当前位置:首页>文档>2009年高考数学试卷(江苏)(解析卷)_历年高考真题合集_数学历年高考真题_新·PDF版2008-2025·高考数学真题_数学(按年份分类)2008-2025_2009·高考数学真题

2009年高考数学试卷(江苏)(解析卷)_历年高考真题合集_数学历年高考真题_新·PDF版2008-2025·高考数学真题_数学(按年份分类)2008-2025_2009·高考数学真题

  • 2026-04-05 11:53:52 2026-01-24 19:36:08

文档预览

2009年高考数学试卷(江苏)(解析卷)_历年高考真题合集_数学历年高考真题_新·PDF版2008-2025·高考数学真题_数学(按年份分类)2008-2025_2009·高考数学真题
2009年高考数学试卷(江苏)(解析卷)_历年高考真题合集_数学历年高考真题_新·PDF版2008-2025·高考数学真题_数学(按年份分类)2008-2025_2009·高考数学真题
2009年高考数学试卷(江苏)(解析卷)_历年高考真题合集_数学历年高考真题_新·PDF版2008-2025·高考数学真题_数学(按年份分类)2008-2025_2009·高考数学真题
2009年高考数学试卷(江苏)(解析卷)_历年高考真题合集_数学历年高考真题_新·PDF版2008-2025·高考数学真题_数学(按年份分类)2008-2025_2009·高考数学真题
2009年高考数学试卷(江苏)(解析卷)_历年高考真题合集_数学历年高考真题_新·PDF版2008-2025·高考数学真题_数学(按年份分类)2008-2025_2009·高考数学真题
2009年高考数学试卷(江苏)(解析卷)_历年高考真题合集_数学历年高考真题_新·PDF版2008-2025·高考数学真题_数学(按年份分类)2008-2025_2009·高考数学真题
2009年高考数学试卷(江苏)(解析卷)_历年高考真题合集_数学历年高考真题_新·PDF版2008-2025·高考数学真题_数学(按年份分类)2008-2025_2009·高考数学真题
2009年高考数学试卷(江苏)(解析卷)_历年高考真题合集_数学历年高考真题_新·PDF版2008-2025·高考数学真题_数学(按年份分类)2008-2025_2009·高考数学真题
2009年高考数学试卷(江苏)(解析卷)_历年高考真题合集_数学历年高考真题_新·PDF版2008-2025·高考数学真题_数学(按年份分类)2008-2025_2009·高考数学真题
2009年高考数学试卷(江苏)(解析卷)_历年高考真题合集_数学历年高考真题_新·PDF版2008-2025·高考数学真题_数学(按年份分类)2008-2025_2009·高考数学真题
2009年高考数学试卷(江苏)(解析卷)_历年高考真题合集_数学历年高考真题_新·PDF版2008-2025·高考数学真题_数学(按年份分类)2008-2025_2009·高考数学真题
2009年高考数学试卷(江苏)(解析卷)_历年高考真题合集_数学历年高考真题_新·PDF版2008-2025·高考数学真题_数学(按年份分类)2008-2025_2009·高考数学真题
