当前位置:首页>文档>数学-江西省五市九校协作体2023-2024学年高三上学期第一次联考_2024届江西省五市九校协作体高三上学期第一次联考

数学-江西省五市九校协作体2023-2024学年高三上学期第一次联考_2024届江西省五市九校协作体高三上学期第一次联考

  • 2026-03-17 17:45:56 2026-02-09 03:36:38

文档预览

数学-江西省五市九校协作体2023-2024学年高三上学期第一次联考_2024届江西省五市九校协作体高三上学期第一次联考
数学-江西省五市九校协作体2023-2024学年高三上学期第一次联考_2024届江西省五市九校协作体高三上学期第一次联考
数学-江西省五市九校协作体2023-2024学年高三上学期第一次联考_2024届江西省五市九校协作体高三上学期第一次联考
数学-江西省五市九校协作体2023-2024学年高三上学期第一次联考_2024届江西省五市九校协作体高三上学期第一次联考
数学-江西省五市九校协作体2023-2024学年高三上学期第一次联考_2024届江西省五市九校协作体高三上学期第一次联考
数学-江西省五市九校协作体2023-2024学年高三上学期第一次联考_2024届江西省五市九校协作体高三上学期第一次联考
数学-江西省五市九校协作体2023-2024学年高三上学期第一次联考_2024届江西省五市九校协作体高三上学期第一次联考
数学-江西省五市九校协作体2023-2024学年高三上学期第一次联考_2024届江西省五市九校协作体高三上学期第一次联考
数学-江西省五市九校协作体2023-2024学年高三上学期第一次联考_2024届江西省五市九校协作体高三上学期第一次联考
数学-江西省五市九校协作体2023-2024学年高三上学期第一次联考_2024届江西省五市九校协作体高三上学期第一次联考
数学-江西省五市九校协作体2023-2024学年高三上学期第一次联考_2024届江西省五市九校协作体高三上学期第一次联考
数学-江西省五市九校协作体2023-2024学年高三上学期第一次联考_2024届江西省五市九校协作体高三上学期第一次联考
数学-江西省五市九校协作体2023-2024学年高三上学期第一次联考_2024届江西省五市九校协作体高三上学期第一次联考
数学-江西省五市九校协作体2023-2024学年高三上学期第一次联考_2024届江西省五市九校协作体高三上学期第一次联考
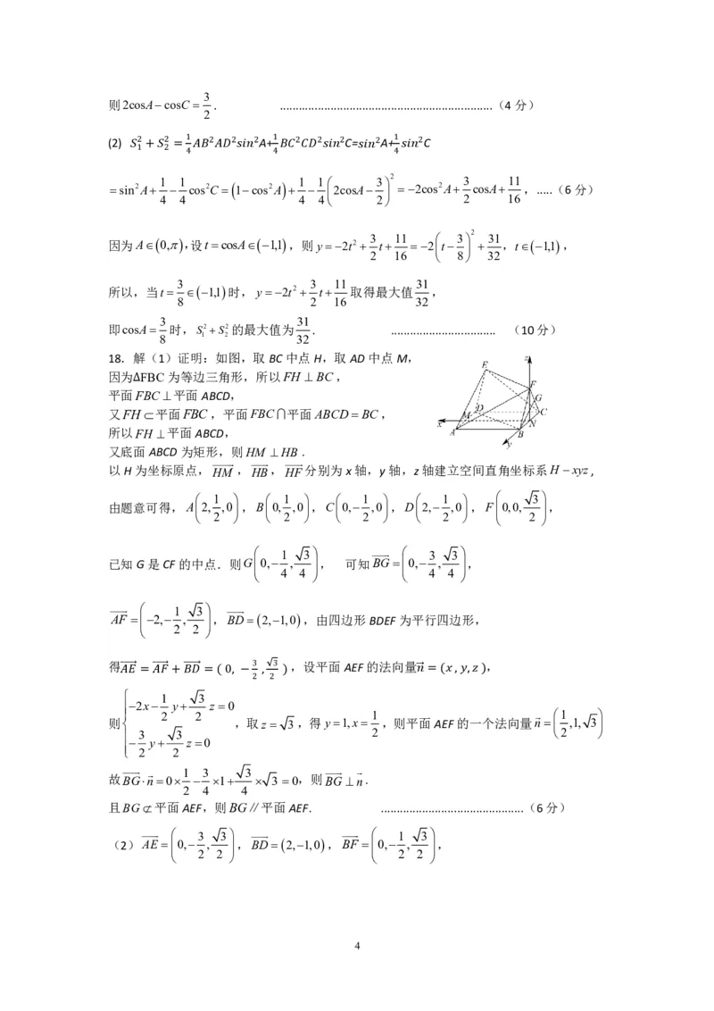
数学-江西省五市九校协作体2023-2024学年高三上学期第一次联考_2024届江西省五市九校协作体高三上学期第一次联考
数学-江西省五市九校协作体2023-2024学年高三上学期第一次联考_2024届江西省五市九校协作体高三上学期第一次联考

文档信息

文档格式
pdf
文档大小
2.653 MB
文档页数
12 页
上传时间
2026-02-09 03:36:38

文档内容

1 江西省五市九校协作体2024 届第一次联考数学参考答案 1.【答案】C 2.【答案】B 3.【答案】C 4.【答案】D 【解析】易知等腰三角形的三边为�,�+ c,�2 + b2 ;则�+ c = �2 + b2 即有�2 − 2��−2�2 = 0,解得e = � �= 3−1 2 ,故选:D. 5.【答案】D 【解析】由题意每段圆弧的中心角都是2π 3 ,第n 段圆弧的半径为n,弧长记为 na ,则 2π 3 na n  ,所以�15 = 2� 3 (1 + 2 + 3 + ⋯+ 15) = 80�,故选:D. 6.【答案】A 【解析】设|�Ԧሬ+ �Ԧሬ| = m, |�Ԧሬ| = n,由�Ԧሬ∙�Ԧሬ+ |�Ԧ ሬሬ|2 = (�Ԧሬ+ �Ԧሬ) ∙�Ԧሬ= 0,则有(�Ԧሬ+ �Ԧሬ) ⊥�Ԧሬ,又|�Ԧሬ+ 4�Ԧሬ| = |(�Ԧሬ+ �Ԧሬ) + 3�Ԧሬ| = 5,即�2 + (3�)2 = 25,令m = 5cosθ, 3n = 5sinθ,(0 < θ < π 2 ) 则 m + n = 5cosθ + 5 3 sinθ = 25 + 25 9 sin(θ + φ) ≤ 5 10 3 ,故选:A. 7.