当前位置:首页>文档>高二数学第一次月考卷(全解全析)(1)_1多考区联考_2510052025-2026学年高二数学上学期第一次月考

高二数学第一次月考卷(全解全析)(1)_1多考区联考_2510052025-2026学年高二数学上学期第一次月考

  • 2026-04-16 09:16:28 2026-02-11 02:54:38

文档预览

高二数学第一次月考卷(全解全析)(1)_1多考区联考_2510052025-2026学年高二数学上学期第一次月考
高二数学第一次月考卷(全解全析)(1)_1多考区联考_2510052025-2026学年高二数学上学期第一次月考
高二数学第一次月考卷(全解全析)(1)_1多考区联考_2510052025-2026学年高二数学上学期第一次月考
高二数学第一次月考卷(全解全析)(1)_1多考区联考_2510052025-2026学年高二数学上学期第一次月考
高二数学第一次月考卷(全解全析)(1)_1多考区联考_2510052025-2026学年高二数学上学期第一次月考
高二数学第一次月考卷(全解全析)(1)_1多考区联考_2510052025-2026学年高二数学上学期第一次月考
高二数学第一次月考卷(全解全析)(1)_1多考区联考_2510052025-2026学年高二数学上学期第一次月考
高二数学第一次月考卷(全解全析)(1)_1多考区联考_2510052025-2026学年高二数学上学期第一次月考
高二数学第一次月考卷(全解全析)(1)_1多考区联考_2510052025-2026学年高二数学上学期第一次月考
高二数学第一次月考卷(全解全析)(1)_1多考区联考_2510052025-2026学年高二数学上学期第一次月考
高二数学第一次月考卷(全解全析)(1)_1多考区联考_2510052025-2026学年高二数学上学期第一次月考
高二数学第一次月考卷(全解全析)(1)_1多考区联考_2510052025-2026学年高二数学上学期第一次月考
高二数学第一次月考卷(全解全析)(1)_1多考区联考_2510052025-2026学年高二数学上学期第一次月考
高二数学第一次月考卷(全解全析)(1)_1多考区联考_2510052025-2026学年高二数学上学期第一次月考
高二数学第一次月考卷(全解全析)(1)_1多考区联考_2510052025-2026学年高二数学上学期第一次月考
高二数学第一次月考卷(全解全析)(1)_1多考区联考_2510052025-2026学年高二数学上学期第一次月考
高二数学第一次月考卷(全解全析)(1)_1多考区联考_2510052025-2026学年高二数学上学期第一次月考
高二数学第一次月考卷(全解全析)(1)_1多考区联考_2510052025-2026学年高二数学上学期第一次月考
高二数学第一次月考卷(全解全析)(1)_1多考区联考_2510052025-2026学年高二数学上学期第一次月考
高二数学第一次月考卷(全解全析)(1)_1多考区联考_2510052025-2026学年高二数学上学期第一次月考
高二数学第一次月考卷(全解全析)(1)_1多考区联考_2510052025-2026学年高二数学上学期第一次月考
高二数学第一次月考卷(全解全析)(1)_1多考区联考_2510052025-2026学年高二数学上学期第一次月考

