当前位置:首页>文档>精品解析:2024年山东省滨州市中考化学真题(原卷版)_中考真题_5.化学中考真题2015-2024年_2024年中考化学真题_精品解析:2024年山东省滨州市中考化学真题

精品解析:2024年山东省滨州市中考化学真题(原卷版)_中考真题_5.化学中考真题2015-2024年_2024年中考化学真题_精品解析:2024年山东省滨州市中考化学真题

  • 2026-05-01 07:46:01 2026-02-10 02:03:57

文档预览

精品解析:2024年山东省滨州市中考化学真题(原卷版)_中考真题_5.化学中考真题2015-2024年_2024年中考化学真题_精品解析:2024年山东省滨州市中考化学真题
精品解析:2024年山东省滨州市中考化学真题(原卷版)_中考真题_5.化学中考真题2015-2024年_2024年中考化学真题_精品解析:2024年山东省滨州市中考化学真题
精品解析:2024年山东省滨州市中考化学真题(原卷版)_中考真题_5.化学中考真题2015-2024年_2024年中考化学真题_精品解析:2024年山东省滨州市中考化学真题
精品解析:2024年山东省滨州市中考化学真题(原卷版)_中考真题_5.化学中考真题2015-2024年_2024年中考化学真题_精品解析:2024年山东省滨州市中考化学真题
精品解析:2024年山东省滨州市中考化学真题(原卷版)_中考真题_5.化学中考真题2015-2024年_2024年中考化学真题_精品解析:2024年山东省滨州市中考化学真题
精品解析:2024年山东省滨州市中考化学真题(原卷版)_中考真题_5.化学中考真题2015-2024年_2024年中考化学真题_精品解析:2024年山东省滨州市中考化学真题
精品解析:2024年山东省滨州市中考化学真题(原卷版)_中考真题_5.化学中考真题2015-2024年_2024年中考化学真题_精品解析:2024年山东省滨州市中考化学真题
精品解析:2024年山东省滨州市中考化学真题(原卷版)_中考真题_5.化学中考真题2015-2024年_2024年中考化学真题_精品解析:2024年山东省滨州市中考化学真题
精品解析:2024年山东省滨州市中考化学真题(原卷版)_中考真题_5.化学中考真题2015-2024年_2024年中考化学真题_精品解析:2024年山东省滨州市中考化学真题
精品解析:2024年山东省滨州市中考化学真题(原卷版)_中考真题_5.化学中考真题2015-2024年_2024年中考化学真题_精品解析:2024年山东省滨州市中考化学真题
精品解析:2024年山东省滨州市中考化学真题(原卷版)_中考真题_5.化学中考真题2015-2024年_2024年中考化学真题_精品解析:2024年山东省滨州市中考化学真题
精品解析:2024年山东省滨州市中考化学真题(原卷版)_中考真题_5.化学中考真题2015-2024年_2024年中考化学真题_精品解析:2024年山东省滨州市中考化学真题

