当前位置:首页>文档>专题07三角函数的图象与性质(5种经典基础练+6种优选提升练)解析版_1多考区联考试卷_0105好题汇编备战2024-2025学年高一数学上学期期末真题分类汇编(新高考通用)

专题07三角函数的图象与性质(5种经典基础练+6种优选提升练)解析版_1多考区联考试卷_0105好题汇编备战2024-2025学年高一数学上学期期末真题分类汇编(新高考通用)

  • 2026-03-23 10:27:05 2026-02-09 06:27:32

文档预览

专题07三角函数的图象与性质(5种经典基础练+6种优选提升练)解析版_1多考区联考试卷_0105好题汇编备战2024-2025学年高一数学上学期期末真题分类汇编(新高考通用)
专题07三角函数的图象与性质(5种经典基础练+6种优选提升练)解析版_1多考区联考试卷_0105好题汇编备战2024-2025学年高一数学上学期期末真题分类汇编(新高考通用)
专题07三角函数的图象与性质(5种经典基础练+6种优选提升练)解析版_1多考区联考试卷_0105好题汇编备战2024-2025学年高一数学上学期期末真题分类汇编(新高考通用)
专题07三角函数的图象与性质(5种经典基础练+6种优选提升练)解析版_1多考区联考试卷_0105好题汇编备战2024-2025学年高一数学上学期期末真题分类汇编(新高考通用)
专题07三角函数的图象与性质(5种经典基础练+6种优选提升练)解析版_1多考区联考试卷_0105好题汇编备战2024-2025学年高一数学上学期期末真题分类汇编(新高考通用)
专题07三角函数的图象与性质(5种经典基础练+6种优选提升练)解析版_1多考区联考试卷_0105好题汇编备战2024-2025学年高一数学上学期期末真题分类汇编(新高考通用)
专题07三角函数的图象与性质(5种经典基础练+6种优选提升练)解析版_1多考区联考试卷_0105好题汇编备战2024-2025学年高一数学上学期期末真题分类汇编(新高考通用)
专题07三角函数的图象与性质(5种经典基础练+6种优选提升练)解析版_1多考区联考试卷_0105好题汇编备战2024-2025学年高一数学上学期期末真题分类汇编(新高考通用)
专题07三角函数的图象与性质(5种经典基础练+6种优选提升练)解析版_1多考区联考试卷_0105好题汇编备战2024-2025学年高一数学上学期期末真题分类汇编(新高考通用)
专题07三角函数的图象与性质(5种经典基础练+6种优选提升练)解析版_1多考区联考试卷_0105好题汇编备战2024-2025学年高一数学上学期期末真题分类汇编(新高考通用)
专题07三角函数的图象与性质(5种经典基础练+6种优选提升练)解析版_1多考区联考试卷_0105好题汇编备战2024-2025学年高一数学上学期期末真题分类汇编(新高考通用)
专题07三角函数的图象与性质(5种经典基础练+6种优选提升练)解析版_1多考区联考试卷_0105好题汇编备战2024-2025学年高一数学上学期期末真题分类汇编(新高考通用)
专题07三角函数的图象与性质(5种经典基础练+6种优选提升练)解析版_1多考区联考试卷_0105好题汇编备战2024-2025学年高一数学上学期期末真题分类汇编(新高考通用)
专题07三角函数的图象与性质(5种经典基础练+6种优选提升练)解析版_1多考区联考试卷_0105好题汇编备战2024-2025学年高一数学上学期期末真题分类汇编(新高考通用)
专题07三角函数的图象与性质(5种经典基础练+6种优选提升练)解析版_1多考区联考试卷_0105好题汇编备战2024-2025学年高一数学上学期期末真题分类汇编(新高考通用)
专题07三角函数的图象与性质(5种经典基础练+6种优选提升练)解析版_1多考区联考试卷_0105好题汇编备战2024-2025学年高一数学上学期期末真题分类汇编(新高考通用)
专题07三角函数的图象与性质(5种经典基础练+6种优选提升练)解析版_1多考区联考试卷_0105好题汇编备战2024-2025学年高一数学上学期期末真题分类汇编(新高考通用)
专题07三角函数的图象与性质(5种经典基础练+6种优选提升练)解析版_1多考区联考试卷_0105好题汇编备战2024-2025学年高一数学上学期期末真题分类汇编(新高考通用)
专题07三角函数的图象与性质(5种经典基础练+6种优选提升练)解析版_1多考区联考试卷_0105好题汇编备战2024-2025学年高一数学上学期期末真题分类汇编(新高考通用)
专题07三角函数的图象与性质(5种经典基础练+6种优选提升练)解析版_1多考区联考试卷_0105好题汇编备战2024-2025学年高一数学上学期期末真题分类汇编(新高考通用)
专题07三角函数的图象与性质(5种经典基础练+6种优选提升练)解析版_1多考区联考试卷_0105好题汇编备战2024-2025学年高一数学上学期期末真题分类汇编(新高考通用)
专题07三角函数的图象与性质(5种经典基础练+6种优选提升练)解析版_1多考区联考试卷_0105好题汇编备战2024-2025学年高一数学上学期期末真题分类汇编(新高考通用)
专题07三角函数的图象与性质(5种经典基础练+6种优选提升练)解析版_1多考区联考试卷_0105好题汇编备战2024-2025学年高一数学上学期期末真题分类汇编(新高考通用)
专题07三角函数的图象与性质(5种经典基础练+6种优选提升练)解析版_1多考区联考试卷_0105好题汇编备战2024-2025学年高一数学上学期期末真题分类汇编(新高考通用)
专题07三角函数的图象与性质(5种经典基础练+6种优选提升练)解析版_1多考区联考试卷_0105好题汇编备战2024-2025学年高一数学上学期期末真题分类汇编(新高考通用)
专题07三角函数的图象与性质(5种经典基础练+6种优选提升练)解析版_1多考区联考试卷_0105好题汇编备战2024-2025学年高一数学上学期期末真题分类汇编(新高考通用)
专题07三角函数的图象与性质(5种经典基础练+6种优选提升练)解析版_1多考区联考试卷_0105好题汇编备战2024-2025学年高一数学上学期期末真题分类汇编(新高考通用)
专题07三角函数的图象与性质(5种经典基础练+6种优选提升练)解析版_1多考区联考试卷_0105好题汇编备战2024-2025学年高一数学上学期期末真题分类汇编(新高考通用)
专题07三角函数的图象与性质(5种经典基础练+6种优选提升练)解析版_1多考区联考试卷_0105好题汇编备战2024-2025学年高一数学上学期期末真题分类汇编(新高考通用)
专题07三角函数的图象与性质(5种经典基础练+6种优选提升练)解析版_1多考区联考试卷_0105好题汇编备战2024-2025学年高一数学上学期期末真题分类汇编(新高考通用)
专题07三角函数的图象与性质(5种经典基础练+6种优选提升练)解析版_1多考区联考试卷_0105好题汇编备战2024-2025学年高一数学上学期期末真题分类汇编(新高考通用)
专题07三角函数的图象与性质(5种经典基础练+6种优选提升练)解析版_1多考区联考试卷_0105好题汇编备战2024-2025学年高一数学上学期期末真题分类汇编(新高考通用)
专题07三角函数的图象与性质(5种经典基础练+6种优选提升练)解析版_1多考区联考试卷_0105好题汇编备战2024-2025学年高一数学上学期期末真题分类汇编(新高考通用)
专题07三角函数的图象与性质(5种经典基础练+6种优选提升练)解析版_1多考区联考试卷_0105好题汇编备战2024-2025学年高一数学上学期期末真题分类汇编(新高考通用)
专题07三角函数的图象与性质(5种经典基础练+6种优选提升练)解析版_1多考区联考试卷_0105好题汇编备战2024-2025学年高一数学上学期期末真题分类汇编(新高考通用)
专题07三角函数的图象与性质(5种经典基础练+6种优选提升练)解析版_1多考区联考试卷_0105好题汇编备战2024-2025学年高一数学上学期期末真题分类汇编(新高考通用)
专题07三角函数的图象与性质(5种经典基础练+6种优选提升练)解析版_1多考区联考试卷_0105好题汇编备战2024-2025学年高一数学上学期期末真题分类汇编(新高考通用)
专题07三角函数的图象与性质(5种经典基础练+6种优选提升练)解析版_1多考区联考试卷_0105好题汇编备战2024-2025学年高一数学上学期期末真题分类汇编(新高考通用)
专题07三角函数的图象与性质(5种经典基础练+6种优选提升练)解析版_1多考区联考试卷_0105好题汇编备战2024-2025学年高一数学上学期期末真题分类汇编(新高考通用)
专题07三角函数的图象与性质(5种经典基础练+6种优选提升练)解析版_1多考区联考试卷_0105好题汇编备战2024-2025学年高一数学上学期期末真题分类汇编(新高考通用)
专题07三角函数的图象与性质(5种经典基础练+6种优选提升练)解析版_1多考区联考试卷_0105好题汇编备战2024-2025学年高一数学上学期期末真题分类汇编(新高考通用)
专题07三角函数的图象与性质(5种经典基础练+6种优选提升练)解析版_1多考区联考试卷_0105好题汇编备战2024-2025学年高一数学上学期期末真题分类汇编(新高考通用)
专题07三角函数的图象与性质(5种经典基础练+6种优选提升练)解析版_1多考区联考试卷_0105好题汇编备战2024-2025学年高一数学上学期期末真题分类汇编(新高考通用)
专题07三角函数的图象与性质(5种经典基础练+6种优选提升练)解析版_1多考区联考试卷_0105好题汇编备战2024-2025学年高一数学上学期期末真题分类汇编(新高考通用)
专题07三角函数的图象与性质(5种经典基础练+6种优选提升练)解析版_1多考区联考试卷_0105好题汇编备战2024-2025学年高一数学上学期期末真题分类汇编(新高考通用)
专题07三角函数的图象与性质(5种经典基础练+6种优选提升练)解析版_1多考区联考试卷_0105好题汇编备战2024-2025学年高一数学上学期期末真题分类汇编(新高考通用)
专题07三角函数的图象与性质(5种经典基础练+6种优选提升练)解析版_1多考区联考试卷_0105好题汇编备战2024-2025学年高一数学上学期期末真题分类汇编(新高考通用)
专题07三角函数的图象与性质(5种经典基础练+6种优选提升练)解析版_1多考区联考试卷_0105好题汇编备战2024-2025学年高一数学上学期期末真题分类汇编(新高考通用)
专题07三角函数的图象与性质(5种经典基础练+6种优选提升练)解析版_1多考区联考试卷_0105好题汇编备战2024-2025学年高一数学上学期期末真题分类汇编(新高考通用)
专题07三角函数的图象与性质(5种经典基础练+6种优选提升练)解析版_1多考区联考试卷_0105好题汇编备战2024-2025学年高一数学上学期期末真题分类汇编(新高考通用)
专题07三角函数的图象与性质(5种经典基础练+6种优选提升练)解析版_1多考区联考试卷_0105好题汇编备战2024-2025学年高一数学上学期期末真题分类汇编(新高考通用)
专题07三角函数的图象与性质(5种经典基础练+6种优选提升练)解析版_1多考区联考试卷_0105好题汇编备战2024-2025学年高一数学上学期期末真题分类汇编(新高考通用)
专题07三角函数的图象与性质(5种经典基础练+6种优选提升练)解析版_1多考区联考试卷_0105好题汇编备战2024-2025学年高一数学上学期期末真题分类汇编(新高考通用)
专题07三角函数的图象与性质(5种经典基础练+6种优选提升练)解析版_1多考区联考试卷_0105好题汇编备战2024-2025学年高一数学上学期期末真题分类汇编(新高考通用)
专题07三角函数的图象与性质(5种经典基础练+6种优选提升练)解析版_1多考区联考试卷_0105好题汇编备战2024-2025学年高一数学上学期期末真题分类汇编(新高考通用)
专题07三角函数的图象与性质(5种经典基础练+6种优选提升练)解析版_1多考区联考试卷_0105好题汇编备战2024-2025学年高一数学上学期期末真题分类汇编(新高考通用)
专题07三角函数的图象与性质(5种经典基础练+6种优选提升练)解析版_1多考区联考试卷_0105好题汇编备战2024-2025学年高一数学上学期期末真题分类汇编(新高考通用)
专题07三角函数的图象与性质(5种经典基础练+6种优选提升练)解析版_1多考区联考试卷_0105好题汇编备战2024-2025学年高一数学上学期期末真题分类汇编(新高考通用)
专题07三角函数的图象与性质(5种经典基础练+6种优选提升练)解析版_1多考区联考试卷_0105好题汇编备战2024-2025学年高一数学上学期期末真题分类汇编(新高考通用)
专题07三角函数的图象与性质(5种经典基础练+6种优选提升练)解析版_1多考区联考试卷_0105好题汇编备战2024-2025学年高一数学上学期期末真题分类汇编(新高考通用)
专题07三角函数的图象与性质(5种经典基础练+6种优选提升练)解析版_1多考区联考试卷_0105好题汇编备战2024-2025学年高一数学上学期期末真题分类汇编(新高考通用)
专题07三角函数的图象与性质(5种经典基础练+6种优选提升练)解析版_1多考区联考试卷_0105好题汇编备战2024-2025学年高一数学上学期期末真题分类汇编(新高考通用)
专题07三角函数的图象与性质(5种经典基础练+6种优选提升练)解析版_1多考区联考试卷_0105好题汇编备战2024-2025学年高一数学上学期期末真题分类汇编(新高考通用)
专题07三角函数的图象与性质(5种经典基础练+6种优选提升练)解析版_1多考区联考试卷_0105好题汇编备战2024-2025学年高一数学上学期期末真题分类汇编(新高考通用)
专题07三角函数的图象与性质(5种经典基础练+6种优选提升练)解析版_1多考区联考试卷_0105好题汇编备战2024-2025学年高一数学上学期期末真题分类汇编(新高考通用)