文档信息

文档格式
docx
文档大小
0.837 MB
文档页数
18 页
上传时间
2026-02-11 02:54:38

文档内容

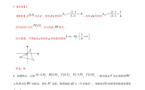
2025-2026 学年高二数学上学期第一次月考卷 (时间:120分钟 满分:150分) 注意事项: 1.答卷前,考生务必将自己的姓名、准考证号填写在答题卡上。 2.回答选择题时,选出每小题答案后,用铅笔把答题卡上对应题目的答案标号涂黑。如需改动, 用橡皮擦干净后,再选涂其他答案标号。回答非选择题时,将答案写在答题卡上。写在本试卷上无效。 3.考试结束后,将本试卷和答题卡一并交回。 4.测试范围:数列+直线方程。 5.难度系数:0.65。 第一部分(选择题 共58分) 一、选择题:本题共8小题,每小题5分,共40分。在每小题给出的四个选项中,只有一项是符合题目要 求的。 1.已知经过 两点的直线的斜率为 ,则实数 的值为( ) A. B. C. D. 1.【答案】B 【解析】依题意, . 故选:B 2.已知等差数列 的公差为 ,若 , , 成等比数列, 是 的前 项和,则 等于( ) A. 8 B. 6 C. D. 0 2.【答案】D 【解析】 , , 成等比数列, , 1 / 18 学科网(北京)股份有限公司,化为 ,解得 , . 则 故选:D. 3.直线 的方程为: ,若直线 不经过第一象限,则实数 的取值范围为( ) A. B. C. D. 3.【答案】C 【解析】若直线 斜率不存在,即 不经过第一象限, 若直线 斜率存在,即 , 所以 , 综上实数 的取值范围为 , 故选:C. 4.等差数列 的前 项和为 ,若 为定值时 也是定值,则 的值为( ) A. 13 B. 11 C. 9 D. 不能确定 4.【答案】A 【解析】因为 为定值且 ,故 为定值,故 为定值,其中 为公差. 而 , 故当且仅当 即 时, 为定值. 故选:A. 2 / 18 学科网(北京)股份有限公司5.已知点 , ,若过点 的直线与线段AB相交,则该直线斜率的取值范围是( ) A. B. C. D. 5.【答案】B 【解析】记 为点 ,直线 的斜率 ,直线 的斜率 , 因为直线l过点 ,且与线段 相交, 结合图象,可得直线 的斜率 的取值范围是 . 故选:B. 6.如图所示,已知 , , , , ,一束光线从 点出发射到 上的 点经 反射后,再经 反射,落到线段 上(不含端点),则直线 的斜率的取值范围是 ( ) A. B. C. D. 6.【答案】B 3 / 18 学科网(北京)股份有限公司【解析】如图所示,从特殊位置考虑. ∵点 关于直线 的对称点为 , ∴直线 的斜率 ,∴ . ∵ 关于直线 的对称点为 , 点 关于直线 的对称点为 ,此时直线 的斜率不存在. 综上, . 故选:B. 7.意大利著名数学家斐波那契在研究兔子繁殖问题时,发现有这样一列数:1,1,2,3,5,…其中从第 三项起,每个数等于它前面两个数的和,后来人们把这样的一列数组成的数列称为“斐波那契数列”,若此 数列被2除后的余数构成一个新数列 ,则数列 的前2026项的和为( ) A. 1350 B. 676 C. 1351 D. 1352 7.【答案】C 【解析】 , 除以2 所得余数分别为 , 即 是周期为3 的周期数列, 因为 , , 4 / 18 学科网(北京)股份有限公司所以数列 的 前2026 项和为 . 故选:C 8.过定点 的直线 与过定点 的直线 交于点 ( 与 不重合),则 面积的最大值为( ) A. 4 B. C. 2 D. 8.【答案】B 【解析】 【分析】根据方程可得定点A、B,并且可判断两直线垂直,然后利用基本不等式可得. 【详解】动直线 化为 ,可知定点 , 动直线 化为 ,令 , 解得 ,可知定点 , 又 , 所以直线 与直线 垂直, 为交点, . 