当前位置:首页>文档>专题06立体几何(解答题)(解析版)_赠送:2008-2024全套高考真题_高考数学真题_送高考数学五年真题(2019-2023)分项汇编(全国通用)

专题06立体几何(解答题)(解析版)_赠送:2008-2024全套高考真题_高考数学真题_送高考数学五年真题(2019-2023)分项汇编(全国通用)

  • 2026-04-11 09:04:07 2026-02-13 20:39:53

文档预览

专题06立体几何(解答题)(解析版)_赠送:2008-2024全套高考真题_高考数学真题_送高考数学五年真题(2019-2023)分项汇编(全国通用)
专题06立体几何(解答题)(解析版)_赠送:2008-2024全套高考真题_高考数学真题_送高考数学五年真题(2019-2023)分项汇编(全国通用)
专题06立体几何(解答题)(解析版)_赠送:2008-2024全套高考真题_高考数学真题_送高考数学五年真题(2019-2023)分项汇编(全国通用)
专题06立体几何(解答题)(解析版)_赠送:2008-2024全套高考真题_高考数学真题_送高考数学五年真题(2019-2023)分项汇编(全国通用)
专题06立体几何(解答题)(解析版)_赠送:2008-2024全套高考真题_高考数学真题_送高考数学五年真题(2019-2023)分项汇编(全国通用)
专题06立体几何(解答题)(解析版)_赠送:2008-2024全套高考真题_高考数学真题_送高考数学五年真题(2019-2023)分项汇编(全国通用)
专题06立体几何(解答题)(解析版)_赠送:2008-2024全套高考真题_高考数学真题_送高考数学五年真题(2019-2023)分项汇编(全国通用)
专题06立体几何(解答题)(解析版)_赠送:2008-2024全套高考真题_高考数学真题_送高考数学五年真题(2019-2023)分项汇编(全国通用)
专题06立体几何(解答题)(解析版)_赠送:2008-2024全套高考真题_高考数学真题_送高考数学五年真题(2019-2023)分项汇编(全国通用)
专题06立体几何(解答题)(解析版)_赠送:2008-2024全套高考真题_高考数学真题_送高考数学五年真题(2019-2023)分项汇编(全国通用)
专题06立体几何(解答题)(解析版)_赠送:2008-2024全套高考真题_高考数学真题_送高考数学五年真题(2019-2023)分项汇编(全国通用)
专题06立体几何(解答题)(解析版)_赠送:2008-2024全套高考真题_高考数学真题_送高考数学五年真题(2019-2023)分项汇编(全国通用)
专题06立体几何(解答题)(解析版)_赠送:2008-2024全套高考真题_高考数学真题_送高考数学五年真题(2019-2023)分项汇编(全国通用)
专题06立体几何(解答题)(解析版)_赠送:2008-2024全套高考真题_高考数学真题_送高考数学五年真题(2019-2023)分项汇编(全国通用)
专题06立体几何(解答题)(解析版)_赠送:2008-2024全套高考真题_高考数学真题_送高考数学五年真题(2019-2023)分项汇编(全国通用)
专题06立体几何(解答题)(解析版)_赠送:2008-2024全套高考真题_高考数学真题_送高考数学五年真题(2019-2023)分项汇编(全国通用)
专题06立体几何(解答题)(解析版)_赠送:2008-2024全套高考真题_高考数学真题_送高考数学五年真题(2019-2023)分项汇编(全国通用)
专题06立体几何(解答题)(解析版)_赠送:2008-2024全套高考真题_高考数学真题_送高考数学五年真题(2019-2023)分项汇编(全国通用)
专题06立体几何(解答题)(解析版)_赠送:2008-2024全套高考真题_高考数学真题_送高考数学五年真题(2019-2023)分项汇编(全国通用)
专题06立体几何(解答题)(解析版)_赠送:2008-2024全套高考真题_高考数学真题_送高考数学五年真题(2019-2023)分项汇编(全国通用)
专题06立体几何(解答题)(解析版)_赠送:2008-2024全套高考真题_高考数学真题_送高考数学五年真题(2019-2023)分项汇编(全国通用)
专题06立体几何(解答题)(解析版)_赠送:2008-2024全套高考真题_高考数学真题_送高考数学五年真题(2019-2023)分项汇编(全国通用)
专题06立体几何(解答题)(解析版)_赠送:2008-2024全套高考真题_高考数学真题_送高考数学五年真题(2019-2023)分项汇编(全国通用)
专题06立体几何(解答题)(解析版)_赠送:2008-2024全套高考真题_高考数学真题_送高考数学五年真题(2019-2023)分项汇编(全国通用)
专题06立体几何(解答题)(解析版)_赠送:2008-2024全套高考真题_高考数学真题_送高考数学五年真题(2019-2023)分项汇编(全国通用)
专题06立体几何(解答题)(解析版)_赠送:2008-2024全套高考真题_高考数学真题_送高考数学五年真题(2019-2023)分项汇编(全国通用)
专题06立体几何(解答题)(解析版)_赠送:2008-2024全套高考真题_高考数学真题_送高考数学五年真题(2019-2023)分项汇编(全国通用)
专题06立体几何(解答题)(解析版)_赠送:2008-2024全套高考真题_高考数学真题_送高考数学五年真题(2019-2023)分项汇编(全国通用)
