当前位置:首页>文档>精品解析:吉林省长春市2020年中考数学试题(解析版)_中考真题_2.数学中考真题2015-2024年_地区卷_吉林省_吉林长春20-23

精品解析:吉林省长春市2020年中考数学试题(解析版)_中考真题_2.数学中考真题2015-2024年_地区卷_吉林省_吉林长春20-23

  • 2026-04-16 16:31:00 2026-02-10 06:10:51

文档预览

精品解析:吉林省长春市2020年中考数学试题(解析版)_中考真题_2.数学中考真题2015-2024年_地区卷_吉林省_吉林长春20-23
精品解析:吉林省长春市2020年中考数学试题(解析版)_中考真题_2.数学中考真题2015-2024年_地区卷_吉林省_吉林长春20-23
精品解析:吉林省长春市2020年中考数学试题(解析版)_中考真题_2.数学中考真题2015-2024年_地区卷_吉林省_吉林长春20-23
精品解析:吉林省长春市2020年中考数学试题(解析版)_中考真题_2.数学中考真题2015-2024年_地区卷_吉林省_吉林长春20-23
精品解析:吉林省长春市2020年中考数学试题(解析版)_中考真题_2.数学中考真题2015-2024年_地区卷_吉林省_吉林长春20-23
精品解析:吉林省长春市2020年中考数学试题(解析版)_中考真题_2.数学中考真题2015-2024年_地区卷_吉林省_吉林长春20-23
精品解析:吉林省长春市2020年中考数学试题(解析版)_中考真题_2.数学中考真题2015-2024年_地区卷_吉林省_吉林长春20-23
精品解析:吉林省长春市2020年中考数学试题(解析版)_中考真题_2.数学中考真题2015-2024年_地区卷_吉林省_吉林长春20-23
精品解析:吉林省长春市2020年中考数学试题(解析版)_中考真题_2.数学中考真题2015-2024年_地区卷_吉林省_吉林长春20-23
精品解析:吉林省长春市2020年中考数学试题(解析版)_中考真题_2.数学中考真题2015-2024年_地区卷_吉林省_吉林长春20-23
精品解析:吉林省长春市2020年中考数学试题(解析版)_中考真题_2.数学中考真题2015-2024年_地区卷_吉林省_吉林长春20-23
精品解析:吉林省长春市2020年中考数学试题(解析版)_中考真题_2.数学中考真题2015-2024年_地区卷_吉林省_吉林长春20-23
精品解析:吉林省长春市2020年中考数学试题(解析版)_中考真题_2.数学中考真题2015-2024年_地区卷_吉林省_吉林长春20-23
精品解析:吉林省长春市2020年中考数学试题(解析版)_中考真题_2.数学中考真题2015-2024年_地区卷_吉林省_吉林长春20-23
精品解析:吉林省长春市2020年中考数学试题(解析版)_中考真题_2.数学中考真题2015-2024年_地区卷_吉林省_吉林长春20-23
精品解析:吉林省长春市2020年中考数学试题(解析版)_中考真题_2.数学中考真题2015-2024年_地区卷_吉林省_吉林长春20-23
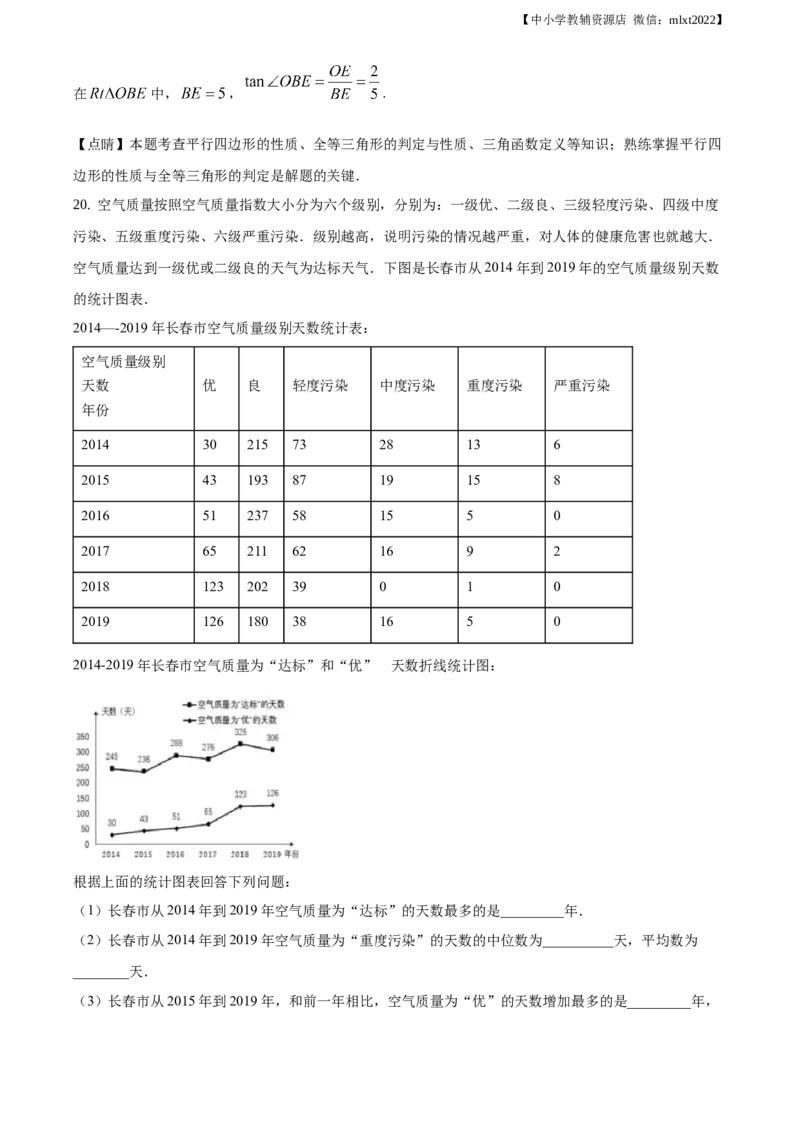
精品解析:吉林省长春市2020年中考数学试题(解析版)_中考真题_2.数学中考真题2015-2024年_地区卷_吉林省_吉林长春20-23
精品解析:吉林省长春市2020年中考数学试题(解析版)_中考真题_2.数学中考真题2015-2024年_地区卷_吉林省_吉林长春20-23
精品解析:吉林省长春市2020年中考数学试题(解析版)_中考真题_2.数学中考真题2015-2024年_地区卷_吉林省_吉林长春20-23