文档信息

文档格式
docx
文档大小
1.107 MB
文档页数
8 页
上传时间
2026-02-10 02:03:57

文档内容

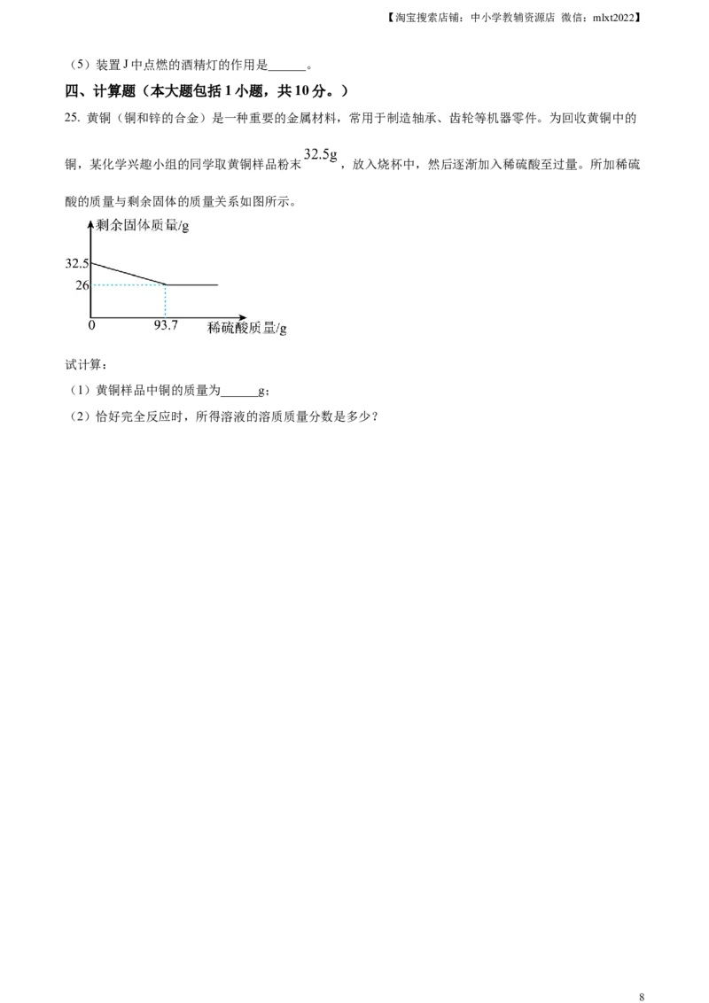
【淘宝搜索店铺:中小学教辅资源店 微信:mlxt2022】 试卷类型:A 滨州市二○二四年初中学业水平考试 化学试题 温馨提示: 1.本试卷分第Ⅰ卷和第Ⅱ卷两部分,共 8页。满分100分。考试用时60分钟。考试结束后, 将试题卷和答题卡一并交回。 2.答卷前,考生务必用 0.5毫米黑色签字笔将自己的姓名、准考证号、座号填写在试题卷和 答题卡规定的位置上。 3.第Ⅰ卷每小题选出答案后,用2B铅笔把答题卡上对应题目的答案标号涂黑;如需改动, 用橡皮擦干净后,再选涂其他答案标号。答案不能答在试题卷上。 4.第Ⅱ卷必须用0.5毫米黑色签字笔作答,答案必须写在答题卡各题目指定区域内相应的位 置,不能写在试题卷上;如需改动,先划掉原来的答案,然后再写上新的答案;不准使用涂 改液、胶带纸、修正带。不按以上要求作答的答案羌效。 可能用到的相对原子质量:H-1 C-12 O-16 S-32 Cu-64 Zn-65 第Ⅰ卷(选择题 共48分) 一、选择题(本大题包括 16 小题,每小题 3 分,共 48 分。每小题只有一个选项符合题 意。) 1. 成语是中华民族文明与智慧的结晶,是中华文化的瑰宝。下列成语所描述的情境主要包含化学变化的是 A. 刻舟求剑 B. 火上浇油 C. 立竿见影 D. 杯弓蛇影 2. 下列关于空气的说法错误的是 A. 空气中氮气的质量分数为78% B. 稀有气体可用于制造电光源 C. 氧气能供给生物呼吸 D. 植树造林可以改善空气质量 1【淘宝搜索店铺:中小学教辅资源店 微信:mlxt2022】 3. 试管是实验中常用仪器,试管口朝向可能因实验的不同而不同。下列实验中试管口的朝向错误的是 A. 给试管里的液体加热 B. 向试管中加入块状固体 C. 给试管里的固体加热 D. 向试管中滴加液体药品 4. 下列关于溶液的说法正确的是 A. 饱和溶液升高温度一定变为不饱和溶液 B. 均一、稳定的液体一定是溶液 C. 硝酸铵溶于水使溶液的温度降低 D. 只有固体和液体可以作为溶质 5. 下列做法不能减缓或防止钢铁锈蚀的是 A. 经常用食盐水清洗铁制品 B. 保持铁制品表面清洁干燥 C. 在铁制品表面涂油漆 D. 在钢铁的表面镀一层不易锈蚀的金属 6. 2024年六五环境日以“全面推进美丽中国建设”为主题。下列做法不符合这一主题的是 A. 生活垃圾分类处理 B. 工厂废水直接排放 C. 推广使用清洁能源 D. 回收利用废旧金属 7. 下列关于燃烧与灭火的说法正确的是 A. 有发光、发热现象的变化一定是燃烧 B. 炒菜时油锅起火,可用锅盖盖灭 C. 可以通过降低可燃物的着火点来灭火 D. 夜间发现煤气泄漏,立即开灯检查 8. 人体中各元素的含量与人体健康息息相关。下列元素中,因摄入量不足而容易异致贫血症的是 A. 铁 B. 碘 C. 钙 D. 锌 9. 密闭容器内有甲、乙、丙、丁四种物质,在一定条件下发生某一化学反应,反应前后各物质质量如图所 示。下列说法不正确的是 A. 该反应遵循质量守恒定律 B. 丙可能为该反应的催化剂 2【淘宝搜索店铺:中小学教辅资源店 微信:mlxt2022】 C. 反应前后乙和丁的质量变化之比为 D. 甲和丁的相对分子质量之比为 10. “糖醋鲤鱼”是一道传统名菜,其烹饪过程中用到了黄酒和食醋。黄酒中的乙醇与食醋中的乙酸发生 反应生成乙酸乙酯 ,使烹饪出的菜品别具香味。下列关于乙酸乙酯的说法正确的是 . A 乙酸乙酯属于氧化物 B. 乙酸乙酯由4个碳原子、8个氢原子和2个氧原子构成 C. 乙酸乙酯的相对分子质量是 D. 