专题06立体几何(解答题)(解析版)_赠送:2008-2024全套高考真题_高考数学真题_送高考数学五年真题(2019-2023)分项汇编(全国通用)
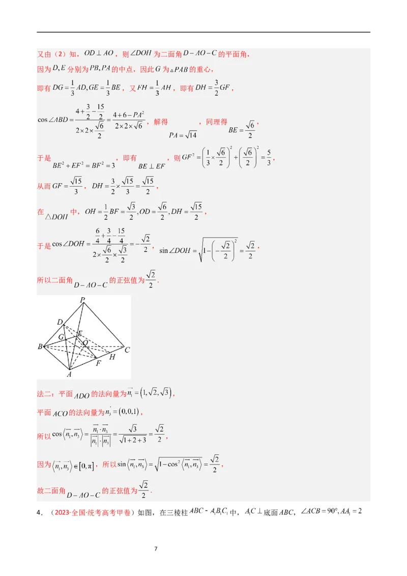
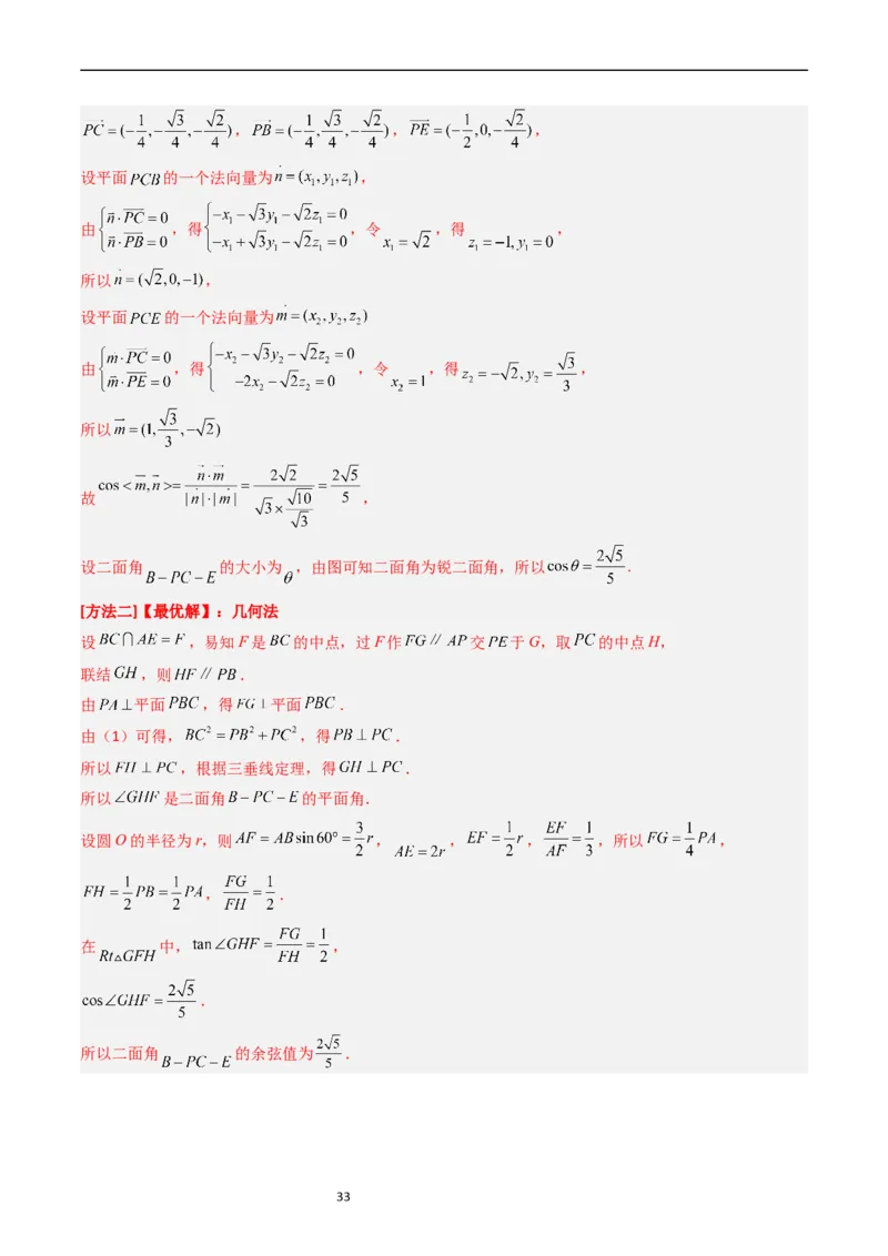
专题06立体几何(解答题)(解析版)_赠送:2008-2024全套高考真题_高考数学真题_送高考数学五年真题(2019-2023)分项汇编(全国通用)
专题06立体几何(解答题)(解析版)_赠送:2008-2024全套高考真题_高考数学真题_送高考数学五年真题(2019-2023)分项汇编(全国通用)
专题06立体几何(解答题)(解析版)_赠送:2008-2024全套高考真题_高考数学真题_送高考数学五年真题(2019-2023)分项汇编(全国通用)
专题06立体几何(解答题)(解析版)_赠送:2008-2024全套高考真题_高考数学真题_送高考数学五年真题(2019-2023)分项汇编(全国通用)
专题06立体几何(解答题)(解析版)_赠送:2008-2024全套高考真题_高考数学真题_送高考数学五年真题(2019-2023)分项汇编(全国通用)
专题06立体几何(解答题)(解析版)_赠送:2008-2024全套高考真题_高考数学真题_送高考数学五年真题(2019-2023)分项汇编(全国通用)
专题06立体几何(解答题)(解析版)_赠送:2008-2024全套高考真题_高考数学真题_送高考数学五年真题(2019-2023)分项汇编(全国通用)
专题06立体几何(解答题)(解析版)_赠送:2008-2024全套高考真题_高考数学真题_送高考数学五年真题(2019-2023)分项汇编(全国通用)
专题06立体几何(解答题)(解析版)_赠送:2008-2024全套高考真题_高考数学真题_送高考数学五年真题(2019-2023)分项汇编(全国通用)
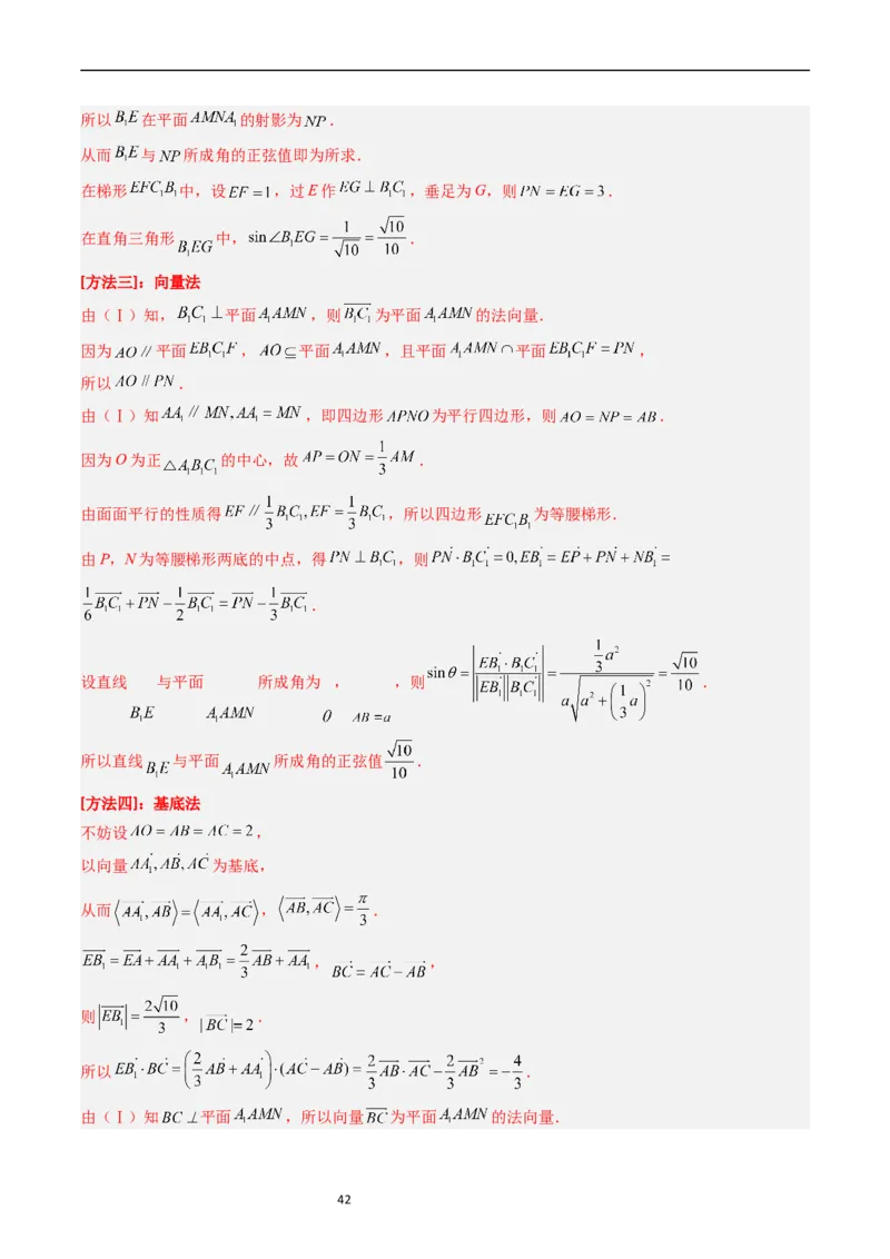
专题06立体几何(解答题)(解析版)_赠送:2008-2024全套高考真题_高考数学真题_送高考数学五年真题(2019-2023)分项汇编(全国通用)
专题06立体几何(解答题)(解析版)_赠送:2008-2024全套高考真题_高考数学真题_送高考数学五年真题(2019-2023)分项汇编(全国通用)
专题06立体几何(解答题)(解析版)_赠送:2008-2024全套高考真题_高考数学真题_送高考数学五年真题(2019-2023)分项汇编(全国通用)
专题06立体几何(解答题)(解析版)_赠送:2008-2024全套高考真题_高考数学真题_送高考数学五年真题(2019-2023)分项汇编(全国通用)
专题06立体几何(解答题)(解析版)_赠送:2008-2024全套高考真题_高考数学真题_送高考数学五年真题(2019-2023)分项汇编(全国通用)
专题06立体几何(解答题)(解析版)_赠送:2008-2024全套高考真题_高考数学真题_送高考数学五年真题(2019-2023)分项汇编(全国通用)
专题06立体几何(解答题)(解析版)_赠送:2008-2024全套高考真题_高考数学真题_送高考数学五年真题(2019-2023)分项汇编(全国通用)
专题06立体几何(解答题)(解析版)_赠送:2008-2024全套高考真题_高考数学真题_送高考数学五年真题(2019-2023)分项汇编(全国通用)
专题06立体几何(解答题)(解析版)_赠送:2008-2024全套高考真题_高考数学真题_送高考数学五年真题(2019-2023)分项汇编(全国通用)
专题06立体几何(解答题)(解析版)_赠送:2008-2024全套高考真题_高考数学真题_送高考数学五年真题(2019-2023)分项汇编(全国通用)
专题06立体几何(解答题)(解析版)_赠送:2008-2024全套高考真题_高考数学真题_送高考数学五年真题(2019-2023)分项汇编(全国通用)
专题06立体几何(解答题)(解析版)_赠送:2008-2024全套高考真题_高考数学真题_送高考数学五年真题(2019-2023)分项汇编(全国通用)
专题06立体几何(解答题)(解析版)_赠送:2008-2024全套高考真题_高考数学真题_送高考数学五年真题(2019-2023)分项汇编(全国通用)
专题06立体几何(解答题)(解析版)_赠送:2008-2024全套高考真题_高考数学真题_送高考数学五年真题(2019-2023)分项汇编(全国通用)
专题06立体几何(解答题)(解析版)_赠送:2008-2024全套高考真题_高考数学真题_送高考数学五年真题(2019-2023)分项汇编(全国通用)

文档信息

文档格式
docx
文档大小
4.588 MB
文档页数
49 页
上传时间
2026-02-13 20:39:53

文档内容