2009年高考数学试卷(江苏)(解析卷)_历年高考真题合集_数学历年高考真题_新·PDF版2008-2025·高考数学真题_数学(按年份分类)2008-2025_2009·高考数学真题
2009年高考数学试卷(江苏)(解析卷)_历年高考真题合集_数学历年高考真题_新·PDF版2008-2025·高考数学真题_数学(按年份分类)2008-2025_2009·高考数学真题
2009年高考数学试卷(江苏)(解析卷)_历年高考真题合集_数学历年高考真题_新·PDF版2008-2025·高考数学真题_数学(按年份分类)2008-2025_2009·高考数学真题
2009年高考数学试卷(江苏)(解析卷)_历年高考真题合集_数学历年高考真题_新·PDF版2008-2025·高考数学真题_数学(按年份分类)2008-2025_2009·高考数学真题

文档信息

文档格式
pdf
文档大小
0.394 MB
文档页数
12 页
上传时间
2026-01-24 19:36:08

文档内容

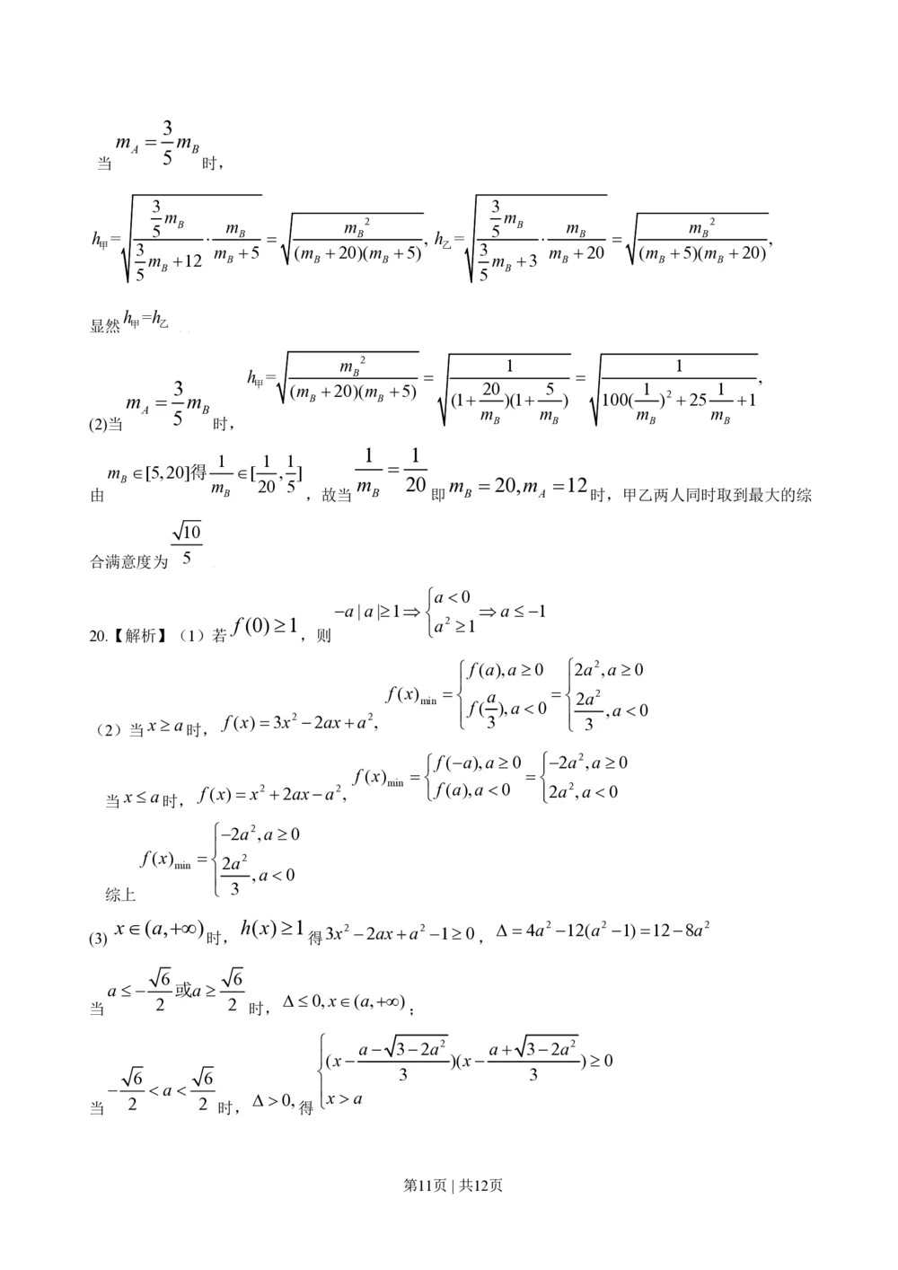
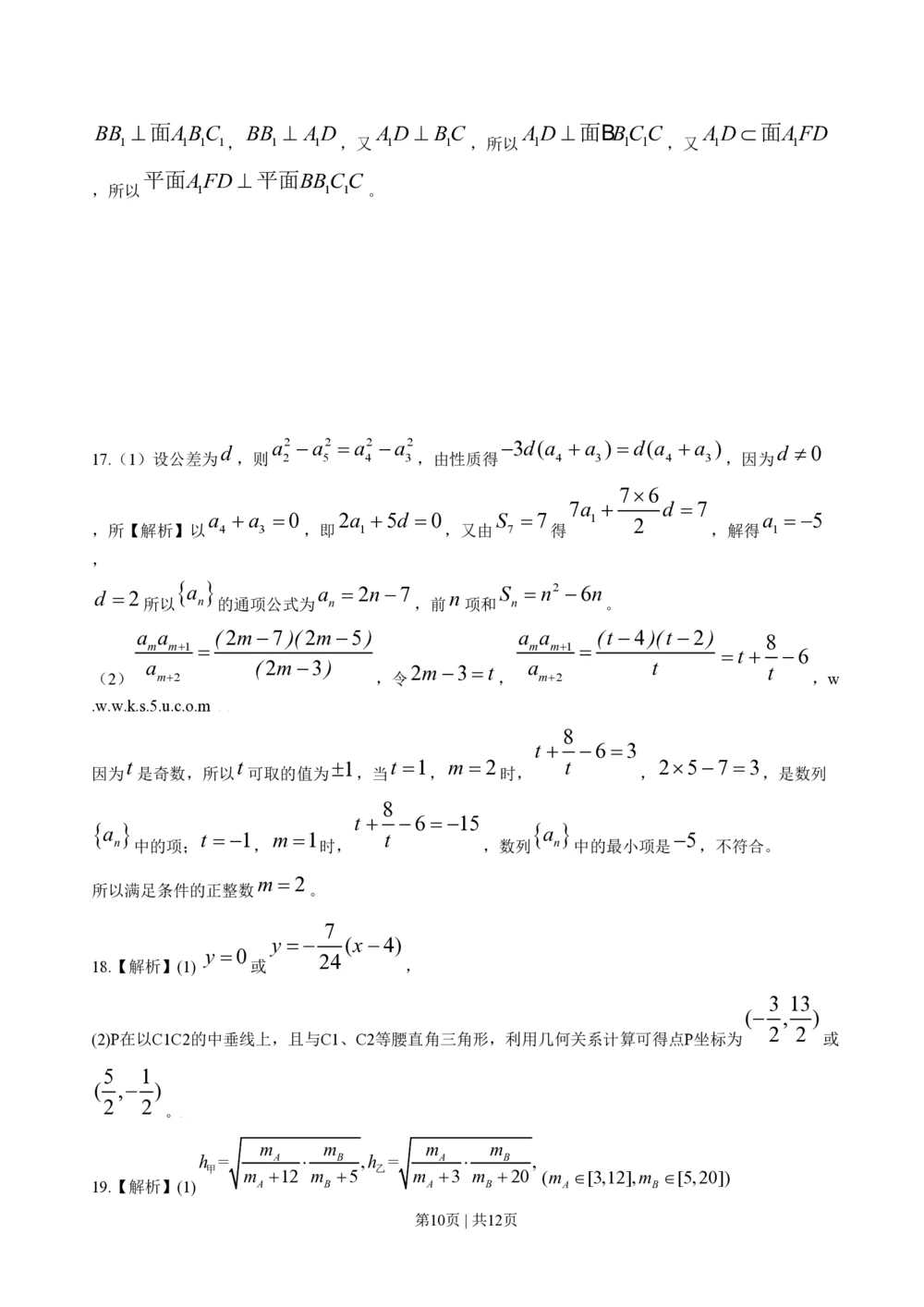
2009年普通高等学校招生全国统一考试(江苏卷) 数学Ⅰ 参考公式: 1 n 1 n s2 = å(x - x)2,其中x = åx x ,x , ,x n i n i 样本数据 1 2 L n的方差 i=1 i=1 一、填空题:本大题共14小题,每小题5分,共70分。 z = 4+29i,z =6+9i i (z - z )i 1.若复数 1 2 ,其中 是虚数单位,则复数 1 2 的实部为______ a b 30o |a|= 2,|b|= 3 a b a b = 2.已知向量 和向量 的夹角为 , ,则向量 和向量 的数量积 g _________ _ . f (x) = x3 -15x2 -33x+6 3.函数 的单调减区间为_____ y y = Asin(wx+j)(A,w,j 1 4.函数 为常数, A>0,w>0) [-p,0] 在闭区间 上的图象如图所示,则 2p p O 1 x -p - - w= 3 3 _______ . 5.现有5根竹竿,它们的长度(单位:m)分别为2.5,2.6,2. 7,2.8,2.9,若从中一次随机抽取2根竹竿,则它们的长度恰 好相差0.3m的概率为________ . 6.某校甲、乙两个班级各有5名编号为1,2,3,4,5的学生进行投篮练习,每人投10次,投中的次数如下 表: 学生 1号 2号 3号 4号 5号 甲班 6 7 7 8 7 乙班 6 7 6 7 9 第1页 | 共12页s2 = 则以上两组数据的方差中较小的一个为 ________ . 开始 W = 7.右图是一个算法的流程图,最后输出的 ________ . S ¬0 8.在平面上,若两个正三角形的边长的比为1:2,则它们的面积比为 1:4,类似地,在空间,若两个正四面体的棱长的比为1:2,则它们 T ¬1 的体积比为________ . xoy C: y = x3 -10x+3 S ¬ T2 - S 9.