【答案】C 【解析】设g(x) = �2 − � 3 �−9,其判别式∆= �2 3 + 36 > 0,∴函数( ) g x 一定有两个零点, 设( ) g x 的两个零点为 1 x ,2 x 且 1 2 x x  ,�(�) = � 3 �+ 9, �< �1 2�2 − � 3 �−9, �1 ≤�≤�2 � 3 �+ 9, �> �2 ,当 0 a  时,( ) f x 在  1 , x  上单调递减或为常函数,从而 ( ) f x 在( −∞, −3)不可能单调递增,故 0 a  ;又有 g( −3) = �>0,故�1 >−3,∴ ( ) f x 在( −∞, −3)上单调递增,要满足在(1, + ∞)上单调递 增只需 � 12 ≤1,可解得0 < �≤12,故选:C. 8.【答案】B 【解析】以AOB 所在的平面建立平面直角坐标系,AB 为x 轴,AB 垂直平分线为y 轴,则易 知A(-1,0),B(1,0),O(0,1)设M(x,y)由MA = 3MB 可得(�−2)2 + �2 = 3, 故M 的轨迹是以C(2,0)为圆心,3为半径的圆,转化到空间M 的轨迹为以C 为球心,3 为半径的球,同时M 在球O 上,故M 在两球的交线上,轨迹为圆. 又OM= 2,MC= 3, 易求得OC= 5,即∆OCM 为直角三角形,则对应圆的半径为2 3 5 = 30 5 , M 的轨迹长度即对应圆的周长为2 30 5 �,故选:B. 9.【答案】AC 【解析】易知AC 正确;当 na 为常数列时,数列 2 na 是等差数列,故B 错误;当 na 为各 {#{QQABKYIEggAoABAAARhCEQUaCgEQkBECAAoOQAAMsAAAQRNABCA=}#} 2 项均为0 的常数列时, 0 n S  ,即数列 1 n S n       为各项为0 的常数列,可以为等差数列,故D 错误,故选:AC. 10.【答案】ACD 【解析】可知AC 和BD 是圆O 的两条直径,所以 12 AC BD   ;由条件得 2 2 2 7 cos cos2 2 1 3 9 AOD AOF               ,所以 7 cos cos 9 AOB AOD     ;由已知得 2 7 4 2 (0,π), sin 1 9 9 AOD AOD              , 所以四边形ABCD 的面积为 1 1 2 | || | sin 2 | || | sin 2 2 OA OD AOD OA OB AOB         1 1 4 2 sin 12 12 2 2 9 AC BD AOD         32 2  ;记双曲线的半焦距为c( 0 c  ),联立 2 2 2 2 2 2 2 2 2 1 x y a b x y a b c           ,解得 2 2 c a y c   ,故A 点纵坐标为 2 2 c a c  ,则sin AOF   2 2 2 c a c  , 再由已知可得 AOF  为锐角,故 2 2 2 1 sin 1 3 3 AOF             ,所以 2 2 2 1 3 c a c   , 所以 2 2 2 6 , 3 2 a e c   .故选:ACD 11.【答案】BCD 【解析】由三角形的两边之和大于第三边性质,知四面体中棱长为3 的棱最多有3 条, (1)若只有一条棱长度为3,如图AB = 3,其余棱长都为6, 取AB 中点E ,CD 中点F ,连接 , , CE DE EF ,则 , CE AB DE AB   , 又 , CE DE 是平面CDE 内两相交直线,则AB 平面CDE , 由已知CE=DE= 62 −( 3 2 )2 = 3 15 2 ,则EF CD  ,EF= ( 3 15 2 )2 −32 = 3 11 2 , �∆���= 1 2 × 6 × 3 11 2 = 9 11 2 ,;�����= 1 3 × �∆���×AB= 1 3 × 9 11 2 × 3 = 9 11 2 (2)若有两条棱长度为3,还是如(1)中的图形,AB = CD = 3, 解法如(1),�����= 1 3 × �∆���×AB= 1 3 × 9 14 4 × 3 = 9 14 4 (3)若有三条棱长度为3,只能是底面三边为3,如图BC=CD=BD=3,AB=AC=AD=6,四面体 为正三棱锥,设AO 是正三棱锥的高,O是 BCD △ 的外心,OB = 2 3 × 3 2 × 3 = 3, AO = AB2 −OB2 = 62 − 3 2 = 33, �����= 1 3 × �∆���× ��= 1 3 × 3 4 × 32 × 33 = 9 11 4 ,故选:BCD. 12.