专题07三角函数的图象与性质(5种经典基础练+6种优选提升练)解析版_1多考区联考试卷_0105好题汇编备战2024-2025学年高一数学上学期期末真题分类汇编(新高考通用)
专题07三角函数的图象与性质(5种经典基础练+6种优选提升练)解析版_1多考区联考试卷_0105好题汇编备战2024-2025学年高一数学上学期期末真题分类汇编(新高考通用)
专题07三角函数的图象与性质(5种经典基础练+6种优选提升练)解析版_1多考区联考试卷_0105好题汇编备战2024-2025学年高一数学上学期期末真题分类汇编(新高考通用)
专题07三角函数的图象与性质(5种经典基础练+6种优选提升练)解析版_1多考区联考试卷_0105好题汇编备战2024-2025学年高一数学上学期期末真题分类汇编(新高考通用)
专题07三角函数的图象与性质(5种经典基础练+6种优选提升练)解析版_1多考区联考试卷_0105好题汇编备战2024-2025学年高一数学上学期期末真题分类汇编(新高考通用)
专题07三角函数的图象与性质(5种经典基础练+6种优选提升练)解析版_1多考区联考试卷_0105好题汇编备战2024-2025学年高一数学上学期期末真题分类汇编(新高考通用)
专题07三角函数的图象与性质(5种经典基础练+6种优选提升练)解析版_1多考区联考试卷_0105好题汇编备战2024-2025学年高一数学上学期期末真题分类汇编(新高考通用)
专题07三角函数的图象与性质(5种经典基础练+6种优选提升练)解析版_1多考区联考试卷_0105好题汇编备战2024-2025学年高一数学上学期期末真题分类汇编(新高考通用)
专题07三角函数的图象与性质(5种经典基础练+6种优选提升练)解析版_1多考区联考试卷_0105好题汇编备战2024-2025学年高一数学上学期期末真题分类汇编(新高考通用)
专题07三角函数的图象与性质(5种经典基础练+6种优选提升练)解析版_1多考区联考试卷_0105好题汇编备战2024-2025学年高一数学上学期期末真题分类汇编(新高考通用)
专题07三角函数的图象与性质(5种经典基础练+6种优选提升练)解析版_1多考区联考试卷_0105好题汇编备战2024-2025学年高一数学上学期期末真题分类汇编(新高考通用)
专题07三角函数的图象与性质(5种经典基础练+6种优选提升练)解析版_1多考区联考试卷_0105好题汇编备战2024-2025学年高一数学上学期期末真题分类汇编(新高考通用)
专题07三角函数的图象与性质(5种经典基础练+6种优选提升练)解析版_1多考区联考试卷_0105好题汇编备战2024-2025学年高一数学上学期期末真题分类汇编(新高考通用)
专题07三角函数的图象与性质(5种经典基础练+6种优选提升练)解析版_1多考区联考试卷_0105好题汇编备战2024-2025学年高一数学上学期期末真题分类汇编(新高考通用)
专题07三角函数的图象与性质(5种经典基础练+6种优选提升练)解析版_1多考区联考试卷_0105好题汇编备战2024-2025学年高一数学上学期期末真题分类汇编(新高考通用)
专题07三角函数的图象与性质(5种经典基础练+6种优选提升练)解析版_1多考区联考试卷_0105好题汇编备战2024-2025学年高一数学上学期期末真题分类汇编(新高考通用)
专题07三角函数的图象与性质(5种经典基础练+6种优选提升练)解析版_1多考区联考试卷_0105好题汇编备战2024-2025学年高一数学上学期期末真题分类汇编(新高考通用)
专题07三角函数的图象与性质(5种经典基础练+6种优选提升练)解析版_1多考区联考试卷_0105好题汇编备战2024-2025学年高一数学上学期期末真题分类汇编(新高考通用)
专题07三角函数的图象与性质(5种经典基础练+6种优选提升练)解析版_1多考区联考试卷_0105好题汇编备战2024-2025学年高一数学上学期期末真题分类汇编(新高考通用)
专题07三角函数的图象与性质(5种经典基础练+6种优选提升练)解析版_1多考区联考试卷_0105好题汇编备战2024-2025学年高一数学上学期期末真题分类汇编(新高考通用)
专题07三角函数的图象与性质(5种经典基础练+6种优选提升练)解析版_1多考区联考试卷_0105好题汇编备战2024-2025学年高一数学上学期期末真题分类汇编(新高考通用)
专题07三角函数的图象与性质(5种经典基础练+6种优选提升练)解析版_1多考区联考试卷_0105好题汇编备战2024-2025学年高一数学上学期期末真题分类汇编(新高考通用)
专题07三角函数的图象与性质(5种经典基础练+6种优选提升练)解析版_1多考区联考试卷_0105好题汇编备战2024-2025学年高一数学上学期期末真题分类汇编(新高考通用)
专题07三角函数的图象与性质(5种经典基础练+6种优选提升练)解析版_1多考区联考试卷_0105好题汇编备战2024-2025学年高一数学上学期期末真题分类汇编(新高考通用)
专题07三角函数的图象与性质(5种经典基础练+6种优选提升练)解析版_1多考区联考试卷_0105好题汇编备战2024-2025学年高一数学上学期期末真题分类汇编(新高考通用)
专题07三角函数的图象与性质(5种经典基础练+6种优选提升练)解析版_1多考区联考试卷_0105好题汇编备战2024-2025学年高一数学上学期期末真题分类汇编(新高考通用)
专题07三角函数的图象与性质(5种经典基础练+6种优选提升练)解析版_1多考区联考试卷_0105好题汇编备战2024-2025学年高一数学上学期期末真题分类汇编(新高考通用)
专题07三角函数的图象与性质(5种经典基础练+6种优选提升练)解析版_1多考区联考试卷_0105好题汇编备战2024-2025学年高一数学上学期期末真题分类汇编(新高考通用)
专题07三角函数的图象与性质(5种经典基础练+6种优选提升练)解析版_1多考区联考试卷_0105好题汇编备战2024-2025学年高一数学上学期期末真题分类汇编(新高考通用)
专题07三角函数的图象与性质(5种经典基础练+6种优选提升练)解析版_1多考区联考试卷_0105好题汇编备战2024-2025学年高一数学上学期期末真题分类汇编(新高考通用)
专题07三角函数的图象与性质(5种经典基础练+6种优选提升练)解析版_1多考区联考试卷_0105好题汇编备战2024-2025学年高一数学上学期期末真题分类汇编(新高考通用)
专题07三角函数的图象与性质(5种经典基础练+6种优选提升练)解析版_1多考区联考试卷_0105好题汇编备战2024-2025学年高一数学上学期期末真题分类汇编(新高考通用)
专题07三角函数的图象与性质(5种经典基础练+6种优选提升练)解析版_1多考区联考试卷_0105好题汇编备战2024-2025学年高一数学上学期期末真题分类汇编(新高考通用)
专题07三角函数的图象与性质(5种经典基础练+6种优选提升练)解析版_1多考区联考试卷_0105好题汇编备战2024-2025学年高一数学上学期期末真题分类汇编(新高考通用)
专题07三角函数的图象与性质(5种经典基础练+6种优选提升练)解析版_1多考区联考试卷_0105好题汇编备战2024-2025学年高一数学上学期期末真题分类汇编(新高考通用)
专题07三角函数的图象与性质(5种经典基础练+6种优选提升练)解析版_1多考区联考试卷_0105好题汇编备战2024-2025学年高一数学上学期期末真题分类汇编(新高考通用)
专题07三角函数的图象与性质(5种经典基础练+6种优选提升练)解析版_1多考区联考试卷_0105好题汇编备战2024-2025学年高一数学上学期期末真题分类汇编(新高考通用)
专题07三角函数的图象与性质(5种经典基础练+6种优选提升练)解析版_1多考区联考试卷_0105好题汇编备战2024-2025学年高一数学上学期期末真题分类汇编(新高考通用)
专题07三角函数的图象与性质(5种经典基础练+6种优选提升练)解析版_1多考区联考试卷_0105好题汇编备战2024-2025学年高一数学上学期期末真题分类汇编(新高考通用)
专题07三角函数的图象与性质(5种经典基础练+6种优选提升练)解析版_1多考区联考试卷_0105好题汇编备战2024-2025学年高一数学上学期期末真题分类汇编(新高考通用)
专题07三角函数的图象与性质(5种经典基础练+6种优选提升练)解析版_1多考区联考试卷_0105好题汇编备战2024-2025学年高一数学上学期期末真题分类汇编(新高考通用)
专题07三角函数的图象与性质(5种经典基础练+6种优选提升练)解析版_1多考区联考试卷_0105好题汇编备战2024-2025学年高一数学上学期期末真题分类汇编(新高考通用)
专题07三角函数的图象与性质(5种经典基础练+6种优选提升练)解析版_1多考区联考试卷_0105好题汇编备战2024-2025学年高一数学上学期期末真题分类汇编(新高考通用)
专题07三角函数的图象与性质(5种经典基础练+6种优选提升练)解析版_1多考区联考试卷_0105好题汇编备战2024-2025学年高一数学上学期期末真题分类汇编(新高考通用)
专题07三角函数的图象与性质(5种经典基础练+6种优选提升练)解析版_1多考区联考试卷_0105好题汇编备战2024-2025学年高一数学上学期期末真题分类汇编(新高考通用)
专题07三角函数的图象与性质(5种经典基础练+6种优选提升练)解析版_1多考区联考试卷_0105好题汇编备战2024-2025学年高一数学上学期期末真题分类汇编(新高考通用)
专题07三角函数的图象与性质(5种经典基础练+6种优选提升练)解析版_1多考区联考试卷_0105好题汇编备战2024-2025学年高一数学上学期期末真题分类汇编(新高考通用)
专题07三角函数的图象与性质(5种经典基础练+6种优选提升练)解析版_1多考区联考试卷_0105好题汇编备战2024-2025学年高一数学上学期期末真题分类汇编(新高考通用)
专题07三角函数的图象与性质(5种经典基础练+6种优选提升练)解析版_1多考区联考试卷_0105好题汇编备战2024-2025学年高一数学上学期期末真题分类汇编(新高考通用)
专题07三角函数的图象与性质(5种经典基础练+6种优选提升练)解析版_1多考区联考试卷_0105好题汇编备战2024-2025学年高一数学上学期期末真题分类汇编(新高考通用)
专题07三角函数的图象与性质(5种经典基础练+6种优选提升练)解析版_1多考区联考试卷_0105好题汇编备战2024-2025学年高一数学上学期期末真题分类汇编(新高考通用)
专题07三角函数的图象与性质(5种经典基础练+6种优选提升练)解析版_1多考区联考试卷_0105好题汇编备战2024-2025学年高一数学上学期期末真题分类汇编(新高考通用)
专题07三角函数的图象与性质(5种经典基础练+6种优选提升练)解析版_1多考区联考试卷_0105好题汇编备战2024-2025学年高一数学上学期期末真题分类汇编(新高考通用)
专题07三角函数的图象与性质(5种经典基础练+6种优选提升练)解析版_1多考区联考试卷_0105好题汇编备战2024-2025学年高一数学上学期期末真题分类汇编(新高考通用)
专题07三角函数的图象与性质(5种经典基础练+6种优选提升练)解析版_1多考区联考试卷_0105好题汇编备战2024-2025学年高一数学上学期期末真题分类汇编(新高考通用)
专题07三角函数的图象与性质(5种经典基础练+6种优选提升练)解析版_1多考区联考试卷_0105好题汇编备战2024-2025学年高一数学上学期期末真题分类汇编(新高考通用)
专题07三角函数的图象与性质(5种经典基础练+6种优选提升练)解析版_1多考区联考试卷_0105好题汇编备战2024-2025学年高一数学上学期期末真题分类汇编(新高考通用)
专题07三角函数的图象与性质(5种经典基础练+6种优选提升练)解析版_1多考区联考试卷_0105好题汇编备战2024-2025学年高一数学上学期期末真题分类汇编(新高考通用)
专题07三角函数的图象与性质(5种经典基础练+6种优选提升练)解析版_1多考区联考试卷_0105好题汇编备战2024-2025学年高一数学上学期期末真题分类汇编(新高考通用)
专题07三角函数的图象与性质(5种经典基础练+6种优选提升练)解析版_1多考区联考试卷_0105好题汇编备战2024-2025学年高一数学上学期期末真题分类汇编(新高考通用)
专题07三角函数的图象与性质(5种经典基础练+6种优选提升练)解析版_1多考区联考试卷_0105好题汇编备战2024-2025学年高一数学上学期期末真题分类汇编(新高考通用)

文档信息

文档格式
docx
文档大小
8.039 MB
文档页数
122 页
上传时间
2026-02-09 06:27:32

文档内容

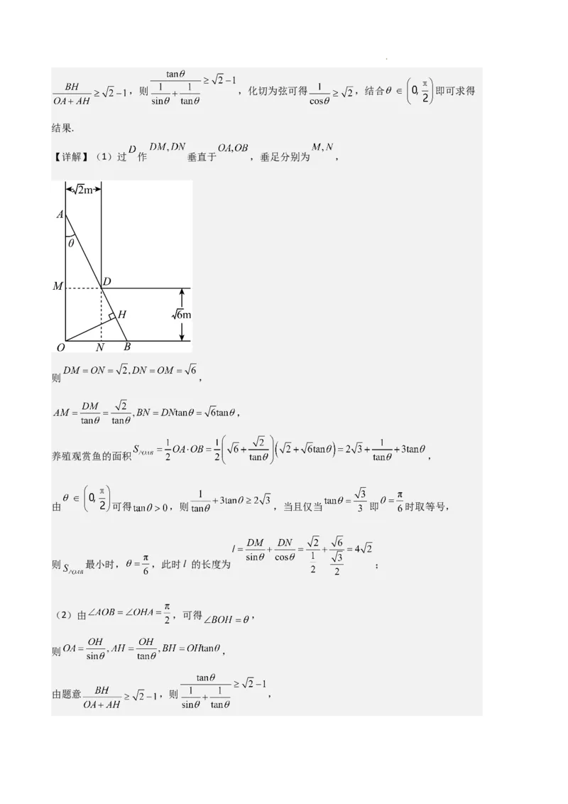