五年(2019-2023)年高考真题分项汇编 专题 05 立体几何(解答题) 立体几何在理科数解答题中一般出现在20题左右的位置。主要考查空间几何体对应的空间角问题,考查二 面角的频率比较大。 1.(2023·全国·新课标Ⅰ卷)如图,在正四棱柱 中, .点 分 别在棱 , 上, . (1)证明: ; (2)点 在棱 上,当二面角 为 时,求 . 【答案】(1)证明见解析; (2)1 【分析】(1)建立空间直角坐标系,利用向量坐标相等证明; (2)设 ,利用向量法求二面角,建立方程求出 即可得解. 【详解】(1)以 为坐标原点, 所在直线为 轴建立空间直角坐标系,如图, 1则 , , , 又 不在同一条直线上, . (2)设 , 则 , 设平面 的法向量 , 则 , 令 ,得 , , 设平面 的法向量 , 则 , 令 ,得 , , , 化简可得, , 解得 或 , 或 , 2. 2.(20203全国·统考新课标Ⅱ卷)如图,三棱锥 中, , , ,E为BC的中点. (1)证明: ; (2)点F满足 ,求二面角 的正弦值. 【答案】(1)证明见解析; (2) . 【分析】(1)根据题意易证 平面 ,从而证得 ; (2)由题可证 平面 ,所以以点 为原点, 所在直线分别为 轴,建立空间直角 坐标系,再求出平面 的一个法向量,根据二面角的向量公式以及同角三角函数关系即可解出. 【详解】(1)连接 ,因为E为BC中点, ,所以 ①, 因为 , ,所以 与 均为等边三角形, ,从而 ②,由①②, , 平面 , 所以, 平面 ,而 平面 ,所以 . (2)不妨设 , , . , ,又 , 平面 平面 . 以点 为原点, 所在直线分别为 轴,建立空间直角坐标系,如图所示: 设 , 设平面 与平面 的一个法向量分别为 , 3二面角 平面角为 ,而 , 因为 ,所以 ,即有 , ,取 ,所以 ; ,取 ,所以 , 所以, ,从而 . 所以二面角 的正弦值为 . 3.(2023·全国·统考高考乙卷)如图,在三棱锥 中, , , , ,BP,AP,BC的中点分别为D,E,O, ,点F在AC上, . (1)证明: 平面 ; (2)证明:平面 平面BEF; (3)求二面角 的正弦值. 【答案】(1)证明见解析; (2)证明见解析; (3) . 【分析】(1)根据给定条件,证明四边形 为平行四边形,再利用线面平行的判定推理作答. (2)法一:由(1)的信息,结合勾股定理的逆定理及线面垂直、面面垂直的判定推理作答.法二:过点 作 轴 平面 ,建立如图所示的空间直角坐标系,设 ,所以由 求出 点坐标,再 4求出平面 与平面BEF的法向量 ,由 即可证明; (3)法一:由(2)的信息作出并证明二面角的平面角,再结合三角形重心及余弦定理求解作答.法二:求 出平面 与平面 的法向量,由二面角的向量公式求解即可. 【详解】(1)连接 ,设 ,则 , , , 则 , 解得 ,则 为 的中点,由 分别为 的中点, 于是 ,即 ,则四边形 为平行四边形, ,又 平面 平面 , 所以 平面 . (2)法一:由(1)可知 ,则 ,得 , 因此 ,则 ,有 , 又 , 平面 , 则有 平面 ,又 平面 ,所以平面 平面 . 法二:因为 ,过点 作 轴 平面 ,建立如图所示的空间直角坐标系, , 在 中, , 在 中, , 5设 ,所以由 可得: , 可得: ,所以 , 则 ,所以 , , 设平面 的法向量为 , 则 ,得 , 令 ,则 ,所以 , 设平面 的法向量为 , 则 ,得 , 令 ,则 ,所以 , , 所以平面 平面BEF; (3)法一:过点 作 交 于点 ,设 , 由 ,得 ,且 , 6又由(2)知, ,则 为二面角 的平面角, 因为 分别为 的中点,因此 为 的重心, 即有 ,又 ,即有 , ,解得 ,同理得 , 于是 ,即有 ,则 , 从而 , , 在 中, , 于是 , , 所以二面角 的正弦值为 . 法二:平面 的法向量为 , 平面 的法向量为 , 所以 , 因为 ,所以 , 故二面角 的正弦值为 . 4.(2023·全国·统考高考甲卷)如图,在三棱柱 中, 底面ABC, 7, 到平面 的距离为1. (1)证明: ; (2)已知 与 的距离为2,求 与平面 所成角的正弦值. 【答案】(1)证明见解析 (2) 【分析】(1)根据线面垂直,面面垂直的判定与性质定理可得 平面 ,再由勾股定理求出 为中点,即可得证; (2)利用直角三角形求出 的长及点 到面的距离,根据线面角定义直接可得正弦值. 【详解】(1)如图, 底面 , 面 , ,又 , 平面 , , 平面ACC A,又 平面 , 1 1 平面 平面 , 过 作 交 于 ,又平面 平面 , 平面 , 平面 到平面 的距离为1, , 在 中, , 8设 ,则 , 为直角三角形,且 , , , , ,解得 , , (2) , , 过B作 ,交 于D,则 为 中点, 由直线 与 距离为2,所以 , , , 在 , , 延长 ,使 ,连接 , 由 知四边形 为平行四边形, , 平面 ,又 平面 , 则在 中, , , 在 中, , , , 又 到平面 距离也为1, 所以 与平面 所成角的正弦值为 . 5.(2022·全国·统考高考乙卷)如图,四面体 中, ,E为 的 中点. 9(1)证明:平面 平面 ; (2)设 ,点F在 上,当 的面积最小时,求 与平面 所成的角的正 弦值. 【答案】(1)证明过程见解析 (2) 与平面 所成的角的正弦值为 【分析】(1)根据已知关系证明 ,得到 ,结合等腰三角形三线合一得到垂直关 系,结合面面垂直的判定定理即可证明; (2)根据勾股定理逆用得到 ,从而建立空间直角坐标系,结合线面角的运算法则进行计算即可. 【详解】(1)因为 ,E为 的中点,所以 ; 在 和 中,因为 , 所以 ,所以 ,又因为E为 的中点,所以 ; 又因为 平面 , ,所以 平面 , 因为 平面 ,所以平面 平面 . (2)连接 ,由(1)知, 平面 ,因为 平面 , 所以 ,所以 , 当 时, 最小,即 的面积最小. 因为 ,所以 , 又因为 ,所以 是等边三角形, 因为E为 的中点,所以 , , 因为 ,所以 , 在 中, ,所以 . 