【答案】ACD {#{QQABKYIEggAoABAAARhCEQUaCgEQkBECAAoOQAAMsAAAQRNABCA=}#} 3 【解析】由题可得xlnx = ylny = lnm,设f(x) = xlnx, �’ (�) = lnx + 1 = 0 , x = 1 e ,则0 < x < 1 e ,�’ (�) < 0 ; x > 1 e ,�’ (�) > 0 , 又f( 1 e ) =− 1 e ,可得− 1 e < lnm <0 ,e−1 e < m < 1,e−1 e = ( 1 e ) 1 e ,2 2 = ( 1 2 ) 1 2 < 1,由f( 1 2 ) > f( 1 e )可得, 1 2 ln 1 2 > 1 e ln 1 e,则e−1 e < 2 2 < 1;又有 1 >cos 1 2 > cos π 6 > 2 2 ;� �= �−1 2 < �−1 �;由� 1 �> 1 �+ 1 = �+1 � , 则�−1 �< � �+1 <1;故选:ACD. 13.【答案】152 【解析】(1 + 3)5 + (1 − 3)5 = 2[�5 0( 3)0 + �5 2( 3)2 + �5 4( 3)4] = 152 . 14.【答案】4 【解析】由题可知前后两组数据的平均数不变,设为x ,设没有变化的4 个数与平均数差的 平方和为s ,所以�2 2 −�1 2 = [�+(2−�ത)2+(9−�ത)2]−[�+(6−�ത)2+(5−�ത)2] 6 = 4. 15.【答案】2 3 【解析】由题x(3x + 4y) = 3x2 + 4xy = 3 y2 ,又(3x + 2y)2 = 9x2 + 12xy + 4y2 = 3(3x2 + 4xy) + 4y2 = 9 y2 + 4y2 ≥12,当且仅当 9 y2 = 4y2取等号,即(3x + 2y)的最小值为2 3. 16.【答案】2 2  【解析】因为四边形ABCD为正方形,O为其中心,所以AC ⊥BD 于点O,且 OA OB OC OD    ,不妨设直线AC 的方程为   0 y kx k   ,则直线BD 的方程为 1  y x k , 设点   1 1 , A x y ,  2 2 , B x y ,则     1 1 2 2 , , , C x y D x y     ,当 0 b  时, 2 3 0 f x x b     , f x 在R 上单调递增,与 1  y x k 仅有1 个交点为原点,不合题意, 当 0 b  时,联立直线AC 与曲线方程,得到 3 1 1 1 x bx kx   ,解得 2 1x k b   , 联立直线BD 与曲线方程,得到 3 2 2 2 1 x bx x k   ,解得 2 2 1 x b k   , 因为OA OB  ,所以   2 2 1 1 1 1 k k b b k k               , 整理得 2 2 1 1 0 k b k k k                 ,即 2 1 1 2 0 k b k k k                  , 设   1 0 t k k k k    ,该函数在  0,   上单调递增,值域为R, 要使符合题意的正方形只有1 个,则必有 2 2 0 t bt    有两个相等的实数根, 即 2 8 0 b    ,解得 2 2 b  ,正根舍去, 此时 1 2 2 k k   ,解得 6 2 2 k   ,负根舍去,所以 2 2 b  . 17.