专题 07 三角函数的图象与性质 (5 种经典基础练+6 种优选提升练) 三角函数的图象(共11题) 一、单选题 1.(23-24高一上·山东青岛·期末)当 时,函数 与 的图象所有交 点横坐标之和为( ) A. B. C. D. 【答案】A 【分析】作出函数 和 在 上的图象,通过图象即可求出交点横坐标. 【详解】作出函数 和 在 上的图象如下 从图像上可得:函数 的图象和 的图象在 内有两个交点: ,即 ,得 , , ,得 , 学科网(北京)股份有限公司所有交点横坐标之和为 . 故选:A 2.(23-24高一上·河南省直辖县级单位·期末)华罗庚是享誉世界的数学大师,国际上以华氏命名 的数学科研成果有“华氏定理”“华氏不等式”“华氏算子”“华—王方法”等,其斐然成绩早为 世人所推崇.他曾说:“数缺形时少直观,形缺数时难入微”,告知我们把“数”与“形”, “式”与“图”结合起来是解决数学问题的有效途径.在数学的学习和研究中,常用函数的图象来 研究函数的性质,也常用函数的解析式来分析函数图象的特征.已知函数 的图象如图所示, 则 的解析式可能是( ) A. B. C. D. 【答案】A 【分析】根据指数函数、三角函数的单调性及复合函数的单调性判定选项即可. 【详解】由 的图象在纵轴右侧先单调递增再递减, 又 和 在纵轴右侧均先递增,而 和 在纵轴右侧均先递减,由复合函 数的单调性可排除B、C, 若 ,则根据复合函数单调性有 时函数单调递减,与图象不符,故D错误; 而 ,则根据复合函数单调性有 时函数单调递减,与图象相符,故A正确. 故选:A 学科网(北京)股份有限公司3.(23-24高一上·福建三明·期末)函数 的部分图象大致是( ) A. B. C. D. 【答案】C 【分析】先化简函数解析式,依次判断函数的定义域,奇偶性,排除A,B项,对于C,D项,则可以 借助于单位圆正弦线或者正弦函数的图象判断函数值的范围即得. 【详解】 由 ,函数的定义域为 ,显然关于原点对称, 由 可知函数 是偶函数,故排除A,B两项; 因当 时, ,如图,则 ,即 ,故排除D项,则C项正确. 故选:C. 4.(23-24高一上·安徽马鞍山·期末)下列直线中,与函数 的图象不相交的是 ( ) A. B. 学科网(北京)股份有限公司C. D. 【答案】C 【分析】借助正切函数求出函数的定义域及值域,再逐项判断得解. 【详解】函数 中, ,解得 , 函数 的定义域为 , 显然 ,因此直线 与函数 的图象相交, 直线 与函数 的图象不相交,A不是,C是; 函数 的值域为 ,因此直线 , 与函数 的图象都相交,BD 不是. 故选:C 5.(23-24高一上·四川德阳·期末) ,则 ( ) A. B. C. D. 【答案】C 【分析】根据分段函数解析式特点,代入解析式求解即可. 【详解】 . 故选:C 二、多选题 6.(23-24高一上·宁夏银川·期末)下列关于函数 的说法错误的是( ) A.函数的图象关于点 中心对称 B.函数的定义域为 学科网(北京)股份有限公司C.函数在区间 上单调递增 D.函数在区间 上单调递增 【答案】ACD 【分析】根据正切函数的定义域、对称中心、单调性可判断出答案. 【详解】对于A, ,即函数的图象关于点 不成中心对称,故A错误; 对于B,由 , ,得 ,即函数的定义域为 ,故B正确, 对于C, , 当 时,函数无意义,故 不存在单调性,故C错误; 对于D,由C选项知函数在区间 上不具备单调性,故D错误, 故选:ACD. 三、填空题 7.(23-24高一上·上海·期末)若角 满足 , ,则 . 【答案】 / 【分析】求出 ,根据函数值得到答案. 【详解】 , 因为 ,所以 , 故 ,解得 故答案为: 学科网(北京)股份有限公司8.(23-24高一上·福建龙岩·期末)已知函数 且 ,写出满足条件的 的 一个值 . 【答案】 (答案不唯一,满足条件即可) 【分析】根据正弦函数的图象求解即可. 【详解】由函数 且 , 得 , 所以 或 , 所以 或 , 所以满足条件的 可以是 . 故答案为: .(答案不唯一,满足条件即可) 9.(23-24高一上·河北石家庄·期末)函数 在 上有且仅有 个零点,则 实数 的取值范围是 . 【答案】 【分析】 求出函数的零点,根据范围列不等式组即可. 【详解】 令 ,则函数的零点为 , , 所以函数在 轴右侧的四个零点分别是 , , , , 学科网(北京)股份有限公司函数 在 上有且仅有 个零点, 所以 ,解得 . 故答案为: . 四、解答题 10.(23-24高一上·青海海北·期末)已知函数 的部分图象 如图所示. (1)求 的解析式; (2)求 的单调递增区间. 【答案】(1) (2) 【分析】(1)根据正弦型函数的特点,结合正弦型函数中各参数的意义进行求解即可; (2)根据正弦型函数的单调性进行求解即可. 【详解】(1)由图可得 . 因为 , 所以 . 学科网(北京)股份有限公司由 ,得 ,即 , 因为 ,所以 , 则 . (2)令 , 得 , 故 的单调递增区间为 . 11.(23-24高一上·浙江衢州·期末)函数 的部分图象如图所 示. (1)求函数 的解析式; (2)求函数 在 上的值域. 【答案】(1) (2) . 【分析】(1)根据余弦型函数的图象,结合代入法,余弦型函数的周期公式进行求解即可; 学科网(北京)股份有限公司(2)根据正弦二倍角公式,结合余弦型函数的最值性质进行求解即可. 【详解】(1)由 , ,则 , 由 ,得 , 设 的周期为 ,则有 , 所以令 ,所以 . (2) 因为 ,所以 , 则 ,故 的值域为 . 三角函数的单调性(共16题) 一、单选题 1.(23-24高一上·陕西西安·期末)使得函数 为减函数,且值为负数的区间为( ) A. B. C. D. 【答案】C 学科网(北京)股份有限公司【分析】利用正弦函数的图象与性质判定选项即可. 【详解】由 的图象与性质可知 时,函数单调递减,且函数值为负数. 故选:C 2.(23-24高一上·河北沧州·期末)若 , , ,则a,b,c的大小关系为 ( ) A. B. C. D. 【答案】D 【分析】利用同角三角函数的关系、三角函数值域、指数幂运算,结合函数的单调性及不等式的放 缩比较大小. 【详解】 , . 故选:D. 3.(23-24高一上·江苏南京·期末)已知常数 ,函数 在区间 上单调, 则 不可能等于( ) A. B.2 C. D. 【答案】C 【分析】根据正弦函数的单调性,由 的单调区间得 的取值范围,验证各选项中的值. 【详解】常数 ,当 ,有 , 正弦函数的单调区间为 , 函数 在区间 上单调, 学科网(北京)股份有限公司则有 ,解得 , 时, , 满足; 时, , 满足; 时, , 满足; 不等式 ,解得 ,因为 ,则 无解, 则 时,函数 在区间 不单调; 故选:C 【点睛】方法点睛: 依题意有 ,区间包含于正弦函数的单调区间,可求出 的取值范围. 4.(23-24高一上·广东江门·期末)下列四个函数中,以 为周期,且在区间 上单调递减的 是( ) A. B. C. D. 【答案】C 【分析】先判断各函数的最小正周期,再确定各函数在区间 上的单调性,从而得解. 【详解】因为 的最小正周期为 , 当 时, ,所以它在 上单调递增,故A错误; 因为 最小正周期为 ,故B错误; 学科网(北京)股份有限公司因为 最小正周期为 ,在区间 上单调递减,故C正确; 不是周期函数,故D错误; 故选:C. 5.(23-24高一上·北京大兴·期末)下列函数中,在区间 上单调递增的是( ) A. B. C. D. 【答案】D 【分析】直接根据基本初等函数的单调性判断即可. 【详解】对于ABC: , , 均在区间 上单调递减,错误; 对于D: 在区间 上单调递增,正确; 故选:D. 6.(22-23高一上·湖北武汉·期末)已知函数 在区间 上单调递减,则正实 数 的取值范围是( ) A. B. C. D. 【答案】C 【分析】利用整体代换法求出函数 的递减区间,结合集合的包含关系列出不等式组,解之即 可. 【详解】由题意知, , 令 , 解得 , 又函数 在区间 上单调递减, 学科网(北京)股份有限公司所以 ,解得 , 当 时, . 故选:C. 二、多选题 7.(23-24高一上·江苏宿迁·期末)已知函数 ,则下列说法正确的是( ) A.函数 的定义域为 B.函数 的最小正周期为 C.函数 在定义域上是增函数 D.函数 的一个对称中心为 【答案】AB 【分析】利用正切型函数的定义域可判断A选项;利用正切型函数的周期公式可判断B选项;利用 正切型函数的单调性可判断C选项;利用正切型函数的对称性可判断D选项. 【详解】对于A选项,由 可得 , 所以,函数 的定义域为 ,A对; 对于B选项,函数 的最小正周期为 ,B对; 对于C选项,函数 在定义域上不单调,C错; 对于D选项,因为 ,故 不是函数 的对称中心,D错. 故选:AB. 学科网(北京)股份有限公司8.(23-24高一上·安徽蚌埠·期末)已知函数 的部分图象如图所示,则 下列选项错误的是( ) A. B.函数 的单调增区间为 C.函数 的图象关于 中心对称 D.函数 的图象关于直线 对称 【答案】BD 【分析】由图象求出函数 的解析式,再利用余弦函数的性质逐一分析各选项即可得解. 【详解】因为 , 对于A,由图象可知 ,所以 ,所以 ,故A正确; 对于B,由A得 , 令 得 , 故 的单调增区间为 ,故B错误; 学科网(北京)股份有限公司对于C,因为 ,故C正确; 对于D,因为 ,故D错误; 故选:BD. 三、填空题 9.(23-24高一上·陕西西安·期末)已知函数 在 上单调递增,则 的取值范围是 . 【答案】 【分析】根据分段函数分段考虑的原则,要使函数为增函数,必须每一段都为增函数,且自变量分 段点左侧函数值应不大于该点右侧函数值,综合考虑即得. 【详解】由 时, 单调递增,可得 ①,由 时, 显然单 调递增, 要使函数在 上单调递增,需使 ②,由①②可得: . 故答案为: . 10.(23-24高一上·福建福州·期末)试写出一个函数 ,使其满足以下三个条件:函数的周期 为 ;函数的图象关于直线 对称;函数在 上单调递减.则 的解析式可以为: . 【答案】 (答案不唯一) 【分析】结合三角函数的性质,即可求解函数的解析式. 学科网(北京)股份有限公司【详解】由条件可设 , 由函数的周期为 ,可知, 可以为2, 因为函数的图象关于直线 对称,则 , ,所以 可以为0, 则 , 又函数在 上单调递减, , ,所以 , 则 可以为 , 所以满足条件的一个函数 故答案为: (答案不唯一) 11.(23-24高一上·天津滨海新·期末)已知函数 . (ⅰ)函数 的定义域为 ; (ⅱ)若 是斜三角形的一个内角,则使不等式 成立的 的集合为 . 【答案】 【分析】(ⅰ)正切函数性质求定义域; (ⅱ)由正切函数的单调性解不等式求解集. 【详解】(ⅰ)由正切函数性质知 , ,故定义域为 ; (ⅱ)由 ,又 是斜三角形的一个内角,故 ,所以 . 故答案为: , 12.(23-24高一上·江苏徐州·期末)已知函数 ,若 学科网(北京)股份有限公司恒成立,且 在区间 上单调递增,则 的取值范围为 . 【答案】 【分析】综合应用三角函数的图象与性质即可求得答案. 【详解】若 恒成立,则 , 所以 ,即 ,又 在区间 上单调递增, 所以 ,故 , , 解得 ,令 得 ,又 ,所以 , 令 得 ;当 时, ,不合题意; 综上可得 或 . 故答案为: . 四、解答题 13.(23-24高一上·广东阳江·期末)已知函数 的最小正周期为 . (1)求 的值; (2)求函数 的单调递增区间; 【答案】(1) 学科网(北京)股份有限公司(2) 【分析】(1)由最小正周期求出 ,进而得到 ,代入求值即可; (2)利用整体代入法,结合三角函数的性质即可得解. 【详解】(1)因为 的最小正周期为 , 所以 , ,则 , 故 . (2)令 ,解得 , 故 的单调递增区间为 . 14.(23-24高一上·新疆阿克苏·期末)已知函数 . (1)求 的最小正周期; (2)求 的单调区间. 【答案】(1) ; (2)单调递增区间为 ,单调递减区间为 . 【分析】(1)根据周期公式直接计算可得; (2)根据正弦函数的单调性,利用整体代入法求解即可. 【详解】(1)因为 ,所以 的最小正周期 . (2)由 解得 , 学科网(北京)股份有限公司由 解得 , 所以函数 的单调递增区间为 , 单调递减区间为 . 15.(23-24高一上·安徽安庆·期末)将函数 的图象向右平移 个单位得到 函数 的图象,且使 成立的 的最小值为 . (1)求函数 的单调递减区间; (2)设函数 ,求函数 的最大值. 【答案】(1) (2) 【分析】(1)由图象平移得 的解析式,根据已知得函数周期求出 ,整体代入法求单调递减 区间; (2)由 解析式,通过换元,利用基本不等式求最大值. 【详解】(1)由题意可知 , 于是函数 最大值为1,最小值为 , 根据使 成立的 的最小值为 ,则 是相邻的最大值点和最小值点, 函数 的最小正周期 满足 ,解得 , 所以 ,解得 ,所以 , 学科网(北京)股份有限公司于是 ,解得 , 因此函数 的单调递减区间 . (2)由(1)知 , 令 ,则 , 于是 , 所以当且仅当 ,即 时,函数 的最大值为 . 16.(23-24高一上·重庆·期末)已知函数 在 上单调递增. (1)求 的取值范围: (2)当 取最大值时,将 的图象向左平移 个单位,再将图象上所有点的横坐标变为原来的3 倍,得到 的图象,求 在 内的值域. 【答案】(1) (2) 【分析】(1)由题设条件,列出不等式 ,求解即可. (2)根据函数图像平移变换,写出函数 ,再结合区间和三角函数性质求出值域. 学科网(北京)股份有限公司【详解】(1)由 ,得 , 又函数 在 上单调递增, 所以 ,解得 因为 ,所以 . (2)由(1)知 的最大值为 ,此时 , 根据题意, , 当 时, . 所以 ,故值域为 . 三角函数的奇偶性(共11题) 一、单选题 1.(23-24高一上·浙江杭州·期末)函数 的图象可能是( ) A. B. C. D. 学科网(北京)股份有限公司【答案】C 【分析】首先求出函数的定义域,即可判断函数的奇偶性,再由特殊值判断即可. 【详解】函数 的定义域为 , 且 , 所以 为奇函数,函数图象关于原点对称,故排除B、D; 因为 ,又 ,故排除A. 故选:C 2.(23-24高一上·湖北·期末)函数 的部分图象大致为( ) A. B. C. D. 【答案】D 【分析】探讨函数 的奇偶性,再由 时的函数值正负判断即可. 【详解】函数 的定义域为R, ,即 是奇函 数,排除AC; 当 时, ,则 ,选项D满足,B不满足. 故选:D 3.(23-24高一上·河北承德·期末)函数 在区间 上的图象大致为( ) 学科网(北京)股份有限公司A. B. C. D. 