
(1)揭示了煤中纳米孔隙结构的动态演化特征:通过SAXS实验,定量分析了煤样在逐级加卸载过程中纳米孔隙结构的表面分形维数、孔隙分形维数、比表面积和孔隙率的动态变化特征,揭示了加载条件下孔隙结构的演化机制。
(2)煤中纳米孔隙损伤过程的阶段性划分:基于实验数据和纳米孔隙动态演化特征提出了煤中纳米孔隙损伤过程的三个阶段:轻微损伤阶段、压缩阶段、破裂阶段,明确了从微观初始损伤到最终失稳破裂的演变过程,为煤体在应力环境下的微观损伤机制研究提供了重要支持。

基于小角X射线散射的逐级加卸载下煤中纳米孔隙损伤特征
煤作为一种复杂的非均质多孔介质,其内部孔隙在微观、细观和宏观尺度上均广泛分布。这些孔隙结构不仅直接影响煤中气体的吸附、解吸及运移规律,还显著影响煤岩体的强度、弹性模量等力学性能。在煤矿井下作业过程中,爆破、采掘等生产活动会导致附近煤岩层支承应力的反复变化,表现为外部荷载的周期性增大和减小,即反复的加卸载过程。这种外部荷载的循环作用最终引发煤岩体的损伤和破坏。宏观损伤通常是微观损伤逐渐累积的结果,因此,有必要研究逐级加卸载条件下煤体的微观损伤特征及其致灾机理。
当前研究煤中微观孔隙特征主要包括:一类是压汞试验和低温气体吸附试验的流体侵入方法;另一类是电子显微镜、原子力显微镜、小角中子散射(SANS)、小角X射线散射(SAXS)、核磁共振和电子计算机层断扫描(CT)等先进无损观测的光电测试方法。流体侵入的检测方式对样品的制备要求简单,但不可避免会对被测物质造成损伤,且仅能观测开孔的相关参数。光电测试方法,不仅能够无损检测研究对象的孔隙特征,而且能够对煤中的全孔隙(开孔和闭孔)特征进行表征。近年来,SAXS技术以其高分辨率表征材料内部纳米孔隙和微裂隙等微观结构的优越性能,在研究工作中得到了广泛应用,成为分析复杂多孔介质微观结构的重要手段。已有研究利用SAXS技术,对煤体、页岩和砂岩等多孔介质的微观结构特征进行了深入分析,揭示了不同地质条件下这些介质的孔隙分布、孔隙率及分形特征。ZHAO等通过SAXS研究发现煤体纳米孔隙结构对煤的气体吸附特性有显著影响。ZHAO等则利用SAXS技术探讨了煤体孔隙结构与甲烷吸附的关系。聂百胜等通过SAXS、低温CO2吸附等相结合的手段研究了含瓦斯煤纳米孔隙结构破坏和骨架破坏现象。张钰等用SAXS研究了不同变质程度煤岩纳米级孔隙结构特征。ZHAO等通过SAXS分别研究了不同粒径煤中孔隙结构特征等问题。TAI等通过SAXS研究了单轴加载条件下煤中孔隙结构的变化特征。
尽管SAXS技术在多孔介质微观结构研究中取得了显著进展,但现有研究主要集中于静态加载条件下的微观结构表征,对煤体在逐级加卸载动态过程中的微观结构演化缺乏系统性研究。尤其是在煤矿作业频繁的动态应力环境下,煤体的微观结构如何随着循环应力的变化发生演变,以及这种演变如何影响煤体的力学性能和致灾潜力,目前仍然是一个未被充分探索的领域。笔者首次系统地应用SAXS技术与逐级加卸载相结合,分析逐级加卸载条件下煤中纳米孔隙结构损伤特征,并基于试验结果探讨循环加卸载引发煤矿动力灾害的致灾机理。以期为煤矿动力灾害的预警提供了微观尺度的理论依据,同时为煤矿复杂应力环境下的灾害控制策略设计提供科学指导。
为了探究煤体在载荷下的微观力学及损伤特性,利用试验室自行研制的基于小角X射线散射(SAXS)技术的微型加载系统和同步辐射小角X射线散射试验站,进行了煤的逐级加卸载SAXS试验。通过小角X射线散射试验数据,分析了煤中纳米孔隙结构在逐级加卸载过程中的损伤演化规律,讨论了煤中开闭孔微观结构的损伤破坏机理。结果表明:煤样的逐级加卸载SAXS试验均表现出Porod正偏离,不同荷载方式不会改变煤体本身的Porod偏离方式,但外部荷载对散射强度有显著影响。逐级加卸载煤样纳米孔隙结构的表面分形维数、孔隙分形维数、比表面积、孔隙率随荷载值的增加均呈现出先增加后减小再增大的动态变化特征;根据这些阶段性的变化特征,将逐级加卸载作用下煤中纳米孔隙结构的损伤过程划分为:轻微损伤阶段、压缩阶段、破裂阶段。此外,通过结合微观结构的变化规律分析了单轴加载和逐级加卸载对纳米孔隙损伤机理的影响,指出逐级加卸载会加剧孔隙闭合、结构坍塌和贯通破裂过程,并讨论了含瓦斯与无瓦斯煤体中纳米孔隙受加卸载影响损伤破坏的致灾机理。研究结果为理解煤体在循环加卸载下的微观损伤机制及其致灾机理提供了新的视角。