精品解析:吉林省长春市2020年中考数学试题(解析版)_中考真题_2.数学中考真题2015-2024年_地区卷_吉林省_吉林长春20-23
精品解析:吉林省长春市2020年中考数学试题(解析版)_中考真题_2.数学中考真题2015-2024年_地区卷_吉林省_吉林长春20-23
精品解析:吉林省长春市2020年中考数学试题(解析版)_中考真题_2.数学中考真题2015-2024年_地区卷_吉林省_吉林长春20-23
精品解析:吉林省长春市2020年中考数学试题(解析版)_中考真题_2.数学中考真题2015-2024年_地区卷_吉林省_吉林长春20-23
精品解析:吉林省长春市2020年中考数学试题(解析版)_中考真题_2.数学中考真题2015-2024年_地区卷_吉林省_吉林长春20-23
精品解析:吉林省长春市2020年中考数学试题(解析版)_中考真题_2.数学中考真题2015-2024年_地区卷_吉林省_吉林长春20-23
精品解析:吉林省长春市2020年中考数学试题(解析版)_中考真题_2.数学中考真题2015-2024年_地区卷_吉林省_吉林长春20-23
精品解析:吉林省长春市2020年中考数学试题(解析版)_中考真题_2.数学中考真题2015-2024年_地区卷_吉林省_吉林长春20-23
精品解析:吉林省长春市2020年中考数学试题(解析版)_中考真题_2.数学中考真题2015-2024年_地区卷_吉林省_吉林长春20-23
精品解析:吉林省长春市2020年中考数学试题(解析版)_中考真题_2.数学中考真题2015-2024年_地区卷_吉林省_吉林长春20-23
精品解析:吉林省长春市2020年中考数学试题(解析版)_中考真题_2.数学中考真题2015-2024年_地区卷_吉林省_吉林长春20-23

文档信息

文档格式
docx
文档大小
1.666 MB
文档页数
26 页
上传时间
2026-02-10 06:10:51

文档内容

【中小学教辅资源店 微信:mlxt2022】 2020 年长春市初中毕业学业水平考试数学 一、选择题(本大题共8小题) 1. 如图,数轴上被墨水遮盖的数可能为( ) A. B. C. D. 【1题答案】 【答案】C 【解析】 【分析】根据数轴上数的特点,在-2和-4之间的数即为答案; 【详解】由题可得,黑墨遮盖的数字在-2和-4之间,符合条件的数字只有-3. 故答案选C. 【点睛】本题主要考查了数轴的应用,准确分析是解题的关键. 2. 为了增加青少年的校外教育活动场所,长春市将建成面积约为79000平方米的新少年宫,预计2020年 12月正式投入使用.79000这个数用科学记数法表示为( ) A. B. C. D. 【2题答案】 【答案】B 【解析】 【分析】科学记数法的表示形式为a×10n的形式,其中1≤|a|<10,n为整数.确定n的值时,要看把原数 变成a时,小数点移动了多少位,n的绝对值与小数点移动的位数相同. 【详解】解:79000这个数用科学记数法表示为:7.9×104. 故选:B. 【点睛】此题考查科学记数法的表示方法.科学记数法的表示形式为a×10n的形式,其中1≤|a|<10,n为 整数,表示时关键要正确确定a的值以及n的值. 3. 下列图形是四棱柱的侧面展开图的是( ) A. B. C. D. 【3题答案】【中小学教辅资源店 微信:mlxt2022】 【答案】A 【解析】 【分析】根据四棱柱是由四个大小相同的长方形和两个全等的正方形构成的解答即可. 【详解】四棱柱的侧面是由四个同样大小的长方形围成的, 故选:A. 【点睛】此题考查了简单几何体的侧面展开图,正确掌握几何体的构成是解题的关键. 