以 为坐标原点建立如图所示的空间直角坐标系 , 则 ,所以 , 10设平面 的一个法向量为 , 则 ,取 ,则 , 又因为 ,所以 , 所以 , 设 与平面 所成的角的正弦值为 , 所以 , 所以 与平面 所成的角的正弦值为 . 6.(2022·全国·统考高考甲卷)在四棱锥 中, 底面 . (1)证明: ; (2)求PD与平面 所成的角的正弦值. 【答案】(1)证明见解析; 11(2) . 【分析】(1)作 于 , 于 ,利用勾股定理证明 ,根据线面垂直的性质可得 ,从而可得 平面 ,再根据线面垂直的性质即可得证; (2)以点 为原点建立空间直角坐标系,利用向量法即可得出答案. 【详解】(1)证明:在四边形 中,作 于 , 于 , 因为 , 所以四边形 为等腰梯形, 所以 , 故 , , 所以 , 所以 , 因为 平面 , 平面 , 所以 , 又 , 所以 平面 , 又因为 平面 , 所以 ; (2)解:如图,以点 为原点建立空间直角坐标系, , 则 , 则 , 设平面 的法向量 , 则有 ,可取 , 12则 , 所以 与平面 所成角的正弦值为 . 7.(2022·全国·新课标Ⅰ卷)如图,直三棱柱 的体积为4, 的面积为 . (1)求A到平面 的距离; (2)设D为 的中点, ,平面 平面 ,求二面角 的正弦值. 【答案】(1) (2) 【分析】(1)由等体积法运算即可得解; (2)由面面垂直的性质及判定可得 平面 ,建立空间直角坐标系,利用空间向量法即可得解. 【详解】(1)在直三棱柱 中,设点A到平面 的距离为h, 13则 , 解得 , 所以点A到平面 的距离为 ; (2)取 的中点E,连接AE,如图,因为 ,所以 , 又平面 平面 ,平面 平面 , 且 平面 ,所以 平面 , 在直三棱柱 中, 平面 , 由 平面 , 平面 可得 , , 又 平面 且相交,所以 平面 , 所以 两两垂直,以B为原点,建立空间直角坐标系,如图, 由(1)得 ,所以 , ,所以 , 则 ,所以 的中点 , 则 , , 设平面 的一个法向量 ,则 , 可取 , 设平面 的一个法向量 ,则 , 可取 , 14则 , 所以二面角 的正弦值为 . 8.(2022全国·统考新课标Ⅱ卷)如图, 是三棱锥 的高, , ,E是 的中 点. (1)证明: 平面 ; (2)若 , , ,求二面角 的正弦值. 【答案】(1)证明见解析 (2) 【分析】(1)连接 并延长交 于点 ,连接 、 ,根据三角形全等得到 ,再根据直角 三角形的性质得到 ,即可得到 为 的中点从而得到 ,即可得证; (2)建立适当的空间直角坐标系,利用空间向量法求出二面角的余弦的绝对值,再根据同角三角函数的 基本关系计算可得. 【详解】(1)证明:连接 并延长交 于点 ,连接 、 , 因为 是三棱锥 的高,所以 平面 , 平面 , 所以 、 , 又 ,所以 ,即 ,所以 , 又 ,即 ,所以 , , 所以 所以 ,即 ,所以 为 的中点,又 为 的中点,所以 , 又 平面 , 平面 , 所以 平面 15(2)解:过点 作 ,如图建立空间直角坐标系, 因为 , ,所以 , 又 ,所以 ,则 , , 所以 ,所以 , , , , 所以 , 则 , , , 设平面 的法向量为 ,则 ,令 ,则 , ,所以 ; 设平面 的法向量为 ,则 , 令 ,则 , ,所以 ; 所以 . 设二面角 的大小为 ,则 , 所以 ,即二面角 的正弦值为 . 169.(2021·全国·统考高考乙卷)如图,四棱锥 的底面是矩形, 底面 , , 为 的中点,且 . (1)求 ; (2)求二面角 的正弦值. 【答案】(1) ;(2) 【分析】(1)以点 为坐标原点, 、 、 所在直线分别为 、 、 轴建立空间直角坐标系,设 ,由已知条件得出 ,求出 的值,即可得出 的长; (2)求出平面 、 的法向量,利用空间向量法结合同角三角函数的基本关系可求得结果. 【详解】(1)[方法一]:空间坐标系+空间向量法 平面 ,四边形 为矩形,不妨以点 为坐标原点, 、 、 所在直线分别为 、 、 轴建立如下图所示的空间直角坐标系 , 17设 ,则 、 、 、 、 , 则 , , ,则 ,解得 ,故 ; [方法二]【最优解】:几何法+相似三角形法 如图,连结 .因为 底面 ,且 底面 ,所以 . 又因为 , ,所以 平面 . 又 平面 ,所以 . 从而 . 因为 ,所以 . 18所以 ,于是 . 所以 .所以 . [方法三]:几何法+三角形面积法 如图,联结 交 于点N. 由[方法二]知 . 在矩形 中,有 ,所以 ,即 . 令 ,因为M为 的中点,则 , , . 由 ,得 ,解得 ,所以 . (2)[方法一]【最优解】:空间坐标系+空间向量法 设平面 的法向量为 ,则 , , 由 ,取 ,可得 , 设平面 的法向量为 , , , 由 ,取 ,可得 , , 19所以, , 因此,二面角 的正弦值为 . [方法二]:构造长方体法+等体积法 如图,构造长方体 ,联结 ,交点记为H,由于 , ,所以 平面 .过H作 的垂线,垂足记为G. 联结 ,由三垂线定理可知 , 故 为二面角 的平面角. 易证四边形 是边长为 的正方形,联结 , . , 由等积法解得 . 在 中, ,由勾股定理求得 . 所以, ,即二面角 的正弦值为 . 【整体点评】(1)方法一利用空坐标系和空间向量的坐标运算求解;方法二利用线面垂直的判定定理, 结合三角形相似进行计算求解,运算简洁,为最优解;方法三主要是在几何证明的基础上,利用三角形等 面积方法求得. (2)方法一,利用空间坐标系和空间向量方法计算求解二面角问题是常用的方法,思路清晰,运算简洁, 为最优解;方法二采用构造长方体方法+等体积转化法,技巧性较强,需注意进行严格的论证. 