解(1)在∆ABD 中, ² ² ² 2 cos 5 4cos BD AD AB AD AB A A       在∆BCD 4cos 3 2cos A C    ,中, 2 2 2 2 cos 2 2cos BD CD CB CD CB C C       , {#{QQABKYIEggAoABAAARhCEQUaCgEQkBECAAoOQAAMsAAAQRNABCA=}#} 4 则 3 2cos cos 2 A C   . ...................................................................(4 分) (2) �1 2 + �2 2 = 1 4 ��2��2���2A+ 1 4 ��2��2���2C=���2A+ 1 4 ���2C   2 2 2 2 1 1 1 1 3 sin cos 1 cos 2cos 4 4 4 4 2 A C A A               2 3 11 2cos cos 2 16 A A    ,.....(6 分) 因为   0, A   ,设   cos 1,1 t A   ,则   2 2 3 11 3 31 2 2 1,1 2 16 8 32 y t t t t              , , 所以,当   3 1,1 8 t   时, 2 3 11 2 2 16 y t t    取得最大值31 32 , 即 3 cos 8 A  时, 2 2 1 2 S S  的最大值为31 32 . ................................. (10 分) 18.解(1)证明:如图,取BC 中点H,取AD 中点M, 因为∆FBC 为等边三角形,所以FH BC  , 平面FBC 平面ABCD, 又FH 平面FBC ,平面FBC 平面ABCD BC  , 所以FH 平面ABCD, 又底面ABCD 为矩形,则HM HB  . 以H 为坐标原点,HM ,HB ,HF 分别为x 轴,y 轴,z 轴建立空间直角坐标系H xyz  , 由题意可得, 1 2, ,0 2 A      , 1 0, ,0 2 B     , 1 0, ,0 2 C       , 1 2, ,0 2 D      , 3 0,0, 2 F         , 已知G 是CF 的中点.则 1 3 0, , 4 4 G         , 可知 3 3 0, , 4 4 BG            , 1 3 2, , 2 2 AF            ,   2, 1,0 BD    ,由四边形BDEF 为平行四边形, 得��Ԧ ሬሬሬሬ= ��Ԧ ሬሬሬሬ+ ��Ԧ ሬሬሬሬ= ( 0, − 3 2 , 3 2 ) ,设平面AEF 的法向量�Ԧሬ= (�, �, �), 则 1 3 2 0 2 2 3 3 0 2 2 x y z y z          ,取 3 z  ,得 1 1, 2 y x   ,则平面AEF 的一个法向量 1 ,1, 3 2 n        故 1 3 3 0 1 3 0 2 4 4 BG n         ,则BG n   . 且BG 平面AEF,则BG∥平面AEF. .............................................(6 分) (2) 3 3 0, , 2 2 AE            ,   2, 1,0 BD    , 1 3 0, , 2 2 BF            , {#{QQABKYIEggAoABAAARhCEQUaCgEQkBECAAoOQAAMsAAAQRNABCA=}#} 5 设平面BDEF 的法向量   , , m x y z   ,则 2 0 1 3 0 2 2 x y y z       ,取 2 z  ,得 2 3, 3 y x   , 得平面BDEF 的一个法向量   3,2 3,2 m   设直线AE 与平面BDEF 所成角为,则 2 3 2 19 sin cos , 19 3 19 AE m AE m AE m             , 故所求直线AE 与平面BDEF 所成角的正弦值为2 19 19 . ...............................(12 分) 19.解(1)由题可知,第2 回合甲发球的概率为2 3 ,乙发球的概率为1 3 . 