4. 不等式 的解集在数轴上表示正确的是( ) A. B. C. D. 【4题答案】 【答案】D 【解析】 【分析】先求出不等式的解集,再根据数轴的特点表示解集即可. 【详解】解: , 解得 , 在数轴上表示解集为: , 故选:D. 【点睛】此题考查了求不等式的解集,在数轴上表示不等式的解集,掌握数轴上表示不等式解集的方法是 解题的关键. 5. 比萨斜塔是意大利的著名建筑,其示意图如图所示.设塔顶中心点为点 ,塔身中心线 与垂直中心 线 的夹角为 ,过点 向垂直中心线 引垂线,垂足为点 .通过测量可得 、 、 的 长度,利用测量所得的数据计算 的三角函数值,进而可求 的大小.下列关系式正确的是( )【中小学教辅资源店 微信:mlxt2022】 A. B. C. D. 【5题答案】 【答案】A 【解析】 【分析】确定 所在的直角三角形,找出直角,然后根据三角函数的定义求解; 【详解】由题可知,△ABD是直角三角形, , , , . 选项B、C、D都是错误的, 故答案选A. 【点睛】本题主要考查了解直角三角形中三角函数的定义理解,准确理解是解题的关键. 6. 如图, 是⊙O的直径,点 、 在⊙O上, ,则 的大小为( ) A. B. C. D. 【6题答案】 【答案】B 【解析】 【分析】根据同弧所对的圆心角等于圆周角的2倍得到∠BOC=2∠BDC=40°,即可求出答案. 【详解】∵ ,【中小学教辅资源店 微信:mlxt2022】 ∴∠BOC=2∠BDC=40°, ∴∠AOC=180°-∠BOC=140°, 故选:B. 【点睛】此题考查了圆周角定理:同弧所对的圆心角等于圆周角的2倍,邻补角的定义. 7. 如图,在 中, , .按下列步骤作图:①分别以点 和点 为圆心,大于 一半的长为半径作圆弧,两弧相交于点 和点 ;②作直线 ,与边 相交于点 ,连结 . 下列说法不一定正确的是( ) A. B. C. D. 【7题答案】 【答案】C 【解析】 【分析】利用线段的垂直平分线的性质以及三角形内角和定理一一判断即可. 【详解】解:由作图可知, 垂直平分线段 , , , , , , , , , 故选项A,B,D正确, 故选:C. 【点睛】本题考查作图 基本作图,线段的垂直平分线的性质等知识,解题的关键是熟练掌握基本知识, 属于中考常考题型.【中小学教辅资源店 微信:mlxt2022】 8. 如图,在平面直角坐标系中,点 的坐标为 , 轴于点 ,点 是线段 上的点,连结 .点 在线段 上,且 .函数 的图象经过点 .当点 在线段 上运动 时, 的取值范围是( ) A. B. C. D. 【8题答案】 【答案】C 【解析】 【分析】设 , ,过 作 轴于点 ,由 ,用 表示 点坐标,再 求得 关于 的解析式,最后由不等式的性质求得 的取值范围. 【详解】解: 点 的坐标为 , 轴于点 , , , 设 , ,过 作 轴于点 , 则 , , , , ,【中小学教辅资源店 微信:mlxt2022】 , , , , , , , 把 , 代入函数 中,得 , , 故选:C. 【点睛】本题主要考查了反比例函数的图象与性质,相似三角形的性质与判定,不等式的性质,关键是求 出 关于 的解析式. 二、填空题(本大题共6小题) 9. 长春市净月潭国家森林公园门票的价格为成人票每张30元,儿童票每张15元.若购买 张成人票和 张儿童票,则共需花费___________元. 【9题答案】 【答案】 【解析】 【分析】根据单价×数量=总价,用代数式表示结果即可.【中小学教辅资源店 微信:mlxt2022】 【详解】解:根据单价×数量=总价得,共需花费 元, 故答案为: . 