当前位置:首页>文档>数学03(北师大版2019)(答案及评分标准)(1)_1多考区联考_0914黄金卷:2024-2025学年高二上学期入学摸底考试数学试卷21套(含答题卡)

数学03(北师大版2019)(答案及评分标准)(1)_1多考区联考_0914黄金卷:2024-2025学年高二上学期入学摸底考试数学试卷21套(含答题卡)

  • 2026-03-21 11:09:46 2026-02-09 09:28:33

文档预览

数学03(北师大版2019)(答案及评分标准)(1)_1多考区联考_0914黄金卷:2024-2025学年高二上学期入学摸底考试数学试卷21套(含答题卡)
数学03(北师大版2019)(答案及评分标准)(1)_1多考区联考_0914黄金卷:2024-2025学年高二上学期入学摸底考试数学试卷21套(含答题卡)
数学03(北师大版2019)(答案及评分标准)(1)_1多考区联考_0914黄金卷:2024-2025学年高二上学期入学摸底考试数学试卷21套(含答题卡)
数学03(北师大版2019)(答案及评分标准)(1)_1多考区联考_0914黄金卷:2024-2025学年高二上学期入学摸底考试数学试卷21套(含答题卡)
数学03(北师大版2019)(答案及评分标准)(1)_1多考区联考_0914黄金卷:2024-2025学年高二上学期入学摸底考试数学试卷21套(含答题卡)
数学03(北师大版2019)(答案及评分标准)(1)_1多考区联考_0914黄金卷:2024-2025学年高二上学期入学摸底考试数学试卷21套(含答题卡)
数学03(北师大版2019)(答案及评分标准)(1)_1多考区联考_0914黄金卷:2024-2025学年高二上学期入学摸底考试数学试卷21套(含答题卡)
数学03(北师大版2019)(答案及评分标准)(1)_1多考区联考_0914黄金卷:2024-2025学年高二上学期入学摸底考试数学试卷21套(含答题卡)
数学03(北师大版2019)(答案及评分标准)(1)_1多考区联考_0914黄金卷:2024-2025学年高二上学期入学摸底考试数学试卷21套(含答题卡)
数学03(北师大版2019)(答案及评分标准)(1)_1多考区联考_0914黄金卷:2024-2025学年高二上学期入学摸底考试数学试卷21套(含答题卡)
数学03(北师大版2019)(答案及评分标准)(1)_1多考区联考_0914黄金卷:2024-2025学年高二上学期入学摸底考试数学试卷21套(含答题卡)
数学03(北师大版2019)(答案及评分标准)(1)_1多考区联考_0914黄金卷:2024-2025学年高二上学期入学摸底考试数学试卷21套(含答题卡)
数学03(北师大版2019)(答案及评分标准)(1)_1多考区联考_0914黄金卷:2024-2025学年高二上学期入学摸底考试数学试卷21套(含答题卡)
数学03(北师大版2019)(答案及评分标准)(1)_1多考区联考_0914黄金卷:2024-2025学年高二上学期入学摸底考试数学试卷21套(含答题卡)