【答案】A 【分析】首先判断函数的奇偶性,排除选项,再代入特殊值,排除选项. 【详解】设 ,则 ,所以 为奇函数,排 除 . 令 ,则 ,排除 . 故选: . 4.(23-24高一上·安徽芜湖·期末)下列函数是偶函数,且在 上单调递增的是( ) A. B. C. D. 【答案】A 【分析】根据函数的奇偶性的定义判断和单调性,判断选项. 【详解】对于选项A, ,所以 是偶函数,且在 单调递增,故A正 确. 对于选项B, 非奇非偶,故B错误; 对于选项C, ,所以 是奇函数,故C错误; 学科网(北京)股份有限公司对于选项D, ,所以 是偶函数,但是 在 有增有减, 故D错误.\ 故选:A 5.(23-24高一上·贵州毕节·期末)函数 的图象大致为( ) A. B. C. D. 【答案】A 【分析】判断函数的图象问题,可从函数定义域,函数的奇偶性,函数图象的趋势或者特殊点的函 数值进行判断是否符合题意. 【详解】由函数 可得函数的定义域为 , 由 可知函数 为奇函数, 其图象关于坐标原点对称,故舍去B,D两项; 又由 可得C项不合题意,故A项正确. 故选:A. 二、多选题 6.(23-24高一上·湖南长沙·期末)函数 ( 是常数, )的部分图象如图所示,下列结论正确的是( ) 学科网(北京)股份有限公司A. B.在区间 上单调递增 C.将 的图象向左平移 个单位,所得到的函数是偶函数 D. 【答案】BD 【分析】由图象求出函数的解析式,利用正弦函数的性质验证各选项的结论是否正确. 【详解】由图象可知, , ,函数最小正周期 , , ,即 ,由 ,得 , 所以 , ,A选项错误; , , 是正弦函数的单调递增区间, 所以 在区间 上单调递增,B选项正确; 将 的图象向左平移 个单位,得函数 的图象, 学科网(北京)股份有限公司其中 ,不是函数最值, 轴不是函数图象的对称轴, 不是偶函数,C选项 错误; , 所以 ,D选项正确. 故选:BD 7.(23-24高一上·湖南永州·期末)在下列函数中,既是偶函数又在区间 上单调递增的有 ( ) A. B. C. D. 【答案】BCD 【分析】根据指数、幂函数及三角函数性质判断函数奇偶性、区间单调性,即可得答案. 【详解】由 为奇函数,A不符; 由 定义域为R,且 ,为偶函数, 在区间 上单调递增,B符合; 由 定义域为 ,且 ,为偶函数, 在区间 上单调递增,C符合; 由 定义域为R,且 ,为偶函数, 在区间 上单调递增,D符合; 故选:BCD 8.(23-24高一上·山西太原·期末)已知 ,则下列结论正确的是( ) A. 的最小正周期 学科网(北京)股份有限公司B. 的定义域为 C. 的值域为 D. 是奇函数 【答案】BD 【分析】结合正切函数的性质逐项判断即可得. 【详解】对A:由 ,故 的最小正周期 ,故A错误; 对B:由题意得: ,即 , 故 的定义域为 ,故B正确; 对C:由 ,故 的值域为 ,故C错误; 对D: 的定义域为 , , 故 是奇函数,故D正确. 故选:BD. 9.(23-24高一上·广东肇庆·期末)关于函数 ,下列说法中正确的有( ) A.是奇函数 B.在区间 上单调递增 C. 为其图象的一个对称中心 D.最小正周期为 【答案】BCD 【分析】根据题意,结合正切函数的图象与性质,逐项判定,即可求解. 学科网(北京)股份有限公司【详解】A中,由正切函数的性质,可得 为非奇非偶函数,所以A错误; B中,令 ,可得 , 即为函数的单调递增区间,令 ,可得 ,所以B正确; C中,令 ,可得 , 令 ,可得 ,故 为其图象的一个对称中心,所以C正确; D中,函数 的最小正周期为 ,所以D正确. 故选:BCD. 三、填空题 10.(23-24高一上·贵州毕节·期末)已知函数 ,若 ,则 的最大值为 . 【答案】 【分析】根据函数的表达式得出 ,计算出 ,然后利用基本不等式可得最大 值. 【详解】 ,则 ,∴ , ∴ , 学科网(北京)股份有限公司即 , ,又 , 所以 ,即 ,当且仅当 时等号成立, 故答案为: . 四、解答题 11.(23-24高一上·广东汕头·期末)已知函数 ( , )的最小正 周期为 . (1)求 的值; (2)求当 为偶函数时 的值; (3)若 的图象过点 ,求 的单调递增区间. 【答案】(1) (2) (3) 【分析】(1)函数 最小正周期为 ,则 ,可求 的值; (2)当 为偶函数时,有 ,由 得 的值; (3) 的图象过点 ,利用解析式求 的值,整体代入法求单调递增区间. 【详解】(1)函数 ( , )的最小正周期为 , 则 ,解得 . (2) 为偶函数,则有 , 学科网(北京)股份有限公司又 ,得 . (3) 的图象过点 , , , , 所以 ,得 , . ,解得 , 的单调递增区间 . 三角函数的周期性(共10题) 一、单选题 1.(23-24高一上·湖北荆州·期末)下列函数中,周期为 的是( ) A. B. C. D. 【答案】D 【分析】举反例排除A,利用三角函数的周期公式判断BC,利用周期函数的定义结合诱导公式判 断D. 【详解】对于A,因为 , 所以 , 则 ,所以 不以 为周期,故A错误; 对于B,因为 ,所以 的最小正周期为 ,故B错误; 学科网(北京)股份有限公司对于C,因为 ,所以 的最小正周期为 ,故C错误; 对于D,因为 , 所以 , 则 的周期为 ,故D正确. 故选:D. 2.(22-23高一上·江苏苏州·期末)下列四个函数中,以 为最小正周期,且在区间 上单调 递减的是( ) A. B. C. D. 【答案】B 【分析】根据函数的周期性、单调性确定正确选项. 【详解】 的最小正周期是 ,不符合题意. 在区间 上单调递增,不符合题意. 对于 , , 所以 在区间 上单调递增,不符合题意. 对于 ,画出图象如下图所示,由图可知 的最小正周期为 , 且在区间 上单调递减,B选项正确. 故选:B 学科网(北京)股份有限公司3.(23-24高一上·重庆·期末)下列函数中最小正周期为 ,且在区间 上单调递减的是 ( ) A. B. C. D. 【答案】D 【分析】结合三角函数图象的对称变换,确定各选项中三角函数的周期性与单调性,一一判断各选 项,即可求解. 【详解】依题意,对于AC,最小正周期为: , 所以AC选项不符合题意; 对于B: 的图象可由 的图象将x轴下方部分翻折到x轴上方, 原来在x轴和x轴上方部分不变;故周期为: , 且在 上单调递增,所以B选项不符合题意; 对于D: 的图象可由 的图象将x轴下方部分翻折到x轴上方, 原来在x轴和x轴上方部分不变;故周期为: , 且在 上单调递减,所以D选项符合题意; 故选:D 二、多选题 4.(23-24高一上·湖南株洲·期末)下列函数中,以 为最小正周期,且在区间 上单调递增 学科网(北京)股份有限公司的是( ) A. B. C. D. 【答案】BC 【分析】A选项,当 时, ,进而得到函数单调性,A错误;BD选项,求 出 ,进而得到函数的单调性,利用 求出最小正周期;C选项,根据 的周 期和单调性得到C正确. 【详解】A选项,当 时, , 由于 在 上单调递减, 故 在 上单调递减,不合要求,A错误; B选项,当 时, , 由于 在 上单调递增,故 在 上单调递增, 又 ,故 以 为最小正周期,B正确; C选项, 以 为最小正周期,且在区间 上单调递增,C正确; D选项,当 时, , 由于 在 上不单调,故 在 上不单调,D错误. 学科网(北京)股份有限公司故选:BC 5.(23-24高一上·甘肃陇南·期末)下列函数的周期为 的是( ) A. B. C. D. 【答案】ABD 【分析】由三角函数周期的计算公式,求选项中各函数的周期. 【详解】对于 , ,A选项正确; 对于 , ,B选项正确; 对于 , ,C选项错误; 对于 , ,D选项正确. 故选:ABD 三、填空题 6.(23-24高一上·重庆九龙坡·期末)函数 的最小正周期为 . 【答案】 【分析】根据最小正周期公式“ ”可求解. 【详解】由于 ,所以 . 学科网(北京)股份有限公司故答案是: . 7.(23-24高一上·河北石家庄·期末)函数 的最小正周期是 . 【答案】6 【分析】利用正弦型函数的周期,结合图形求解即可. 【详解】函数 的最小正周期为 , 显然 ,即 是函数 的周期, 在同一坐标系内作出函数 的图象,如图, 观察图象知,函数 的周期相同,所以函数 的最小正周期是6. 故答案为:6 8.(23-24高一上·河南商丘·期末)已知 ,则 . 【答案】 / 【分析】求得 的周期,再利用周期性求值即可. 【详解】因为 ,所以 的周期 . 又 , , , , , , 所以 . 又 ,所以 . 学科网(北京)股份有限公司故答案为: . 四、解答题 9.(23-24高一上·云南昆明·期末)已知函数 . (1)把 化为 的形式,并求 的最小正周期; (2)求 的单调递增区间. 【答案】(1) (2) 【分析】(1)先降幂,由两角和的正弦公式化函数为一个角的一个三角函数形式,然后由正弦函 数性质求解; (2)由正弦函数的单调区间可得. 【详解】(1)(1) , 所以最小正周期为 . (2)由 , ,解得 , , 所以 的增区间为 . 10.(23-24高一上·四川德阳·期末)已知 . (1)求 的最小正周期及单调递减区间; (2)当 ,求 的值域. 【答案】(1)最小正周期 , 学科网(北京)股份有限公司(2) 【分析】(1)根据余弦函数的周期以及单调性,即可求得答案; (2)根据 时,确定 ,结合余弦函数的性质,即可求得答案. 【详解】(1)由题意知 , 故函数的最小正周期 , 令 ,解得 , 故 的单调递减区间为 . (2)当 时, , 则 , 故 时, 的值域为 . 三角函数的对称性(共10题) 一、单选题 1.(23-24高一上·北京平谷·期末)如果函数 的一个零点是 ,那么 可以是 ( ) A. B. C. D. 【答案】D 【分析】由题意令 ,解方程即可得解. 学科网(北京)股份有限公司【详解】由题意 ,解得 ,对比选项可知只有 , 符合题 意. 故选:D. 2.(23-24高一上·贵州毕节·期末)下列函数中,以点 为对称中心的函数是( ) A. B. C. D. 【答案】C 【分析】由三角函数的对称性可知,C正确. 【详解】 的对称中心为 ,A错误; 的对称中心为 ,B错误; 的对称中心为 ,C正确; 令 , ,不恒等于 , 的图象不关于 成中心对称,D错误, 故选:C. 3.(23-24高一上·河南商丘·期末)已知函数 的对称中心是 ,则 ( ) A. B. C.3 D.0 【答案】D 【分析】利用辅助角公式和对称中心得到最小正周期 ,求出 ,由 求出 , 学科网(北京)股份有限公司再计算出 . 【详解】 ,其中 , 由 的对称中心是 知,两个相邻的对称中心相距 , 故 的最小正周期 , 即 ,所以 , 解得 ,故 . 故选:D. 二、多选题 4.(23-24高一上·河北·期末)关于函数 ,下列说法正确的是( ) A.最小正周期是 B.图象关于直线 对称 C.图象关于点 对称 D.在区间 上单调递增 【答案】ACD 【分析】根据正切函数的最小正周期,可判断A;根据正切函数没有对称轴可判断B;采用代入验 证的方法可判断C;根据正切函数的单调性可判断D. 【详解】对于A,由于正切函数 的最小正周期是 , 故函数 最小正周期是 ,A正确; 对于B,由于正切函数 没有对称轴,故 的图象也没有对称轴,B错误; 学科网(北京)股份有限公司对于C,由于 ,故 的图象关于点 对称,C正确; 对于D,由于正切函数 在 上单调递增, 故对于函数 ,令 , 则 , 故 在区间 上单调递增,D正确, 故选:ACD 5.(23-24高一上·安徽·期末)已知函数 的图象关于直线 对称, 则( ) A. B.函数 的图象关于点 对称 C.函数 在区间 上单调递增 D.函数 在区间 上的值域为 【答案】ABD 【分析】先根据对称轴求出函数解析式,结合选项逐个验证即可. 【详解】因为 的图象关于直线 对称,所以 ,即 , ; 因为 ,所以 ,即 . ,故A正确; ,所以函数 的图象关于点 对称,故B正确; 令 ,由 可得 , 学科网(北京)股份有限公司因为 ,所以函数 在区间 上不是单调函数,故C不正确; 令 ,由 可得 ,所以 , 所以 ,故D正确. 故选:ABD. 6.(23-24高一上·内蒙古巴彦淖尔·期末)已知函数 ,则( ) A. 的最小正周期为 B. 在 上单调递增 C. 的图象关于直线 对称 D. 的图象可由函数 的图象向右平移 个单位得到 【答案】ABD 【分析】利用周期公式可得A正确;由正弦型函数的单调性可得B正确;利用整体代换法以及正弦 函数性质可得C错误;由平移规则可知D正确. 【详解】 的最小正周期为 ,A正确. 当 时, , 在 上单调递增,B正确. , 的图象不关于直线 对称,C错误. 的图象可由函数 的图象向右平移 个单位得到,D正确. 学科网(北京)股份有限公司故选:ABD. 三、填空题 7.(23-24高一上·新疆阿克苏·期末)函数 的对称轴为 . 【答案】 【分析】根据余弦函数的对称性,利用整体代入法求解可得. 【详解】由 得 , 所以,函数 的对称轴方程为 . 故答案为: 8.(23-24高一上·安徽马鞍山·期末)写出函数 图象的一条对称轴方程: . 【答案】 (答案不唯一,满足 均可) 【分析】根据给定条件,利用正弦函数的性质求出对称轴方程. 【详解】函数 中,由 ,得 , 因此函数 图象的对称轴方程是 , 所以函数 图象的一条对称轴方程是 . 故答案为: (答案不唯一) 四、解答题 9.(23-24高一上·河南郑州·期末)设函数 . (1)求函数 的最小正周期及其图象的对称轴; 学科网(北京)股份有限公司(2)将函数 的图象先向右平移 个单位,再向上平移1个单位得到函数 的图象,求函数 在 上的值域. 