【点睛】本题考查代数式表示数量关系,理解和掌握单价×数量=总价是解题的关键,注意当代数式是多项 式且后面带单位时,代数式要加括号. 10. 分解因式: _____. 【10题答案】 【答案】 【解析】 【分析】直接根据平方差公式进行因式分解即可. 【详解】 , 故填 【点睛】本题考查利用平方差公式进行因式分解,解题关键在于熟练掌握平方差公式. 11. 已知关于 的方程 有两个相等的实数根,则 的值是_____.. 【11题答案】 【答案】1 【解析】 【详解】解:∵关于x的一元二次方程 有两个相等的实数根, ∴ =0, ∴∆4﹣4m=0, ∴m=1, 故答案为1. 12. 正五边形的一个外角的大小为__________度. 【12题答案】 【答案】72 【解析】 【分析】根据多边形的外角和是360°,依此即可求解.【中小学教辅资源店 微信:mlxt2022】 【详解】解:正五边形的一个外角的度数为: , 故答案为:72. 【点睛】本题考查了多边形的内角与外角,正确理解多边形的外角和为360°是解题的关键. 13. 如图,在 中, , ,以点 为圆心,线段 的长为半径作 ,交 的延长线于点 ,则阴影部分的面积为___________(结果保留 ). 【13题答案】 【答案】 【解析】 【分析】利用勾股定理求出 ,证明 ,根据 计算即可. 【详解】解: , , , , , 故答案为 . 【点睛】本题考查扇形的面积,等腰直角三角形的性质等知识,解题的关键是熟练掌握基本知识,属于中 考常考题型. 14. 如图,在平面直角坐标系中,点 的坐标为 ,点 的坐标为 .若抛物线 ( 、 为常数)与线段 交于 、 两点,且 ,则 的值为【中小学教辅资源店 微信:mlxt2022】 _________. 【14题答案】 【答案】 【解析】 【分析】根据题意,可以得到点 的坐标和 的值,然后将点 的坐标代入抛物线的解析式,即可得到 的值,本题得以解决. 【详解】解: 点 的坐标为 ,点 的坐标为 , , 抛物线 、 为常数)与线段 交于 、 两点,且 , 设点 的坐标为 ,则点 的坐标为 , , 抛物线 , 解得, . 【点睛】本题考查二次函数的性质、二次函数图象上点的坐标特征,解答本题的关键是明确题意,利用二 次函数的性质解答. 三、解答题(本大题共10小题) 15. 先化简,再求值: ,其中 . 【15题答案】 【答案】 ,9 【解析】 【分析】根据整式 的混合运算顺序进行化简,再代入值求解即可.【中小学教辅资源店 微信:mlxt2022】 【详解】解:原式 , 当 时,原式 . 【点睛】本题考查了整式的混合运算-化简求值,解决本题的关键是先进行整式的化简,再代入值求解. 16. 现有三张不透明的卡片,其中两张卡片的正面图案为“神舟首飞”,第三张卡片的正面图案为“保卫 和平”,卡片除正面图案不同外,其余均相同.将这三张卡片背面向上洗匀,从中随机抽取一张,记录图 案后放回,重新洗匀后再从中随机抽取一张.请用画树状图(或列表)的方法,求两次抽出的卡片上的图 案都是“保卫和平”的概率.(图案为“神舟首飞”的两张卡片分别记为 、 ,图案为“保卫和平” 的卡片记为 ) 【16题答案】 【答案】树状图见解析, 【解析】 【分析】根据题意画出树状图得出所有等可能的情况数,找出两次抽出的卡片上的图案都是“保卫和平”的 情况数,然后根据概率公式即可得出答案. 【详解】解:根据题意画树状图如下: 共有9种等可能的情况数,其中两次抽出的卡片上的图案都是“保卫和平”的有1种, ∴ (两次抽取的卡片上图案都是“保卫和平”) . 【点睛】此题考查的是用树状图法求概率.树状图法适合两步或两步以上完成的事件.用到的知识点为:【中小学教辅资源店 微信:mlxt2022】 概率=所求情况数与总情况数之比. 