在平面直角坐标系 中,点P在曲线 上, T ¬T +2 且在第二象限内,已知曲线C在点P处的切线的斜率为2,则点P的坐 标为________. S ³10 N Y 5 -1 a = f (x) = ax m,n W ¬ S +T 2 10.已知 ,函数 ,若实数 满足 f (m) > f (n) m,n ,则 的大小关系为 _______ W 输出 . A=x|log x£ 2 B =(-¥,a) AÍ B 结束 11.已知集合 2 , ,若 则 a (c,+¥) c = 实数 的取值范围是 ,其中 ________ . a b a b 12.设 和 为不重合的两个平面,给出下列命题:(1)若 内的两条相交直线分别平行于 内的两条 a b a l a l a a 直线,则 平行于 ;(2)若 外一条直线 与 内的一条直线平行,则 和 平行;(3)设 和 b l a l a b l a 相交于直线 ,若 内有一条直线垂直于 ,则 和 垂直;(4)直线 与 垂直的充分必要条件是 l a 与 内的两条直线垂直. 上面命题中,真命题的序号________(写出所有真命题的序号). xoy A,A ,B ,B y 13.如图,在平面直角坐标系 中, 1 2 1 2为椭圆 T x2 y2 B2 + =1(a >b >0) M a2 b2 F 的四个顶点, 为其右焦点,直线 AB B F OT M 1 2与直线 1 相交于点T,线段 与椭圆的交点 恰为线 A1 O A2 x OT 段 的中点,则该椭圆的离心率为________. a  q |q|>1 14.设 n 是公比为 的等比数列, ,令 第2页 | 共12页b = a +1(n =1,2, ) b  -53,-23,19,37,82 6q = n n L 若数列 n 有连续四项在集合 中,则 ________ 二、解答题:本大题共6小题,共计90分。 15.(本小题满分14分) a =(4cosa,sina),b =(sinb,4cosb),c =(cosb,-4sinb) a b-2c 设向量 (1)若 与 垂直, tan(a+b) |b+c| tanatanb=16 a b 求 的值;(2)求 的最大值;(3)若 ,求证: ∥ . 16.(本小题满分14分) ABC - ABC E,F AB,AC 如图,在直三棱柱 1 1 1中, 分别是 1 1 的中 BC AD ^ BC D 点,点 在 1 1上, 1 1 EF 平面ABC 平面AFD ^平面BBCC 求证:(1) ∥ (2) 1 1 1 a  S n 17.(本小题满分14分) 设 n 是公差不为零的等差数列, n为其前 项和,满足 a2 +a2 = a2 +a2,S =7 a  n S m 2 3 4 5 7 (1)求数列 n 的通项公式及前 项和 n;(2)试求所有的正整数 a a m m+1 a a  ,使得 m+2 为数列 n 中的项. 18.(本小题满分16分) xoy C :(x+3)2 +(y -1)2 = 4 在平面直角坐标系 中,已知圆 1 和圆 C :(x-4)2 +(y -5)2 = 4 l A(4,0) y 2 (1)若直线 过点 ,且被 . C 2 3 l 圆 1截得的弦长为 ,求直线 的方程;(2)设P为平面上的 l和l 点,满足:存在过点P的无穷多对互相垂的直线 1 2,它们分别 . 