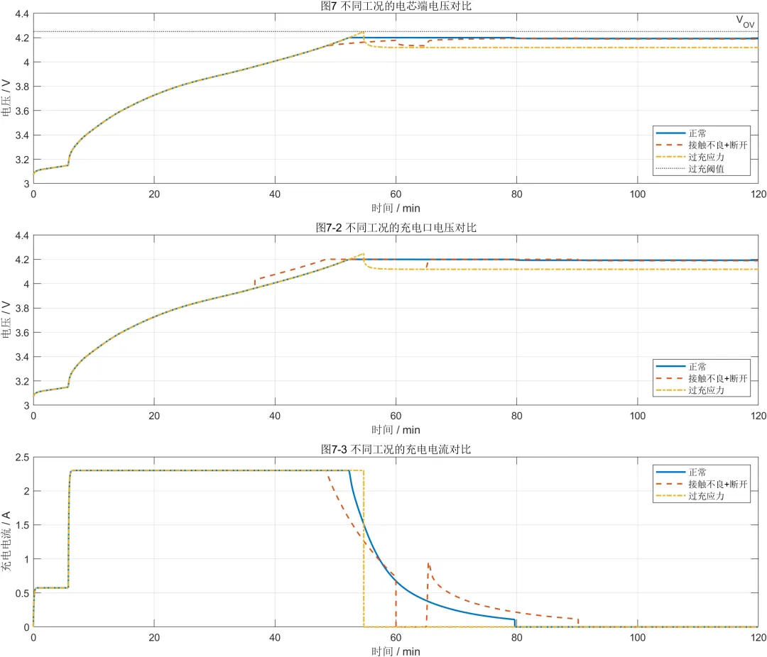
本文进一步对阶段切换逻辑进行了工程化处理,尤其强调充电口电压而非单纯电芯电压在控制中的作用。对于正常工况,充电口与电芯电压差异较小,二者几乎同步变化;但在接触不良或附加连接电阻存在时,外部充电口电压会因额外压降提前抬升。如果仍以电芯电压作为CC转CV判据,容易导致口电压已越近上限而系统仍维持较大电流,从而使故障工况下的控制行为与实际充电器不一致。基于这一考虑,本文在模型中将电芯端电压与充电口电压明确分离,并以前者反映电芯内部状态、以后者作为外部充电控制与端口诊断的重要依据。该处理方式使故障工况下的控制行为更符合工程实际,也使接触不良诊断具有了明确的物理基础。
4 电压电流约束、热模型与BMS保护逻辑
锂离子电池充电过程中最核心的安全约束包括电压上限、电流上限和温度边界。电压上限决定了电芯不得进入过充区间,电流上限决定了充电过程中的倍率应力与焦耳热水平,温度边界则直接关联副反应速率、材料稳定性和热失控风险。相关安全综述指出,过充、过热、机械滥用和内部短路等都是引发热失控的重要诱因,而在系统层面通过合理的BMS监测与控制策略约束电压、电流和温度,是提高锂离子电池安全性的核心路径。
基于上述认识,本文在热学部分引入芯体温度与表面温度两个状态量。芯体温度主要反映电芯内部热积累,表面温度则更接近传感器可测量量。二者之间通过热阻与热容形成耦合,并通过对环境散热建立热交换关系。该结构虽不追求复杂空间分布,但足以表征充电时的主要热行为。为了兼顾工程表达和控制可实现性,本文设置热限流阈值与过温切断阈值两个温度门限。当前者被触发时,允许电流按降额曲线下调,以降低发热功率并延长可安全充电时间;当后者被触发时,则直接停止充电,以阻断热失控风险进一步累积。热管理与热传导研究普遍表明,锂离子电池充电安全并不取决于单一最高温度值,而与温度分布、温升速率、散热条件和持续时间密切相关,因此在控制中引入热限流与过温切断的双层门限是合理的。
本文在BMS保护逻辑中设置了过充保护、热限流保护、过温切断保护以及故障工况下的异常中断处理机制。过充保护以电压阈值为核心判据,避免电芯进入危险高压区;热限流与过温切断分别对应温度升高过程中的柔性干预和刚性停充;异常断开则通过外部充电口电压和电流状态的不一致性进行识别。这样设计的意义在于,使充电控制不只是单纯执行既定策略,而是在安全优先的原则下,根据状态信息实时调整或终止控制动作。相关研究指出,现代BMS正在从传统采样监控装置演进为具有状态估计、故障识别和安全决策能力的综合管理平台,本文的保护结构与这一发展方向是一致的。
5 SOC估计方法与效率、寿命评价
SOC是锂离子电池管理中的核心变量之一,其本质反映了电池当前可用容量水平。由于SOC不能直接测量,必须通过模型、历史电流、端电压和其他辅助信息进行估计。单纯的库仑积分方法实现简单,但会随着电流传感器误差和初始值误差积累而漂移;单纯的开路电压法对静置条件依赖较强,难以满足在线估计要求。因此,工程中更常见的做法是将等效电路模型与滤波估计思想相结合,通过电压残差修正积累误差。近年来多项综述均指出,基于ECM的卡尔曼滤波类方法由于兼顾可解释性与实时性,仍然是SOC在线估计中最具工程价值的一类方法。