17. 图①、图②、图③均是 的正方形网格,每个小正方形的边长为1,每个小正方形的顶点称为格点, 线段 的端点均在格点上,只用无刻度的直尺,在给定的网格中,按下列要求以 为边画 . 要求: (1)在图①中画一个钝角三角形,在图②中画一个直角三角形,在图③中画一个锐角三角形; (2)三个图中所画的三角形的面积均不相等; (3)点 在格点上. 【17题答案】 【答案】见详解(答案不唯一) 【解析】 【分析】因为点C在格点上,故可将直尺的一角与线段AB点A重合,直尺边长所在直线经过 正方形 网格左上角第一个格点,继而以点A为旋转中心,逆时针旋转直尺,当直尺边长所在直线与正方形格点相 交时,确定点C的可能位置,顺次连接A、B、C三点,按照题目要求排除不符合条件的 C点,作图完毕 后可根据三角形面积公式判断其面积是否相等. 【详解】经计算可得下图中:图①面积为 ;图②面积为1;图③面积为 ,面积不等符合题目要求 (2),且符合题目要求(1)以及要求(3). 故本题答案如下:【中小学教辅资源店 微信:mlxt2022】 【点睛】本题考查三角形的分类及其作图,难度较低,按照题目要求作图即可. 18. 在国家精准扶贫的政策下,某村企生产的黑木耳获得了国家绿色食品标准认证,绿标的认证,使该村 企的黑木耳在市场上更有竞争力,今年每斤黑木耳的售价比去年增加了20元.预计今年的销量是去年的3 倍,年销售额为360万元.已知去年的年销售额为80万元,问该村企去年黑木耳的年销量为多少万斤? 【18题答案】 【答案】2万斤 【解析】 【分析】由题意设该村企去年黑木耳 的年销量为x万斤,则今年黑木耳的年销量为3x万斤,根据单价=总 价÷数量结合今年每斤黑木耳的售价比去年增加了20元,即可得出关于x的分式方程,解之经检验后即可 得出结论. 【详解】解:设该村企去年黑木耳的年销量为 万斤 依题意得 解得: 经检验 是原方程的根,且符合题意. 答:该村企去年黑木耳的年销量为2万斤. 【点睛】本题考查分式方程的应用,根据题意找准等量关系,正确列出分式方程是解题的关键. 19. 如图,在 中, 是对角线 、 的交点, , ,垂足分别为点 、 .【中小学教辅资源店 微信:mlxt2022】 (1)求证: . (2)若 , ,求 的值. 【19题答案】 【答案】(1)见解析1;(2) 【解析】 【分析】(1)根据题意由平行四边形性质得 ,由ASA证得 ,即可得出结论; (2)根据题意由(1)得OE=OF,则OE=2,在Rt△OEB中,由三角函数定义即可得出结果. 【详解】解:(1)证明:在 中, ∵ , ∴ ∴ 又∵ ∴ ∴ (2)∵ , ∴ ∵ ∴【中小学教辅资源店 微信:mlxt2022】 在 中, , . 【点睛】本题考查平行四边形的性质、全等三角形的判定与性质、三角函数定义等知识;熟练掌握平行四 边形的性质与全等三角形的判定是解题的关键. 20. 空气质量按照空气质量指数大小分为六个级别,分别为:一级优、二级良、三级轻度污染、四级中度 污染、五级重度污染、六级严重污染.级别越高,说明污染的情况越严重,对人体的健康危害也就越大. 空气质量达到一级优或二级良的天气为达标天气.下图是长春市从2014年到2019年的空气质量级别天数 的统计图表. 