

查看历史文章
5月重庆 |《电力交易员(中级)》岗前培训及考试评价的通知(现在报名直降480元/人)
@电力交易员(中级) 考试明白卡!考试内容、答题时长、题型与分值比例以及注意事项一篇说明白~
【题库开启】中级电力交易员题库+备考资料大全(笔记+题库+相关书籍等)
电力交易员必备工具书|国家能源局集团《电力交易员技能手册》.PDF (418页)
重磅!新版售电公司管理办法最新修订:人员至少一中+五名专职交易员!行业门槛飙升,交易限制加码!
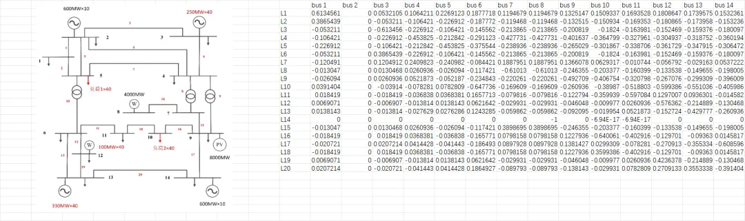
一个节点,可能就是几百万的成本差异一套电价计算逻辑,决定了现货市场的盈亏底线
在电力市场日益开放的今天,电价计算早已不只是财务表格上的一个数字。它背后,是负荷预测、新能源出力、机组报价、网络拓扑、潮流计算、中长期交易等多维数据的系统博弈。
这份《电价计算模板》,用一张Excel就把“电力现货+中长期+新能源+火电报价”全流程串了起来。👇
✅ 负荷设置基于典型负荷曲线,动态计算24小时总负荷与剩余负荷,支撑日前现货出清。
✅ 新能源设置风电+光伏逐时出力建模,直观展示新能源消纳对系统净负荷的影响。
✅ 网络拓扑14节点电网结构,支撑节点边际电价(LMP) 与潮流计算。
✅ 机组报价与电价出清多台火电机组(250MW/330MW/600MW)分段报价,按边际报价形成实时电价。
✅ 负荷计算与备用管理正负备用、最小技术出力、启停空间……贴近调度实际逻辑。
✅ 电价分时统计自动输出全天、平段、谷荷、峰段、尖峰均价,直接用于售电策略与收益分析。
✅ 中长期申报电量拆解年度、月度分时电量自动分配,贴合中长期与现货衔接的业务场景。







线下集中授课
重庆市
2026年5月27日-30日(27日报到) 重庆市
培训费用:原价4980/人,优惠后4500元/人
中电联电力交易员评价考试费用:800元/人(需在电力行业人才发展服务平台中单独缴费)
零基础入行、转行上岗必备系统学习
补齐理论短板,强化实操交易技能
系统掌握市场规则,高效统筹交易工作
计划考取中电联电力交易员证书,需专业辅导
实战派讲师拆解政策要点、市场逻辑与交易技巧,实时答疑解惑,扫清知识盲区;
1:1还原真实电力交易场景,零风险演练操作,快速掌握交易系统与申报流程;
支持单独培训、单独取证、“培训 + 取证” 多种模式,兼顾学习提升与持证需求;
加入学员社群,链接行业专家与同行,持续获取最新行业动态。
⚡ 电力交易基本理论
⚡ 电力交易相关政策
⚡ 电力市场结算
⚡ 电力现货市场与中长期交易
⚡ 绿电交易
⚡ 虚拟电厂
⚡ 演练中长期集中竟价交易
⚡ 演练现货市场交易
⚡ 现货交易价格预测
⚡ 交易结算报告分析等
上午
⚡理论考试
下午
💻实操考试
扫描二维码登记相关信息缴费后
即可报名成功👇
↓ 点击下方卡片关注 众合壹课堂↓

夜雨聆风