【答案】(1) , (2) 【分析】(1)先将函数 化为 形式,求函数 的最小正周期及其图象 的对称轴即可; (2)利用三角函数图象变换的规则,得到函数 的解析式,再求函数 在 上的值 域即可. 【详解】(1)由题可得: , 所以 的最小正周期为: . 由 得: , 所以该函数图象的对称轴方程为: (2)由题可得 学科网(北京)股份有限公司. 因为 ,所以 , 得: , 所以 的值域为 . 10.(23-24高一上·广东深圳·期末)已知函数 的一条对称轴为 . (1)求 的值; (2)当 时,求 的单调递增区间 【答案】(1) (2) , 【分析】(1)由正弦函数的对称轴结合 得出即可; (2)方法一:先求出当 时, ,再由正弦函数的单调区间解出x的范围; 方法二:整体直接代入正弦函数的单调区间,再求出x范围. 【详解】(1)依题意得 ( ),所以 ( ), 因为 ,所以 . (2)法一:由(1)得 , 当 时, , 所以,当 或 时, 单调递增, 学科网(北京)股份有限公司解得此时 或 , 故 在 上的单调递增区间为 , . 法二:由(1)得 , 解 ( )得 ( ), 因为 ,所以当 时, ;当 时, , 故 在 上的单调递增区间为 , . 三角函数大小比较(共5题) 一、单选题 1.(23-24高一上·北京密云·期末)已知 , , ,则“ ”的一个充分而不必要条件是 ( ) A. B. C. D. 【答案】D 【分析】根据函数单调性结合充分、必要条件逐项分析判断. 【详解】当 时,满足 ,但 不成立,不满足充分性,A选项错误; 由指数函数单调性可知,若 ,则 ,反之,若 ,则 , 所以 是 的充要条件,B选项错误; 当 时,满足 ,但 不成立,不满足充分性,C选项错误; 学科网(北京)股份有限公司若 ,则有 ,反之, 不能得到 ,比如当 时, 不成立, 所以 是 的充分不必要条件,D选项正确. 故选:D 2.(23-24高一上·浙江金华·期末)若实数 ,满足 ,则( ) A. B. C. D. 【答案】C 【分析】构造函数 ,可得 在 上为增函数,且为偶函数,再根 据 结合偶函数性质判断即可. 【详解】设 ,则 为偶函数, 设 ,则因为 在 上均为增函数, 故 ,故 , 故 在 上为增函数,且 为偶函数. 又 ,则 , 即 ,当且仅当 时取等号. 故 ,故 . 故选:C 学科网(北京)股份有限公司3.(23-24高一上·江苏扬州·期末)若 且满足 ,设 , ,则下列判断正确的是( ) A. B. C. D. 【答案】C 【分析】通过条件得到 ,通过假设 找到矛盾,从而得到 ,进而 确定函数 的单调性,通过单调性比较大小即可. 【详解】因为 ,两边同时除以 得 , 因为 , 若 ,则 , , 则 ,同理 ,则 与 矛盾, 所以 , 则 , , 则 ,同理 , 所以 , 又 , 学科网(北京)股份有限公司因为函数 单调递减, 单调递增, 所以 单调递减, 对于AB:由于 与 , 与 大小关系不确定,故AB错误; 对于CD:由于 , ,所以 , ,故C 正确,D错误. 故选:C. 【点睛】关键点睛:根据选项为比较大小可知本题的关键是确定函数 的单调性,即 是大于 还是小于 ,带着这个目的去挖掘条件即可找到解题思路. 4.(23-24高一上·江苏南通·期末)已知函数 ,记 , , ,则( ) A. B. C. D. 【答案】B 【分析】分析函数 的奇偶性以及该函数在 的单调性,比较 、 、 的大小关系,结合函数 的单调性可得出 、 、 的大小关系. 【详解】函数 的定义域为 ,定义域关于原点对称, 又因为 ,故函数 为偶函数, 因为函数 在 上为增函数,函数 在 上为增函数, 故函数 在 上为增函数, 因为 , , 学科网(北京)股份有限公司因为 ,所以, ,则 ,则 , 所以, , 所以, , , , ,故 . 故选:B. 【点睛】思路点睛:解答比较函数值大小问题,常见的思路有两个: (1)判断各个数值所在的区间; (2)利用函数的单调性直接解答. 数值比较多的比较大小问题也也可以利用两种方法的综合应用. 二、多选题 5.(23-24高一上·江苏常州·期末)下列不等式中,正确的有( ) A. B. C. D. 【答案】BCD 【分析】利用幂函数、指数函数、对数函数、余弦函数的单调性逐项判断即可. 【详解】对于A,幂函数 在 上单调递减, ,所以 , 故A错误; 对于B,指数函数 在 上单调递减, ,所以 ,故B 正确; 对于C,对数函数 在 上单调递减, ,所以 ,故C 正确; 对于D,余弦函数 在 上单调递减, ,所以 , 故D正确, 学科网(北京)股份有限公司故选:BCD. 三角函数不等式求解(共5题) 1.(23-24高一上·广东江门·期末)已知 . (1)求 的单调递增区间及对称轴; (2)求不等式 在 上的解集. 【答案】(1)单调递增区间是 ( );对称轴为 ( ). (2) 或 【分析】(1)根据正弦型函数单调增区间和对称轴得到不等式和等式,解出即可; (2)由题得 , ,解出后再对 赋值即可. 【详解】(1)依题意, , 由 , 得: , , 所以函数 的单调递增区间是 ( ); 由 , 得, , , 所以函数 的对称轴为 ( ). (2)∵ , ∴ , ,∴ , , ∵ ,∴ 或 , 学科网(北京)股份有限公司故不等式 在 上的解集为 或 . 2.(23-24高一上·湖北荆州·期末)已知函数 . (1)用“五点法”作出函数 在 上的图象; (2)解不等式 . 【答案】(1)图象见解析 (2) 【分析】(1)利用“五点作图法”即可得解; (2)利用整体代入法,结合正弦函数的性质即可得解. 【详解】(1)列表 0 0 1 0 0 又当 时, ,当 时, , 描点作图,如图所示: 学科网(北京)股份有限公司(2)因为 , 所以 , , 解得 , , 故不等式的解集为 . 3.(23-24高一上·四川绵阳·期末)已知函数 . (1)求函数 的单调递增区间,并解不等式 ; (2)关于 的方程 在 上有两个不相等的实数解 ,求实数 的取值范 围及 的值. 【答案】(1)答案见解析 (2) 【分析】(1)由题意分别令 , , 解不等式即可得解. (2)由题意得 在 上有两个不相等的实数解 ,结合三角函数 学科网(北京)股份有限公司单调性、最值即可求出 的取值范围,结合对称性代入求值即可得 的值. 【详解】(1)由题意令 ,解得 , 即函数 的单调递增区间为 , 令 ,所以 , 所以 ,解得 , 所以不等式 的解集为 . (2)由题意 即 , 即 在 上有两个不相等的实数解 , 当 时, ,而 在 上单调递减,在 上单调递增, 所以当 即 时, , 当 即 时, , 又 即 时, , 所以若 在 上有两个不相等的实数解 , 则实数 的取值范围为 , 因为 ,所以 是 的对称轴, 所以 . 4.(22-23高一上·江苏南京·期末)如图所示,有一条“L”形河道,其中上方河道宽 ,右侧河 学科网(北京)股份有限公司道宽 ,河道均足够长.现过点 修建一条长为 的栈道 ,开辟出直角三角形区域(图中 )养殖观赏鱼,且 .点 在线段 上,且 .线段 将养殖区域分为两 部分,其中 上方养殖金鱼, 下方养殖锦鲤. (1)当养殖观赏鱼的面积最小时,求 的长度; (2)若游客可以在河岸 与栈道 上投喂金鱼,在栈道 上投喂锦鲤,且希望投喂锦鲤的道路 长度与投喂金鱼的道路长度之比不小于 ,求 的取值范围. 【答案】(1) ; (2) . 【分析】(1)过 作 垂直于 ,求得 ,从而得出养殖观赏 鱼的面积 ,利用基本不等式可求得 最小时 的值,进而 求得 的长度; (2)由 ,可得 ,则 ,由题意 学科网(北京)股份有限公司,则 ,化切为弦可得 ,结合 即可求得 结果. 【详解】(1)过 作 垂直于 ,垂足分别为 , 则 , , 养殖观赏鱼的面积 , 由 可得 ,则 ,当且仅当 即 时取等号, 则 最小时, ,此时l 的长度为 ; (2)由 ,可得 , 则 , 由题意 ,则 , 学科网(北京)股份有限公司而 , 则 ,由 可得 ,则 ,则 . 5.(22-23高一上·山东烟台·期末)已知函数 的最小正周期 为 ,且其图象经过点 . (1)求函数 的单调递增区间; (2)设 ,求不等式 的解集. 【答案】(1) (2) 【分析】 (1)先根据条件列式求得参数,进而用整体法求单调递增区间即可; (2)由整体法结合正弦函数的单调性解不等式. 【详解】(1)由最小正周期为 得 ,由图象经过点 得 ,解得 . 故 . 故 的单调递增区间为 ,即 学科网(北京)股份有限公司(2) ,则 , 由 得 , ∴ ,∴ . ∴不等式 的解集为 . 三角函数中的参数问题(共8题) 1.(23-24高一上·山东聊城·期末)若 是三角形的一个内角,且函数 在区间 上单调,则 的取值范围为( ) A. B. C. D. 【答案】B 【知识点】利用正弦型函数的单调性求参数 【分析】根据三角函数的单调性列不等式,由此求得 的取值范围. 【详解】当 时, , 由于 是三角形的一个内角,所以 , 则 , 由于函数 在区间 上单调, 学科网(北京)股份有限公司所以 ,解得 , 即 的取值范围为 . 故选:B 2.(23-24高一上·天津滨海新·期末)若函数 ( , )的最小正周期 为 ,且 .给出下列判断: ①若 ,则函数 的图象关于直线 对称 ②若 在区间 上单调递增,则 的取值范围是 ③若 在区间 内没有零点,则 的取值范围是 ④若 的图象与直线 在 上有且仅有1个交点,则 的取值范围是 其中,判断正确的个数为( ) A.1 B.2 C.3 D.4 【答案】C 【知识点】根据函数零点的个数求参数范围、利用正弦型函数的单调性求参数、由正弦(型)函数 的值域(最值)求参数、求正弦(型)函数的对称轴及对称中心 【分析】由题设可得 ,代入验证法判断①;由区间单调性及正弦函数性质有 求参数范围判断②;由区间零点及正弦函数性质,讨论 、 学科网(北京)股份有限公司研究参数范围判断③;由题设 ,结合题设及正弦函数性质有 求参数范围判断④. 【详解】由 ,则 ,即 ,又 , 所以 ,故 , 当 ,则 ,故函数 的图象关于直线 对称,①对; 当 ,则 ,且 在区间 上单调递增, 所以 ,可得 ,②对; 当 ,则 ,且 在区间 内没有零点, 若 ,则 ,此时满足题设; 若 ,则 ,故 ,可得 且 , 所以 ,可得 ; 综上, 的取值范围是 ,③错; 当 ,则 , 又 的图象与直线 在 上有且仅有1个交点,故 , 学科网(北京)股份有限公司所以 ,即 的取值范围是 ,④对. 故选:C 【点睛】关键点点睛:根据已知求得 ,根据各项给定范围求对应 的范围, 结合正弦函数性质列不等式求参数范围. 3.(23-24高一上·江苏镇江·期末)已知函数 , .甲:当 时,函 数 单调递减;乙:函数 关于直线 对称;丙:当 时,函数 单调递增; 丁:函数 图象的一个对称中心为 .甲、乙、丙、丁四人对函数 的论述中有且只 有两人正确,则实数 的值为( ) A. B. C. D. 【答案】B 【知识点】求正切(型)函数的对称中心、利用正切函数的单调性求参数、求正切型三角函数的单 调性 【分析】由题意首先根据正切函数单调性、复合函数单调性以及对称轴情况推翻甲乙,得到丙丁正 确,根据丙的说法可以推出 的取值范围为 ,根据丁的说法可以得到 ,两者 结合即可得解. 【详解】对于甲:因为 的单调递增区间为 , 关于 单调递 增, 所以不存在任何区间使得 单调递减,故甲错误; 学科网(北京)股份有限公司对于乙:因为 的图象不存在对称轴, 而函数 的图象是由函数 的图象向左平移 个单位得到的, 所以函数 的图象也不存在对称轴,故乙错误; 由题意甲、乙、丙、丁四人对函数 的论述中有且只有两人正确, 故只能丙丁论述正确, 若丙论述正确,即当 时,函数 单调递增, 则当 时, 关于 单调递增, 由复合函数单调性可知此时应该有 ,解得 , 所以此时 满足题意, 当 时, 关于 单调递增, 但 ,即存在 使得, 无意义, 所以此时 不满足题意, 综上所述,满足题意的 的取值范围为 , 若丁论述正确,则 ,解得 , 结合 的取值范围为 可知,只能 . 综上所述,实数 的值为 . 故选:B. 【点睛】关键点睛:关键是首先得到丙丁两人论述正确,由此即可顺利得解. 学科网(北京)股份有限公司4.(23-24高一上·陕西西安·期末)设函数 若存在 且 ,使得 ,则 的取值范围是( ) A. B. C. D. 【答案】A 【知识点】由正弦(型)函数的值域(最值)求参数 【分析】根据题意,需将 看成整体角 ,由 范围 求得 范围 ,结 合函数 的图象,求得使 的两个解,由题只需使 即可,计算即得. 【详解】 不妨取 ,由 可得: , 由 可得 , 由图可取 要使存在 且 ,使得 , 需使, ,解得 . 故选:A. 【点睛】关键点点睛:本题主要考查与正弦型函数图象有关的等高线问题. 解决的关键在于将 看成整体角,作出正弦函数的图象,结合求得的整体角的范围求得最近 的符合要求的角,从而界定参数范围. 学科网(北京)股份有限公司5.(23-24高一上·江苏淮安·期末)已知函数 满足: , ,都有 成立,则下列结论正确的是( ) A. B.函数 是偶函数 C.函数 是周期函数 D. , ,若 ,则 【答案】ACD 【知识点】函数奇偶性的定义与判断、利用正弦型函数的单调性求参数、求正弦(型)函数的最小 正周期、比较函数值的大小关系 【分析】利用赋值法及函数奇偶性、周期性的定义、单调性一一判定选项即可. 【详解】令 ,则 ,故A正确; 令 ,所以 , 故 是奇函数,即B错误; 令 ,则 , 所以 , 即 是 的一个周期,故C正确; 在 时易知 , 则 , 所以 , 即 ,故D正确. 学科网(北京)股份有限公司故选:ACD 【点睛】难点点睛:巧妙的赋值是关键,对于B项,借助奇偶性定义可令 化简计算即可判 定;对于C项,借助三角函数的周期性令 化简计算即可;对于D项,借助正弦函 数的单调性构造单调性的差式化简计算即可. 