2014—-2019年长春市空气质量级别天数统计表: 空气质量级别 天数 优 良 轻度污染 中度污染 重度污染 严重污染 年份 2014 30 215 73 28 13 6 2015 43 193 87 19 15 8 2016 51 237 58 15 5 0 2017 65 211 62 16 9 2 2018 123 202 39 0 1 0 2019 126 180 38 16 5 0 的 2014-2019年长春市空气质量为“达标”和“优” 天数折线统计图: 根据上面的统计图表回答下列问题: (1)长春市从2014年到2019年空气质量为“达标”的天数最多的是_________年. (2)长春市从2014年到2019年空气质量为“重度污染”的天数的中位数为__________天,平均数为 ________天. (3)长春市从2015年到2019年,和前一年相比,空气质量为“优”的天数增加最多的是_________年,【中小学教辅资源店 微信:mlxt2022】 这一年空气质量为“优”的天数的年增长率约为___________(精确到 ).(空气质量为“优”=[(今 年空气质量为优的天数-去年空气质量为优的天数)÷去年空气质量为优的天数]×100% (4)你认为长春市从2014年到2019年哪一年的空气质量好?请说明理由. 【20题答案】 【答案】(1)2018;(2)7,8;(3)2018, ;(4)2018年空气质量好,2018年达标天气天数最 多 【解析】 【分析】(1)根据折线统计图中各年的“达标”天数比较即可得到答案; (2)根据统计表解答; (3)依次计算每年的空气质量为“优”增加的天数即可得到答案,利用公式计算增长率; (4)根据统计中空气质量为“达标”的天数最多的年份解答. 【详解】(1)从2014年到2019年空气质量为“达标”的天数分别为:245、236、288、276、325、306, 故答案为:2018; (2)从2014年到2019年空气质量为“重度污染”的天数由小到大重新排列为:1、5、5、9、13、15,所以 中位数为 ,平均数为 , 故答案为:7、8; (3)从2015年到2019年,和前一年相比,空气质量为“优”的天数依次增加的天数为: 43-30=13, 51-43=8, 65-51=14, 123-65=58, 126-123=3, 故增加天数最多的是2018年, 这一年空气质量为“优”的天数的年增长率约为 , 故答案为:2018, ; (4)2018年空气质量好,2018年达标天气天数最多. 【点睛】此题考查了统计知识,正确理解统计表的意义,从统计表中得到必要的信息是解决问题的关键.【中小学教辅资源店 微信:mlxt2022】 21. 已知 、 两地之间有一条长240千米的公路.甲车从 地出发匀速开往 地,甲车出发两小时后, 乙车从 地出发匀速开往 地,两车同时到达各自的目的地.两车行驶的路程之和 (千米)与甲车行驶 的时间 (时)之间的函数关系如图所示. (1)甲车的速度为_________千米/时, 的值为____________. (2)求乙车出发后, 与 之间的函数关系式. (3)当甲、乙两车相距100千米时,求甲车行驶的时间. 【21题答案】 【答案】(1)40,480;(2) ;(3) 小时或 小时 【解析】 【分析】(1)根据图象可知甲车行驶2行驶所走路程为80千米,据此即可求出甲车的速度;进而求出甲 车行驶6小时所走的路程为240千米,根据两车同时到达各自的目的地可得a=240×2=480; (2)根据题意直接运用待定系数法进行分析解得即可; (3)由题意分两车相遇前与相遇后两种情况分别列方程解答即可. 【详解】解:(1)由题意可知,甲车的速度为:80÷2=40(千米/时); a=40×6×2=480, 故答案为:40;480; (2)设 与 之间的函数关系式为 , 由图可知,函数图象过点 , , 所以 解得 所以 与 之间的函数关系式为 ; (3)两车相遇前:【中小学教辅资源店 微信:mlxt2022】 解得: 两车相遇后: 解得: 答:当甲、乙两车相距100千米时,甲车行驶的时间是 小时或 小时. 