1 C C l C l 与圆 1和圆 2相交,且直线 1被圆 1截得的弦长与直线 2被圆 O 1 x C 2截得的弦长相等,试求所有满足条件的点P的坐标. 第3页 | 共12页19.(本小题满分16分) a m 按照某学者的理论,假设一个人生产某产品单件成本为 元,如果他卖出该产品的单价为 元,则他的 m n m+a n n+a 满意度为 ;如果他买进该产品的单价为 元,则他的满意度为 .如果一个人对两种交易(卖 h h hh 出或买进)的满意度分别为 1和 2,则他对这两种交易的综合满意度为 1 2 . 现假设甲生产A、B两种产品的单件成本分别为12元和5元,乙生产A、B两种产品的单件成本分别为3元和 m m h 20元,设产品A、B的单价分别为 A元和 B元,甲买进A与卖出B的综合满意度为 甲,乙卖出A与买进 h B的综合满意度为 乙 3 m = m h h m m A 5 B h h 求 甲和 乙关于 A、 B的表达式;当 时,求证: 甲= 乙; 3 m = m A 5 B m m 设 ,当 A、 B分别为多少时,甲、乙两人的综合满意度均最大?最大的综合满意度为多 少? h m m h ³ h h ³ h 记(2)中最大的综合满意度为 0,试问能否适当选取 A、 B的值,使得 甲 0和 乙 0同时成立 ,但等号不同时成立?试说明理由。 3 m = m h h m m A 5 B h h 求 甲和 乙关于 A、 B的表达式;当 时,求证: 甲= 乙; 3 m = m A 5 B m m 设 ,当 A、 B分别为多少时,甲、乙两人的综合满意度均最大?最大的综合满意度为多 少? h m m h ³ h h ³ h 记(2)中最大的综合满意度为 0,试问能否适当选取 A、 B的值,使得 甲 0和 乙 0同时成立 ,但等号不同时成立?试说明理由。 a f (x) = 2x2 +(x-a)| x-a| f (0)³1 a 20.(本小题满分16分)设 为实数,函数 .若 ,求 的取值范 f (x) h(x) = f (x),xÎ(a,+¥) 围;求 的最小值;设函数 ,直接写出(不需给出演算步骤)不等式 h(x)³1 的解集. 第4页 | 共12页数学Ⅱ(附加题) n(n+1)(2n+1) 参考公式:12 +22 +32 + +n2 = . L 6 21.[选做题]在A、B、C、D四小题中只能选做两题,每小题10分,共计20分。请在答题卡指定区域内作答 ,解答时应写出文字说明、证明过程或演算步骤。 A.选修4 - 1:几何证明选讲 如图,在四边形ABCD中,△ABC≌△BAD. 求证:AB∥CD. [解析] 本小题主要考查 四边形、全等三角形的有关知识,考查推理论证能力。满分10 分。 证明:由△ABC≌△BAD得∠ACB=∠BDA,故A、B、C、D四点共圆,从而∠CBA=∠CDB。再由△ABC≌△ BAD得∠CAB=∠DBA。因此∠DBA=∠CDB,所以AB∥CD。 B. 