6.(23-24高一上·全国·期末)已知函数 在区间 上单调递增,那么 实数ω的取值范围是 . 【答案】 【知识点】利用余弦函数的单调性求参数 【分析】化简函数的解析式,根据题中条件可得 , ,继而解得 的值,进一步计算即可. 【详解】因为 , 由 且 ,知 , 因为函数 在区间上 单调递增, 则 ,其中 , 所以 其中 , 解得 ,其中 , 由 , 得 ,又 , 学科网(北京)股份有限公司所以 或 , 因为 ,所以当 时, ; 当 时, , 所以实数ω的取值范围是 . 故答案为: . 【点睛】关键点睛:本题的关键点睛是求出右边界的范围,再根据余弦函数的单调性得到不等式组, 解出 的范围,再对 合理赋值即可. 7.(23-24高一上·贵州六盘水·期末)已知函数 的最小正周期为 . (1)求 的值,并求 的单调递减区间; (2)求 在 上的值域. 【答案】(1) , (2) 【知识点】求余弦(型)函数的最小正周期、求cosx(型)函数的值域、求cosx型三角函数的单调性 【分析】(1)根据余弦型函数周期公式及余弦型函数单调性求解即可; (2)根据自变量范围,利用整体替换思想结合余弦函数性质求解. 【详解】(1)由题意可知 .所以 即 所以 学科网(北京)股份有限公司所以 所以 的单调减区间为 (2)因为 ,所以 , 所以 ,所以 , 所以函数 在 上的值域为 . 8.(23-24高一上·湖北·期末)已知函数 ,且函数 在区 间 上的值域为 . (1)求函数 的解析式; (2)令函数 ,求函数 的单调递增区间. 【答案】(1) (2) . 【知识点】利用余弦函数的单调性求参数、由cosx(型)函数的值域(最值)求参数 【分析】(1)由函数在区间内的值域,列方程组求出 的值,得函数解析式; (2)由复合函数的单调性和余弦函数的性质,求 的单调递增区间. 【详解】(1)当 时, ,则 , 所以 ,由题意 ,解得 学科网(北京)股份有限公司故 . (2)函数 在定义域内单调递增, 则在函数 的单调递增区间内, 单调递增且 , 所以有 ,得 , 即当 时,此时 单调递增, 故函数 的单调增区间为 . 三角函数中的最值问题(共24题) 1.(23-24高一上·天津·期末)音乐是用声音来表达人思想感情的一种艺术,是人类精神通过无意 识计算而获得的愉悦享受.法国的数学家傅里叶说:“任何声乐都是形如‘ ’的各项之 和”,其中每一项都代表一种有适当频率和振幅的简单声音.某音乐的数学模型可以用函数 表示,则下列结论中正确的个数是( ) ① 是周期为 的周期函数 ② 是函数 的一个单调递增区间 ③若 , ,则 的最小值为 ④ 的对称中心为 , A.0个 B.1个 C.2个 D.3个 【答案】C 【知识点】求sinx型三角函数的单调性、求正弦(型)函数的对称轴及对称中心、求正弦(型)函 数的最小正周期、求含sinx(型)函数的值域和最值 学科网(北京)股份有限公司【分析】根据三角函数性质周期及对称中心判断①④,根据单调区间及值域分别判断②③. 【详解】因为 ,所以周期不是 ,①错误; , ,所以 不是 的单调递增区间,②错误; , 因为 设 , 所以 , 所以 , 所以 的最小值为 ,③正确; ,④正确. 故选:C. 2.(23-24高一上·云南昆明·期末)设函数 ,已知 在 单调递增,下 列结论正确的是( ) A. 的值可能为1 B. C.若 在 有且仅有1个零点 D.若 在 单调递减 【答案】ABC 【知识点】利用正弦型函数的单调性求参数、求含sinx(型)函数的值域和最值、求sinx型三角函数 学科网(北京)股份有限公司的单调性 【分析】首先根据单调性求 的取值范围,判断A;再代入 ,结合 的范围,即可 判断B;根据 ,求 的取值范围,再求 的范围,即可判断C;根据 的取值,结合 的范围,取特殊值,即可判断选项. 【详解】设 , , 当 时, 时, , 因为函数 在 单调递增,而 单调递减, 所以 需落在 的减区间, 不可能是函数 的减区间,故舍去; 当 时,当 时, , 由题意可知, , 所以 ,解得 ,故A正确; ,由 ,则 , 此时 ,故B正确; ,由 ,则 , 学科网(北京)股份有限公司因为 ,所以 ,此时 , 当 时, , , 此时只有当 时, ,故C正确; 由以上可知, ,当 时, , 当 时, ,此时 单调递减, 单调递增, 所以不成立,故D错误. 故选:ABC 【点睛】关键点点睛:本题的关键是求 ,并整体代入求 的范围. 3.(23-24高一上·江苏连云港·期末)已知函数 ,则( ) A.函数 的最大值为3 B.函数 的最小正周期为 C.函数 的图象关于直线 对称 D.函数 在 上单调递减 【答案】AC 【知识点】求cosx(型)函数的对称轴及对称中心、求cosx(型)函数的最值、求cosx型三角函 数的单调性、含绝对值的余弦函数的图象 【分析】B选项,先得到 ,故 ,得到B错误;A选项,分 与 ,结合 得到 的最大值为3;C选项,求出 学科网(北京)股份有限公司,故C正确;D选项, 时, 不单调,D错误. 【详解】B选项,由于 为偶函数, 故 , 由于 , 所以 的最小正周期不为 ,B错误; A选项,当 时, , 当 时, , 又 , 所以函数的一个周期为 ,可得 的最大值为3,A正确; C选项, , 故函数 的图象关于直线 对称,C正确; D选项,由A选项得, 时, 不单调,故D错误. 故选:AC 【点睛】结论点睛:函数的对称性: 若 ,则函数 关于 中心对称, 若 ,则函数 关于 对称, 4.(23-24高一上·湖南娄底·期末)已知函数 ,有下列四个结论,其中正确的 结论为( ) 学科网(北京)股份有限公司A. 在区间 上单调递增 B. 是 的一个周期 C. 的值域为 D. 的图象关于y轴对称 【答案】BD 【知识点】求余弦(型)函数的最小正周期、求余弦(型)函数的奇偶性、求含cosx的二次式的 最值、求cosx型三角函数的单调性 【分析】对于A,由 即可举出反例,对于B直接验算 是否相等即可; 对于D,验算 是否相等即可;对于C,只需讨论函数 在 上的值域即可,分 类讨论即可验算. 【详解】对于A, ,故A错误; 对于B, ,故B正确; 对于C,由B选项分析可知 是 的一个周期,所以我们只需讨论函数 在 上的值域 即可, 当 时, , , 当 时, , , 当 时, , 学科网(北京)股份有限公司, 当 时, , , 当 时, , , 综上所述, 的值域为 ,故C错误; 对于D,由题意 ,所以 的图象关于y轴对 称,故D正确. 故选:BD. 【点睛】关键点点睛:判断C选项的关键是结合周期性,分类讨论即可验算. 5.(23-24高一上·浙江丽水·期末)已知函数 ,则下列判断正确的是( ) A. B. C.函数 的图象存在对称轴 D.函数 的图象存在对称中心 【答案】ABD 【知识点】不等式综合、求cosx(型)函数的值域、求二次函数的值域或最值、判断或证明函数的对 称性 【分析】分别求出分子和分母的取值范围,利用不等式的性质即可判断选项A;判断 , 学科网(北京)股份有限公司的取值范围,得出 ,进而可判断选项B;根据轴对称的定义可判断选 项C;根据 可判断选项D. 【详解】对于选项A:因为 ,当 时等号成立; ,当 时等号成立, 则两个式子中等号不会同时成立, 所以由不等式性质可得 ;故选项A正确; 对于选项B:显然 . 因为当 时, ,当且仅当 时等号成立,此时 ; 当 时, ,当且仅当 时等号成立,此时 ; 所以 ,则 . 又因为 , 所以 ,即 ,故选项B正确; 对于选项C:因为 , , . 显然 , 所以函数 的图象不存在对称轴,故选项C错误; 对于选项D:因为 , 学科网(北京)股份有限公司所以函数 的图象关于点 对称,故选项D正确. 故选:ABD. 【点睛】关键点点睛:本题主要考查函数单调性与最值、对称中心和对称轴、函数与不等式等知识 的综合应用.解题关键在于对基础知识的掌握和运用.利用余弦函数、二次函数的最值及不等式的性 质可判断选项A;将不等式 转化为 ,再结合 , 的取值 范围可判断选项B;利用对称轴和对称中心的定义可判断选项CD. 6.(23-24高一上·福建龙岩·期末)已知 在 上是单调函 数,对任意 满足 ,且 .设函数 , ,则( ) A.函数 是偶函数 B.若函数 在 上存在最大值,则实数a的取值范围为 C.函数 的最大值为1 D.函数 的图象关于直线 对称 【答案】BC 【知识点】由正(余)弦函数的性质确定图象(解析式)、由正弦(型)函数的值域(最值)求参 数 【分析】依题意可得 的图象关于点 对称且当 时, 取得最大值,结合函数的 单调性,即可求出最小正周期,从而求出 、 得到 、 解析式,再结合正弦函数的性质 学科网(北京)股份有限公司判断A、B,由 即可判断C,利用特殊值说明 不恒 成立,即可判断D. 【详解】因为 ,即 ,所以 的图象关于点 对称, 又对任意 ,都有 ,所以当 时, 取得最大值. 因为 在 是单调函数,所以 得 , 所以 ,又因为函数 在 时取得最大值, 所以 ,则 ,即 . 因为 ,所以 ,则 . 因为函数 ,所以 , 对于A: ,即 为奇函数,故A错误. 对于B:因为函数 在 时取得最大值,又因为 ,最小正周期 , 令 , ,解得 , , 即 在 , 上单调递减, 又函数 在 取得最大值, 因为函数 在 上存在最大值,则实数 的取值范围为 ,故B正确. 对于C:因为 , 学科网(北京)股份有限公司所以 ,且 , 所以函数 的最大值为1,故C正确. 对于D:若 的图象关于直线 对称, 只要证 对定义域内的 都成立,取 , , 但 ,所以 ,矛盾, 所以 的图象不关于直线 对称. 故D错误. 故选:BC 【点睛】关键点睛:本题的关键是根据对称性的性质得到 的图象关于点 对称,从而求 出 解析式. 7.(23-24高一上·山东德州·期末)已知函数 ,则 ; 若 在 上恒成立,则整数t的最小值为 . 【答案】 12 【知识点】由正弦(型)函数的值域(最值)求参数、求含sinx(型)函数的值域和最值、求分段函 数解析式或求函数的值 【分析】根据 代入分段函数求值,画出 简图,结合图象分析即可. 【详解】因为 ,所以 , 因为 , ,所以 . 学科网(北京)股份有限公司图象如图: , , , 时, , 时, , 或 , 时, , 所以 时, 恒成立, 整数t的最小值为12. 故答案为: ;12. 8.(23-24高一上·安徽芜湖·期末)若函数 与 在区间 单调性一致,则 的最大值为 . 【答案】 / 【知识点】利用正弦型函数的单调性求参数 【分析】要考虑 的最大值,只需考虑 ,当 时,求出 、 的取值范围,利 用正弦型函数的单调性可得出关于实数 的不等式组,即可解得实数 的最大值. 【详解】要考虑 的最大值,只需考虑 , 当 时,则 , , 学科网(北京)股份有限公司所以,函数 与 在区间 上同时单调递增, 则 ,解得 ,故 的最大值为 . 故答案为: . 9.(23-24高一上·浙江温州·期末)已知函数 ,对 都有 ,且在 上单调,则 的取值集合为 【答案】 【知识点】由正弦(型)函数的值域(最值)求参数、利用正弦型函数的单调性求参数 【分析】根据 ,得到 ,结合在 上单调可得 或 ,检验可得答案. 【详解】因为对 都有 , 所以 ,可得 , , , 又 在 上单调, , , 即 ,由 可得 ,或 , 当 时, , , 都有 , 学科网(北京)股份有限公司且当 时, ,即函数 在 上单调递增,因此 符合题意; 当 时, , , 都有 , 且当 时, ,即函数 在 上单调递减,因此 符合题意, 所以 的取值集合为 . 故答案为: . 【点睛】思路点睛:涉及求正(余)型函数在指定区间上的单调性问题,先根据给定的自变量取值区 间求出相位的范围,再利用正(余)函数性质求解即得. 10.(23-24高一上·山东青岛·期末)设函数 ,若 ,则 的最小值为 . 【答案】 【知识点】由正弦(型)函数的值域(最值)求参数 【分析】将已知条件因式分解可得 ,然后分析 的 值域,根据值域判断出 的值并求出 的值,由此可知 的表示,则 结果可求. 【详解】因为 ,所以 , 又因为 且 ,所以 , 所以 , , 显然 , 学科网(北京)股份有限公司所以 ,即 , 当且仅当 时, 成立, 所以 ,所以 , , 所以 , , , 当且仅当 或 时( , ), 有最小值,且 , 故答案为: . 【点睛】关键点点睛:解答本题的关键有两个方面: (1)利用因式分解将所给条件变形; (2)根据正弦型函数的值域确定 的具体表示. 11.(23-24高一上·湖南衡阳·期末)已知函数 ,若存在 , ,…, 满足 , ,且 , ,当 取最小值时,则此时 的值为 . 【答案】 【知识点】由正弦(型)函数的值域(最值)求参数、正弦函数图象的应用 【分析】 由 正 弦 函 数 的 有 界 性 可 得 , 对 任 意 , 都 有 ,要使 取得最小值,尽可能多让 取得最高 点,然后作图可得满足条件的最小 值. 【详解】 对任意 , 都有 要使 取得最小值,尽可能多让 取得最值点, 学科网(北京)股份有限公司考虑 , 则按下图取值即可满足条件, 的最小值为 . , 故答案为: . 【点睛】关键点睛:正确理解对任意 ,都有 是解答该题的关键. 12.(23-24高一上·广西柳州·期末)已知函数 . (1)求函数 的最小正周期及对称轴; (2)求 在区间 上的最值. 【答案】(1) ; (2) . 【知识点】求正弦(型)函数的对称轴及对称中心、求正弦(型)函数的最小正周期、求含 sinx(型)函数的值域和最值 【分析】(1)根据公式直接求解最小正周期,利用整体法结合正弦函数性质,即可求得结果; (2)利用换元法,结合正弦函数的性质,即可求得结果. 【详解】(1)因为 ,所以 的最小正周期 ; 学科网(北京)股份有限公司令 ,解得 , 所以 的对称轴方程为 . (2)令 ,由 ,知 , 所以要求 在区间 上的最值,即求 在 上的最值, 当 时, ,当 时, , 所以 . 