等幅循环加卸载下不同煤厚组合体变形破坏特征
作者:
林海飞, 陈志恒, 周斌, 刘思博, 双海清, 季鹏飞, 赵鹏翔
作者单位:
1. 西安科技大学机构 安全科学与工程学院, 陕西 西安 710054
2. 西部煤矿瓦斯灾害防控陕西省高等学校重点实验室, 陕西 西安 710054
3. 西部矿井瓦斯智能抽采工程研究中心, 陕西 西安 710054

扫一扫
阅读全文
摘要
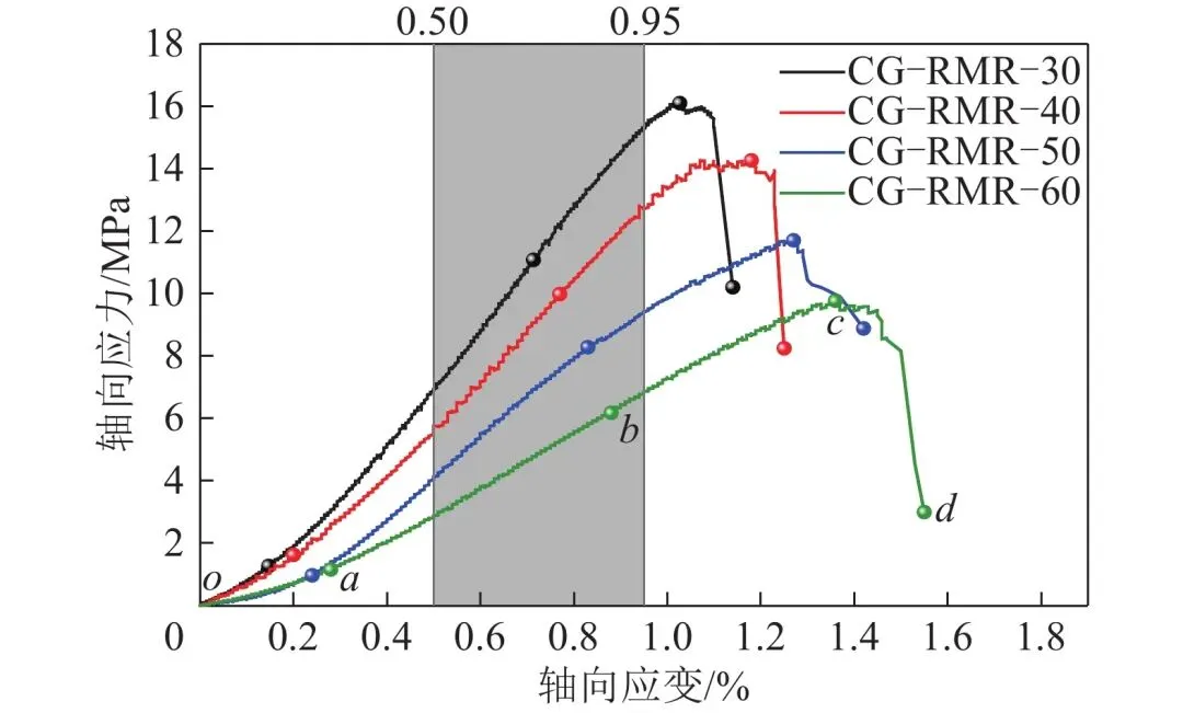
针对工作面开采过程中周期来压对“顶板–煤–底板”复合结构的多次扰动影响, 以岩–煤–岩组合体为研究对象, 开展单轴常规加载及等幅循环加卸载试验, 利用数字散斑技术(XTDIC)分析组合体变形破坏特征, 揭示等幅循环加卸载路径下不同煤厚占比组合体的破坏机制。研究结果表明: 组合体在等幅循环加卸载路径下峰值抗压强度与煤厚占比成负相关, 与常规单轴加载相比, 煤厚占比由低到高, 抗压强度由16.10 MPa分别下降了13.98%、22.34%、11.82%和6.36%, 皆介于单岩和单煤强度之间; 且随着组合体煤厚占比增加, 加载阶段弹性模量峰值由2.13 GPa依次减小至1.69、1.31及0.87 GPa, 除首次加载, 卸载时弹性模量始终低于加载弹性模量; 当煤岩比为1∶0.86∶1、1∶1.33∶1时, 组合体最大主应变场集中区分散且呈现多区域发展趋势, 破坏时整体表现为拉伸–剪切复合型破坏, 当煤岩比增大到1∶2∶1、1∶3∶1时, 应变场汇聚成条带状, 表现出整体剪切型破坏; 组合体各部分整体位移随着轴向应力的加卸载, 表现出初始压密阶段的位移增长, 继而进入循环弹塑性阶段的位移波动与回弹, 直至峰值破坏前的变形急剧扩张现象, 横向位移则表现出初始压密阶段横向压缩膨胀到循环过程加载膨胀、卸载回弹至破坏前剧烈膨胀及最后稳定现象; 裂隙张开量呈现“阶梯波浪式”跃迁增长特征, 临近峰值强度阈值时表现出强烈的非线性加速扩展特征。
图片

图 1 岩–煤–岩组合体加工制备

图 2 岩–煤–岩组合体试验流程

图 3 等幅循环加卸载路径

图 4 散斑监测点选取

图 5 裂隙张开量计算方法及取点示意

图 6 不同煤厚常规加载应力–应变曲线

图 7 不同煤厚等幅循环加载应力–应变曲线

图 8 岩–煤–岩组合体峰值抗压强度煤厚效应特征

图 9 不同煤厚循环加卸载下弹性模量演变特征

图 10 岩–煤–岩组合体常规加载弹性模量煤厚效应特征

图 11 不同煤厚组合体各部分等幅循环加卸载下位移演化特征

图 12 不同煤厚等幅循环加卸载全过程应变场演变特征

图 13 不同煤厚表面裂隙张开量演化曲线

图 14 2种加载路径下不同煤厚组合体破坏图

图 15 不同煤厚等幅循环加卸载下破坏模型
作者简介

通讯作者简介:

陈志恒,安徽宿州人,西安科技大学在读博士研究生。主要研究方向为矿井瓦斯灾害防治技术。参与国家自然科学杰出青年科学基金、国家重点研发计划项目、省级科研项目及校企合作项目等15项。在Chemical Engineering Journal、Energy、煤炭科学技术、采矿与岩层控制工程学报等期刊累计发表论文11篇,其中以第一/通讯作者发表论文4篇。
本文引用格式
林海飞, 陈志恒, 周斌, 等. 等幅循环加卸载下不同煤厚组合体变形破坏特征[J]. 采矿与岩层控制工程学报, 2026, 8(1): 013038. DOI: 10.13532/j.jmsce.cn10-1638/td.2015-1394
LIN Haifei, CHEN Zhiheng, ZHOU Bin, et al. Deformation and failure characteristics of rock-coal-rock combinations with different coal thickness ratios under constant amplitude cyclic loading and unloading[J]. Journal of Mining and Strata Control Engineering, 2026, 8(1): 013038. DOI: 10.13532/j.jmsce.cn10-1638/td.2015-1394

扫一扫
关注我们
联系我们:
电话:010-84262728
邮箱:jmsce2019@vip.126.com
网址:https://ckyckz.kcyjy.com
● 中国科技核心期刊
● EiCompendex收录
● 2024年中国国际影响力优秀学术期刊
●中国科技期刊提能拓展计划入选期刊
●首都科技期刊卓越行动计划入选期刊
夜雨聆风