则 ,当且仅当 时,等号成立. 即 面积的最大值为 . 故选:B. 二、选择题:本题共3小题,每小题6分,共18分.在每小题给出的选项中,有多项符合题目要求.全部 选对的得6分,部分选对的得部分分,有选错的得0分. 9.以下四个命题叙述正确的是( ) 5 / 18 学科网(北京)股份有限公司A. 直线 在 轴上的截距是1 B. 直线 和 的交点为 ,且 在直线 上,则 的值是 C. 设点 是直线 上的动点, 为原点,则 的最小值是√2 D. 直线 ,若 ,则 或2 9.【答案】BC 【解析】对于A,直线 在 轴上的截距是 ,A错误; 对于B,由 解得 ,即 ,则 ,解得 ,B正确; 对于C,依题意, ,C正确; 对于D,当 时,直线 重合,D错误. 故选:BC 10.已知数列 满足 ,且 ,则下列正确的有( ) A. B. 数列 的前 项和为 C. 数列 的前 项和为 D. 若数列 的前 项和为 ,则 10.【答案】ACD 6 / 18 学科网(北京)股份有限公司【解析】对A,由 可得 ,故数列 是以 为首项,1为公差的等 差数列, 故 ,即 ,则 ,故A正确; 对B, ,故数列 的前 项和为 ,故B错误; 对C, ,则前 项和为 ,故C正确; 对D, , 则 , 又易得 随 的增大而增大,故 ,即 ,故D正确. 故选:ACD 11.对于数列 ( ),定义 为 , ,…, 中最大值( )( ),把 数列 称为数列 的“M值数列”.如数列2,2,3,7,6的“M值数列”为2,2,3,7,7,则( ) A. 若数列 是递减数列,则 为常数列 B. 若数列 是递增数列,则有 7 / 18 学科网(北京)股份有限公司C. 满足 为2,3,3,5,5的所有数列 的个数为8 D. 若 ,记 为 的前n项和,则 11.【答案】ABD 【解析】若数列 是递减数列,则 是 , ,…, 中最大值( )( ), 所以 , 为常数列,A选项正确; 若数列 是递增数列,则 是 , ,…, 中最大值( )( ), 所以 ,即 ,B选项正确; 满足 为2,3,3,5,5,则 , , 可以取1,2,3, , 可以取1,2,3,4, 5, 所有数列 的个数为 ,C选项错误; 若 ,则数列 中奇数项构成递增的正项数列,偶数项都是负数, 则有 , 所以 ,D选项正确. 故选:ABD. 第二部分(非选择题 共92分) 三、填空题:本题共3小题,每小题5分,共15分。 12.已知 是公比为 的等比数列,若 ,则 ______. 12.【答案】25 8 / 18 学科网(北京)股份有限公司【解析】因为 所以 故答案为:25 13.若直线 过点 ,且在两坐标轴上的截距互为相反数,则直线 的方程为______. 13.【答案】 或 【解析】当截距为0时,设直线 的方程为 , 将 代入得, ,解得 , 故直线 的方程为 , 当截距不为0时,设直线 的方程为 , 将 代入得, ,解得 , 故直线 的方程为 , 故直线 的方程为 或 . 故答案为: 或 14.已知数列 满足 ,若不等式 对任意的 都成立,则实数 的取值范围是______. 9 / 18 学科网(北京)股份有限公司14.【答案】 【解析】由 , ,可得 , 整理得 , , 所以数列 表示首项为2,公差为1的等差数列. ,则 , 又由 恒成立,即 ,对 恒成立, 令 , 当且仅当 ,即 时等号成立,又 , 当 时, ,当 时, , 由对勾函数 的单调性,得 ,所以 . 所以实数 的取值范围是 . 故答案为: . 四、解答题:本题共5小题,共77分。解答应写出文字说明、证明过程或演算步骤。 15.(13分) 10 / 18 学科网(北京)股份有限公司已知 中, , , 边所在直线方程为 , 边上的高所在直线方 程为 . (1)求 边所在直线的方程; (2)求 边的中线所在直线的方程. 15.