【点睛】本题考查一次函数的应用,解答本题的关键是明确题意,找出所求问题需要的条件,利用数形结 合的思想解答. 22. 【教材呈现】下图是华师版八年级下册数学教材第121页的部分内容. 【问题解决】(1)如图①,已知矩形纸片 ,将矩形纸片沿过点 的直线折叠,使点 落在边 上,点 的对应点为 ,折痕为 ,点 在 上.求证:四边形 是正方形. 【规律探索】(2)由【问题解决】可知,图①中的 为等腰三角形.现将图①中的点 沿 向右 平移至点 处(点 在点 的左侧),如图②,折痕为 ,点 在 上,点 在 上,那么 还是等腰三角形吗?请说明理由. 【结论应用】(3)在图②中,当 时,将矩形纸片继续折叠如图③,使点 与点 重合,折痕为【中小学教辅资源店 微信:mlxt2022】 ,点 在 上.要使四边形 为菱形,则 ___________. 【22题答案】 【答案】(1)见解析;(2)是等腰三角形,见解析;(3) 【解析】 【分析】(1)由题意根据邻边相等的矩形是正方形进行分析证明即可. (2)根据题意证明∠QFP=∠FPQ即可解决问题. (3)由题意证明△PFQ,△PGA都是等边三角形,设QF=m,求出AB,AD(用m表示)即可解决问题. 【详解】解:(1)证明:如图①中, ∵四边形ABCD是矩形, ∴∠A=∠ADA′=90°, 由翻折可知,∠DA′E=∠A=90°, ∴∠A=∠ADA′=∠DA′E=90°, ∴四边形AEA′D是矩形, ∵DA=DA′, ∴四边形AEA′D是正方形. (2)结论:△PQF是等腰三角形. 理由:如图②中, ∵四边形ABCD是矩形, ∴AB∥CD, ∴∠QFP=∠APF, 由翻折可知,∠APF=∠FPQ, ∴∠QFP=∠FPQ,【中小学教辅资源店 微信:mlxt2022】 ∴QF=QP, ∴△PFQ是等腰三角形. (3)如图③中, ∵四边形PGQF是菱形, ∴PG=GQ=FQ=PF, ∵QF=QP, ∴△PFQ,△PGQ都是等边三角形,设QF=m, ∵∠FQP=60°,∠PQD′=90°, ∴∠DQD′=30°, ∵∠D′=90°, ∴ , 由翻折可知, , ∴ , ∴ . 故答案为: . 【点睛】本题属于四边形综合题,考查矩形的性质,正方形的判定和性质,菱形的性质,解直角三角形, 等边三角形的判定和性质等知识,解题的关键是理解题意,灵活运用所学知识解决问题. 23. 如图①,在 中, , , .点 从点 出发,沿折线 以每【中小学教辅资源店 微信:mlxt2022】 秒5个单位长度的速度向点 运动,同时点 从点 出发,沿 以每秒2个单位长度的速度向点 运动, 点 到达点 时,点 、 同时停止运动.当点 不与点 、 重合时,作点 关于直线 的对称点 ,连结 交 于点 ,连结 、 .设点 的运动时间为 秒. (1)当点 与点 重合时,求 的值. (2)用含 的代数式表示线段 的长. (3)当 为锐角三角形时,求 的取值范围. (4)如图②,取 的中点 ,连结 .当直线 与 的一条直角边平行时,直接写出 的值. 【23题答案】 【答案】(1) ;(2) 或 ;(3) 或 ;(4) 或 . 【解析】 【分析】(1)由题意直接根据AB=4,构建方程进行分析求解即可; (2)由题意分两种情形:当点P在线段AB上时,首先利用勾股定理求出AC,再求出AE即可解决问题. 当点P在线段BC上时,在Rt△PCE中,求出CE即可; (3)根据题意求出两种特殊情形下△PDQ是等腰直角三角形时t的值,即可求解当△PDQ为锐角三角形 时t的取值范围; (4)根据题意分两种情形:如图7,当点P在线段AB上,QM∥AB时以及如图8,当点P在线段BC上, QM∥BC时,分别求解即可. 