图1 试验煤样

图2 循环加卸载原位SAXS试验示意

图3 1W2A小角散射试验装置原理示意

图4 煤的二维经典散射图像

图5 试验煤样的散射数据

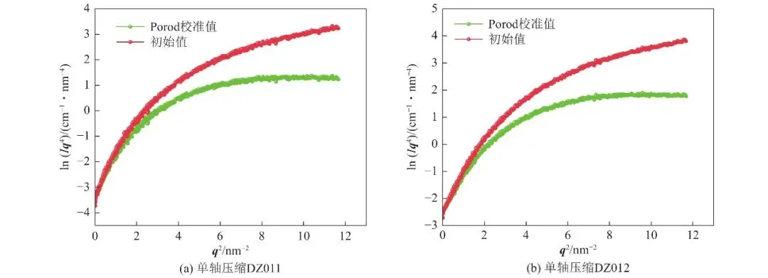
图6 单轴加载煤样Porod曲线及校准结果

图7 循环加卸载煤样Porod曲线及校准结果

图8 单轴加载煤样的PSD特征

图9 逐级加卸载煤样的PSD特征

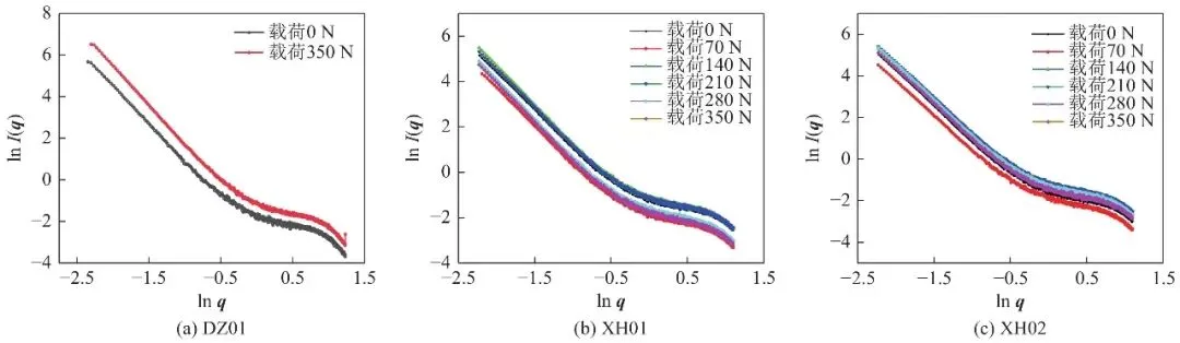
图10 煤样的ln I(q)-ln q曲线

图11 XH03煤样的ln I(q)-ln q曲线线性区域拟合

图12 煤样多尺度孔径分布特征曲线

图13 煤样在单轴加载试验前后孔隙率随荷载变化

图14 循环加卸载煤样孔隙率随荷载变化曲线

图15 循环加卸载煤样比表面积随荷载变化曲线

图16 纳米孔隙等微观开孔瓦斯流动示意[39]

图17 煤中纳米闭孔孔隙力学分析示意

李祥春,男,1979年12月生,内蒙古阿荣旗人,中共党员,中国矿业大学(北京)教授,博士生导师。本硕博分别毕业于太原理工大学(1998.9-2002.7)、太原理工大学(2002.9-2005.7)、中国矿业大学(北京)(2005.9-2009.1)。澳大利亚CSIRO联合培养博士(2007.9-2008.7)、卧龙岗大学访问学者(2015.3-2016.3、2020.1-2020.2)。新疆工业高等专科学校第六批援疆干部(2009.8-2011.1)。贵州工程应用技术学院矿业工程学院挂职干部(2017.10-2018.1)。主持国家自然科学基金、国家重点研发计划子课题、北京市自然科学基金、北京市青年英才计划、教育部人文社会科学研究基金、教育部高等学校博士学科点专项科研基金等项目。
研究方向
煤岩瓦斯动力灾害防治
主要成果
获省部级科技进步一等奖5项、二等奖9项、三等奖2项,北京市及全国煤炭行业教育教学成果一等奖2项,授权发明专利23项、实用新型专利15项、软件著作权1项,合作出版专著2部,参编教材3部,发表学术论文90余篇,其中SCI、EI收录60余篇。
来源:
李祥春,石瑶玉,聂百胜,等. 基于小角X射线散射的逐级加卸载下煤中纳米孔隙损伤特征[J]. 煤炭学报,2025,50(9):4391−4404.LI Xiangchun,SHI Yaoyu,NIE Baisheng,et al. Damage characteristics of nanopores in coal under stepwise loading and unloading based on small angle X-ray scattering[J]. Journal of China Coal Society,2025,50(9):4391−4404.
策划丨韩晋平
责编丨刘雅清
编辑丨李莎
审核丨郭晓炜
煤炭科学研究总院期刊出版公司拥有科技期刊21种。其中,SCI收录1种,Ei收录5种、CSCD收录6种、Scopus收录8种、中文核心期刊9种、中国科技核心期刊11种、中国科技期刊卓越行动计划入选期刊4种,是煤炭行业最重要的科技窗口与学术交流阵地,也是行业最大最权威的期刊集群。
联系我们
版权声明:本平台刊登的《煤炭学报》所有稿件均按照国家版权局有关规定支付了相应稿酬,《煤炭学报》享有稿件的信息网络传播权。未经授权,不得匿名转载。本平台所使用的图片属于相关权利人所有,因客观原因,部分作品如存在不当使用的情况,请相关权利人随时与我们联系。
夜雨聆风