10.(2021·全国·统考高考甲卷)已知直三棱柱 中,侧面 为正方形, , 20E,F分别为 和 的中点,D为棱 上的点. (1)证明: ; (2)当 为何值时,面 与面 所成的二面角的正弦值最小? 【答案】(1)证明见解析;(2) 【分析】(1)方法二:通过已知条件,确定三条互相垂直的直线,建立合适的空间直角坐标系,借助空 间向量证明线线垂直; (2)方法一:建立空间直角坐标系,利用空间向量求出二面角的平面角的余弦值最大,进而可以确定出 答案; 【详解】(1)[方法一]:几何法 因为 ,所以 . 又因为 , ,所以 平面 .又因为 ,构造正方体 ,如图所示, 过E作 的平行线分别与 交于其中点 ,连接 , 因为E,F分别为 和 的中点,所以 是BC的中点, 易证 ,则 . 又因为 ,所以 . 又因为 ,所以 平面 . 又因为 平面 ,所以 . 21[方法二] 【最优解】:向量法 因为三棱柱 是直三棱柱, 底面 , , , ,又 , 平面 .所以 两两垂直. 以 为坐标原点,分别以 所在直线为 轴建立空间直角坐标系,如图. , . 由题设 ( ). 因为 , 所以 ,所以 . [方法三]:因为 , ,所以 ,故 , ,所以 ,所以 . (2)[方法一]【最优解】:向量法 设平面 的法向量为 , 因为 , 所以 ,即 . 令 ,则 因为平面 的法向量为 , 设平面 与平面 的二面角的平面角为 , 22则 . 当 时, 取最小值为 , 此时 取最大值为 . 所以 ,此时 . [方法二] :几何法 如图所示,延长 交 的延长线于点S,联结 交 于点T,则平面 平面 . 作 ,垂足为H,因为 平面 ,联结 ,则 为平面 与平面 所成 二面角的平面角. 设 ,过 作 交 于点G. 由 得 . 又 ,即 ,所以 . 又 ,即 ,所以 . 所以 . 则 , 23所以,当 时, . [方法三]:投影法 如图,联结 , 在平面 的投影为 ,记面 与面 所成的二面角的平面角为 ,则 . 设 ,在 中, . 在 中, ,过D作 的平行线交 于点Q. 在 中, . 在 中,由余弦定理得 , , , , , 当 ,即 ,面 与面 所成的二面角的正弦值最小,最小值为 . 【整体点评】第一问,方法一为常规方法,不过这道题常规方法较为复杂,方法二建立合适的空间直角坐 标系,借助空间向量求解是最简单,也是最优解;方法三利用空间向量加减法则及数量积的定义运算进行 证明不常用,不过这道题用这种方法过程也很简单,可以开拓学生的思维. 第二问:方法一建立空间直角坐标系,利用空间向量求出二面角的平面角是最常规的方法,也是最优方法; 方法二:利用空间线面关系找到,面 与面 所成的二面角,并求出其正弦值的最小值,不是很 24容易找到;方法三:利用面 在面 上的投影三角形的面积与 面积之比即为面 与面 所成的二面角的余弦值,求出余弦值的最小值,进而求出二面角的正弦值最小,非常好的方法,开阔 学生的思维. 11.(2021·全国·新课标Ⅰ卷)如图,在三棱锥 中,平面 平面 , , 为 的中点. (1)证明: ; (2)若 是边长为1的等边三角形,点 在棱 上, ,且二面角 的大小为 , 求三棱锥 的体积. 【答案】(1)证明见解析;(2) . 【分析】(1)由题意首先证得线面垂直,然后利用线面垂直的定义证明线线垂直即可; (2)方法二:利用几何关系找到二面角的平面角,然后结合相关的几何特征计算三棱锥的体积即可. 【详解】(1)因为 ,O是 中点,所以 , 因为 平面 ,平面 平面 , 且平面 平面 ,所以 平面 . 因为 平面 ,所以 . (2)[方法一]:通性通法—坐标法 如图所示,以O为坐标原点, 为 轴, 为y轴,垂直 且过O的直线为x轴,建立空间直角坐标 系 , 则 ,设 , 25所以 , 设 为平面 的法向量, 则由 可求得平面 的一个法向量为 . 又平面 的一个法向量为 , 所以 ,解得 . 又点C到平面 的距离为 ,所以 , 所以三棱锥 的体积为 . [方法二]【最优解】:作出二面角的平面角 如图所示,作 ,垂足为点G. 作 ,垂足为点F,连结 ,则 . 因为 平面 ,所以 平面 , 为二面角 的平面角. 因为 ,所以 . 由已知得 ,故 . 又 ,所以 . 因为 , 26. [方法三]:三面角公式 考虑三面角 ,记 为 , 为 , , 记二面角 为 .据题意,得 . 对 使用三面角的余弦公式,可得 , 化简可得 .① 使用三面角的正弦公式,可得 ,化简可得 .② 将①②两式平方后相加,可得 , 由此得 ,从而可得 . 如图可知 ,即有 , 根据三角形相似知,点G为 的三等分点,即可得 , 结合 的正切值, 可得 从而可得三棱锥 的体积为 . 【整体点评】(2)方法一:建立空间直角坐标系是解析几何中常用的方法,是此类题的通性通法,其好处在 于将几何问题代数化,适合于复杂图形的处理; 方法二:找到二面角的平面角是立体几何的基本功,在找出二面角的同时可以对几何体的几何特征有更加 深刻的认识,该法为本题的最优解. 方法三:三面角公式是一个优美的公式,在很多题目的解析中灵活使用三面角公式可以使得问题更加简单、 直观、迅速. 12.(2021全国·统考新课标Ⅱ卷)在四棱锥 中,底面 是正方形,若 . 27(1)证明:平面 平面 ; (2)求二面角 的平面角的余弦值. 【答案】(1)证明见解析;(2) . 【分析】(1)取 的中点为 ,连接 ,可证 平面 ,从而得到面 面 . (2)在平面 内,过 作 ,交 于 ,则 ,建如图所示的空间坐标系,求出平面 、平面 的法向量后可求二面角的余弦值. 