所以第3 回合甲发球的概率为2 2 1 1 5 3 3 3 3 9     ,乙发球的概率为2 1 1 2 4 3 3 3 3 9     . 可得第4 个回合甲发球的概率为5 2 4 1 14 9 3 9 3 27     . 故第4 个回合甲发球的概率为 14 27 . ......................................................(4 分) (2)X 可以取1,2,3,4. 当 1 X 时, 1 1 2 2 4 3 3 3 27 P     ; 当 4 X  时, 3 4 2 8 3 27 P         ;........................(6 分) 当 2 X  时,前4 个回合甲发球两次的情况分以下三种: 第一种情况,甲第1,2 回合发球,乙第3,4 回合发球,其概率为2 1 2 4 3 3 3 27    . 第二种情况,甲第1,3 回合发球,乙第2,4 回合发球,其概率为1 1 1 1 3 3 3 27    . 第三种情况,甲第1,4 回合发球,乙第2,3 回合发球,其概率为1 2 1 2 3 3 3 27    . 故前4 个回合甲发球两次的概率为4 1 2 7 27 27 27 27    . 2 7 27 P  ; 当 3 X  时, 3 1 2 4 8 1 27 P P P P     ...........................................................................(10 分) X 的分布列为 X 1 2 3 4 P 4 27 7 27 8 27 8 27   4 7 8 8 74 1 2 3 4 27 27 27 27 27 E X      . .....................................................(12 分) 20.解(1)由 1 1 2 n n n n S S a a    有 1 1 1 1 2 n n n n n S a S a a       ,即 1 1 1 2 n n n n S S a a     , {#{QQABKYIEggAoABAAARhCEQUaCgEQkBECAAoOQAAMsAAAQRNABCA=}#} 6 又 1 1 a ,故 1 1 1 S a ,所以数列 n n S a       是以1 为首项, 1 2 为公差的等差数列,...........(3 分) 所以 1 2 n n S n a   ,即 1 2 n n n S a   , 故 1 1 2 2 n n n S a     ,两式相减得 1 1 2 1 2 2 n n n n n a a a       ,即 1 1 2 2 n n n n a a    , 所以 1 1 1 1 1 n n a a a n n       ,因此 na 的通项公式为 na n  . .............................(6 分) (2)由(1)可知   * N , | 2 2 Q x x n n     ,    * * | 4 2 N | 2(2 , 1) N , R x x n n x x n n         , 所以Q ∩R = R.又因为 nc Q R   ,其中 1c 是Q R  中的最小数, 所以 1 6 c  ,则 nc 的公差是4 的倍数,设公差为4t, * N t  , 所以�21 = 6 + 80�,又因为400 < �21 < 450,所以400 < 6 + 80�< 450,则 394 80 < �< 444 80 , 由于 * N t  ,故�= 5,即等差数列 nc 的公差为20, 则��= 6 + (�−1) × 20 = 20�−14 ,.......................................................................