本文在SOC估计部分采用模型驱动的滤波估计思路,并在估计过程中引入测量噪声与轻微参数失配,使其结果更接近真实BMS应用情形。这样做的目的不是人为降低估计性能,而是避免出现与真实系统脱节的理想化结果。仿真结果显示,估计SOC能够较好跟踪真实SOC变化趋势,误差始终处于较小范围内,能够满足充电控制与保护判断的需要。与完全理想模型相比,引入噪声和参数偏差后的估计结果更具工程参考意义,也更能体现SOC估计算法在正常工况下的稳健性。有关研究表明,状态估计的工程有效性不仅取决于算法本身,还取决于模型与传感器不确定性是否被合理考虑。
除了状态估计,本文还对充电效率和寿命应力进行了评价。充电效率通过输入能量、化学储能和损耗能量之间的对比进行描述,从而反映不同阶段中能量转化质量;寿命应力则从倍率应力、高SOC停留应力和温升应力三个角度进行归一化表征,以刻画充电过程中可能诱发容量衰减和内阻增大的主要风险来源。相关研究指出,较高充电倍率、较高工作温度和较长的高SOC停留时间,都会加速电池老化;同时,合理的充电策略和温度管理有助于在充电时间与寿命之间取得折中。基于此,本文将效率与寿命应力评价纳入统一仿真框架,使得模型不仅能回答“能否安全充电”,还能够进一步回答“这样充电是否经济、是否有利于寿命保持”的问题。
6 过充保护、异常断开与接触不良判定
在面向工程应用的充电系统中,故障诊断与异常处理的重要性并不低于状态估计与充电控制本身。接触不良会导致附加连接电阻升高,进而引起端口压降异常、局部发热增大和电压判据失真;异常断开会导致充电器侧和电池侧状态瞬间失配,若恢复逻辑设计不当,可能引发二次冲击;过充风险则是BMS中最基础也是最关键的保护对象之一。因此,在本文中,故障工况建模被视为模型完整性的必要组成部分,而非附加演示模块。近期关于故障诊断的研究也表明,电池系统的故障识别正逐步从单一阈值判定发展为模型特征、诊断规则和数据驱动方法相结合的综合诊断体系。
本文对接触不良的判定采用了基于附加电阻反演的思路。具体而言,通过比较充电口电压与内部等效模型所估计的电芯电压,在充电电流已知的条件下,可将二者之间的额外压差换算为附加连接电阻。该量一旦持续高于阈值,即可判定存在接触不良风险。与单纯依赖电压跳变或电流异常的判据相比,这种方法具有较好的物理解释性,也更容易与控制和保护逻辑衔接。为避免低电流区估计失真,本文对低电流时段采取估计冻结与平滑处理,使诊断结果在完成阶段和异常断开阶段仍保持合理稳定。仿真结果表明,诊断模型能够较为清楚地分辨正常连接与附加电阻故障两类工况。
对于异常断开工况,本文通过在故障时段内模拟充电器输出中断,并在恢复时设置平滑接管机制,避免了电流重新建立时的突变冲击。该设计使异常断开不仅在电流曲线上可见,也在充电口电压和故障标志中具有清晰表现,从而增强了故障图形与控制逻辑之间的一致性。对于过充保护,本文则通过将电芯电压与充电口电压区分建模,避免了因附加连接电阻导致的端口电压偏差对电芯过充判断造成误导。这一处理对于故障工况尤为重要,因为过充保护应以电芯真实状态为依据,而非被端口异常放大后的表象所主导。相关研究指出,模型可解释性与安全逻辑一致性,是电池故障诊断从“能检测”走向“能可信使用”的关键。
7 仿真结果分析与讨论