乙酸乙酯中碳、氢、氧三种元素的质量比为 11. 海洋是人类千万年来取之不尽,用之不竭的资源宝库。下列关于海洋中物质的说法正确的是 A. “可燃冰”燃烧后几乎不产生任何残渣和废气 B. 海水“晒盐”后剩余的母液一定是氯化钠的不饱和溶液 C. 海水淡化只能得到淡水,剩余物质不再有任何利用价值 D. 海水中溶有大量的盐类,其中含量最多的盐是氯化镁 12. 下列各组药品不能验证铁、铜、银三种金属活动性强弱的是 A. 溶液 B. 溶液 稀 C. 溶液 稀 D. 溶液 溶液 13. 下列各组离子在 的溶液中能大量共存的是 A. B. C. D. 14. 下列各组物质的鉴别方法、现象及结论均正确的是 选 鉴别方 物质 现象及结论 项 法 A 一氧化碳和二氧化碳 闻气味 有刺激性气味的气体为一氧化碳,无味的气体为二氧化碳 B 食盐水和蒸馏水 测 的液体为食盐水, 的液体为蒸馏水 硫酸铁溶液和硫酸亚 观察颜 C 浅绿色溶液为硫酸铁溶液,黄色溶液为硫酸亚铁溶液 铁溶液 色 D 碳酸氢钠和碳酸钠 充分加 产生使澄清石灰水变浑浊的气体的物质为碳酸氢钠,无明显现象 3【淘宝搜索店铺:中小学教辅资源店 微信:mlxt2022】 热 的物质为碳酸钠 A. A B. B C. C D. D 15. 分析推理是化学学习中常用的思维方法。下列分析推理正确的是 的 A. 中和反应有盐和水生成,则生成盐和水 反应一定是中和反应 B. 由金属阳离子和酸根阴离子构成的化合物属于盐,则盐中一定有金属元素 C. 化合物由不同种元素组成,则由不同种元素组成的纯净物一定是化合物 D. 活泼金属与盐酸反应有气泡产生,则与盐酸反应有气泡产生的物质一定是活泼金属 16. 下列图像能正确反映对应变化关系的是 A. 向 的硫酸溶液中加水 B. 向盛有一定量二氧化锰的烧杯中加入过氧化氢溶液 C. 时,向一定量硝酸钾的不饱和溶液中加入硝酸钾 D. 向一定量的硫酸铜溶液中加入锌 第Ⅱ卷(非选择题 共52分) 二、填空题(本大题包括6小题,共30分。) 17. 化学用语是国际通用的化学语言。试用化学用语填空。 (1)3个磷原子______; (2)氩气______; (3)过氧化氢______; (4)标出氧化铝中氧元素的化合价______。 18. 下图为元素周期表中同一周期元素的名称、符号和原子结构示意图。请结合图示内容回答下列问题: 4【淘宝搜索店铺:中小学教辅资源店 微信:mlxt2022】 (1)图中各元素都属于元素周期表的第______周期; (2)硼原子结构示意图中的 ______; (3)图中与镁元素化学性质相似的是______(填元素符号); (4)氧原子在化学反应中通常易______(填“得到”或“失去”)电子,形成______(填“阴”或 “阳”)离子; (5)图中元素属于同一周期的原因是各原子的______(填字母序号)相同。 A. 质子数 B. 中子数 C. 电子层数 D. 最外层电子数 19. 化学来源于生活,服务于生活。请运用所学知识回答下列问题: (1)①小滨郊游时准备了下列食物,其中富含维生素的是______(填字母序号,下同); A.酱牛肉 B.矿泉水 C.面包 D.猕猴桃 ②小滨郊游途中发现一块麦地的小麦因缺肥导致叶子发黄并倒伏了一部分。这块麦地需要施用的复合肥是 ______; A. B. C. D. ③郊游结束后,为保护环境小滨将垃圾用塑料袋集中带走。塑料属于______; A.金属材料 B.复合材料 C.有机合成材料 D.无机非金属材料 (2)小凯想检测家中自来水是硬水还是软水。他取适量样品,加入肥皂水,搅拌后观察到样品中泡沫较 多,浮渣较少,则证明该自来水是______(填“软水”或“硬水”); (3)小新参观新能源汽车制造厂时,了解到开发和利用新能源是21世纪人类面临的重要课题。