(8 分) 所以 �� 2�+1 = 10�−7 2� ,即��= 3 ∙( 1 2 )1 + 13 ∙( 1 2 )2 + ⋯+ (10�−7) ∙( 1 2 )�① 1 2 ��= 3 ∙( 1 2 )2 + 13 ∙( 1 2 )3 + ⋯+ (10�−7) ∙( 1 2 )�+1 ② 由①−②可解得��= 13 − 10�+13 2� ............................................................................(12 分) 21.解:(1)设M(�1, �1) ,N(�2, �2) ,由抛物线定义可知|MF|+|NF|= �1 + �2+p=4 , 又线段MN 的垂直平分线交x 轴于点E(3,0),故|ME|=|NE|, (�1 −3)2 + �1 2=(�2 −3)2 + �2 2 即(�1 + �2 −6)(�1 −�2)=�2 2−�1 2=2�(�2 −�1) 因为�2 ≠�1 ,所以(�1 + �2 −6)=−2�,即4 −�−6 =−2�,则有p=2 , 即抛物线T 的方程为�2= 4x ..................................................................................(4 分) (2)由题:   1,0 F ,设     1 1 2 2 : 1, , , , AB x ny A x y B x y   , 代入 2 4 y x  得 2 4 4 0 y ny    , 则有 1 2 1 2 4 4 y y n y y       ,   2 1 2 1 2 2 4 2 x x n y y n       ,所以G(2n2 + 1,2n),故���= 2� 2�2+1 设C(�3, �3) ,D(�4, �4) ,则 3 1 1 2 1 3 1 1 3 4 4 4 AC y y y k y x x y y        解得 3 1 16 y y  ,同理, 4 2 16 y y  , 所以 2 2 1 1 2 2 64 16 64 16 , , , C D y y y y               , {#{QQABKYIEggAoABAAARhCEQUaCgEQkBECAAoOQAAMsAAAQRNABCA=}#} 7 所以H 点的横坐标为       2 1 2 1 2 2 2 2 2 1 2 1 2 2 1 1 32 32 16 2 1 y y y y n y y y y              , H 点的纵坐标为 1 2 1 1 8 8n y y          ,所以���= � 2(2�2+1) , 有���= 1 4 ���, ..............................................................................................(7 分) 记�= ���= 2� 2�2+1,故|���| = 2|�| 2�2+1, 当 0 n  时,���=0,当 0 n  时,|���| = 2|�| 2�2+1 = 2 2|�|+ 1 |�| ≤ 2 2 2|�|. 1 |�| = 2 2 ,易求得 2 1 0, 2 t      ; 取直线OG、OH 的方向向量分别为     1, , 4, p t q t     , 故cos∠GOH= | �՜ �՜ �՜ . �՜ �՜ �՜ | | �՜ �՜ �՜ |.| �՜| �՜|= �2+4 �2+1 �2+16 ......................................................................(9 分) 当 2 0 t  时,cos∠GOH=1,当 2 1 0, 2 t      时,cos∠GOH= 1 − 9 �2+16 �2+17 函数 16 y x x   在区间 1 0, 2      上单调递减,最小值为 1 16 65 1 2 2 2   , 所以当 2 1 2 t  时,cos∠GOH 取到最小值为 9 9 1 65 11 17 1 1 2 3 1 1     . ....................(12 分) 22. 解(1)由题有f’ (x)=−(x + 1)��−�(x∈R) . 