从正常工况结果来看,本文建立的充电控制模型能够较清晰地再现预充、恒流、恒压和完成四个阶段的演化规律。电压轨迹平滑、电流切换自然,说明所建立的电学模型与控制状态机之间具有较好的匹配性。SOC随充电过程单调增长,并在后期逐步逼近满电区间,符合CC-CV充电的一般规律。与此同时,效率统计结果表明,系统在正常工况下具有较高的能量利用水平,而寿命应力指标则揭示出恒流阶段的倍率应力和恒压后期的高SOC应力在时间分布上具有明显差异。这说明,仅以总充电时间或总输入能量评价充电过程是不充分的,必须结合阶段性应力特征进行综合分析。
从高温工况结果来看,热限流逻辑在温度接近限流阈值时开始逐步降低允许充电电流,随后在更高温度阈值被触发时执行停充保护。该过程表明,热安全控制不应简单理解为“达到极限才切断”,而应包括前瞻性的降额干预。本文仿真中,高温工况下的温度变化与电流变化之间具有较强耦合关系,说明热管理子模型已能够对控制过程施加有效反馈。结合前述热学建模思路可以看出,在面向实际BMS设计时,将热限流和过温切断区分开来,不仅有助于延长可用充电时间,也有利于避免过于频繁的硬停机动作。
从故障工况结果来看,接触不良会导致充电口电压早于正常工况升高,从而促使系统更早由恒流转入恒压阶段;异常断开则会使电流轨迹出现短时中断,并在恢复后以平滑方式重新进入受控状态。由于本文在模型中将电芯端电压、充电口电压和附加接触电阻显式区分,因此故障图形不再只是简单的“波形异常”,而是具有明确物理来源的状态响应。接触不良诊断结果显示,附加电阻估计值能够在故障发生后迅速逼近真实水平,并保持在合理区间内,说明基于端口压差反演附加电阻的诊断思路具有可行性。综合来看,本文模型不仅能够描述正常充电过程,还能对故障条件下的控制响应和保护动作给出相对一致的解释。
需要指出的是,本文模型仍属于工程化仿真模型,而非全机理电化学模型,其优势在于便于实现和便于控制逻辑耦合,局限则在于对材料层面副反应、复杂老化机理和空间温度分布的描述仍然较为简化。因此,若后续研究需要进一步面向高倍率快充、极端环境或大规模电池包一致性分析,可在现有框架基础上继续扩展参数温度依赖关系、老化在线辨识、单体不一致性建模以及更高阶热网络等内容。即便如此,对于面向控制策略验证和BMS逻辑研究的任务而言,本文的模型复杂度与功能完整性之间已经形成了较好的平衡。
8 结论
本文围绕锂离子电池充电控制问题,建立了一套包含等效电路、电热耦合、CC-CV状态机、SOC估计、效率与寿命评价、BMS保护以及故障诊断在内的综合仿真模型。研究表明,将电芯端电压与充电口电压分离建模,有助于提高故障工况下控制逻辑的真实性;将热限流与过温切断区分设计,有助于在安全性与可充性之间建立更合理的折中;将接触不良和异常断开纳入模型,则显著提升了仿真框架的工程完整性。总体而言,本文模型能够较好反映锂离子电池在正常、高温和故障工况下的充电动态与保护行为,可作为后续开展充电策略优化、BMS算法验证和故障识别研究的基础平台。
参考文献
[1] Arabsalmanabadi B, Tashakor N, Javadi A, Al-Haddad K. Charging Techniques in Lithium-Ion Battery Charger: Review and New Solution[C]//IECON 2018—44th Annual Conference of the IEEE Industrial Electronics Society. 2018. DOI: 10.1109/IECON.2018.8591173.