13.(23-24高一上·贵州安顺·期末)已知函数 的最小正周期为 . (1)求函数 的单调递减区间; (2)若 ,且函数 在区间 上的值域为 ,求实数a,b的值. 【答案】(1) (2) 【知识点】求含sinx(型)函数的值域和最值、由正弦(型)函数的周期性求值、求sinx型三角函数 的单调性 【分析】 (1)根据正弦函数的周期公式可得 ,再代入正弦函数的单调递减区间求解即可; (2)根据 可得 ,结合正弦函数的图象可得 的值域,进而根据值域 为 列式求解即可. 【详解】(1) 学科网(北京)股份有限公司因为 的最小正周期为 , ,故 ,解得 ,故 . 令 ,解得 . 故函数 的单调递减区间为 (2)根据 可得 ,故 , 又 ,故 ,由题意 ,解得 . 14.(23-24高一上·广东湛江·期末)已知函数 . (1)求函数 的最小正周期、图象的对称中心及其单调递减区间; (2)求函数 在 上的最值及其对应的 的值. 【答案】(1)最小正周期为 ,对称中心为 ,减区间为 ; (2) 时,最小值为 , 时,最大值为7. 【知识点】求含sinx(型)函数的值域和最值、求正弦(型)函数的最小正周期、求正弦(型)函数 的对称轴及对称中心、求sinx型三角函数的单调性 【分析】(1)根据题意,结合三角函数的图象与性质,准确计算,即可求解; (2)由 ,得到 ,结合正弦函数的性质,即可求解. 学科网(北京)股份有限公司【详解】(1)解:由函数 ,可得函数 最小正周期为 , 令 ,解得 ,所以对称中心为 , 再令 ,解得 , 所以函数 的减区间为 . (2)解:因为 ,所以 , 所以当 ,即 时,函数有最小值为 , 当 ,即 时,函数有最大值为7. 15.(23-24高一上·广东江门·期末)已知函数 , . (1)求函数 的单调递增区间; (2)当 时,求 的最大值以及取得最大值时 的集合. 【答案】(1) (2)1, 【知识点】求cosx(型)函数的值域、求cosx型三角函数的单调性 【分析】(1)根据余弦函数的单调性求解即可; (2)根据余弦函数的最值求函数的最大值即可得解. 【详解】(1)令 , , 解得 , , 学科网(北京)股份有限公司所以函数的单调递增区间为 . (2)当 时,则 , 所以当 时,即 时, , 故 ,此时 的取值集合为 . 16.(23-24高一上·宁夏吴忠·期末)已知函数 (1)用“五点法”画出函数在一个周期内的简图 (2)求函数 的单调增区间 (3)当 时,求函数 的最大值和最小值及相应x的值 【答案】(1)答案见解析 (2) , (3) ,最小值为 ; 时,最大值 【知识点】画出具体函数图象、求含sinx(型)函数的值域和最值、求sinx型三角函数的单调性 【分析】(1)利用五点法画图; (2)根据解析式求解单调递增区间; 学科网(北京)股份有限公司(3)根据 的取值范围,利用正弦型函数求解最值和对应的 的值. 【详解】(1) 由题意列表如下: 0 0 2 0 0 描点、连线,画出函数在1个周期 ,上的简图如下: , (2) , 得 , 所以函数 的单调递增区间为 ; (3) 时, ,所以 所以 ,即 时, 最小值为 ; ,即 时, 为最大值 . 学科网(北京)股份有限公司17.(23-24高一上·北京平谷·期末)已知函数 . (1)求 的值; (2)求函数 的单调递减区间; (3)当 时,求 的最大值与最小值. 【答案】(1) (2) (3)最大值为 ,最小值为 【知识点】求sinx型三角函数的单调性、求含sinx(型)函数的值域和最值、诱导公式二、三、四、 特殊角的三角函数值 【分析】(1)根据条件,代入函数中,利用诱导公式及特殊角的三角函数值,即可求出结果; (2)利用 的单调减区间 ,整体代入即可求出结果; (3)通过换元 ,利用 的图像,求出 在区间 上的 最值,即可求出结果. 【详解】(1)因为 ,所以 . (2)由 ,得到 , 所以函数 的单调递减区间为 . (3)当 , ,令 ,则 , 由 的图像知, 学科网(北京)股份有限公司当 时, 最小为 ,当 时, 最大为 , 所以 的最大值为 ,最小值为 . 18.(23-24高一上·湖北荆门·期末)已知函数 . (1)求 在 上的值域; (2) ,若对 , ,使得 ,求实数 的取值范围. 【答案】(1) (2) 【知识点】函数不等式恒成立问题、由对数函数的单调性解不等式、求含sinx(型)函数的值域和最 值、求二次函数的值域或最值 【分析】(1)采用换元法,把问题转化成为二次函数在给定区间上的值域问题解决; (2)先把问题转化成已知函数 的值域,求参数的取值范围问题,再结合函数的单调性求参数 的取值范围. 【详解】(1) , 令 ,设 , . 学科网(北京)股份有限公司函数 在 上单调递增,在 上单调递减, ∵ ,∴ 的值域为 . (2)设 的值域为集合 , 的值域为集合 ,根据题意可得: , 由(1)有 ,又 ,所以 在 上单调递增, ∵ , ,∴ 由 得 ,解得: ∴ 的取值范围是 . 19.(23-24高一上·安徽马鞍山·期末)已知函数 . (1)若 ,求函数 的单调递增区间; (2)当 时,函数 的最大值为1,最小值为 ,求实数 的值. 【答案】(1) ; (2) 或 . 【知识点】求sinx型三角函数的单调性、由正弦(型)函数的值域(最值)求参数、求含sinx(型) 函数的值域和最值 【分析】(1)根据 ,求得 的函数解析式,再根据正弦函数的单调性,确定函 数 的单调递增区间. (2)由 先确定 的范围,进而求出 的范围,再利用已知的最值,分类建立关 于 的方程组解得a,b的值. 学科网(北京)股份有限公司【详解】(1)依题意, 由 ,得 , 所以函数 的单调递增区间为 . (2)当 时, ,则 ,即 , 令 ,则 ,显然 , 当 时,函数 在 上单调递减,于是 ,解得 , 当 时,函数 在 上单调递增,于是 ,解得 , 所以实数 的值为 或 . 20.(23-24高一上·山东德州·期末)已知函数 ,当 时, 的最小值为 . (1)求 ; (2)若 ,求a的值及此时 的最大值. 【答案】(1) (2) , 的最大值是5 【知识点】利用函数单调性求最值或值域、与二次函数相关的复合函数问题、求含sinx(型)函数的 值域和最值 学科网(北京)股份有限公司【分析】(1)将 转化为关于 的二次函数,经配方得到对称轴,根据 求得 的范围,结合二次函数图象的单调性性质分段讨论得到 的最小值为 的解析式; (2)根据(1)中的分段函数满足 时的情况分别讨论得到 值,最后结合不含参数的 解析式,结合 的有界性即得 . 【详解】(1) , 因为 ,所以 ① 当 ,即 时,则当 时, 取最小值, 的最小值为 ; ②当 ,即 时,则当 时, 取最小值, 的最小值为 ; ③当 ,即 时,则当 时, 取最小值, 的最小值为 . 故 . (2)当 时,由 解得: ,不合题意,舍去; 当 时,由 ,解得: 或 (舍去),故 ; 学科网(北京)股份有限公司当 时,由 解得: ,不合题意,舍去. 综上可知: ,此时 ,则当 时,得 . 所以若 ,则有 ,此时 的最大值是5. 21.(23-24高一上·安徽·期末)对于函数 , 为函数定义域,若存在正常数 ,使得 对任意的 ,都有 成立,我们称函数 为“ 同比不增函数”. (1)若函数 是“ 同比不增函数”,求 的取值范围; (2)是否存在正常数 ,使得函数 为“ 同比不增函数”,若存在,求 的 取值范围;若不存在,请说明理由. 【答案】(1) (2)存在,且 【知识点】函数不等式恒成立问题、函数新定义、求含sinx(型)函数的值域和最值、函数图象的应 用 【分析】(1)由 恒成立,分离常数 ,结合三角函数的最值来求得 的取值范围. (2)结合 的图象以及图象变换的知识求得 的取值范围. 【详解】(1)因为函数 是“ 同比不增函数”,则 恒成立, 所以 恒成立,所以 , 即 ,由于 ,所以 . 所以 的取值范围是 . 学科网(北京)股份有限公司(2)存在,理由如下: ,画出 的图象如下图所示, 的图象是由 的图象向左平移 个单位所得, 由图可知,当 时,对任意的 ,都有 成立, 所以存在正常数 ,使得函数 为“ 同比不增函数”,且 . 【点睛】关键点点睛:本题考查新定义的理解和应用,解题的关键在于利用题中的定义,将问题转 化为恒成立问题,本题第(2)问利用数形结合思想求解比较直观简单. 22.(23-24高一上·山西长治·期末)函数 的部分图象如图所 示,该图象与 轴交于点 ,与 轴交于点 为最高点, 的面积为 . (1)求函数 的解析式; 学科网(北京)股份有限公司(2)若对任意的 ,都有 ,求实数 的取值范围. 【答案】(1) (2) 【知识点】由正弦(型)函数的值域(最值)求参数、由图象确定正(余)弦型函数解析式 【分析】(1)根据三角形 的面积求得 ,进而求得 ,利用点 求得 ,从而求得 的解析式. (2)先求得 在区间 的取值范围,根据绝对值不等式的解法化简不等式 ,根据恒成立问题以及对数不等式等知识求得正确答案. 【详解】(1)由题意可知: 的面积 ,可得 , 所以周期 ,则 , 由 ,得 ,又 ,于是 , 所以 ; (2)由 ,则 ,得 , 即 .由 ,得 , 即 在 上恒成立, 亦即 , 因为 , 学科网(北京)股份有限公司所以 ,解得 , 即实数 的取值范围是 . 【点睛】方法点睛:利用函数图象与性质求得三角函数 的解析式,其中 往往 是通过周期,用 来进行求解, 往往通过函数图象上一个点的坐标来进行求解.求解不等式 恒成立问题可转化为函数的最值来进行求解. 23.(23-24高一上·山东临沂·期末)已知函数 在区间 上的最大值 为3. (1)求 的值; (2)当 时, ,对于给定的实数 ,若方程 有解,则记该方程所有 解的和为 ,求 的所有可能取值. 【答案】(1) (2) . 【知识点】由正弦(型)函数的值域(最值)求参数、求含sinx(型)函数的值域和最值 【分析】(1)首先化简得出 ,进一步得出 ,则 . (2)由(1)知 ,得出当 时函数单调递减, 时函 数单调递增,当 时函数单调递减,进行下一步分析,画图计算最终得出答案. 学科网(北京)股份有限公司【详解】(1)化简可得 ,因为 , 所以 , 所以 ,则 . (2)由(1)知 ,则 ; 当 ,则 , 所以当 时函数单调递减, 时函数单调递增,当 时函数单调递减, 又 , ,则可得函数 的图象如下: 对于给定的实数 ,若方程 有解,则当 时,方程的根为 ,此时 ; 当 时,方程的两根关于直线 对称,此时 ; 当 时,方程的根有三个, 关于直线 对称,此时 ; 当 ,方程有四个根, 关于直线 对称, 关于直线 对称, 此时 ; 学科网(北京)股份有限公司当 时,方程的根有三个, ,此时 ; 综上, 的所有可能取值为 . 24.(23-24高一上·广东广州·期末)已知函数 图象的对称轴与对 称中心之间的最小距离为 ,且满足 . (1)求 的解析式; (2)已知函数 ,若有且只有一个实数 ,对于 , ,使得 ,求实数 的值. 【答案】(1) ; (2) 或 . 【知识点】根据值域求参数的值或者范围、求含sinx(型)函数的值域和最值、由正(余)弦函数的 性质确定图象(解析式)、根据二次函数的最值或值域求参数 【分析】(1)根据给定条件,结合“五点法”作图求出 即可. (2)求出函数 在 上的值域,再根据给定条件,借助集合的包含关系分类讨论求解. 【详解】(1)依题意,函数 的周期 ,则 , 由 ,得函数 图象的一个对称中心为 , 即有 ,而 ,则 , 所以 的解析式为 . (2)由(1)知, ,当 时, , 因此 在 上单调递增,函数值集合为 , 值域为 , 学科网(北京)股份有限公司由有且只有一个实数 ,对于 , ,使得 , 得函数 在 上的值域包含 ,并且实数 唯一, 当 时,函数 在 上单调递增, 的值域为 , 由 ,得 ,解得 ,显然符合条件的实数 不唯一; 当 时,函数 的图象对称轴为 , 当 ,即 时, 在 上单调递增, 的值域为 , 于是 ,解得 ,显然 ,当且仅当 时, 且唯一,因此 ; 当 ,即 时, , , , 当 是最小值时,而 ,不满足函数 在 上的值域包含 ,则 不是最小值, 必有 ,得 ,于是 ,解得 , 当 时, 且 ,此时 且唯一, 并且当 时, , ,实数 不唯一,因此 , 所以实数 的值是 或 . 学科网(北京)股份有限公司【点睛】结论点睛:函数 , ,若 , ,有 ,则 的值域是 值域的子集. 三角函数中零点问题(共8题) 1.(23-24高一上·重庆渝中·期末)已知函数 在 上单调递增, 且在 上有且仅有1个零点,则 的取值范围为( ) A. B. C. D. 【答案】C 【知识点】根据函数零点的个数求参数范围、利用正弦型函数的单调性求参数 【分析】先由 在 上单调递增,得 ,再由 在 上有且仅有1个零 点,得 或 ,取并集结合 的前提条件,即可得答案. 【详解】当 , , 因为 在 上单调递增,故 ,则 ; 当 , ,且 , , 又因为 在 上有且仅有1个零点, 故讨论两种情况: 学科网(北京)股份有限公司① , ② , 综上: 的取值范围为 , 故选:C. 2.(23-24高一上·湖南永州·期末)已知函数 在区间 上有且仅有两 个不同的零点,则( ) A. 在区间 上有两条对称轴 B. 的取值范围是 C. 在区间 上单调递增 D.若 ,则 【答案】BC 【知识点】求sinx型三角函数的单调性、利用正弦函数的对称性求参数、求正弦(型)函数的对称 轴及对称中心、根据函数零点的个数求参数范围 【分析】由题设有 在 有且仅有两个不同的零点,结合正弦函数性质求得 ,再由各项描述逐项判断各项正误. 【详解】区间 上 且 , 故 在 有且仅有两个不同的零点, 所以 ,可得 ,B对; 学科网(北京)股份有限公司当 时 ,此时 只有一条对称轴, 即 在 上可能只有一条对称轴,A错; 区间 上 ,而 , 所以 在区间 上单调递增,C对; 由 ,即 ,又 , 所以 或 ,可得 或 ,D错. 