文档信息

文档格式
docx
文档大小
0.621 MB
文档页数
10 页
上传时间
2026-02-09 09:28:33

文档内容

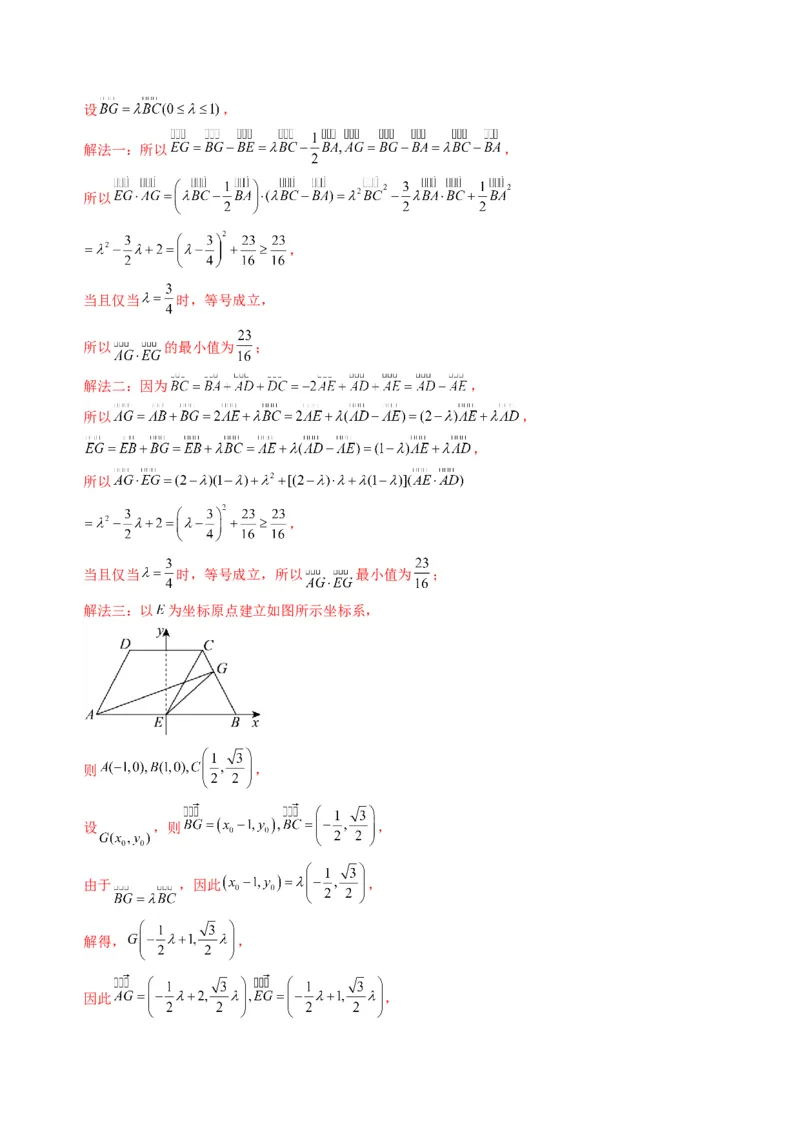
新高二开学摸底考试卷 03 数 学 (考试时间:120分钟 试卷满分:150分) 注意事项: 1.答卷前,考生务必将自己的姓名、考生号等填写在答题卡和试卷指定位置上。 2.回答选择题时,选出每小题答案后,用铅笔把答题卡对应题目的答案标号涂黑。如需改动,用 橡皮擦干净后,再选涂其他答案标号。回答非选择题时,将答案写在答题卡上。写在本试卷上无效。 3.考试范围:北师大版2019 4.考试结束后,将本试卷和答题卡一并交回。 一、单项选择题:本题共8小题,每小题5分,共40分.在每小题给出的四个选项中,只有一项是符 合题目要求的. 题号 1 2 3 4 5 6 7 8 答案 C C C A C B A D 二、多项选择题:本题共3小题,每小题6分,共18分.在每小题给出的选项中,有多项符合题目要 求.全部选对的得6分,部分选对的得部分分,有选错的得0分. 题号 9 10 11 答案 ACD BC BCD 三、填空题:本题共3小题,每小题5分,共15分. 12.【答案】3 13.【答案】 14【答案】 四、解答题:本题共5小题,其中第15题13分,第16,17题15分,第18,19题17分,共77分.解答 应写出文字说明、证明过程或演算步骤. 15.(本题满分13分)已知 ,复数 . (1)若 为纯虚数,求 ; (2)若 在复平面内对应的点位于第二象限,求整数 的值. 【答案】(1) ; (2) 和 【分析】(1)由 为纯虚数,求出 的值,从而得到复数 ,求解 模长即可; (2) 在复平面内对应的点位于第二象限,求出 的取值范围,进而得到整数 的值即可.【详解】(1)由于复数 为纯虚数, 所以 ,解得 ,此时 , (2)若 在复平面内对应的点位于第二象限, 则 ,解得 , 故整数 的值有 . 16.(本题满分15分)如图,在梯形 中, , 分别为 的中点, 是线段 上的动点. (1)若 ,求证: 三点共线; (2)若 ,求 的最小值. 【答案】(1)证明见解析; (2) . 【分析】(1)根据平面向量的线性运算结合向量共线的判定定理分析证明; (2)根据平面向量线性运算,分别利用基底法和坐标法表示 ,得到关于 的一元二次函数, 再利用一元二次函数的最值求解即可. 【详解】(1)由题意知, , 所以 , 所以 三点共线; (2)在梯形 中, , 易得 ,设 , 解法一:所以 , 所以 , 当且仅当 时,等号成立, 所以 的最小值为 ; 解法二:因为 , 所以 , , 所以 , 当且仅当 时,等号成立,所以 最小值为 ; 解法三:以 为坐标原点建立如图所示坐标系, 则 , 设 ,则 , 由于 ,因此 , 解得, , 因此 ,故 , 当且仅当 时,等号成立, 所以 的最小值为 . 17.(本题满分15分)如图,在正方形 中,点E、F分别是AB、BC的中点,将 、 分别沿DE、DF折起,使A,C两点重合于P,连接EF,PB. (1)求证: ; (2)点M是PD上一点,若直线MF与平面 所成角的正切值为 ,求二面角 的余弦值. 【答案】(1)证明见解析 (2) 【分析】(1)由题意可得 ,则由线面垂直的判定定理可得 平面 ,则 ,再由正方形性质可得 ,则 平面 ,从而可证得 ; (2)由(1)可得 为直线MF与平面 所成角,则 ,令 , 然后根据正方形的性质求出其它边长,最后在 中利用余弦定理可求得结果. 