下列属于 新能源的是______。 A. 太阳能 B. 地热能 C. 石油 D. 天然气 20. 小海用如图所示的思维导图总结了稀盐酸的五条化学性质。分析下图并回答问题: (1)该同学向稀盐酸中滴入紫色石蕊试液,发现紫色石蕊试液由紫色变成______色; (2)铁锈的主要成分是 ,试写出盐酸除铁锈的化学方程式:______; (3)为验证性质③,该同学可选择的物质是______(填字母序号); 5【淘宝搜索店铺:中小学教辅资源店 微信:mlxt2022】 A. B. C. D. (4)小海把稀盐酸和氢氧化钠溶液混合后,发现无明显现象,再向溶液中滴入无色酚酞试液,观察到无 色溶液变成红色,则此时混合溶液的溶质是______(填化学式,不考虑酚酞)。 21. 下图是甲、乙、丙三种固体物质(均不含结晶水)的溶解度曲线。分析下图并回答问题: 的 (1)______℃时,甲、乙两种物质 溶解度相等; (2)将 时甲、乙、丙三种物质的饱和溶液分别降温到 ,所得溶液的溶质质量分数由大到小的顺 序为______; 的 (3) 时,欲将 甲物质完全溶解配制成该温度下甲 饱和溶液,则需加入水的质量为______g,溶 解过程中玻璃棒的作用是______; (4)当乙物质中混有少量甲物质时,可以用______(填“蒸发结晶”或“降温结晶”)的方法提纯乙。 22. A、B、C、D、E均为初中化学常见物质。A是由三种元素组成的化合物;C俗称火碱;D是大理石的 主要成分;E是一种氧化物且常用作固体干燥剂。它们的相互转化关系如图所示(“→”上方为条件或反 应物;部分生成物已略去)。 试回答下列问题: (1)写出物质E的化学式:______; (2)D转化为E的基本反应类型为______; (3)E转化为B的反应为______(填“放热”或“吸热”)反应; (4)写出 的化学方程式:______。 三、实验题(本大题包括2小题,共12分。) 6【淘宝搜索店铺:中小学教辅资源店 微信:mlxt2022】 的 23. 化学是一门以实验为基础 学科。结合下图有关实验,回答问题。 (1)过滤操作中仪器a的名称是______; (2)水电解器的b玻璃管中产生的气体是______(填化学式); (3)从安全角度考虑,在点燃氢气前,一定要检验氢气的______; (4)将铝片与铝合金互相刻划,可证明铝合金的硬度______(填“大于”“小于”或“等于”)铝片的 硬度。 24. 小明和同学们在学习了工业炼铁的原理后,想通过自制一氧化碳模拟工业炼铁的化学原理。 【查阅资料】①二氧化碳和炭粉在高温的条件下生成一氧化碳; ②饱和碳酸氢钠溶液不与二氧化碳反应; ③饱和碳酸氢钠溶液能吸收氯化氢气体; ④一氧化碳既不与氢氧化钠溶液反应也不与澄清石灰水反应; 【设计并进行实验】同学们设计并进行了下图所示的实验(装置气密性良好); 【实验分析】请结合实验完成下列问题: (1)装置A中发生反应的化学方程式为______; (2)装置C的作用是______; (3)装置E中发生反应的化学方程式为______; (4)反应完毕,装置H中玻璃管内观察到的现象是______,该反应的还原剂是______(填化学式); 7【淘宝搜索店铺:中小学教辅资源店 微信:mlxt2022】 (5)装置J中点燃的酒精灯的作用是______。 四、计算题(本大题包括1小题,共10分。) 25. 黄铜(铜和锌的合金)是一种重要的金属材料,常用于制造轴承、齿轮等机器零件。为回收黄铜中的 铜,某化学兴趣小组的同学取黄铜样品粉末 ,放入烧杯中,然后逐渐加入稀硫酸至过量。所加稀硫 酸的质量与剩余固体的质量关系如图所示。 试计算: (1)黄铜样品中铜的质量为______g; (2)恰好完全反应时,所得溶液的溶质质量分数是多少? 8