选修4 - 2:矩阵与变换 é3 2ù 求矩阵A= ê ú 的逆矩阵. ë2 1û [解析] 本小题主要考查逆矩阵的求法,考查运算求解能力。满分10分。 éx yù é3 2ùéx yù é1 0ù 解:设矩阵A的逆矩阵为 ê ú ,则 ê úê ú = ê ú , ëz wû ë2 1ûëz wû ë0 1û é3x+2z 3y+2wù é1 0ù ì3x+2z =1,ì3y+2w=0, 即 ê ú = ê ú ,故í í ë 2x+z 2y+w û ë0 1û î2x+z =0, î2y+w=1, 解得:x=-1,z =2,y =2,w=-3, é-1 2 ù 从而A的逆矩阵为A-1 = ê ú. ë 2 -3û C. 选修4 - 4:坐标系与参数方程 第5页 | 共12页ì 1 x= t - ï ï t 已知曲线C的参数方程为í ,(t为参数,t >0). 1 ï y =3(t+ ) ïî t 求曲线C的普通方程。 [解析] 本小题主要考查参数方程和普通方程的基本知识,考查转化问题的能力。满分10分。 1 1 y 解:因为x2 =t+ -2,所以x2 +2=t+ = , t t 3 故曲线C的普通方程为:3x2 - y+6=0. D. 选修4 - 5:不等式选讲 设a≥b>0,求证:3a3+2b3≥3a2b+2ab2. [解析] 本小题主要考查比较法证明不等式的常见方法,考查代数式的变形能力。满分10分。 证明:3a3+2b3 -(3a2b+2ab2)=3a2(a-b)+2b2(b-a)=(3a2 -2b2)(a-b). 因为a≥b>0,所以a-b≥0,3a2 -2b2>0,从而(3a2 -2b2)(a-b)≥0, 即3a3+2b3≥3a2b+2ab2. [必做题]第22题、第23题,每题10分,共计20分。请在答题卡指定区域内作答,解答时应写出文字说明、 证明过程或演算步骤。 22.(本题满分10分) 在平面直角坐标系xoy中,抛物线C的顶点在原点,经过点A(2,2),其焦 点F 在x轴上。 (1)求抛物线C的标准方程; (2)求过点F,且与直线OA垂直的直线的方程; (3)设过点M(m,0)(m>0)的直线交抛物线C于D、E两点,ME=2DM,记D 和E 两点间的距离为 f(m),求 f(m)关于m的表达式。 [解析] [必做 题]本小题主要考查直线、抛物线及两点间的距离公式等基本知识,考查运算求解能力。满分10分。 第6页 | 共12页23. (本题满分10分) 对于正整数n≥2,用T 表示关于x的一元二次方程x2 +2ax+b=0有实数根的有序数组(a,b)的组数, n 其中a,bÎ1,2, ,n(a和b可以相等);对于随机选取的a,bÎ1,2, ,n(a和b可以相等),记 L L P 为关于x的一元二次方程x2 +2ax+b=0有实数根的概率。 n (1)求T 和P ; n2 n2 1 (2)求证:对任意正整数n≥2,有P >1- . n n [解析] [必做题]本小题主要考查概率的基本知识和记数原理,考查探究能力。满分10分。 第7页 | 共12页参考答案 -20 1.【答案】 【解析】略 2.【答案】3 3 a b = 2× 3× =3 g 2 【解析】 (-1,11) 3.