【详解】解:(1)当点 与点 重合时, .解得 .【中小学教辅资源店 微信:mlxt2022】 (2)在 中, , ,所以 , , . 如图3,当点 在 上时,在 中, . 所以 . 如图4,当点 在 上时,在 中, , . 所以 . (3)先考虑临界值等腰直角三角形 ,那么 . 如图5,当点 在 上时,在 中, . 而 , 由 ,得 .解得 . 如图6,当点 在 上时,在 中, . 而 , 由 ,得 ,解得 . 再数形结合写结论. 当 为锐角三角形时, ,或 .【中小学教辅资源店 微信:mlxt2022】 (4) 的值为 或 . 如图7,当点 在 上时,延长 交 于点 . 作 于 ,作 于 . 由 , 是 的中点,可知 是 的中点. 在 中, ,所以 . 在 中, . 由 ,解得 . 如图8,当点 在 上时,作 于 . 由 , 是 的中点,可知 . 在 中, ,所以 . 在 中, . 由 ,得 ,解得 .【中小学教辅资源店 微信:mlxt2022】 【点睛】本题属于几何变换综合题,考查解直角三角形,平行线的性质,等腰直角三角形的判定和性质等 知识,解题的关键是学会用分类讨论的思想思考问题,学会利用参数构建方程解决问题. 的 24. 在平面直角坐标系中,函数 ( 为常数) 图象与 轴交于点 . (1)求点 的坐标. (2)当此函数图象经过点 时,求此函数的表达式,并写出函数值 随 的增大而增大时 的取值范 围. (3)当 时,若函数 ( 为常数)的图象的最低点到直线 的距离为2,求 的 值. (4)设 , 三个顶点的坐标分别为 、 、 .当函数 ( 为常数)的图象与 的直角边有交点时,交点记为点 .过点 作 轴的垂线,【中小学教辅资源店 微信:mlxt2022】 与此函数图象的另一个交点为 ( 与 不重合),过点 作 轴的垂线,与此函数图象的另一个交点 为 .若 ,直接写出 的值. 【24题答案】 【答案】(1) ;(2) ,当 时, 随 的增大而增大;(3) 或 ;(4) 或 【解析】 【分析】(1)由题意可知当x=0时,代入 ,进行求解即可得出结果; (2)根据题意先求出函数的表达式,进而得出抛物线的开口向上,对称轴为x=-1,则当x>-1时,y随x 的增大而增大; (3)由题意分 ,那么对称轴在 轴右侧以及 ,那么对称轴在 轴左侧两种情况,依次建立含a 的方程分别进行求解即可; (4)根据题意分当点 在 边上时以及当点 在 边上时两种情况,进而求得PP′并利用 ,建立含a的方程分别进行求解即可. 【详解】解:(1)当 时, ,所以 . (2)将点 代入 ,得 ,解得 . 所以 如图1所示,抛物线的开口向上,对称轴为 . 因此当 时, 随 的增大而增大. (3)抛物线 的对称轴为 ,顶点坐标为 . 如图2,如果 ,那么对称轴在 轴右侧,最低点就是 . 已知最低点到直线 的距离为2,所以 .解得 .【中小学教辅资源店 微信:mlxt2022】 如图3,如果 ,那么对称轴在 轴左侧,顶点 就是最低点. 所以 .整理,得 . 解得 (如图3),或 (舍去正值). (4) ,或 . 抛物线 的对称轴为 , ,所以 . ①如图4,当点 在 边上时, . 因为 ,所以点 在对称轴 的左侧.所以 . 由 ,得 .解得 . ②如图5,当点 在 边上时, . 解方程 ,得 .所以 . 由 ,得 . 解得 ,或 (舍去).【中小学教辅资源店 微信:mlxt2022】 【点睛】本题是二次函数综合题,主要考查二次函数图象与性质、待定系数法求解析式、直角三角形的性 质、解一元二次方程、分类讨论等知识;熟练掌握二次函数图象与性质是解题的关键.