【详解】(1)证明:在正方形 中,连接 ,则 , 因为点E、F分别是AB、BC的中点,所以 ∥ , 所以 , 因为 , , 平面 , 所以 平面 , 因为 平面 ,所以 , 因为 , 平面 , 所以 平面 , 因为 平面 ,所以 ; (2)解:由(1) 平面 ,所以 为直线MF与平面 所成角,所以 , 令 ,则 , 所以 , 设 ,连接 , 由(1)知 平面 ,因为 平面 ,所以 , 因为 ,所以 为二面角 的平面角, 因为 为 的中点, ,所以 为等腰三角形, 所以 , 因为 ,所以 , 所以 , , , 在 中,由余弦定理得 , 所以二面角 的余弦值为 . 【点睛】关键点点睛:此题考查由线面垂直证线线垂直,考查线面角和二面角,考查折叠问题,解题 的关键是弄清折叠前后边角的关系,考查空间想象能力和计算能力,属于中档题》 18.(本题满分17分)已知函数 . 请在下面的三个条件中任选两个解答问题. ①函数 的图象过点 ; ②函数 的图象关于点 对称; ③函数 相邻对称轴与对称中心之间距离为1.(1)求函数 的解析式; (2)若 是函数 的零点,求 的值组成的集合; (3)当 时,是否存在 满足不等式 ?若存在,求出 的范围;若不存在, 请说明理由. 【答案】(1) ; (2) (3)存在; . 【分析】(1)选择①②,将点 代入,结合 可求 ,由 的图象关于点 对称可得 ,结合 ,可得 ,即可解出函数解析式;选择①③:将点 代入,结合 可求 ,由函数 相邻对称轴与对称中心之间距离为1,可得 ,利用周期公式得 ,即可求解函数解析式;选择②③:由函数 相邻对称轴与对称中 心之间距离为1,可得 ,结合周期公式得: ,由图象关于点 对称,得 , ,进而求解出函数解析式; (2)若 是函数 的零点,则根据不同解析式求解可得 的值,解得 ,进而可得 可能的取值,即可求解; (3)由 ,得 ,根据函数自变量的范围和利用偶函数的性质原不等式可化为 关于 的不等式,即可求解. 【详解】(1)选择①②:因为函数 的图象过点 ,所以 , 解得 ,因为 ,所以 , 因为函数 的图象关于点 对称,则 , 可得 ,因为 ,所以 ,所以 ; 选择①③: 因为函数 的图象过点 ,所以 , 解得 ,因为 ,所以 , 函数 相邻对称轴与对称中心之间距离为1, 所以 ,所以 ,解得: , 所以 , 选择②③: 函数 相邻对称轴与对称中心之间距离为1, 所以 ,所以 ,解得: , 因为函数 的图象关于点 对称,则 , 可得 ,所以 所以 . (2)若 是函数 的零点,则 可得 ,所以 或 解得: 或 , 若 是函数 的零点, 则 , 当 时, , 当 时, , 当 时, , 所以 的值组成的集合为(3) 当 时, ,令 ,则 , 令 ,则 因为 ,所以 ,即 , 所以 ,即 , 解得: . 所以实数 的范围是: . 【点睛】关键点点睛:本题解题的关键是由余弦函数的性质求出 的解析式,再利用余弦函数的零 点可求 可能的取值,求 的范围的关键是构造偶函数,利用单调性,解关于 的不等式. 19.(本题满分17分)定义: 为实数 对 的“正弦方差”. (1)若 ,则实数 对 的“正弦方差” 的值是否是与 无关的定值,并证明 你的结论 (2)若 ,若实数 对 的“正弦方差” 的值是与 无关 的定值,求 值. 【答案】(1)是与 无关的定值,证明见解析; (2) 或 . 【分析】(1)根据 的定义,结合三角恒等变换,整理化简,即可求得结果 为定值; (2)根据 的定义,结合三角恒等变换,根据其为定值,求得 ,再结合角度范围, 即可求得结果. 【详解】(1)“正弦方差” 的值是与 无关的定值 ; 证明:若 ,则 . (2)若 , 根据题意, 因为 的值是与 无关的定值,故可得 , 因为 ,故 , 由 可知, 或 ,即 或 , 若 ,则 , ,故舍去; 对 , 两边平方后相加可得: ,即 ;因为 ,故 或 或 , 即 或 或 ; 综上所述,当 ,解得 ,不满足题意; 当 ,解得 ,满足题意; 当 ,解得 ,满足题意; 故 或 . 【点睛】关键点点睛:解决本题第二问的关键一是找到 的关系 ,二是根据角度 范围,讨论 可能得取值.