【答案】 f¢(x) =3x2 -30x-33=3(x-11)(x+1) (x-11)(x+1)<0 【解析】 ,由 得单调减区间为 (-1,11) 。 4.【答案】3 3 2 T =p T = p 2 3 w=3 【解析】 , ,所以 , 5.【答案】0.2 【解析】略 2 5 6.【答案】 【解析】略 7.【答案】22 【解析】略 第8页 | 共12页8.【答案】1:8 【解析】略 (-2,15) 9.【答案】 【解析】略 m< n 10.【答案】 【解析】略 11.【答案】4 log x £ 2 0< x£ 4 A=(0,4] AÍ B a > 4 c = 【解析】由 2 得 , ;由 知 ,所以 4。 12.【答案】(1)(2) 【解析】略 e= 2 7 -5 y 13.【答案】 T 【解析】用 a,b,c 表示交点T,得出M坐标,代入椭圆方程即可转 B2 M 化解得离心率. -9 14.【答案】 A1 O A2 x 【解析】将各数按照绝对值从小到大排列,各数减1,观察即可得 解. a b-2c 15.【解析】由 与 垂直, a×(b-2c) =a×b-2a×c =0 , 4sin(a+b)-8cos(a+b) =0 tan(a+b) = 2 即 , ; b+c =(sinb+cosb,4cosb-4sinb) |b+c|2=sin2b+2sinbcosb+cos2b+16cos2b-32cosbsinb+16sin2b =17-30sinbcosb=17-15sin2b |b+c| 4 2 ,最大值为32,所以 的最大值为 。 tanatanb=16 sinasinb=16cosacosb 4cosa×4cosb-sinasinb=0 由 得 ,即 , a b 所以 ∥ . E,F AB,AC 16.【解析】证明:(1)因为 分别是 1 1 的中 A1 C1 EF // BC EF Ë面ABC 点,所以 ,又 , D BC Ì面ABC EF 平面ABC F B1 ,所以 ∥ ; ABC - ABC (2)因为直三棱柱 1 1 1,所以 E 第9页 | 共12页 A C BBB ^面ABC BB ^ AD AD ^ BC AD ^面BBCC AD Ì面AFD 1 1 1 1, 1 1 ,又 1 1 ,所以 1 1 1 ,又 1 1 平面AFD ^平面BBCC ,所以 1 1 1 。 d a2 -a2 = a2 -a2 -3d(a +a ) = d(a +a ) d ¹ 0 17.(1)设公差为 ,则 2 5 4 3 ,由性质得 4 3 4 3 ,因为 7´6 7a + d =7 a +a =0 2a +5d =0 S =7 1 2 a = -5 ,所【解析】以 4 3 ,即 1 ,又由 7 得 ,解得 1 , d = 2 a  a = 2n-7 n S = n2 -6n 所以 n 的通项公式为 n ,前 项和 n 。 