[2] Duan J, Tang X, Dai H, Yang Y, Wu W, Wei X, Huang Y. Building Safe Lithium-Ion Batteries for Electric Vehicles: A Review[J]. Electrochemical Energy Reviews, 2020, 3(1): 1-42. DOI: 10.1007/s41918-019-00060-4.
[3] Chen Y, Kang Y, Zhao Y, Wang L, Liu J, Li Y, Liang Z, He X, Li X, Tavajohi N, Li B. A Review of Lithium-Ion Battery Safety Concerns: The Issues, Strategies, and Testing Standards[J]. Journal of Energy Chemistry, 2021, 59: 83-99. DOI: 10.1016/j.jechem.2020.10.017.
[4] Shahjalal M, Shams T, Islam M E, Alam W, Modak M, Hossain S B, Ramadesigan V, Ahmed M R, Ahmed H, Iqbal A. A Review of Thermal Management for Li-Ion Batteries: Prospects, Challenges, and Issues[J]. Journal of Energy Storage, 2021, 39: 102518. DOI: 10.1016/j.est.2021.102518.
[5] Tahir M U, Sangwongwanich A, Stroe D-I, Blaabjerg F. Overview of Multi-Stage Charging Strategies for Li-Ion Batteries[J]. Journal of Energy Chemistry, 2023, 84: 228-241. DOI: 10.1016/j.jechem.2023.05.023.
[6] Hussein H M, Aghmadi A, Abdelrahman M S, Rafin S M S H, Mohammed O. A Review of Battery State of Charge Estimation and Management Systems: Models and Future Prospective[J]. WIREs Energy and Environment, 2024, 13(1): e507. DOI: 10.1002/wene.507.
[7] Tao Z, Zhao Z, Wang C, Huang L, Jie H, Li H, Hao Q, Zhou Y, See K Y. State of Charge Estimation of Lithium Batteries: Review for Equivalent Circuit Model Methods[J]. Measurement, 2024, 236: 115148. DOI: 10.1016/j.measurement.2024.115148.
[8] Li H, Wu X, Fang S, Liu M, Bi S, Zhao T, Zhang X. Study on the Electrical-Thermal Properties of Lithium-Ion Battery Materials in the NCM622/Graphite System[J]. Frontiers in Chemistry, 2024, 12: 1403696. DOI: 10.3389/fchem.2024.1403696.
[9] Rammohan A, Wang Y, Kannappan S S, Kumar P S, Ashok B, Kotb H, AboRas K M, Yousef A. Service Life Estimation of Electric Vehicle Lithium-Ion Battery Pack Using Arrhenius Mathematical Model[J]. Frontiers in Energy Research, 2024, 12: 1359596. DOI: 10.3389/fenrg.2024.1359596.
[10] Naresh G, Praveenkumar T, Madheswaran D K, Varuvel E G, Pugazhendhi A, Thangamuthu M, Muthiya S J. Battery Fault Diagnosis Methods for Electric Vehicle Lithium-Ion Batteries: Correlating Codes and Battery Management System[J]. Process Safety and Environmental Protection, 2025, 196: 106919. DOI: 10.1016/j.psep.2025.106919.
2、仿真结果演示








3、关键代码展示
略
当下时代学习怎么用AI是每个人已经之路,给大家推荐几本书:学习AI相关使用技巧!!! 抓住时代红利!!!
4、MATLAB 源码获取
途径一:点击文章中蓝色字体阅读原文

途径二:复制以下网址到浏览器中打开麦完单品
https://www.maiwan8.com/#/dynamicDetail/0/ba8add997932d27d6197e8d614c33408/index?yqm=5FCPU
途径三:复制网址打开麦完店铺搜索该篇文章标题即可
https://www.maiwan8.com/#/packageA/userDynamicCenter/userDynamicCenter?user_id=1261511
途径四:如果以上方式均失效请通过QQ,邮箱或者微信公众号联系我
(点击上方↑↑↑↑↑蓝色字体跳转)
夜雨聆风