故选:BC 【点睛】关键点点睛:应用换元法,将问题化为 在 有且仅有两个不同的零 点求参数范围为关键. 3.(23-24高一上·福建莆田·期末)已知函数 ( ),则下列说法正确的是 ( ) A.若 ,则 是 的图象的对称中心 B.若 恒成立,则 的最小值为2 C.若 在 上单调递增,则 D.若 在 上恰有2个零点,则 【答案】BC 【知识点】求正弦(型)函数的对称轴及对称中心、由正弦(型)函数的值域(最值)求参数、利 用正弦型函数的单调性求参数 学科网(北京)股份有限公司【分析】求出 可判断A;由 恒成立,可知 ,计算 可判断B;由 可得 ,求解 可判断C;由 可 得 ,求解 可判断D. 【详解】对于A,若 ,则 ,所以 , 所以 是 图象的对称轴,故A错误; 对于B,若 恒成立,即 恒成立, 则 ,解得: , 又因为 ,则 的最小值为2,故B正确; 对于C, 时, , 因为 在 上单调递增,则 ,解得 ,故C正确; 对于D, 时, ,若 在 上恰有2个零点, 则 ,解得 ,故D错误. 故选:BC. 4.(23-24高一上·浙江·期末)高斯是德国著名的数学家,近代数学奠基者之一,享有“数学王 子”的美誉,用其名字命名的“高斯函数”:设 ,用 表示不超过x的最大整数,则 学科网(北京)股份有限公司称为高斯函数,也叫取整函数,则下列叙述正确的是( ) A. B.函数 有3个零点 C. 的最小正周期为 D. 的值域为 【答案】ACD 【知识点】函数新定义、求函数零点或方程根的个数、求余弦(型)函数的最小正周期、求 cosx(型)函数的值域 【分析】由“高斯函数”的定义结合 的值,即可判断A;举反例可判断B;在区间 上, 化简 ,结合余弦函数的周期性,可判断C,D; 【详解】对于A, ,A正确; 对于B,当 时, ,则 , 此时 为 的零点,有无数个,B错误; 对于C,在区间 上, , 结合 的最小正周期为 ,由此可得 的最小正周期为 ,C正确, 对于D,结合C的分析可知 的值域为 ,D正确, 故选:ACD 学科网(北京)股份有限公司5.(23-24高一上·河北石家庄·期末)已知函数 在区间 上 单调,且满足 ;函数 在区间 上恰有5个零点, 则 的取值范围为 . 【答案】 0 【知识点】利用正弦函数的对称性求参数、求正弦(型)函数的对称轴及对称中心、根据函数零点 的个数求参数范围 【分析】由 结合函数单调性,即可确定 的一个对称中心为 ,即可求 得 ;利用函数的对称中心和单调区间,结合周期可得 ,求出 ,再结合 函数零点个数,列出不等式求得 ,综合,即可求得 的取值范围. 【详解】因为函数 在区间 上单调, 且满足 ,而 , , 即 的一个对称中心为 ,故 ; 而 ,故 在区间 上单调, 设函数的最小正周期为T,则 ; 函数 在区间 上恰有5个零点,则 恰好为第一个零点, 学科网(北京)股份有限公司相邻两个零点之间相距半个周期 , 故 ,即 , 解得 ,结合 , 可得 的取值范围为 , 故答案为: 【点睛】关键点睛:本题综合考查了三角函数单调性、周期以及对称性的应用,解答的关键在于第 二空的求解时,要根据零点的个数,结合正弦函数的性质,列出关于参数 的不等式,从而求解答 案. 6.(23-24高一上·广东江门·期末)已知函数 . (1)求 的定义域; (2)解不等式 ; (3)求 在区间 上零点的个数. 【答案】(1) (2) 或 . (3) 【分析】(1)由具体函数的定义域求解即可; (2)令 即 或 ,解不等式即可得出答案; (3)令 ,因为 ,所以 ,则 ,令 ,求出 ,即可得出答案. 学科网(北京)股份有限公司【详解】(1)由 ,解得: , 所以 的定义域为 .. (2)令 ,则 , 即 , 因为 ,即 或 , 则: 或 , 解得: 或 . 所以不等式的解集为: 或 . (3) , 令 ,因为 ,所以 , 解得: ,所以 的零点为 且 , 令 ,解得: , 因为 , 所以 在区间 上零点的个数为 . 7.(23-24高一上·上海·期末)已知 , . (1)若 ,求 的取值范围; 学科网(北京)股份有限公司(2)若函数 恰有两个零点,求实数a的取值范围; (3)证明: . 【答案】(1) (2) (3)证明见解析 【知识点】对数函数图象的应用、根据函数零点的个数求参数范围、求cosx(型)函数的最值、由 对数函数的单调性解不等式 【分析】(1)解对数不等式即可得答案; (2)画出 的图象,数形结合即可得a的取值范围; (3)由余弦函数的值域,结合取最值的条件分析即可得证. 【详解】(1)由题意得 ,即 , 解得 ,即 . (2)如图,可知 , 时, , 学科网(北京)股份有限公司因为函数 恰有两个零点, 所以直线 与曲线 恰有两个公共点, 所以 ,解得 ; (3)因为 , 所以在不考虑自变量的情况下可得: , 当 时取最大值3, 即 , 所以 ,即 , 是偶数,而 是奇数,因而等式不可能成立, 因此 . 【点睛】本小题主要考查指数、对数函数的图像与性质,考查含有绝对值函数的处理方法,考查了 数形结合的数学思想方法.属于中档题. 8.(23-24高一上·浙江杭州·期末)设 ,函数 , . (1)讨论函数 的零点个数; (2)若函数 有两个零点 , ,试证明: . 【答案】(1)答案见解析 学科网(北京)股份有限公司(2)证明见解析 【知识点】已知弦(切)求切(弦)、利用余弦函数的单调性求参数、求含cosx的二次式的最值、 求函数零点或方程根的个数 【分析】(1)利用分离参数法分类讨论函数 的零点个数; (2)利用根与系数关系和三角函数单调性证明 ,即 ,令 ,则将原命题转化为证明 ,显然成立,进而原命题成立得证. 【详解】(1) , 令 ,即 , 当 时,令 ,所以 , 则 即 , 所以当 或 时,即 或 时, 无解; 当 时,即 时, 仅有一解; 当 即 时, 有两解, 综上, 或 时, 无零点; 时, 有一个零点; 时, 有两个零 点. (2)若 有两个零点 , , 令 , ,则 , 为 两解, 则 ,则 ,则 , 由 可得 , , 则 , 学科网(北京)股份有限公司所以 ,所以 , 由 可得 , 所以 ,则 , 由 在 递减,可得 , 所以 ,所以 令 ,则 要证 成立, 即证: ; 即证: ,因为 显然成立,故原式成立. 【点睛】函数零点的求解与判断方法: (1)直接求零点:令 ,如果能求出解,则有几个解就有几个零点. (2)零点存在性定理:利用定理不仅要函数在区间 上是连续不断的曲线,且 , 还必须结合函数的图象与性质(如单调性、奇偶性)才能确定函数有多少个零点. (3)利用图象交点的个数:将函数变形为两个函数的差,画两个函数的图象,看其交点的横坐标 有几个不同的值,就有几个不同的零点. 三角函数中恒成立问题(共5题) 1.(23-24高一上·广东广州·期末)设函数 . (1)若 对一切实数x恒成立,求实数a的取值范围; 学科网(北京)股份有限公司(2)若关于x的方程 在 有实数解,求实数a的取值范围. 【答案】(1) (2) 【知识点】求cosx(型)函数的值域、一元二次不等式在实数集上恒成立问题、一元二次不等式在某 区间上有解问题 【分析】(1)令 ,可得 ,转化为任意 , 恒成立, 结合二次函数的性质,求得函数的最大值和最小值,列出不等式组,即可求解; (2)根据题意,转化为 在 上有实数解,结合二次函数的性质,求得函数 的最大值与最小值,列出不等式,即可求解. 【详解】(1)解:由函数 , 令 ,可得 , 因为 对一切实数 恒成立,即对任意的 , 恒成立, 又由函数 的图像开口向上,对称轴为 , 当 时, ;当 时, , 则 ,解得 ,所以实数a的取值范围 . (2)解:由 ,令 , 要使得方程关于x的方程 在 有实数解, 学科网(北京)股份有限公司即 在 上有实数解,即 在 上有实数解, 令 ,由 , 可当 在 上单调递减,在 单调递增, 当 时, ,当 或 时, , 则 ,解得 ,即实数 的取值范围为 . 2.(23-24高一上·云南昆明·期末)若函数 对任意实数 , 都有 ,则称 其为“保积函数”.现有一“保积函数” 满足 ,且当 时, . (1)判断“保积函数” 的奇偶性; (2)若“保积函数” 在区间 上总有 成立,试证明 在区间 上单调递增; (3)在(2)成立的条件下,若 ,求 , 的解集. 【答案】(1) 为奇函数 (2)证明见解析 (3) 【分析】(1)赋值,结合 ,进而得到 为奇函数; (2) 在 上单调递增,利用定义法得到函数的单调性; (3)赋值法得到 ,结合函数单调性得到 , ,数形结合,结合 定义域,得到不等式,求出解集. 【详解】(1) 为奇函数,理由如下: 根据题意,令 ,得 , 学科网(北京)股份有限公司因为 ,所以 , 故结合定义域可知, 为奇函数. (2)证明:任取 , ,且 ,则 , 因此 , 因为 ,且当 时, ,所以 , 因为 , 恒成立,所以 , 所以 ,即 , 又因为 ,所以 在 上单调递增; (3) ,又 为奇函数, , , , , , 故原不等式等价于 , , 在 上单调递增且 , 恒成立,又 为奇函数, 在 上单调递增, 故 , ,则 , , 学科网(北京)股份有限公司∴ ,解得 或 , 综上, , 的解集为 . 3.(23-24高一上·河南许昌·期末)已知函数 为奇函数. (1)求 的值; (2)若 在 上恒成立,求实数 的取值范围; (3)设 ,若 ,使得 成立,求实数 的 取值范围. 【答案】(1) (2) (3) 【知识点】求指数型复合函数的值域、求cosx(型)函数的值域、由奇偶性求参数、函数不等式恒成 立问题 【分析】(1)根据奇函数的性质列式求解即可; (2)分离参数得 在 上恒成立,令 ,则 ,构造函数 ,利用函数 单调性求解最值即可; (3)把问题转化为函数 的值域为函数 值域的子集,利用函数 单调性求解其值域, 结合余弦函数性质,分类讨论求解函数 的值域,列不等式组求解即可. 【详解】(1)因为函数 为奇函数, 学科网(北京)股份有限公司所以 , 即 ,所以 ,所以 ,解得 . (2)由(1)知 ,则 ,所以 , 故 在 上恒成立, 令 ,则 ,且 ,所以 , 令 ,则函数 在 上为减函数, 所以 ,所以 . (3)若 ,使得 成立, 则函数 的值域为函数 值域的子集, ,则函数 在 上为减函数,所以 . 因为 ,所以 ,所以 , 当 时, ,则 , 所以 ,所以 ; 当 时, ,则 , 学科网(北京)股份有限公司所以 ,所以 ; 当 时, ,显然成立. 综上可知 . 【点睛】结论点睛:一般地,已知函数 , , (1)若 , ,总有 成立,故 ; (2)若 , ,有 成立,故 ; (3)若 , ,有 成立,故 ; (4)若 , ,有 ,则 的值域是 值域的子集. 4.(23-24高一上·山西阳泉·期末)设函数 . (1)当 时,解不等式 ; (2)若 ,则 在闭区间 上有实数解,求实数 的取值范围; (3)若函数 的图象过点 ,且不等式 对任意 均成立,求实数 的取 值集合. 【答案】(1) (2) 学科网(北京)股份有限公司(3) . 【知识点】根据解析式直接判断函数的单调性、根据函数的单调性解不等式、由cosx(型)函数的 值域(最值)求参数、利用函数单调性求最值或值域 【分析】(1)根据给出的条件,确定函数的解析式,再根据对数函数的单调性解不等式; (2)先确定 的值,分离参数,把问题转化成函数在给定区间上的值域问题,结合函数单调性求 值域; (3)先确定 的值,利用函数单调性把问题转化成代数不等式求解. 【详解】(1)当 时, , 不等式 ,即 , 可得 ,且 , 解得 , 不等式的解集为 ; (2)由 ,得 ,∴ , ,即 在闭区间 上有实数解, 可得 , 令 ,即求 在闭区间 上的值域, 根据指数和对数的性质可知, 是增函数, ∴ 在闭区间 上的值域为 , 学科网(北京)股份有限公司故得实数t的取值范围是 ; (3) 函数 的图象过点 ,则 ,故 , 那么,不等式 转化为 , 即 , 解得 , 又 ,即 , , 又 ,所以 , 对任意 均成立时,实数x的取值集合为 . 【点睛】关键点点睛:第二问中,要分离参数 ,问题转化为存在性问题,进而用函数单调性求函 数在给定区间上的值域,分离参数是关键;第三问中,含对数的不等式问题,解的时候一定要注意 对数的真数要大于 这个条件. 5.(23-24高一上·重庆·期末)已知函数 , . (1)当 时,求函数 的对称中心; (2)若 为奇函数,不等式 在 上恒成立,求实数m的取值范围; (3)若 过点 ,设 ,若对任意的 , ,都有 学科网(北京)股份有限公司,求实数a的取值范围. 【答案】(1) ; (2) ; (3) . 【知识点】由正弦(型)函数的值域(最值)求参数、求正弦(型)函数的对称轴及对称中心、求 含cosx的二次式的最值、函数不等式恒成立问题 【分析】(1)由题设列 求x即可得对称中心; (2)由已知得 ,问题化为 在 上恒成立,结合正弦型函数 性质求参数范围; (3)由已知得 ,将问题化为 ,根据三角函数及二次函数性质研究最值, 进而求参数范围. 【详解】(1)由题设 ,令 ,可得 , 所以函数 的对称中心为 . (2)由题设 , ,又 ,则 ,故 , 由 , 又 ,则 ,故 , 所以 , 学科网(北京)股份有限公司当 ,只需 ,可得 ; 当 ,只需 ,可得 ; 当 ,则 , ,此时满足题设; 综上, . (3)由题设 ,又 ,则 , 对任意的 , 有 ,即 , 所以 ,则 ,有 ,故 , , 又 ,则 , 当 时, ; 此时 ,即 ; 当 时, ; 此时 ,即 ; 当 时, ; 此时 ,即 ; 综上, . 学科网(北京)股份有限公司【点睛】关键点点睛:第二问,问题化为 在 上恒成立为关键;第三问, 问题化为 为关键. 学科网(北京)股份有限公司