(13分) 【解析】(1)因为 边所在直线方程为 ,故可设 , 因为 边上的高所在直线方程为 , 所以 ,所以 , 所以 ,故所求为 ,即 ; (2)因为 , ,设 中点为 ,所以 , 因为 ,所以 , 故所求为 ,即 . 16.(15分)在等差数列 中, 的前 项的和为 . (1)求数列 的通项公式; (2)求 取最大值时 的值; (3)设 ,求 . 11 / 18 学科网(北京)股份有限公司16.(15分) 【解析】(1)由题意知在等差数列 中, ,设公差为d, 则 ,则 , 故 ,故通项公式 . (2)结合(1)可得 , 当 时, 取最大值. (3) , 由 ,得 , 即 时有 , 时有 , 若 , , 若 时, , 综合上述 . 17.(15分) 已知直线 和直线 交于点 ,求满足下列条件的一般式直线方程. (1)过点 且与直线 平行; (2)过点 且到原点的距离等于2; 12 / 18 学科网(北京)股份有限公司(3)直线 关于直线 对称的直线. 17.(15分) 【解析】(1)联立方程 ,解得 , . 设与直线 平行的直线为 , 由题意得: , , 故满足要求的直线方程为: . (2)①当所求直线斜率不存在时,直线方程为 ,满足到原点的距离为2; ②当所求直线斜率存在时,设直线方程为 , 即 , 原点到该直线的距离为 , 解得 , 直线方程为 , 综上所述,符合题意的直线方程为 或 . (3)在 上取一点 ,设点 关于直线 的对称点为点 ,则 ,解得 , , 又 ,则直线 的方程即所求直线方程,为 , 化简得, . 13 / 18 学科网(北京)股份有限公司故所求的直线方程为: . 18.(17分) 如图,将一块等腰直角三角板 置于平面直角坐标系中,已知 ,点 是三角板内一点,现因三角板中部分( 内部,不含边界)受损坏,要把损坏的部分锯 掉,可用经过 的任意一直线 将其锯成 . (1)求直线 的斜率的取值范围; (2)若 点满足 ,这样的直线 是否存在,如不存在,请说明理由;若存在,求出此 时直线 的方程; (3)如何确定直线 的斜率,才能使锯成的 的面积取得最大值和最小值?并求出最值. 18.(17分) 【解析】(1)依题意,得MN方程为: ,即 , 14 / 18 学科网(北京)股份有限公司∵AB⊥OB,|AB|=|OB|=1,∴直线OA方程为:y=x ,直线AB方程为:x=1, 联立 ,得 . 联立 ,得 . 所以 ,解得 ; (2)若 ,可得 ,解得 , 所以直线 的方程为 ,整理得 (3)在 中,由(1)知: S = = . AMN △ 设 ,设 .∴f(t)在 是单调递增.∴当 时, ,即 当1﹣k= 时即k= 时,(S) = max 当 时, ,即当1﹣k= 时即k= 时,(S) = , min 面积的取值范围 . 15 / 18 学科网(北京)股份有限公司19.(17分) 在数列 中,按照下面方式构成“次生数列” ,…, ,其中 表示数列 中最 小的项. (1)若数列 中各项均不相等,只有4项, ,且 ,请写出 的 所有“次生数列” ; (2)若 满足 ,且 为等比数列, 的“次生数列”为 . (i)求 的值; (ii)求 的前 项和 . 19.(17分) 【解析】(1)因为 , , 中各项均不相等, 所以 , 若 ,此时“次生数列” 为 , 若 ,此时“次生数列” 为 , 若 ,此时“次生数列” 为 , 所以“次生数列” 的定义可知 有3个, 分别为 或 或 . (2)(i)设数列 的公比为 , 16 / 18 学科网(北京)股份有限公司因为 为等比数列,且 , 所以 ,即 ,解得 , 所以 ,则 . 由“次生数列” 的定义,可知 , , 故 . (ii)由(i)可知当 为偶数时, , ① ,② 由①-②得 , 所以 . 当 时, , 17 / 18 学科网(北京)股份有限公司当 为奇数且 时, 为偶数, 则 , 显然当 时,也符合上式, 故 18 / 18 学科网(北京)股份有限公司