【详解】 (1)取 的中点为 ,连接 . 因为 , ,则 , 而 ,故 . 在正方形 中,因为 ,故 ,故 , 因为 ,故 ,故 为直角三角形且 , 因为 ,故 平面 , 因为 平面 ,故平面 平面 . (2)在平面 内,过 作 ,交 于 ,则 , 结合(1)中的 平面 ,故可建如图所示的空间坐标系. 28则 ,故 . 设平面 的法向量 , 则 即 ,取 ,则 , 故 . 而平面 的法向量为 ,故 . 二面角 的平面角为锐角,故其余弦值为 . 13.(2020·全国·Ⅰ卷)如图, 为圆锥的顶点, 是圆锥底面的圆心, 为底面直径, . 是底面的内接正三角形, 为 上一点, . (1)证明: 平面 ; (2)求二面角 的余弦值. 【答案】(1)证明见解析;(2) . 【分析】(1)要证明 平面 ,只需证明 , 即可; (2)方法一:过O作 ∥BC交AB于点N,以O为坐标原点,OA为x轴,ON为y轴建立如图所示的空 29间直角坐标系,分别算出平面 的一个法向量 ,平面 的一个法向量为 ,利用公式 计算即可得到答案. 【详解】(1)[方法一]:勾股运算法证明 由题设,知 为等边三角形,设 , 则 , ,所以 , 又 为等边三角形,则 ,所以 , ,则 ,所以 , 同理 ,又 ,所以 平面 ; [方法二]:空间直角坐标系法 不妨设 ,则 ,由圆锥性质知 平面 ,所以 ,所以 .因为O是 的外心,因此 . 在底面过 作 的平行线与 的交点为W,以O为原点, 方向为x轴正方向, 方向为y轴正方 向, 方向为z轴正方向,建立空间直角坐标系 , 则 , , , , . 所以 , , . 故 , . 所以 , . 又 ,故 平面 . 30[方法三]: 因为 是底面圆O的内接正三角形,且 为底面直径,所以 . 因为 (即 )垂直于底面, 在底面内,所以 . 又因为 平面 , 平面 , ,所以 平面 . 又因为 平面 ,所以 . 设 ,则F为 的中点,连结 . 设 ,且 , 则 , , . 因此 ,从而 . 又因为 ,所以 平面 . [方法四]:空间基底向量法 如图所示,圆锥底面圆O半径为R,连结 , ,易得 , 31因为 ,所以 . 以 为基底, 平面 ,则 , ,且 , 所以 . 故 .所以 ,即 . 同理 .又 ,所以 平面 . (2)[方法一]:空间直角坐标系法 过O作 ∥BC交AB于点N,因为 平面 ,以O为坐标原点,OA为x轴,ON为y轴建立如图 所示的空间直角坐标系, 则 , 32, , , 设平面 的一个法向量为 , 由 ,得 ,令 ,得 , 所以 , 设平面 的一个法向量为 由 ,得 ,令 ,得 , 所以 故 , 设二面角 的大小为 ,由图可知二面角为锐二面角,所以 . [方法二]【最优解】:几何法 设 ,易知F是 的中点,过F作 交 于G,取 的中点H, 联结 ,则 . 由 平面 ,得 平面 . 由(1)可得, ,得 . 所以 ,根据三垂线定理,得 . 所以 是二面角 的平面角. 设圆O的半径为r,则 , , , ,所以 , , . 在 中, , . 所以二面角 的余弦值为 . 33[方法三]:射影面积法 如图所示,在 上取点H,使 ,设 ,连结 . 由(1)知 ,所以 .故 平面 . 所以,点H在面 上的射影为N. 故由射影面积法可知二面角 的余弦值为 . 在 中,令 ,则 ,易知 .所以 . 又 ,故 所以二面角 的余弦值为 . 【整体点评】本题以圆锥为载体,隐含条件是圆锥的轴垂直于底面,(1)方法一:利用勾股数进行运算 证明,是在给出数据去证明垂直时的常用方法;方法二:选择建系利用空间向量法,给空间立体感较弱的 学生提供了可行的途径;方法三:利用线面垂直,结合勾股定理可证出;方法四:利用空间基底解决问题, 此解法在解答题中用的比较少; 34(2)方法一:建系利用空间向量法求解二面角,属于解答题中求角的常规方法;方法二:利用几何法, 通过三垂线法作出二面角,求解三角形进行求解二面角,适合立体感强的学生;方法三:利用射影面积法 求解二面角,提高解题速度. 14.(2020·全国·新课标Ⅰ卷)如图,四棱锥P-ABCD的底面为正方形,PD⊥底面ABCD.设平面PAD与 平面PBC的交线为l. (1)证明:l⊥平面PDC; (2)已知PD=AD=1,Q为l上的点,求PB与平面QCD所成角的正弦值的最大值. 【答案】(1)证明见解析;(2) . 【分析】(1)利用线面垂直的判定定理证得 平面 ,利用线面平行的判定定理以及性质定理, 证得 ,从而得到 平面 ; (2)方法一:根据题意,建立相应的空间直角坐标系,得到相应点的坐标,设出点 ,之后求得 平面 的法向量以及向量 的坐标,求得 的最大值,即为直线 与平面 所成角的 正弦值的最大值. 【详解】(1)证明: 在正方形 中, ,因为 平面 , 平面 , 所以 平面 ,又因为 平面 ,平面 平面 , 所以 ,因为在四棱锥 中,底面 是正方形,所以 且 平面 ,所以 因为 ,所以 平面 . (2)[方法一]【最优解】:通性通法 因为 两两垂直,建立空间直角坐标系 ,如图所示: 35因为 ,设 , 设 ,则有 , 设平面 的法向量为 , 则 ,即 , 令 ,则 ,所以平面 的一个法向量为 ,则 根据直线的方向向量与平面法向量所成角的余弦值的绝对值即为直线与平面所成角的正弦值,所以直线PB 与平面QCD所成角的正弦值等于 ,当且仅当 时取等号,所以直线 与平面 所成角的正弦值的最大值为 . [方法二]:定义法 如图2,因为 平面 , ,所以 平面 . 在平面 中,设 . 