当前位置:首页>文档>高一数学期中模拟卷(参考答案)_1多考区联考试卷_1021高一期中模拟卷(天津专用)黄金卷:2024-2025学年高一上学期期中模拟考试

高一数学期中模拟卷(参考答案)_1多考区联考试卷_1021高一期中模拟卷(天津专用)黄金卷:2024-2025学年高一上学期期中模拟考试

  • 2026-04-25 23:20:42 2026-02-10 07:33:45

文档预览

高一数学期中模拟卷(参考答案)_1多考区联考试卷_1021高一期中模拟卷(天津专用)黄金卷:2024-2025学年高一上学期期中模拟考试
高一数学期中模拟卷(参考答案)_1多考区联考试卷_1021高一期中模拟卷(天津专用)黄金卷:2024-2025学年高一上学期期中模拟考试
高一数学期中模拟卷(参考答案)_1多考区联考试卷_1021高一期中模拟卷(天津专用)黄金卷:2024-2025学年高一上学期期中模拟考试
高一数学期中模拟卷(参考答案)_1多考区联考试卷_1021高一期中模拟卷(天津专用)黄金卷:2024-2025学年高一上学期期中模拟考试
高一数学期中模拟卷(参考答案)_1多考区联考试卷_1021高一期中模拟卷(天津专用)黄金卷:2024-2025学年高一上学期期中模拟考试
高一数学期中模拟卷(参考答案)_1多考区联考试卷_1021高一期中模拟卷(天津专用)黄金卷:2024-2025学年高一上学期期中模拟考试
高一数学期中模拟卷(参考答案)_1多考区联考试卷_1021高一期中模拟卷(天津专用)黄金卷:2024-2025学年高一上学期期中模拟考试
高一数学期中模拟卷(参考答案)_1多考区联考试卷_1021高一期中模拟卷(天津专用)黄金卷:2024-2025学年高一上学期期中模拟考试
高一数学期中模拟卷(参考答案)_1多考区联考试卷_1021高一期中模拟卷(天津专用)黄金卷:2024-2025学年高一上学期期中模拟考试
高一数学期中模拟卷(参考答案)_1多考区联考试卷_1021高一期中模拟卷(天津专用)黄金卷:2024-2025学年高一上学期期中模拟考试

文档信息

文档格式
docx
文档大小
0.264 MB
文档页数
6 页
上传时间
2026-02-10 07:33:45

文档内容

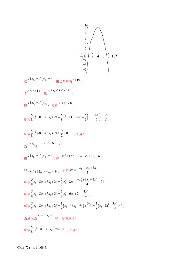
2024-2025 学年高一数学上学期期中模拟卷 01 参考答案 第一部分(选择题 共45分) 一、单项选择题:本题共9小题,每小题5分,共45分.在每小题给出的四个选项中,只有一个选项是符 合题目要求的. 1 2 3 4 5 6 7 8 9 D A A D C C A A A 第二部分(非选择题 共115分) 二、填空题:本题共6小题,每小题5分,共30分. 10. 11.4 12. 13. ; 14. ; 15. 三、解答题:本题共5小题,共75分.解答应写出文字说明、证明过程或演算步骤. 16.(14分) 【解析】(1)因为 , 所以 , , 所以C (A∪B)={x|x<1}, R 因为C A={x|x<3}, R 所以(C A)∩B={x|1≤x<3}.(8分) R (2)因为 ,所以 , 因为 , 所以 ,解得 . 所以实数a的取值范围是 .(14分) 17.(15分) 学科网(北京)股份有限公司【解析】(1)解:当 时,可得 , 则函数 表示开口向上的抛物线,且对称轴为 , 所以函数 在 上单调递减,在 上单调递增, 所以,当 时,函数 取得最小值,最小值为 , 又因为 ,所以函数的最大值为 , 综上可得,函数 的最大值为 ,最小值为 .(7分) (2)解:由不等式 ,即 , 即不等式 , 当 时,不等式即为 ,此时不等式的解集为空集; 当 时,即 时,不等式的解集为 ; 当 时,即 时,不等式的解集为 , 综上可得:当 时,不等式的解集为空集; 当 时,不等式的解集为 ;当 时,不等式的解集为 .(15分) 18.(15分) 【解析】(1) 为奇函数,理由如下: 因为 ,且函数定义域为 ,关于原点对称, 所以 为奇函数. (5分) (2)任取0