令f’ (x)> 0 ,得�∈( −∞, −1),令f’ (x)< 0 ,得�∈( −1, + ∞), 故函数  f x 的增区间是( −∞, −1),减区间是( −1, + ∞). ..............................(2 分) (2)根据题意得:  2 e 2 0 a x x x      ,     e 2 e 2 0 a x x x     , 设方程   2e 2 2 0 f x x     的两根分别是 0x 和 0x  , 故     0 0 0 e 2 e 2 0 x a x x     ①,     0 0 0 e 2 e 2 0 x a x x        , 则    0 0 0 e e 2 2 0 x a x x      ②,由①-②可得:    0 0 0 e 1 2 2 e 0 x a x x          ③, 令   2 2 e x g x x x     ,则      1 e 2 e 1 e 1 x x x g x x x       , 易证明  0 g x   ,即 g x 单调递增,又 0 0 g  ,当 0 0 x  时,由①可知:e 1 a 不成立; 故 0 0 x  ,则  0 0 g x  ,则有:e 1 0 a  ,即 0 a  ;.............................................(5 分) (3)由(2)可得f(−x)=(−x+2)��,则g(�)=���−���−�−m=0, {#{QQABKYIEggAoABAAARhCEQUaCgEQkBECAAoOQAAMsAAAQRNABCA=}#} 8 即��+���−(�+ ���) = �令 ln t x x   ,函数 ln t x x   在   0, x 单调递增,t R , 函数g(�)有两个不同的零点�1、�2,也即方程��−�= �在t R 有两根1 2 , t t , 其中1 1 1 2 2 2 ln , ln t x x t x x     , 令 ( ) et p t t  ,则 ( ) e 1 t p t     ( ) p t 在   ,0 t  为减函数,在   0, t  为增函数,  min( ) (0) 1 p t p  又x 时, ( ) p t   ;x 时, ( ) p t   , m> 1,1 2 0 t t   , 1 2 ( ) ( ) p t p t  , 令( ) ( ) ( ) (e ) (e ) e e 2 , 0 t t t t q t p t p t t t t t             则 ( ) e e 2 0 t t q t       , ( ) q t 在   0, t  单调递增, 0 t  时,( ) (0) 0 q t q   , 由2 0 t  得 2 2 2 ( ) ( ) ( ) 0 q t p t p t    , 1 2 2 ( ) ( ) ( ) p t p t p t    , 而 ( ) p t 在   ,0 t  单调递减,且1 2 0 0 t t    , ,所以1 2 1 2 0 t t t t    , ,.................(8 分) 即有1 2 1 1 2 2 ln ln 0 t t x x x x      ,  1 1 2 2 1 2 1 2 1 2 1 2 ln ln ln( ) 2ln 2 x x x x x x x x x x x x         ,  1 2 1 2 ln 0 x x x x   ,又 1 1 1 1 ln 0 2 e e e    ,  1 2 1 2 1 1 ln ln e e x x x x    ,而 ln y x x   在   0, x 单调递增,  1 2 1 e x x   1 2 1 e x x  . 即得证 ..........................................................................................(12 分) {#{QQABKYIEggAoABAAARhCEQUaCgEQkBECAAoOQAAMsAAAQRNABCA=}#}