36在平面 中,过P点作 ,交 于F,连接 . 因为 平面 平面 ,所以 . 又由 平面 , 平面 ,所以 平面 .又 平面 ,所以 .又由 平面 平面 ,所以 平面 ,从而 即为 与平面 所成角. 设 ,在 中,易求 . 由 与 相似,得 ,可得 . 所以 ,当且仅当 时等号成立. [方法三]:等体积法 如图3,延长 至G,使得 ,连接 , ,则 ,过G点作 平面 ,交平 面 于M,连接 ,则 即为所求. 设 ,在三棱锥 中, . 在三棱锥 中, . 由 得 , 解得 , 当且仅当 时等号成立. 在 中,易求 ,所以直线PB与平面QCD所成角的正弦值的最大值为 . 37【整体点评】(2)方法一:根据题意建立空间直角坐标系,直线PB与平面QCD所成角的正弦值即为平 面 的法向量 与向量 的夹角的余弦值的绝对值,即 ,再根据基本不等式即可求出, 是本题的通性通法,也是最优解; 方法二:利用直线与平面所成角的定义,作出直线PB与平面QCD所成角,再利用解三角形以及基本不等 式即可求出; 方法三:巧妙利用 ,将线转移,再利用等体积法求得点面距,利用直线PB与平面QCD所成角的 正弦值即为点面距与线段长度的比值的方法,即可求出. 15.(2020全国·统考新课标Ⅱ卷)如图,四棱锥P-ABCD的底面为正方形,PD 底面ABCD.设平面PAD 与平面PBC的交线为 . (1)证明: 平面PDC; (2)已知PD=AD=1,Q为 上的点,QB= ,求PB与平面QCD所成角的正弦值. 【答案】(1)证明见解析;(2) . 【分析】(1)利用线面平行的判定定理以及性质定理,证得 ,利用线面垂直的判定定理证得 平面 ,从而得到 平面 ; (2)根据题意,建立相应的空间直角坐标系,得到相应点的坐标,设出点 ,之后求得平面 的法向量以及向量 的坐标,求得 ,即可得到直线 与平面 所成角的正弦值. 【详解】(1)证明: 在正方形 中, , 因为 平面 , 平面 , 所以 平面 , 又因为 平面 ,平面 平面 , 所以 , 因为在四棱锥 中,底面 是正方形,所以 且 平面 ,所以 因为 所以 平面 ; 38(2)如图建立空间直角坐标系 , 因为 ,则有 , 设 ,则有 , 因为QB= ,所以有 设平面 的法向量为 , 则 ,即 , 令 ,则 ,所以平面 的一个法向量为 ,则 根据直线的方向向量与平面法向量所成角的余弦值的绝对值即为直线与平面所成角的正弦值,所以直线与 平面所成角的正弦值等于 所以直线 与平面 所成角的正弦值为 . 【点睛】该题考查的是有关立体几何的问题,涉及到的知识点有线面平行的判定和性质,线面垂直的判定 和性质,利用空间向量求线面角,利用基本不等式求最值,属于中档题目. 16.(2020全国·统考新课标Ⅱ卷)如图,已知三棱柱ABC-A B C 的底面是正三角形,侧面BB C C是矩形, 1 1 1 1 1 M,N分别为BC,B C 的中点,P为AM上一点,过B C 和P的平面交AB于E,交AC于F. 1 1 1 1 39(1)证明:AA ∥MN,且平面A AMN⊥EB C F; 1 1 1 1 (2)设O为△A B C 的中心,若AO∥平面EB C F,且AO=AB,求直线B E与平面A AMN所成角的正弦值. 1 1 1 1 1 1 1 【答案】(1)证明见解析;(2) . 【分析】(1)由 分别为 , 的中点, ,根据条件可得 ,可证 ,要证 平面 平面 ,只需证明 平面 即可; (2)连接 ,先求证四边形 是平行四边形,根据几何关系求得 ,在 截取 ,由 (1) 平面 ,可得 为 与平面 所成角,即可求得答案. 【详解】(1) 分别为 , 的中点, , 又 , , 在 中, 为 中点,则 , 又 侧面 为矩形, , , , 由 , 平面 , 平面 , 又 ,且 平面 , 平面 , 平面 , 又 平面 ,且平面 平面 , 40, 又 平面 , 平面 , 平面 , 平面 平面 . (2)[方法一]:几何法 如图,过O作 的平行线分别交 于点 ,联结 , 由于 平面 , 平面 , , 平面 , 平面 ,所以平面 平面 . 又因平面 平面 ,平面 平面 ,所以 . 因为 , , ,所以 面 . 又因 ,所以 面 , 所以 与平面 所成的角为 . 令 ,则 ,由于O为 的中心,故 . 在 中, , 由勾股定理得 . 所以 . 由于 ,直线 与平面 所成角的正弦值也为 . [方法二]【最优解】:几何法 因为 平面 ,平面 平面 ,所以 . 因为 ,所以四边形 为平行四边形. 由(Ⅰ)知 平面 ,则 为平面 的垂线. 41所以 在平面 的射影为 . 从而 与 所成角的正弦值即为所求. 在梯形 中,设 ,过E作 ,垂足为G,则 . 在直角三角形 中, . [方法三]:向量法 由(Ⅰ)知, 平面 ,则 为平面 的法向量. 因为 平面 , 平面 ,且平面 平面 , 所以 . 由(Ⅰ)知 ,即四边形 为平行四边形,则 . 因为O为正 的中心,故 . 由面面平行的性质得 ,所以四边形 为等腰梯形. 由P,N为等腰梯形两底的中点,得 ,则 . 设直线 与平面 所成角为 , ,则 . 所以直线 与平面 所成角的正弦值 . [方法四]:基底法 不妨设 , 以向量 为基底, 从而 , . , , 则 , . 所以 . 由(Ⅰ)知 平面 ,所以向量 为平面 的法向量. 42设直线 与平面 所成角 ,则 . 