a a (2m-7)(2m-5) a a (t -4)(t -2) 8 m m+1 = m m+1 = =t + -6 a (2m-3) 2m-3=t a t t (2) m+2 ,令 , m+2 ,w .w.w.k.s.5.u.c.o.m 8 t + -6=3 t t ±1 t =1 m = 2 t 2´5-7 =3 因为 是奇数,所以 可取的值为 ,当 , 时, , ,是数列 8 t + -6= -15 a  a  t = -1 m =1 t -5 n 中的项; , 时, ,数列 n 中的最小项是 ,不符合。 m = 2 所以满足条件的正整数 。 7 y = - (x-4) y =0 24 18.【解析】(1) 或 , 3 13 (- , ) 2 2 (2)P在以C1C2的中垂线上,且与C1、C2等腰直角三角形,利用几何关系计算可得点P坐标为 或 5 1 ( ,- ) 2 2 。 m m m m h = A × B ,h = A × B , 甲 m +12 m +5 乙 m +3 m +20 (m Î[3,12],m Î[5,20]) 19.【解析】(1) A B A B A B 第10页 | 共12页3 m = m A 5 B 当 时, 3 3 m m 5 B m m 2 5 B m m 2 h = × B = B , h = × B = B , 甲 3 m +5 (m +20)(m +5) 乙 3 m +20 (m +5)(m +20) m +12 B B B m +3 B B B 5 B 5 B h =h 显然 甲 乙 m 2 1 1 h = B = = , 3 甲 (m +20)(m +5) 20 5 1 1 m = m B B (1+ )(1+ ) 100( )2 +25 +1 A 5 B m m m m (2)当 时, B B B B 1 1 1 1 1 m Î[5,20]得 Î[ , ] = B m 20 5 m 20 m = 20,m =12 由 B ,故当 B 即 B A 时,甲乙两人同时取到最大的综 10 合满意度为 5 ìa<0 -a|a|³1Þí Þa£-1 f (0)³1 îa2 ³1 20.【解析】(1)若 ,则 ìf(a),a³0 ì2a2,a³0 ï ï f(x) =í a =í2a2 min ï f( ),a<0 ï ,a<0 x³a f(x)=3x2 -2ax+a2, î 3 î 3 (2)当 时, ìf(-a),a³0 ìï-2a2,a³0 f(x) =í =í x£a f(x)= x2 +2ax-a2, min îf(a),a<0 ïî2a2,a<0 当 时, ì-2a2,a³0 ï f(x) =í2a2 min ï ,a<0 î 3 综上 xÎ(a,+¥) h(x)³1 3x2 -2ax+a2 -1³0 D=4a2 -12(a2 -1)=12-8a2 (3) 时, 得 , 6 6 a£- 或a³ 当 2 2 时, D£0,xÎ(a,+¥) ; ì a- 3-2a2 a+ 3-2a2 ï(x- )(x- )³0 6 6 í 3 3 - 0, 得 îx>a 第11页 | 共12页2 6 aÎ( , ) 1) 2 2 时, xÎ(a,+¥) 2 2 a+ 3-2a2 aÎ[- , ] xÎ[ ,+¥) 2) 2 2 时, 3 6 2 a- 3-2a2 a+ 3-2a2 aÎ(- ,- ] xÎ(a, ] [ ,+¥) U 3) 2 2 时, 3 3 第12页 | 共12页