故直线 与平面 所成角的正弦值为 . [方法五]:坐标法 过O过底面ABC的垂线,垂足为Q,以Q为坐标原点建立如图所示空间直角坐标系, 设 ,AO=AB=2, 则 , 所以 , 所以 易得 为平面AAMN的一个法向量, 1 则直线BE与平面AAMN所成角的正弦值为 1 1 【整体点评】(2)方法一:几何法的核心在于找到线面角,本题中利用平行关系进行等价转化是解决问题的 关键; 方法二:等价转化是解决问题的关键,构造直角三角形是求解角度的正弦值的基本方法; 方法三:利用向量法的核心是找到平面的法向量和直线的方向向量,然后利用向量法求解即可; 方法四:基底法是立体几何的重要思想,它是平面向量基本定理的延伸,其关键之处在于找到平面的法向 量和直线的方向向量. 方法五:空间坐标系法是立体几何的重要方法,它是平面向量的延伸,其关键之处在于利用空间坐标系确 43定位置,找到平面的法向量和直线的方向向量. 17.(2019·全国·统考Ⅰ卷)如图,直四棱柱ABCD–ABC D 的底面是菱形,AA=4,AB=2,∠BAD=60°, 1 1 1 1 1 E,M,N分别是BC,BB,AD的中点. 1 1 (1)证明:MN∥平面C DE; 1 (2)求二面角A-MA-N的正弦值. 1 【答案】(1)见解析;(2) . 【分析】(1)利用三角形中位线和 可证得 ,证得四边形 为平行四边形,进而证 得 ,根据线面平行判定定理可证得结论;(2)以菱形 对角线交点为原点可建立空间直角 坐标系,通过取 中点 ,可证得 平面 ,得到平面 的法向量 ;再通过向量法求得平 面 的法向量 ,利用向量夹角公式求得两个法向量夹角的余弦值,进而可求得所求二面角的正弦值. 【详解】(1)连接 , , 分别为 , 中点 为 的中位线 且 44又 为 中点,且 且 四边形 为平行四边形 ,又 平面 , 平面 平面 (2)设 , 由直四棱柱性质可知: 平面 四边形 为菱形 则以 为原点,可建立如下图所示的空间直角坐标系: 则: , , ,D(0,-1,0) 取 中点 ,连接 ,则 四边形 为菱形且 为等边三角形 又 平面 , 平面 平面 ,即 平面 为平面 的一个法向量,且 设平面 的法向量 ,又 , ,令 ,则 , 45二面角 的正弦值为: 【点睛】本题考查线面平行关系的证明、空间向量法求解二面角的问题.求解二面角的关键是能够利用垂直 关系建立空间直角坐标系,从而通过求解法向量夹角的余弦值来得到二面角的正弦值,属于常规题型. 18.(2019全国·统考Ⅱ卷)如图,长方体ABCD–ABC D 的底面ABCD是正方形,点E在棱AA 上, 1 1 1 1 1 BE⊥EC . 1 (1)证明:BE⊥平面EBC ; 1 1 (2)若AE=AE,求二面角B–EC–C 的正弦值. 1 1 【答案】(1)证明见解析;(2) 【分析】(1)利用长方体的性质,可以知道 侧面 ,利用线面垂直的性质可以证明出 ,这样可以利用线面垂直的判定定理,证明出 平面 ; (2)以点 坐标原点,以 分别为 轴,建立空间直角坐标系,设正方形 的边长为 , ,求出相应点的坐标,利用 ,可以求出 之间的关系,分别求出平面 、平面 的法向量,利用空间向量的数量积公式求出二面角 的余弦值的绝对值,最后利用同角的三角函 数关系,求出二面角 的正弦值. 【详解】(1)证明:因为 是长方体,所以 侧面 ,而 平面 ,所 以 又 , , 平面 ,因此 平面 ; (2) [方法一]【三垂线定理】 由(1)知, ,又E为 的中点,所以 ,为等腰直角三角形,所以 . 如图2,联结 ,与 相交于点O,因为 平面 ,所以 . 又 ,所以 平面 . 46作 ,垂足为H,联结 ,由三垂线定理可知 ,则 为二面角 平面角的 补角. 设 ,则 ,由 ,得 . 在 中, ,所以 , 即二面角 的正弦值为 . [方法二]【利用平面的法向量】 设底面边长为1,高为 ,所以 . 因为 平面 ,所以 ,即 , 所以 ,解得 . 因为 平面 ,所以 ,又 ,所以 平面 , 故 为平面 的一个法向量. 因为平面 与平面 为同一平面,故 为平面 的一个法向量, 在 中,因为 ,故 与 成 角, 所以二面角 ,的正弦值为 . [方法三]【利用体积公式结合二面角的定义】 设底面边长为1,高为 ,所以 . 因为 平面 ,所以 ,即 , 所以 ,解得 . 因为 ,所以 是直角三角形, . 因为 平面 ,所以 到平面 的距离相等设为 . 同理,A,E到平面 的距离相等,都为1,所以 , 47即 ,解得 . 设点B到直线 的距离为 ,在 中,由面积相等解得 . 设 为二面角 的平面角, , 所以二面角 的正弦值为 . [方法四]【等价转化后利用射影面积计算】 由(1)的结论知 ,又 ,易证 ,所以 ,所以 , 即二面角 的正弦值与二面角 的正弦值相等. 设 的中点分别为F,G,H,显然 为正方体,所求问题转化为如图3所示, 在正方体 中求二面角 的正弦值. 设 相交于点O,易证 平面 , 所以 是 在平面 上的射影. 令正方体 的棱长 , 则 , , , . 设二面角 为 ,由 ,则 , 所以 . 即二面角 的正弦值为 . [方法五]【结合(1)的结论找到二面角的平面角进行计算】 如图4,分别取 中点F,G,H,联结 . 过G作 ,垂足为P,联结 . 易得E,F,G,H共面且平行于面 . 48由(1)可得 面 .因为 面 ,所以 . 又因为E为 中点,所以 ,且均为等腰三角形. 设 ,则 ,四棱柱 为正方体. 在 及 中有 . 所以 与 均为直角三角形且全等. 又因为 ,所以 为二面角 (即 )的一个平面角. 在 中, . 所以 , 所以 . 故二面角 的正弦值为 . [方法六]【最优解:空间向量法】 以点 坐标原点,以 分别为 轴,建立如下图所示的空间直角坐标系, 49